当前位置:首页>文档>专题14双曲线中的向量问题(解析版)_2.2025数学总复习_2024年新高考资料_3.2024专项复习_2024年新高考数学之圆锥曲线专项重难点突破练(新高考专用)

专题14双曲线中的向量问题(解析版)_2.2025数学总复习_2024年新高考资料_3.2024专项复习_2024年新高考数学之圆锥曲线专项重难点突破练(新高考专用)

  • 2026-04-24 05:20:57 2026-03-16 00:28:34

文档预览

专题14双曲线中的向量问题(解析版)_2.2025数学总复习_2024年新高考资料_3.2024专项复习_2024年新高考数学之圆锥曲线专项重难点突破练(新高考专用)
专题14双曲线中的向量问题(解析版)_2.2025数学总复习_2024年新高考资料_3.2024专项复习_2024年新高考数学之圆锥曲线专项重难点突破练(新高考专用)
专题14双曲线中的向量问题(解析版)_2.2025数学总复习_2024年新高考资料_3.2024专项复习_2024年新高考数学之圆锥曲线专项重难点突破练(新高考专用)
专题14双曲线中的向量问题(解析版)_2.2025数学总复习_2024年新高考资料_3.2024专项复习_2024年新高考数学之圆锥曲线专项重难点突破练(新高考专用)
专题14双曲线中的向量问题(解析版)_2.2025数学总复习_2024年新高考资料_3.2024专项复习_2024年新高考数学之圆锥曲线专项重难点突破练(新高考专用)
专题14双曲线中的向量问题(解析版)_2.2025数学总复习_2024年新高考资料_3.2024专项复习_2024年新高考数学之圆锥曲线专项重难点突破练(新高考专用)
专题14双曲线中的向量问题(解析版)_2.2025数学总复习_2024年新高考资料_3.2024专项复习_2024年新高考数学之圆锥曲线专项重难点突破练(新高考专用)
专题14双曲线中的向量问题(解析版)_2.2025数学总复习_2024年新高考资料_3.2024专项复习_2024年新高考数学之圆锥曲线专项重难点突破练(新高考专用)
专题14双曲线中的向量问题(解析版)_2.2025数学总复习_2024年新高考资料_3.2024专项复习_2024年新高考数学之圆锥曲线专项重难点突破练(新高考专用)
专题14双曲线中的向量问题(解析版)_2.2025数学总复习_2024年新高考资料_3.2024专项复习_2024年新高考数学之圆锥曲线专项重难点突破练(新高考专用)
专题14双曲线中的向量问题(解析版)_2.2025数学总复习_2024年新高考资料_3.2024专项复习_2024年新高考数学之圆锥曲线专项重难点突破练(新高考专用)
专题14双曲线中的向量问题(解析版)_2.2025数学总复习_2024年新高考资料_3.2024专项复习_2024年新高考数学之圆锥曲线专项重难点突破练(新高考专用)
专题14双曲线中的向量问题(解析版)_2.2025数学总复习_2024年新高考资料_3.2024专项复习_2024年新高考数学之圆锥曲线专项重难点突破练(新高考专用)
专题14双曲线中的向量问题(解析版)_2.2025数学总复习_2024年新高考资料_3.2024专项复习_2024年新高考数学之圆锥曲线专项重难点突破练(新高考专用)
专题14双曲线中的向量问题(解析版)_2.2025数学总复习_2024年新高考资料_3.2024专项复习_2024年新高考数学之圆锥曲线专项重难点突破练(新高考专用)
专题14双曲线中的向量问题(解析版)_2.2025数学总复习_2024年新高考资料_3.2024专项复习_2024年新高考数学之圆锥曲线专项重难点突破练(新高考专用)
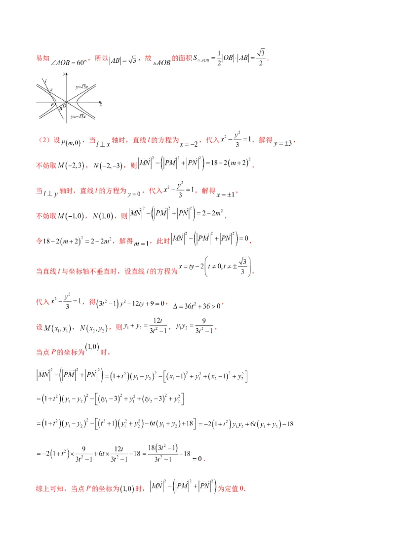
专题14双曲线中的向量问题(解析版)_2.2025数学总复习_2024年新高考资料_3.2024专项复习_2024年新高考数学之圆锥曲线专项重难点突破练(新高考专用)
专题14双曲线中的向量问题(解析版)_2.2025数学总复习_2024年新高考资料_3.2024专项复习_2024年新高考数学之圆锥曲线专项重难点突破练(新高考专用)
专题14双曲线中的向量问题(解析版)_2.2025数学总复习_2024年新高考资料_3.2024专项复习_2024年新高考数学之圆锥曲线专项重难点突破练(新高考专用)

文档信息

文档格式
docx
文档大小
1.266 MB
文档页数
19 页
上传时间
2026-03-16 00:28:34

文档内容

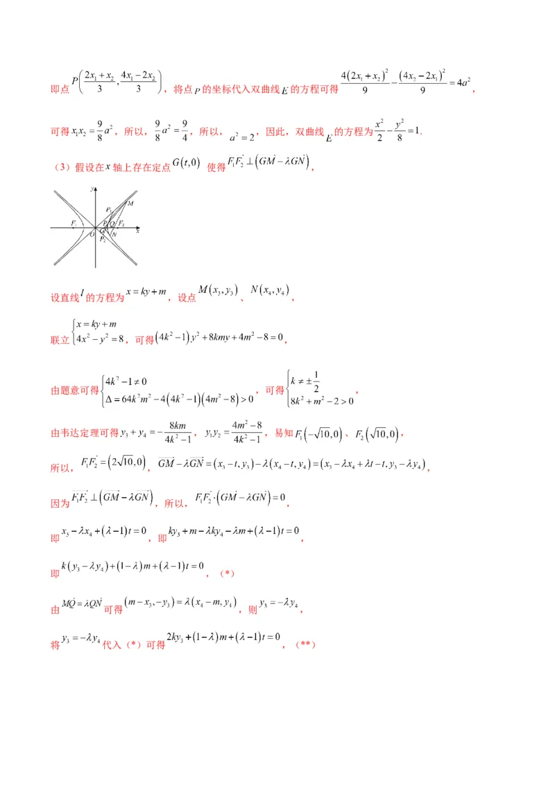
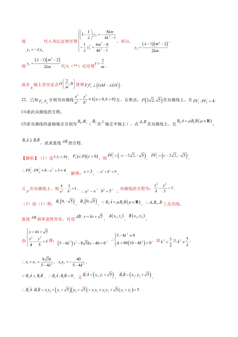
专题14 双曲线中的向量问题 限时:120分钟 满分:150分 一、单选题:本大题共8小题,每个小题5分,共40分.在每小题给出的选项中,只有一项是符合题目要 求的. 1.若斜率为 ( )的直线 过双曲线 : 的上焦点 ,与双曲线 的上支交于 , 两点, ,则 的值为( ) A. B. C. D. 【解析】因为双曲线 : ,所以 ,设直线方程为 , 代入双曲线方程消去y得 , 判别式 ,且 , 由韦达定理得 ,因为 ,所以 , 所以 ,两式联立解得 ,故选:D. 2.已知双曲线 的右顶点、右焦点分别为A,F,过点A的直线l与C的一条渐近线交 于点Q,直线 与C的一个交点为B,若 ,且 ,则 的值为( ) A.2 B. C. D. 【解析】∵ ,整理得: ,即 ,∴ , 不妨设 ,根据 结合比例易得 ,则 ,解得∴ ,故选:B. 3.已知点P为双曲线C: ( , )上位于第一象限内的一点,过点P向双曲线C的一 条渐近线l作垂线,垂足为A, 为双曲线C的左焦点,若 ,则渐近线l的斜率为( ) A. B. C. D. 【解析】设 ,渐近线l的方程为 ,① 直线 的方程为 ,② 联立①②可得 , ,即有 , 由 ,可得 , , 解得 , ,即 ,由P在双曲线上,可得 , 化为 ,即 ,可得 ,所以直线l的斜率为 .故选:D. 4.已知双曲线 右支上的一点P,经过点P的直线与双曲线C的两条渐近线分别相交于A,B 两点.若点A,B分别位于第一、四象限,O为坐标原点.当点P为AB的中点时, ( ) A. B.9 C. D.【解析】设 , , , , , 由点P为AB的中点,得 , , 将P点代入双曲线方程可得 ,化简得 , 所以 ,故选:B. 5.过双曲线 的右焦点 且斜率为 的直线分别交双曲线的渐近线于 , 两点, 在 第一象限, 在第二象限,若 ,则 ( ) A.1 B. C. D.2 【解析】由题意得:由双曲线的方程 ,可知 , 过双曲线 的右焦点 且斜率为 的直线方程为 联立 ,得: ,联立 ,得: , 则 , , , ,整理得: ,解得: ,故选:A 6.已知双曲线 的左、右焦点分别为 、 ,过 的直线 交双曲线的右支于 、 两点.点 满足 ,且 ,者 ,则双曲线的离心率是( )A. B. C. D. 【解析】如下图所示,取线段 的中点 ,连接 , 因为 ,则 , 因为 为 的中点,则 ,且 , 由双曲线的定义可得 , 所以, ,则 , 由余弦定理可得 , 所以, ,因此,该双曲线的离心率为 .故选:C. 7.已知双曲线 的左、右焦点分别为 、 ,过 的左顶点 作一条与渐近线平行的 直线与 轴相交于点 ,点 为线段 上一个动点,当 分别取得最小值和最大值时,点 的 纵坐标分别记为 、 ,则 ( ) A. B. C. D. 【解析】由题意可得 , , 、 ,双曲线 的渐近线方程为 , 不妨设直线 的斜率为 ,则直线 的方程为 ,易得 , 设点 的坐标为 ,其中 ,, , 所以, , 故当 时, 取得最小值,此时 , 当 时, 取得最大值,此时 ,因此, .故选:D. 8.已知椭圆 与双曲线 有相同的左焦点 、右焦点 ,点 是两曲线的一个交点,且 .过 作倾斜角为45°的直线交 于 , 两点(点 在 轴的上方),且 ,则 的 值为( ) A. B. C. D. 【解析】不妨设 为椭圆与双曲线在第一象限内的交点,椭圆方程为 , ,由双曲线定义可知: ,又因为 ,所以 , ,所以 ,所以 , 所以 ,所以 ,所以 ,所以椭圆方程为 , 又因为 ,所以 ,所以 , 所以 ,所以 , 又因为 ,所以 ,所以 ,解得 ,故选:A. 二、多选题:本大题共4小题,每个小题5分,共20分.在每小题给出的选项中,只有一项或者多项是符 合题目要求的.9.已知双曲线C: 的左、右焦点分别为 , ,且C的一条渐近线经过点 ,直线 与C的另一条渐近线在第四象限交于点A,则下列结论正确的是( ) A.C的离心率为2 B.若 ,则C的方程为 C.若 ,则 (O为坐标原点)的面积为 D.若 ,则C的焦距为 【解析】对A,双曲线C的渐近线方程为 ,因为C的一条渐近线经过点 ,所以 , 即 ,所以 ,所以 ,故选项A正确; 对B,因为 ,所以点P在圆 上,所以 . 又离心率 ,所以 ,则 ,所以C的方程为 ,故选项B正确; 对C,由B得, 的面积为 ,故选项C错误; 对D,设 , ,由 ,得 ,所以 , , 代入渐近线方程 ,得 ,解得 ,所以C的焦距为 ,故选项D正 确. 故选:ABD. 10.已知双曲线 , ,O为坐标原点,M为双曲线上任意一点,则 的值可以是 ( ) A. B. C. D.【解析】设点 ,则 或 ,且有 ,可得 , , , , 令 ,其中 或 , 二次函数 的图象开口向上,对称轴为直线 . ①当 时,函数 单调递减,此时 ; ②当 时,函数 单调递增,此时 . 综上所述,函数 在 上的值域为 . 因此, 的值可以是 、 、 .故选:BCD. 11.已知双曲线 的右顶点、右焦点分别为 、 ,过点 的直线 与 的一条渐 近线交于点 ,直线 与 的一个交点为 , ,且 ,则下列结论正确的是 ( ) A.直线 与 轴垂直 B. 的离心率为 C. 的渐近线方程为 D. (其中 为坐标原点) 【解析】由已知得 ,设 ,由 ,得 ,所以 轴,即 ,A正确;不妨设点 在第一象限,易知, , ,即点 , 设 ,由 ,得 ,所以 , 所以 ,即 .因为点 在双曲线上,所以 ,整理得 ,所以 ,解得 或 (负值舍去),B正确; ,故C的渐近线的斜率的平方为 ,C错误; 不妨设点 在第一象限,则 ,所以 ,D错误. 故选:AB. 12.已知双曲线 且 成等差数列,过双曲线的右焦点F(c,0)的直线l与双 曲线C的右支相交于A,B两点, ,则直线l的斜率的可能取值为( ) A. B.- C. D.- 【解析】因为 成等差数列,所以 ,所以 . 设左焦点为 ,则 . 令 ,则 ,即 ,将 代入解得 ,从而解得 ,故 ,而 是直线l的倾斜角或倾斜角的补角,所以直线l的斜率的值为- 或 .故选:AB. 三、填空题:本大题共4小题,每小题5分,共20分.把答案填在答题卡中的横线上. 13.设双曲线C的左、右焦点分别为 , ,且焦距为 ,P是C上一点,满足 , ,则 的周长为 . 【解析】 因为 ,所以 .设 , , 因为 ,所以 . 在 中,根据余弦定理有 , 所以 ,整理可得, ,解得 (负值舍去),所以 , 所以 , ,故周长为 . 14.已知 ,点P满足 ,动点M,N满足 , ,则 的最小 值是 . 【解析】以 的中点O为坐标原点, 的中垂线为y轴,建立如图所示的直角坐标系,则 , 由双曲线定义可知,点P的轨迹是以 , 为焦点,实轴长为6的双曲线的左支,即点P的轨迹方程为 . ,由 , 可得 . 因为 的最小值为 ,所以 的最小值是3.15.已知双曲线 的左右焦点分别为 、 ,实轴长为1, 是双曲线右支上的一点,满 足 , 是 轴上的一点,则 . 【解析】设 ,由题意知 , , 因为 是双曲线右支上的一点,满足 ,所以 ,解得 . 所以 ,两式相减可得 ,即 .设 ,则 , 又 ,所以 . 16.设双曲线 的左、右焦点分别为 ,过 的直线 与双曲线的左、右两支分别交 于 两点,且 ,则双曲线 的离心率为 . 【解析】如图,设 为 的中点,连接 , 易知 , , , 又 为 的中点, , , , 为等腰直角三角形,设 ,由双曲线的定义知 ,解得, ,又 , . 在 中, , , ,化简得 ,即 , 又 , . 四、解答题:本大题共6小题,共70分.解答应写出必要的文字说明、证明过程或演算步骤. 17.已知双曲线C的渐近线为 ,右焦点为 ,右顶点为A. (1)求双曲线C的标准方程; (2)若斜率为1的直线l与双曲线C交于M,N两点(与点A不重合),当 时,求直线l的方程. 【解析】(1)双曲线 的渐近线 化为 ,设双曲线 的方程为 , 即 ,又双曲线 的右焦点 ,则 ,解得 , 所以双曲线 的标准方程为 . (2)由(1)知, ,设直线 的方程为 ,显然 , 由 消去 整理得 ,显然 , , 而 ,则 , 化简得 ,即 ,而 ,解得 , 所以直线 的方程为 ,即 .18.已知 , ,点 满足 ,记点 的轨迹为 , (1)求轨迹 的方程; (2)若直线 过点 ,且与轨迹 交于 、 两点.在 轴上是否存在定点 ,无论直线 绕点 怎样转动, 使 恒成立?如果存在,求出定点 ;如果不存在,请说明理由. 【解析】(1)由 知,点 的轨迹是以 , 为焦点的双曲线的右支. 且 ,即 , ,故 , 轨迹方程为 . (2)若直线 的斜率存在,设直线 的方程为 , 联立得 得 , 设 , ,由条件得 ,解得 . 设存在点 满足条件, 由 ,得对任意 恒成立,所以 解得 , 因此存在定点 满足条件. 若直线 的斜率不存在,则直线 的方程为 ,联立 得 , , 将 验证,结果也成立. 综上所述, 轴上存在定点 ,使 恒成立. 19.已知双曲线C: ,直线l在x轴上方与x轴平行,交双曲线C于A,B两点,直 线l交y轴于点D.当l经过C的焦点时,点A的坐标为 . (1)求C的方程; (2)设OD的中点为M,是否存在定直线l,使得经过M的直线与C交于P,Q,与线段AB交于点N, , 均成立;若存在,求出l的方程;若不存在,请说明理由. 【解析】(1)由已知C: ,点A的坐标为 ,得 , 焦点 , , . 所以 , ,故C: . (2)设l的方程为 ,则 ,故 , 由已知直线PQ斜率存在,设直线PQ的方程为 ,故 . 与双曲线方程联立得: ,由已知得 , ,设 , ,则 , ① 由 , 得: , , 消去 得: ,即 ② 由①②得: ,由已知 ,故存在定直线l: 满足条件. 20.已知双曲线 的虚轴长为 ,左焦点为F. (1)设O为坐标原点,若过F的直线l与C的两条渐近线分别交于A,B两点,当 时,求 的面 积; (2)设过F的直线l与C交于M,N两点,若x轴上存在一点P,使得 为定值,求出点 P的坐标及该定值. 【解析】(1)由题意可知, ,得 ,所以双曲线C的标准方程为 , 则 ,双曲线C的渐近线方程为 , 由对称性可知,直线l与 垂直和直线l与 垂直这两种情况下 的面积是相等, 不妨设直线l与 垂直,则直线l的方程为 , 则点A在渐近线 上,点B在渐近线 上, 由 ,解得 ,则 ,所以 ,易知 ,所以 ,故 的面积 . (2)设 ,当 轴时,直线l的方程为 ,代入 ,解得 , 不妨取 , ,则 , 当 轴时,直线l的方程为 ,代入 ,解得 , 不妨取 , ,则 , 令 ,解得 ,此时 , 当直线l与坐标轴不垂直时,设直线l的方程为 , 代入 ,得 , , 设 , ,则 , , 当点P的坐标为 时, . 综上可知,当点P的坐标为 时, 为定值0.21.点 在以 、 为焦点的双曲线 上,已知 , , 为坐 标原点. (1)求双曲线的离心率 ; (2)过点 作直线分别与双曲线渐近线相交于 、 两点,且 , ,求双曲线 的方程; (3)若过点 ( 为非零常数)的直线 与(2)中双曲线 相交于不同于双曲线顶点的两点 、 , 且 ( 为非零常数),问在 轴上是否存在定点 ,使 ?若存在,求出所有 这种定点 的坐标;若不存在,请说明理由. 【解析】(1)因为 ,则 ,可得 , 因为 ,由勾股定理可得 ,即 , 所以, ,因此,该双曲线的离心率为 . (2)因为 ,则 , 所以,双曲线 的方程为 ,即 , 双曲线 的渐近线方程为 ,设点 、 、 , ,可得 , 因为 ,即 ,可得 ,即点 ,将点 的坐标代入双曲线 的方程可得 , 可得 ,所以, ,所以, ,因此,双曲线 的方程为 . (3)假设在 轴上存在定点 使得 , 设直线 的方程为 ,设点 、 , 联立 ,可得 , 由题意可得 ,可得 , 由韦达定理可得 , ,易知 、 , 所以, , , 因为 ,所以, , 即 ,即 , 即 ,(*) 由 可得 ,则 , 将 代入(*)可得 ,(**)将 代入韦达定理可得 ,所以, , 将 代入(**)式可得 , 故在 轴上存在定点 使得 . 22.已知 分别为双曲线 左、右焦点, 在双曲线上,且 . (1)求此双曲线的方程; (2)若双曲线的虚轴端点分别为 ( 在 轴正半轴上),点 在双曲线上,且 , ,试求直线 的方程. 【解析】(1)设 , ,则 , , ,解得: , ; 又 在双曲线上,则 , , , 双曲线的方程为: . (2)由(1)得: , , , 三点共线, 直线 斜率显然存在,可设 , , , 由 得: , ,即 且 , , , , ,又 , ,, 解得: ,满足 且 , 直线 方程为: 或 .