当前位置:首页>文档>第四部分 第三章 训练74 环境污染与国家安全_9.2025地理总复习_2024年新高考资料_1.2024一轮复习_2024年高考地理一轮复习讲义(新人教版)_学生版在此文件夹_一轮复习89练

第四部分 第三章 训练74 环境污染与国家安全_9.2025地理总复习_2024年新高考资料_1.2024一轮复习_2024年高考地理一轮复习讲义(新人教版)_学生版在此文件夹_一轮复习89练

  • 2026-04-14 04:14:24 2026-03-14 03:58:46

文档预览

第四部分 第三章 训练74 环境污染与国家安全_9.2025地理总复习_2024年新高考资料_1.2024一轮复习_2024年高考地理一轮复习讲义(新人教版)_学生版在此文件夹_一轮复习89练
第四部分 第三章 训练74 环境污染与国家安全_9.2025地理总复习_2024年新高考资料_1.2024一轮复习_2024年高考地理一轮复习讲义(新人教版)_学生版在此文件夹_一轮复习89练
第四部分 第三章 训练74 环境污染与国家安全_9.2025地理总复习_2024年新高考资料_1.2024一轮复习_2024年高考地理一轮复习讲义(新人教版)_学生版在此文件夹_一轮复习89练
第四部分 第三章 训练74 环境污染与国家安全_9.2025地理总复习_2024年新高考资料_1.2024一轮复习_2024年高考地理一轮复习讲义(新人教版)_学生版在此文件夹_一轮复习89练

文档信息

文档格式
docx
文档大小
0.835 MB
文档页数
4 页
上传时间
2026-03-14 03:58:46

文档内容

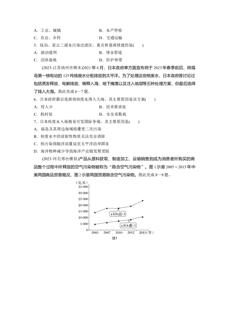
训练 74 环境污染与国家安全 一部分人还没有意识到海平面上升的威胁,而太平洋南部的岛国图瓦卢,却因海平面 上升而即将被淹没,计划举国搬迁。据此完成1~2题。 1.影响图瓦卢国家安全的环境问题是( ) A.全球变暖 B.海洋灾害 C.环境污染 D.生态退化 2.环境安全问题影响图瓦卢国家安全的途径是( ) A.造成财产损失 B.损害环境服务功能 C.触发军事冲突 D.导致疾病传播 抚仙湖是我国最大蓄水量湖泊,第二深淡水湖泊(最大水深约158.9米),位于云贵高原 滇中盆地中心,属于南盘江流域西江水系,流域内有抚仙、星云二湖,是维系珠江源头及西 南生态安全的重要屏障。抚仙湖生态系统十分脆弱,湖水一旦污染,极难恢复。多年来,为 使抚仙湖一湾碧水得以永续,云南省政府进行了不懈努力。下图示意抚仙、星云二湖流域环 境治理区划。据此完成3~5题。 3.抚仙湖生态环境十分脆弱,其主要原因是该湖泊( ) A.动植物种类少,食物链单一 B.水循环周期长 C.湖面南北狭长,湖水流速慢 D.接纳的河流少 4.抚仙、星云二湖流域坝区的水污染源主要为( )A.工业、城镇 B.水产养殖 C.农业、乡村 D.交通运输 5.抚仙、星云二湖水污染过滤区,重点恢复或修建的是( ) A.湖泊堤坝 B.排水管道 C.沼泽湿地 D.防护林带 (2023·江苏扬州市期末)2021年4月,日本政府单方面宣布将于2023年春季前后,将福 岛第一核电站的125吨核废水分批排放到太平洋。为了处理这些核废水,日本政府曾讨论过 包括蒸发释放、电解排放、稀释入海、地下掩埋以及注入地层等五种处理方案,但最后选择 了排入大海。据此完成6~7题。 6.日本政府最后选择将核废水排入大海,其主要原因是该方案( ) A.投入少 B.技术要求低 C.耗时短 D.安全系数高 7.日本核废水入海极易引发国际争端,其主要原因是( ) A.福岛及其周边海域将遭受二次污染 B.核废水中的放射性物质无法完全消除 C.核污染将随洋流蔓延至太平洋沿岸国家 D.海洋物种减少导致海洋产业链发展受阻 (2023·河北邢台模拟)产品从原料获取、制造加工、运输销售到成为消费者所购买的商 品整个过程中所释放的空气污染物被称为“隐含空气污染物”。图1示意2005~2015年中 美两国商品贸易概况,图2示意两国贸易隐含空气污染物。据此完成8~9题。8.图中显示,2005~2015年( ) A.两国贸易规模不大 B.两国贸易总额逐年减少 C.b 国是隐含空气污染物的净出口国 D.a向b出口隐含空气污染物整体呈下降趋势 9.两国贸易隐含空气污染物排放差距较大的主要原因是( ) A.a国对b国存在巨大贸易顺差 B.a国单位产值能耗远高于b国 C.b国煤炭能耗占比远大于a国 D.a从b进口商品多为劳动密集型 10.阅读图文材料,回答下列问题。(8分) 污染物跨境转移是指一个国家或地区向境外输出污染物的行为。污染物的跨境转移主 要有自然和人为两种途径。图1为欧洲降水pH分布图,图2为全球电子垃圾跨境转移主要 路径图。(1)图1中A国以清洁能源消费为主,却是欧洲重酸雨区,从自然角度分析原因。(4分) (2)从环境、经济角度分析电子垃圾跨境转移对接受国产生的不利影响。(4分)