当前位置:首页>文档>专题3-7利用导函数研究双变量问题(解析版)_2.2025数学总复习_2023年新高考资料_二轮复习_2023年高考数学二轮热点题型归纳演练(新高考专用)

专题3-7利用导函数研究双变量问题(解析版)_2.2025数学总复习_2023年新高考资料_二轮复习_2023年高考数学二轮热点题型归纳演练(新高考专用)

  • 2026-04-02 11:28:29 2026-03-17 14:55:39

文档预览

专题3-7利用导函数研究双变量问题(解析版)_2.2025数学总复习_2023年新高考资料_二轮复习_2023年高考数学二轮热点题型归纳演练(新高考专用)
专题3-7利用导函数研究双变量问题(解析版)_2.2025数学总复习_2023年新高考资料_二轮复习_2023年高考数学二轮热点题型归纳演练(新高考专用)
专题3-7利用导函数研究双变量问题(解析版)_2.2025数学总复习_2023年新高考资料_二轮复习_2023年高考数学二轮热点题型归纳演练(新高考专用)
专题3-7利用导函数研究双变量问题(解析版)_2.2025数学总复习_2023年新高考资料_二轮复习_2023年高考数学二轮热点题型归纳演练(新高考专用)
专题3-7利用导函数研究双变量问题(解析版)_2.2025数学总复习_2023年新高考资料_二轮复习_2023年高考数学二轮热点题型归纳演练(新高考专用)
专题3-7利用导函数研究双变量问题(解析版)_2.2025数学总复习_2023年新高考资料_二轮复习_2023年高考数学二轮热点题型归纳演练(新高考专用)
专题3-7利用导函数研究双变量问题(解析版)_2.2025数学总复习_2023年新高考资料_二轮复习_2023年高考数学二轮热点题型归纳演练(新高考专用)
专题3-7利用导函数研究双变量问题(解析版)_2.2025数学总复习_2023年新高考资料_二轮复习_2023年高考数学二轮热点题型归纳演练(新高考专用)
专题3-7利用导函数研究双变量问题(解析版)_2.2025数学总复习_2023年新高考资料_二轮复习_2023年高考数学二轮热点题型归纳演练(新高考专用)
专题3-7利用导函数研究双变量问题(解析版)_2.2025数学总复习_2023年新高考资料_二轮复习_2023年高考数学二轮热点题型归纳演练(新高考专用)
专题3-7利用导函数研究双变量问题(解析版)_2.2025数学总复习_2023年新高考资料_二轮复习_2023年高考数学二轮热点题型归纳演练(新高考专用)
专题3-7利用导函数研究双变量问题(解析版)_2.2025数学总复习_2023年新高考资料_二轮复习_2023年高考数学二轮热点题型归纳演练(新高考专用)
专题3-7利用导函数研究双变量问题(解析版)_2.2025数学总复习_2023年新高考资料_二轮复习_2023年高考数学二轮热点题型归纳演练(新高考专用)
专题3-7利用导函数研究双变量问题(解析版)_2.2025数学总复习_2023年新高考资料_二轮复习_2023年高考数学二轮热点题型归纳演练(新高考专用)
专题3-7利用导函数研究双变量问题(解析版)_2.2025数学总复习_2023年新高考资料_二轮复习_2023年高考数学二轮热点题型归纳演练(新高考专用)
专题3-7利用导函数研究双变量问题(解析版)_2.2025数学总复习_2023年新高考资料_二轮复习_2023年高考数学二轮热点题型归纳演练(新高考专用)
专题3-7利用导函数研究双变量问题(解析版)_2.2025数学总复习_2023年新高考资料_二轮复习_2023年高考数学二轮热点题型归纳演练(新高考专用)
专题3-7利用导函数研究双变量问题(解析版)_2.2025数学总复习_2023年新高考资料_二轮复习_2023年高考数学二轮热点题型归纳演练(新高考专用)
专题3-7利用导函数研究双变量问题(解析版)_2.2025数学总复习_2023年新高考资料_二轮复习_2023年高考数学二轮热点题型归纳演练(新高考专用)
专题3-7利用导函数研究双变量问题(解析版)_2.2025数学总复习_2023年新高考资料_二轮复习_2023年高考数学二轮热点题型归纳演练(新高考专用)
专题3-7利用导函数研究双变量问题(解析版)_2.2025数学总复习_2023年新高考资料_二轮复习_2023年高考数学二轮热点题型归纳演练(新高考专用)
专题3-7利用导函数研究双变量问题(解析版)_2.2025数学总复习_2023年新高考资料_二轮复习_2023年高考数学二轮热点题型归纳演练(新高考专用)
专题3-7利用导函数研究双变量问题(解析版)_2.2025数学总复习_2023年新高考资料_二轮复习_2023年高考数学二轮热点题型归纳演练(新高考专用)
专题3-7利用导函数研究双变量问题(解析版)_2.2025数学总复习_2023年新高考资料_二轮复习_2023年高考数学二轮热点题型归纳演练(新高考专用)
专题3-7利用导函数研究双变量问题(解析版)_2.2025数学总复习_2023年新高考资料_二轮复习_2023年高考数学二轮热点题型归纳演练(新高考专用)
专题3-7利用导函数研究双变量问题(解析版)_2.2025数学总复习_2023年新高考资料_二轮复习_2023年高考数学二轮热点题型归纳演练(新高考专用)
专题3-7利用导函数研究双变量问题(解析版)_2.2025数学总复习_2023年新高考资料_二轮复习_2023年高考数学二轮热点题型归纳演练(新高考专用)
专题3-7利用导函数研究双变量问题(解析版)_2.2025数学总复习_2023年新高考资料_二轮复习_2023年高考数学二轮热点题型归纳演练(新高考专用)
专题3-7利用导函数研究双变量问题(解析版)_2.2025数学总复习_2023年新高考资料_二轮复习_2023年高考数学二轮热点题型归纳演练(新高考专用)
专题3-7利用导函数研究双变量问题(解析版)_2.2025数学总复习_2023年新高考资料_二轮复习_2023年高考数学二轮热点题型归纳演练(新高考专用)
专题3-7利用导函数研究双变量问题(解析版)_2.2025数学总复习_2023年新高考资料_二轮复习_2023年高考数学二轮热点题型归纳演练(新高考专用)
专题3-7利用导函数研究双变量问题(解析版)_2.2025数学总复习_2023年新高考资料_二轮复习_2023年高考数学二轮热点题型归纳演练(新高考专用)
专题3-7利用导函数研究双变量问题(解析版)_2.2025数学总复习_2023年新高考资料_二轮复习_2023年高考数学二轮热点题型归纳演练(新高考专用)
专题3-7利用导函数研究双变量问题(解析版)_2.2025数学总复习_2023年新高考资料_二轮复习_2023年高考数学二轮热点题型归纳演练(新高考专用)
专题3-7利用导函数研究双变量问题(解析版)_2.2025数学总复习_2023年新高考资料_二轮复习_2023年高考数学二轮热点题型归纳演练(新高考专用)
专题3-7利用导函数研究双变量问题(解析版)_2.2025数学总复习_2023年新高考资料_二轮复习_2023年高考数学二轮热点题型归纳演练(新高考专用)
专题3-7利用导函数研究双变量问题(解析版)_2.2025数学总复习_2023年新高考资料_二轮复习_2023年高考数学二轮热点题型归纳演练(新高考专用)
专题3-7利用导函数研究双变量问题(解析版)_2.2025数学总复习_2023年新高考资料_二轮复习_2023年高考数学二轮热点题型归纳演练(新高考专用)
专题3-7利用导函数研究双变量问题(解析版)_2.2025数学总复习_2023年新高考资料_二轮复习_2023年高考数学二轮热点题型归纳演练(新高考专用)
专题3-7利用导函数研究双变量问题(解析版)_2.2025数学总复习_2023年新高考资料_二轮复习_2023年高考数学二轮热点题型归纳演练(新高考专用)
专题3-7利用导函数研究双变量问题(解析版)_2.2025数学总复习_2023年新高考资料_二轮复习_2023年高考数学二轮热点题型归纳演练(新高考专用)
专题3-7利用导函数研究双变量问题(解析版)_2.2025数学总复习_2023年新高考资料_二轮复习_2023年高考数学二轮热点题型归纳演练(新高考专用)
专题3-7利用导函数研究双变量问题(解析版)_2.2025数学总复习_2023年新高考资料_二轮复习_2023年高考数学二轮热点题型归纳演练(新高考专用)
专题3-7利用导函数研究双变量问题(解析版)_2.2025数学总复习_2023年新高考资料_二轮复习_2023年高考数学二轮热点题型归纳演练(新高考专用)
专题3-7利用导函数研究双变量问题(解析版)_2.2025数学总复习_2023年新高考资料_二轮复习_2023年高考数学二轮热点题型归纳演练(新高考专用)
专题3-7利用导函数研究双变量问题(解析版)_2.2025数学总复习_2023年新高考资料_二轮复习_2023年高考数学二轮热点题型归纳演练(新高考专用)
专题3-7利用导函数研究双变量问题(解析版)_2.2025数学总复习_2023年新高考资料_二轮复习_2023年高考数学二轮热点题型归纳演练(新高考专用)
专题3-7利用导函数研究双变量问题(解析版)_2.2025数学总复习_2023年新高考资料_二轮复习_2023年高考数学二轮热点题型归纳演练(新高考专用)
专题3-7利用导函数研究双变量问题(解析版)_2.2025数学总复习_2023年新高考资料_二轮复习_2023年高考数学二轮热点题型归纳演练(新高考专用)
专题3-7利用导函数研究双变量问题(解析版)_2.2025数学总复习_2023年新高考资料_二轮复习_2023年高考数学二轮热点题型归纳演练(新高考专用)
专题3-7利用导函数研究双变量问题(解析版)_2.2025数学总复习_2023年新高考资料_二轮复习_2023年高考数学二轮热点题型归纳演练(新高考专用)
专题3-7利用导函数研究双变量问题(解析版)_2.2025数学总复习_2023年新高考资料_二轮复习_2023年高考数学二轮热点题型归纳演练(新高考专用)
专题3-7利用导函数研究双变量问题(解析版)_2.2025数学总复习_2023年新高考资料_二轮复习_2023年高考数学二轮热点题型归纳演练(新高考专用)
专题3-7利用导函数研究双变量问题(解析版)_2.2025数学总复习_2023年新高考资料_二轮复习_2023年高考数学二轮热点题型归纳演练(新高考专用)
专题3-7利用导函数研究双变量问题(解析版)_2.2025数学总复习_2023年新高考资料_二轮复习_2023年高考数学二轮热点题型归纳演练(新高考专用)
专题3-7利用导函数研究双变量问题(解析版)_2.2025数学总复习_2023年新高考资料_二轮复习_2023年高考数学二轮热点题型归纳演练(新高考专用)
专题3-7利用导函数研究双变量问题(解析版)_2.2025数学总复习_2023年新高考资料_二轮复习_2023年高考数学二轮热点题型归纳演练(新高考专用)
专题3-7利用导函数研究双变量问题(解析版)_2.2025数学总复习_2023年新高考资料_二轮复习_2023年高考数学二轮热点题型归纳演练(新高考专用)

文档信息

文档格式
docx
文档大小
3.076 MB
文档页数
58 页
上传时间
2026-03-17 14:55:39

文档内容

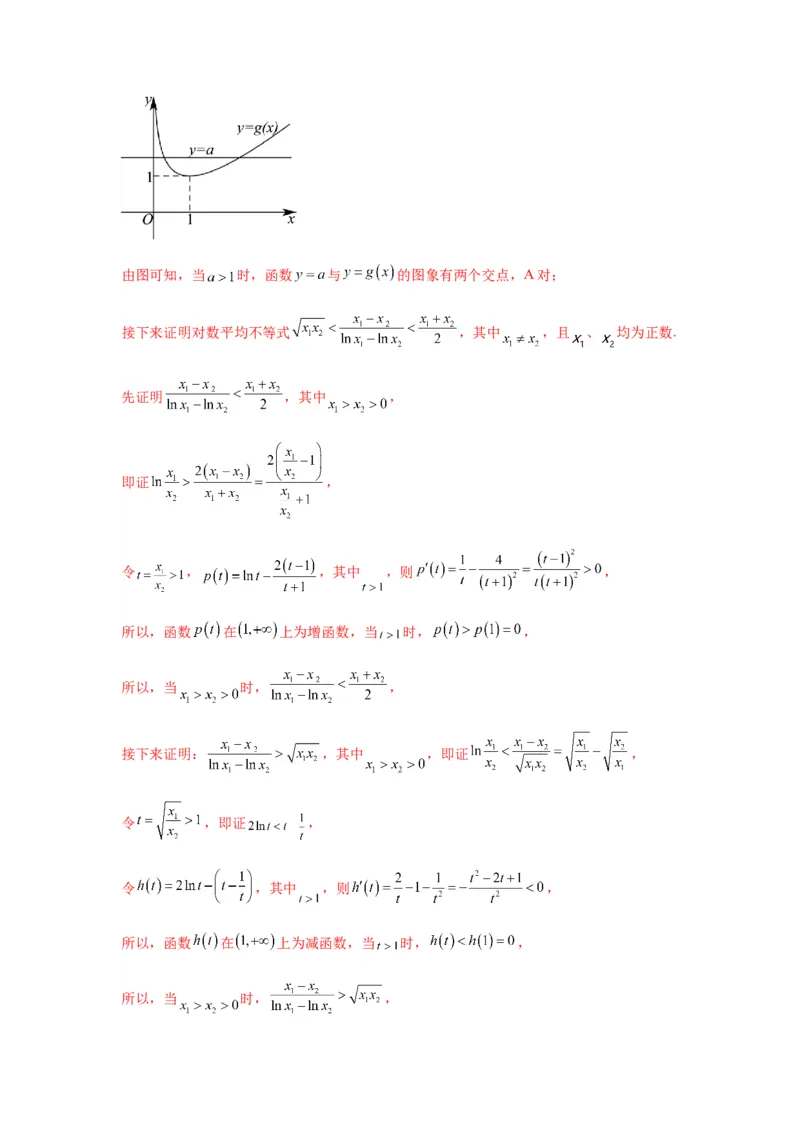
专题3-7利用导函数研究双变量问题 目录 专题3-7利用导函数研究双变量问题.....................................................................................................1 .....................................................................................1 题型一:分离双参,构造函数................................................................................................................1 ②根据分离后的不等式结构的对称性,构造新函数;........................................................................3 题型二:糅合双参(比值糅合)............................................................................................................6 题型三:糅合双参(差值糅合)..........................................................................................................14 题型四:利用对数平均(指数平均)不等式解决双变量问题..........................................................19 题型五:最值定位法解决双参不等式问题..........................................................................................26 ................................................................34 题型一:分离双参,构造函数 【典例分析】 例题1.(2022·辽宁·沈阳市第三十一中学高三阶段练习) ,均有 成立,则 的取值范围为___________. 【答案】 【详解】不妨设 ,则 , 由 可得 , 所以 , 即 ,所以 , 令 ,则 , 因为 ,所以 在 上单调递减, 所以 对于 恒成立, 所以 对于 恒成立, 可得 对于 恒成立, 所以 ,因为 在 上单调递减, 所以 , 所以 , 故答案为: 例题2.(2022·全国·高三专题练习)已知函数 . (1)求函数 的单调区间; (2)证明: , , . 【答案】(1)单调递减区间 ,单调递增区间为 ;(2)证明见解析. 【详解】解:(1)由 ,则 , , , 令 ,解得 ;令 ,解得 .所以函数 的单调递减区间 ,单调递增区间为 . (2)证明: ,要证明 . 即证明: . 即证明: . 令 , ,且 . ,所以函数 在 上单调递减, 则 ,由 ,则 , 所以 , 即: , , 成立. 【提分秘籍】 ①在含有双参( , )的不等式中,将双参分别分离到不等式左右两边; ②根据分离后的不等式结构的对称性,构造新函数; ③证明构造函数的单调性,利用单调性证明结论 【变式演练】 1.(2022·四川·阆中中学高二阶段练习(理))若实数 满足 ,则( ) A. B. C. D. 【答案】A【详解】∵ ∴ , 即 ∴ , 设 ,则有 ,即 , ∴ , 令 ,则 , ∴当 时, , 单调递增; 当 时, , 单调递减; ∴ ,即 , 要使 成立等价于 成立, 只有当 时,即 时才满足, ∴ ∴ ,∴ . 故选:A. 2.(2022·广西玉林·模拟预测(理))已知 , 都是正整数,且 ,则 ( ) A. B. C. D. 【答案】A【详解】因为 ,所以 ,令 , 所以 ,故 在 上单调递增,由已知得 , 故 ,因为 , 都是正整数,即 . 故选:A. 2.(2021·四川省泸县第二中学一模(理))已知函数 的图像在 处 的切线与直线 平行. (1)求函数 的单调区间; (2)若 ,且 时, ,求实数m的取值范围. 【答案】(1) 在 递增,在 递减 (2) (1) 的导数为 , 可得 的图象在 处的切线斜率为 , 由切线与直线 平行,可得 ,即 , , , 由 ,可得 ,由 ,可得 ,则 在 递增,在 递 减. (2)因为 ,若 ,由 , 即有 恒成立,设 , 所以 在 为增函数,即有 对 恒成立,可得 在 恒成立,由 的导数为 , 当 ,可得 , 在 递减,在 递增, 即有 在 处取得极小值,且为最小值 可得 ,解得 则实数m的取值范围是 . 题型二:糅合双参(比值糅合) 【典例分析】 例题1.(2022·山东德州·高三期中)已知函数 . (1)求 在 的最小值; (2)若方程 有两个不同的解 ,且 成等差数列,试探究 值的符号. 【答案】(1)答案见解析; (2)正,理由见解析 【详解】(1) . 当 时, 在 单调递减, ; 当 时, 在 单週递减, ; 当 时, 时, 时, , 所以 在 单週递减, 在 单调递增,综上,当 时, ;当 时, . (2) 值的符号为正,理由如下: 由 (1) 知, 当 时, 单调递减, 不符合題意. 当 时, 在 单调递减, 在 单调递增. 不妨设 ,由方程 有两个不同的解 , 则 , 整理得 . 令 , 则 ,令 , 在 单调递增, .故 得证 例题2.(2022·山东威海·三模)已知函数 . (1)当 时,求 的单调区间; (2)若 有两个极值点 ,且 ,从下面两个结论中选一个证明. ① ;【答案】(1) 的单增区间为 ;单减区间为 , (2)证明见解析 (1) ,当 时, ,令 ,解得 ;令 ,解得 或 ,所以 的单增区间为 ;单减区间为 , . (2)证明①:由题意知, 是 的两根,则 , ,将 代入得, ,要证明 ,只需证明 ,即 ,因为 ,所以 ,只需证明 ,令 ,则 ,只需证明 ,即 ,令 , ,所以 在 上单调递减,可得 ,所以 ,综上可知, . 【提分秘籍】 利用换元法解决双变量问题,将要证明的不等式或目标代数式通过变形成关于 (或 等)的整体结构,通过将 (或 等)换元成 把问题化归成单变量问题 来处理.这一方法也称为“齐次换元”。【变式演练】 1.(2022·全国·高三专题练习)设函数 , (1)求 的单调区间; (2)设 ,求证: ,恒有 . (3)若 ,函数 有两个零点 ,求证 . 【答案】(1)答案见解析 (2)证明见解析 (3)证明见解析 (1) 函数 的定义域为 , 且 , 当 时,由 可得 ,由 可得 , 因此函数 的单调递减区间为 ,单调递增区间为 ; 当 时, 恒成立,此时 的单调递增区间为 , 综上所述:当 时, 的单调递减区间为 ,单调递增区间为 ; 当 时, 的单调递增区间为 . (2) , ,所以 , 因为 , 所以当 时, ,函数 在区间 上单调递减, 当 时, , , 所以 ,其中 , 构造函数 ,其中 , , 则 ,所以函数 在 上单调递增, 则 , 所以函数 在 上单调递增, , 所以对于 、 ,恒有 ; (3) 因为 ,则 , 所以函数 单调递增,且 , 要证 ,即证 , 即证 ,即证 , 因为函数 有两个零点 ,由题意可得 , 上述两个等式作差得 , 下面先证明 ,只需证: , 整理得 ,即证 , 设 ,不妨设 ,则 , 所以函数 在 上单调递增,所以 , 因为 ,所以 ,故原不等式 成立. 2.(2022·广东·广州市第七中学高二期中)已知函数 . (1)讨论 的单调性; (2)若函数 的图像与x轴交于A,B两点,线段 中点的横坐标为 ,证明: . 【答案】(1)见解析 (2)见解析 (1) 的定义域为 , . ①若 ,则 ,所以 在 单调递增.②若 ,则由 得 , 且当 时, ,当 时, . 所以 在 单调递增,在 单调递减. (2) 由(1)可知:当 时,函数 在 上单调递增, 故 图像与x轴至多有一个交点,不符合题意,从而 . 当 时, 在 单调递增,在 单调递减, 不妨设 , , ,则 . 由 , 两式相减得: , 即: , 又 令 , ,则 ,从而函数 在 上单调递减, 故 ,从而 ,又 ,所以 . 3.(2022·陕西师大附中高三期中(理))已知函数 ,曲线 在 点 处的切线与直线 垂直. (1)试比较 与 的大小,并说明理由; (2)若函数 有两个不同的零点 ,证明: . 【答案】(1) ,证明见解析; (2)证明见解析. 【详解】(1)由题可知: , ,而直线 的斜率 , 所以有 ,解得: 或 , 又因为函数 在 处有意义,所以 ,故 , 所以 , , 时, , 时, , 所以 在 上单调递增,在 上单调递减, 所以 ,即 , 即 ,即有 , 所以 . (2)不妨设 , 所以有 , 化简得 即 , , 要证 ,即证 , 即证 ,因为 , 所以即证: , 即 , 设 ,因为 ,所以 , 即证 ( ) 设 ( ), , 所以函数 在 上单调递增, 所以 ,即 , 即 ,即 .题型三:糅合双参(差值糅合) 【典例分析】 例题1.(2022·江苏江苏·高三期末)设 , . (1)设 ,讨论函数 的单调性; (2)若函数 在 有两个零点 , ,证明: . 【答案】(1)答案见解析 (2)证明见解析 (1) , , 时, ,当 时 , 是单调递增函数, 当 时 , 是单调递减函数; 时,令 ,得 , 当 即 时, 或 时 , 是单调增函数, 时 , 是单调递减函数, 当 即 时, 或 时 , 是单调增函数, 时 , 是单调递减函数, 当 即 时, , 在 上是单调增函数, 综上所述 时, 在 是单调递增函数,在 上是单调递减函数; 时, 在 , 上是单调增函数, 在 是单调递 减函数,时, 在 , 上是单调增函数, 在 是单调递减 函数, 时, 在 上是单调增函数. (2) 令 ,因为 ,所以 , 令 , ,两式相除得, , ① 不妨设 ,令 ,则 , , 代入①得: ,反解出: ,则 , 故要证 即证 ,又因为 , 等价于证明: , 构造函数 , 则 , , 故 在 上单调递增, , 从而 在 上单调递增, . 即 . 【提分秘籍】 利用换元法解决双变量问题,将要证明的不等式或目标代数式通过变形成关于 (或 等)的整体结构,通过将 (或 等)换元成 把问题化归成单变量问题 来处理.这一方法也称为“齐次换元”。【变式演练】 1.(2022·全国·高三专题练习)已知函数 . (1)当 时,求曲线 在点 处的切线方程; (2)当 时,若函数 ,求 的单调区间; (3)当 时,若函数 恰有两个不同的极值点 、 ,且 ,求 证: . 【答案】(1) (2)答案见解析; (3)证明见解析. (1)解:当 时, , ,则 , 故曲线 在点 处的切线方程为 ,即 . (2) 解:当 时, ,该函数的定义域为 . . 当 时,由 可得 或 . (i)当 时, ,由 ,可得 , 由 ,可得 或 , 此时函数 的增区间为 、 ,减区间为 ; (ii)当 时, ,对任意的 , 且 不恒为零,此时函数 在 上单调递增; (iii)当 时, ,由 ,可得 , 由 ,可得 或 , 此时函数 的增区间为 、 ,减区间为 . 综上所述 当 时,函数 的增区间为 、 ,减区间为 ; 当 时,函数 在 上单调递增; 当 时,函数 的增区间为 、 ,减区间为 . (3) 证明: ,则 , 令 ,则 . 当 时,由 可得 . 当 时, ,此时函数 单调递减, 当 时, ,此时函数 单调递增, 所以, ,解得 . 下面证明不等式 ,其中 ,即证 , 令 ,即证 对任意的 恒成立, 构造函数 ,其中 ,则 对任意的 恒成立,故函数 在 上单调递 增, 当 时, ,所以,当 时, , 由已知可得 ,两式作差可得 , 则 ,即 ,故原不等式得证. 题型四:利用对数平均(指数平均)不等式解决双变量问题 【典例分析】 例题1、已知函数 ( 为常数)有两个不同的零点 , ( 为自然对数 的底数)请证明: . 解析:借助 作为媒介,构造指数均值不等式: 因 为 : , 是 函 数 的 两 个 零 点 , 所 以 : , 欲 证 , 只 需 证 : ; 又 ; 所以只需证: ,即只需证: ,由指数均值不 等式可知, 成立;故 成立. 例题2.(2022·重庆·高二阶段练习)已知函数 , .(1)求证: , ; (2)若存在 、 ,且当 时,使得 成立,求证: . 【答案】(1)证明见解析 (2)证明见解析 (1) 证明:构造函数 ,其中 , 则 , 因为 ,则 , , 即当 时, ,所以,函数 在 上单调递减, 故当 时, ,即 . (2) 证明:先证明对数平均不等式 ,其中 , 即证 , 令 ,即证 , 令 ,其中 ,则 ,所以,函数 在 上为减函数,当 时, , 所以,当 时, , 本题中,若 ,则 , 此时函数 在 上单调递减,不合乎题意,所以, , 由(1)可知,函数 在 上单调递减,不妨设 ,则 , 则 ,即 , 所以, , 因为 ,则 , 所以, , 所以, , 所以, ,所以, , 由对数平均不等式可得 ,可得 ,所以, . 【提分秘籍】 1.对数均值不等式法 两个正数 和 的对数平均定义: 对数平均与算术平均、几何平均的大小关系: (此式记为对数平 均不等式)取等条件:当且仅当 时,等号成立. 2.指数不等式法 在对数均值不等式中,设 , ,则 ,根据对数均 值不等式有如下关系: 【变式演练】 1.(2022·湖北·武汉市第一中学高二期中)已知函数 有两个零点 、 ,则下列说法正确的是( ). A. B. C. D. 【答案】ACD 【详解】由 可得 ,令 ,其中 , 所以,直线 与曲线 的图象有两个交点, ,令 ,可得 ,列表如下: 减 极小值 增 作出函数 与 的图象如下图所示:由图可知,当 时,函数 与 的图象有两个交点,A对; 接下来证明对数平均不等式 ,其中 ,且 、 均为正数. 先证明 ,其中 , 即证 , 令 , ,其中 ,则 , 所以,函数 在 上为增函数,当 时, , 所以,当 时, , 接下来证明: ,其中 ,即证 , 令 ,即证 , 令 ,其中 ,则 , 所以,函数 在 上为减函数,当 时, , 所以,当 时, ,由已知可得 ,两式作差可得 ,所以, , 因为 ,故 , ,B错,CD都对. 故选:ACD. 2.(2022·全国·高二期末)已知函数 . (1)若 ,当 时,试比较 与 的大小; (2)若 的两个不同零点分别为 、 ,求证: . 【答案】(1) (2)证明见解析 (1) 解:因为 , , 当 时, ,且 , 又当 时, ,即函数 在 上单调递减,所以 . (2) 证明:先证明 ,其中 , 即证 , 令 , ,其中 ,则 , 所以,函数 在 上为增函数,当 时, , 所以,当 时, , 由题知 ,取对数有 ,即 , 又 ,所以 . 3.(2022·广东·深圳市第七高级中学高三阶段练习)已知 为自然对数的底数 . (1)讨论函数 的单调性; (2)若函数 有两个不同零点 ,求证: . 【答案】(1)详见解析; (2)证明见解析. 【详解】(1)由题可得 , 当 时, ,当 时, ; 所以当 时, 在 上是增函数,在 上是减函数; 当 时, 在 上是减函数,在 上是增函数; (2)因为 有两个不同零点 , ,则 , , 因此 ,即 , 要证 ,只要证明 ,即证 , 不妨设 ,记 ,则 , ,因此只要证明 ,即 , 记 ,则 , 令 ,则 , 所以函数 在 上递增, 则 ,即 , ∴ 在 上单调递增, ∴ , 即 成立, ∴ . 题型五:最值定位法解决双参不等式问题 【典例分析】 例题1.(2022·黑龙江齐齐哈尔·高三期中)已知函数 . (1)当 时,求函数 的单调区间; (2)若对于任意的 ,都存在 ,使得 成立,试求实数 的取 值范围. 【答案】(1)单调递增区间为 ,单调递减区间为 (2) 【详解】(1)由题可知函数 的定义域为 .因为 ,则 . 当 时, . 所以当 时, ,函数 在 上单调递减; 当 时, ,函数 在 上单调递增. 所以 的单调递增区间为 的单调递减区间为 . (2)因为 ,所以 , 又 ,所以 ,故函数 在 上单调递增, 所以 . 所以对任意的 恒成立,即 恒成立. 所以 恒成立. 令 ,则 . 令 ,则 ,解得 . 当 时, ,所以函数 在 上单调递增; 当 时, ,所以函数 在 上单调递减. 所以 .所以 . 所以实数 的取值范围是 . 【点睛】方法点睛:本题考查用导数研究函数的单调性、确定不等式恒成立问题.在含有全称量词与存在量词的命题中注意问题的转化: (1)对于任意的 ,任意的 , 恒成立 , (2)对于任意的 ,存在 ,使得 成立 , (3)存在 ,使得对任意的 ,都有 成立 , (4)存在 ,存在 ,使得 成立 . 例题2.(2022·全国·高二专题练习)已知函数 . (1)讨论函数 的单调性; (2)设 ( 为自然对数的底数),当 时,对任意 ,存在 ,使 ,求实数 的取值范围. 【答案】(1)答案见解析 (2) (1) 函数 的定义域为 , , ①当 时,由 得 ,即 的单调递增区间是 ; 由 得 ,即单调递减区间是 . ②当 时,由 得 ,即 的单调递增区间是 ); 由 得 ,即单调递减区间是 . (2)当 时,由(1)知,函数 在 上道减, 所以 ,所以 对任意 ,存在 ,使 即等价为 恒成立即可,即 .∴ , 设 , ∴ 在 上单调递增,在 上单调递减,∴ ∴ 【提分秘籍】 最值定位法解决双参不等式问题 (1) , ,使得 成立 (2) , ,使得 成立 (3) , ,使得 成立 (4) , ,使得 成立 【变式演练】 1.(2022·全国·高三专题练习)已知函数 , , , ,使不等式 成立,则 的取值范围是______. 【答案】 【详解】因为对 , ,使不等式 成立,所以 , 当 时, ,由 ,得 ,由 ,得 ,所以 在 上单调递减,在 上单调递增, 所以 , 因为 在 上单调递减,所以 , 所以 ,即 . 故答案为: . 2.(2022·山东聊城·高三期中)已知函数 . (1)讨论函数 的单调性; (2)设 ,当 时,对任意 ,存在 ,使 ,求实数m的取值范围. 【答案】(1)答案见解析 (2) 【详解】(1) 定义域为 , , 令 ,得 或 . 当 即 时: , ,函数 在 上单调递减; , ,函数 在 单调递增; 当 ,即 时:, ,函数 在 单调递增; , ,函数 在 上单调递减; , ,函数 在 上单调递增; 当 即 时: , ,函数 在 单调递增; 当 即 时: , ,函数 在 单调递增; , ,函数 在 上单调递减; , ,函数 在 上单调递增; 综上:当 时,单调递减区间有 ,单调递增区间有 ; 当 时,单调递减区间有 ,单调递增区间有 , ; 当 时,单调递增区间有 ,无单调递减区间; 当 时,单调递减区间有 ,单调递增区间有 , . (2)当 时, 由(1)得函数 在区间 上单调递减,在区间 , 上单调递增, 从而函数 在区间 上的最小值为 . 即存在 ,使 , 即存在 ,使得 , 即 ,令 , ,则 , 由 ,当 时, ,函数 单调递增;当 时, ,函数 单调递减, 所以 ,所以 . 3.(2022·宁夏六盘山高级中学高三期中(理))函数 , . (1)求 的单调递增区间; (2)对 , ,使 成立,求实数 的取值范围. 【答案】(1) ; (2) . 【详解】(1)因为 ,所以 , 当 ,即 时, , 单调递增, 等号仅在 时取得, 综上, 的单调递增区间是 . (2) ,即 , 设 , 则问题等价于 , , 由(1)可知,当 时, ,故 在 递增,∴ , , , ∵ 时, , , 故当 时, , 在 递增, , 故 ,即 , 即实数 的取值范围是 ; 4.(2022·四川·成都市锦江区嘉祥外国语高级中学有限责任公司模拟预测(文))已知函 数 , ,其中 , . (1)试讨论函数 的极值; (2)当 时,若对任意的 , ,总有 成立, 试求b的最大值. 【答案】(1)答案见解析 (2) 【详解】(1)由题意得 的定义域为 , . 当 时, 在区间 内恒成立, 在区间 内单调递增, 无极值. 当 时,令 ,得 ;令 ,得 . 在区间 内单调递增,在区间 内单调递减, 在 处取得极大值,且极大值为 ,无极小值.综上,当 时, 无极值;当 时, 的极大值为 ,无极小值. (2)由 知当 时, 的最大值为 . 由题意得 ,且 在区间 内单调递增. 又 , ,根据零点存在定理可得, 存在 ,使得 , 且当 时, ,则 单调递减, 当 时, ,则 单调递增, . , ,两边取对数可得 , . 令 ,则当 时, , 即函数 在区间 内单调递减,故 , ,即 ,即 .对任意的 , ,总有 成立, ,即 , ,即 . 又 ,故 的最大值为0.一、单选题 1.(2022·山东烟台·高三期中)若对任意正实数x,y都有 ,则 实数m的取值范围为( ) A. B. C. D. 【答案】A 【详解】因为 , 所以 ,设 , 则 , , 令 恒成立,故 单调递减, 当 时, ,函数 单调递增; 当 时, ,函数 单调递减;. 故 所以 ,得到 . 故选:A.2.(2022·全国·高三专题练习)若对于任意的 ,都有 ,则 的最大值为( ) A.1 B. C. D. 【答案】C 【详解】解: , , , , , 函数 在定义域 上单调递增, 在 上恒成立, 由 ,解得 ,故 的最大值是 . 故选:C. 3.(2022·江西省丰城中学高三开学考试(文))已知 , ,有如下 四个结论: ① ;② ;③ 满足 ;④ . 则正确结论的序号是( ) A.①③ B.②③ C.①④ D.②④ 【答案】C 【详解】由 ,则 ,设 ,则 当 时, ,当 时,所以 在 上单调递增,在 上单调递减, 又 ,当 时,有 ,则 的图象如图. 由 ,即 ,且 ,所以 ,所以①正确,②错 误; 设 ,则 两式相减得 ,得 两式相加得 设 ,则 所以 在 上单调递增,则 所以 在 上单调递增, ,即所以 ,即 所以 ,故④正确,③错误; 综上,正确的命题是①④, 故选:C. 4.(2022·江西南昌·高二期末(理))已知 ,若对于 且 都有 成立,则实数 的取值范围是( ) A. B. C. D. 【答案】D 【详解】由题意,对于 且 都有 成立, 不妨设 ,可得 恒成立, 即对于 且 时,都有 恒成立, 构造函数 , 可转化为 ,函数 为单调递增函数, 所以当 时, 恒成立, 又由 ,所以 在 上恒成立, 即 在 上恒成立, 又由 ,所以 , 即实数 的取值范围为 .故选:D. 5.(2021·全国·高二课时练习)设函数 , ,若对任意 、 ,不等式 恒成立,则正数 的取值范围为( ) A. B. C. D. 【答案】D 【详解】对任意 、 ,不等式 恒成立,则 . 当 时,由基本不等式可得 , 当且仅当 时,等号成立,所以, . , 对任意的 恒成立, 所以,函数 在区间 上单调递增,所以, , 所以, ,因为 ,解得 . 故选:D. 6.(2021·江苏·高二单元测试)已知函数 的定义域为 ,当 , 时, , ,若对 , , , ,使得 ,则正实数 的取值范围为( ) A. , B. , C. , D. , 【答案】D【详解】解: 对 , , , ,使得 , , ①当 , 时, , , ②当 , 时, , , 在 , 上单调递增, (4) ,由①②得 , 又 , 在 , 上为增函数, , , , 的取值范围为 , . 故选:D. 7.(2021·江苏·高二单元测试)已知函数 , ,若 对任意 ,存在 , ,使 ,则实数 的取值范围是( ) A. B. C. , D. , 【答案】B 【详解】解: 函数 , , 若 , , 为增函数; 若 , 或 , 为减函数; 在 上有极值, 在 处取极小值也是最小值 ; ,对称轴 , , , 当 时, 在 处取最小值 ;当 时, 在 处取最小值 ; 当 时, 在 , 上是减函数, ; 对任意 ,存在 , ,使 , 只要 的最小值大于等于 的最小值即可, 当 时, ,解得 ,故 无解;当 时, ,解得 , 综上: , 故答案为: , . 8.(2021·河南·高三阶段练习(文))已知函数 ,对 ,使得 成立,则 的取值范围是( ) A. B. C. D. 【答案】D 【详解】 时, ,使得 成立对函数 当 时, ,此时 当 时, 令 得 当 时, , 单调递减 当 时, , 单调递增 所以 为极小值点,此时 故 当 , 不合题意; 当 , 所以 ,解得 当 , 所以 ,解得 综上得 故选:D. 二、多选题 9.(2021·广东·金山中学高二期中)已知函数 , ,若, ,则 的取值可能是( ) A. B. C. D. 【答案】BC 【详解】由题意, ,得 , ∴ ,即 , 又 ,得 ∵ 在 上单调递增, ∴综上知: , ∴ , 令 , ,则 ∴ ,得 ; ,得 ; 故 在 上单调递减,在 上单调递增. ∴ , A:因为 ,所以本选项不符合题意; B:因为 ,所以本选项符合题意; C:显然符合题意; D:因为 ,所以本选项不符合题意, 故选:BC 三、填空题10.(2021·江西·赣州市第一中学高二阶段练习(理))已知三个函数 , , .若 , ,都有 成立,求实数b的取值范围______. 【答案】 【详解】由题知 , . . 在 上单调递增;在 上单调递减, 易知 在区间 上的最大值为 , , ,都有 成立, 即 在 上的最大值大于等于 在 上的最大值, 即 ,即 ,解得 , 故答案为: . 11.(2021·黑龙江·牡丹江市第三高级中学高三阶段练习(文))已知函数 , ,若 , ,使得 ,则实数 的取值范围是 ________. 【答案】 . 【详解】解:依题意知 ,令 , 在 恒成立, 在 上单调递增, , 所以 在 上单调递减, , 在 是增函数, , 所以 ,即 故答案为: . 四、解答题 12.(2022·云南·昆明一中高三阶段练习(文))设 , . (1)如果存在 使得 成立,求满足上述条件的最大值 ; (2)如果对于任意的 ,都有 成立,求实数 的取值范围. 【答案】(1) ;(2) . 【详解】(1)由题意,存在 使 成立,等价于 , 因为函数 ,可得 . 令 ,解得 或 ;令 ,解得 , 又因为 ,所以 在区间 上单调递减,在区间 上单调递增, 所以 ,又由 ,所以 , 所以 ,即 的最大值为 . (2)对于任意的 ,都有 成立, 等价于在区间 上, , 由(1)知在区间 上 , 在区间 上, 恒成立等价于 恒成立, 设 ,可得 可知 在区间 上是减函数, 又由 ,所以当 时, , 单调递增; 当 时, , 单调递减; 所以 ,所以 ,即 的取值范围是 . 13.(2022·安徽·合肥市第九中学高二期中)已知 的图象在 处的 切线与直线 平行. (1)求函数 的极值; (2)若 , , ,求实数 的取值范围. 【答案】(1)极大值为 ,无极小值;(2) , . 【详解】(1) 的导数为 , 可得 的图象在 , (1) 处的切线斜率为 ,由切线与直线 平行,可得 , 即 , , , 由 ,可得 ,由 ,可得 , 则 在 递增,在 递减, 可得 在 处取得极大值为 ,无极小值; (2)可设 ,若 , , ,可得 , 即有 , 设 在 为增函数, 即有 对 恒成立, 可得 在 恒成立, 由 的导数为 得: 当 ,可得 , 在 递减,在 , 递增, 即有 在 处取得极小值,且为最小值 , 可得 , 解得 , 则实数 的取值范围是 , .14.(2022·河南·郑州励德双语学校高三阶段练习(文))已知函数 . (1)当 时,讨论 的单调性; (2)设 ,当 时,若对任意 ,存在 使 ,求实 数 取值范围. 【答案】(1)当 时,函数 在 上单调递减;函数 在 上单调递增;当 时,函数 在 上单调递减; 当 时,函数 在 上单调递减;函数 在 上单调递增;函数 在 上单调递减;(2) . 【详解】(1)定义域 因为 所以 令 (i)当 时, 所以当 时, ,此时 ,函数 单调递增; 当 时, ,此时 ,函数 单调递增 (ii)当 时,由 , 即 ,解得①当 时, , 恒成立,此时 ,函数 在 上单调递减; ②当 时, 时, ,此时 ,函数 单调递减; 时, ,此时 ,函数 单调递增; 时, ,此时 ,函数 单调递减; ③当 时,由于 时, ,此时 ,函数 单调递减; 时, ,此时 ,函数 单调递增; 综上所述: 当 时,函数 在 上单调递减; 函数 在 上单调递增; 当 时,函数 在 上单调递减; 当 时,函数 在 上单调递减; 函数 在 上单调递增; 函数 在 上单调递减 (2)因为 ,由于(I)知, ,当 时, ,函数 单调递减:当 时, ,函数 单调递增,所以 在 上的最 小值为 由于“对任意 ,存在 ,使 ”等价于“ 在 上的最小值 不大于 在 上的最小值 ” 又 , ,所以 ①当 时,因为 ,此时与 矛盾 ②当 时,因为 ,同样与 矛盾 ③当 时,因为 ,解不等式 可得 综上, 的取值范围是 . 15.(2022·四川乐山·高二期末(文))已知函数 . (1)求函数 的最大值; (2)斜率为k的直线与曲线 交于 , 两点,求证: . 【答案】(1) (2)证明见解析 (1) ∵ ,令 ,得 .当 时, , 单调 递增;当 时, , 单调递减,∴ . (2) ∵ ,又 ,则 ,则 ,欲证 , 只需证 .只要证 ,令 ,只要证 ,由 知 ,只要证 . ①设 ,∵ ,∴ 在 是增函数,∴当 时, ,即 ; ②设 ,∵ ,∴ 在 是增函数,∴当 时, ,即 . 由①②知 成立,则 得证. 16.(2022·江西·二模(理))设 为实数,函数 . (1)判断函数 在定义域上的单调性; (2)若方程 有两个实数根 ,证明: ( 是自然对数的底数) 【答案】(1)答案见解析 (2)证明见解析 (1) ,当 时,函数 在 上单调递增; 当 时,函数 在 上单调递增,在 上单调递减. (2) 证明: , 令 , 在 上单调递增,在 上单调递减, ,∴ , 不妨设 ,则 ,故 , 令 ,所以 , 要证 ,只要证 ,只要证 , 令 , 设 , ∴ 在 上单调递减,在 上单调递增, ∵ ,则存在 ,使得 , ∴ 在 上单调递增,在 上单调递减,在 上单调递增, ∵ , ∴ 在 上恒成立,即证 . 17.(2022·天津二十中高三期中)已知函数. (1)若 ,求函数 的单调增区间; (2)若关于x的不等式 恒成立,求整数a的最小值; (3)当 时,函数 恰有两个不同的零点 ,且 ,求证: . 【答案】(1)单调增区间为 (2)2 (3)证明见解析 【详解】(1)当 时, ,所以 , 则 ,定义域为 . 令 ,解得: . 所以 的单调增区间为 . (2)依题意 对 恒成立,等价于 对 恒成立. 令 ,则 令 在 上是增函数, , 所以 ,使 即 对 , , ,所以 在 上单调递增;对 , , ,所以 在 上单调递减. 所以 . 所以 . 又 ,所以整数a的最小值2 (3)当 时,由(2)知 在 上单调递增,在 上单调递减且 , 时, ; 时, ; 依题意存在 , 使得 已知 可得 要证 成立,只需证 因为 是 的零点,所以 , 两式相减得: 即 只需证 又因为 只需证 即证令 则 ,所以 , 所以 在 增函数,所以 即 . 即 成立. 所以原不等式得证. 18.(2022·四川·盐亭中学模拟预测(文))设m为实数,函数 . (1)当 时,求函数 的单调区间; (2)若方程 有两个实数根 ,证明: . (注: 是自然对数的底数) 【答案】(1)在 上单调递增,在 上单调递减 (2)证明见解析 (1) , 令 解得: ;令 解得: 函数 在 上单调递增,在 上单调递增. (2) 证明: , 令 , , 在 上单调递增,在 上单调递减,则 的极大值为: , ,不妨设 ,则 ,故 , 令 ,所以 , 要证 ,只要证: , 只要证: , 令 , 设 , 在 上单调递减,在 上单调递增, ∵ , 则存在 ,使得 , 在 上单调递增,在 上单调递减,在 上单调递增, , 在 上恒成立, 即证得: .