当前位置:首页>文档>专题4.8三角函数的图象与性质-重难点题型精练(举一反三)(新高考地区专用)(原卷版)_2.2025数学总复习_2023年新高考资料_一轮复习

专题4.8三角函数的图象与性质-重难点题型精练(举一反三)(新高考地区专用)(原卷版)_2.2025数学总复习_2023年新高考资料_一轮复习

  • 2026-04-26 16:21:57 2026-03-18 01:34:55

文档预览

专题4.8三角函数的图象与性质-重难点题型精练(举一反三)(新高考地区专用)(原卷版)_2.2025数学总复习_2023年新高考资料_一轮复习
专题4.8三角函数的图象与性质-重难点题型精练(举一反三)(新高考地区专用)(原卷版)_2.2025数学总复习_2023年新高考资料_一轮复习
专题4.8三角函数的图象与性质-重难点题型精练(举一反三)(新高考地区专用)(原卷版)_2.2025数学总复习_2023年新高考资料_一轮复习
专题4.8三角函数的图象与性质-重难点题型精练(举一反三)(新高考地区专用)(原卷版)_2.2025数学总复习_2023年新高考资料_一轮复习
专题4.8三角函数的图象与性质-重难点题型精练(举一反三)(新高考地区专用)(原卷版)_2.2025数学总复习_2023年新高考资料_一轮复习
专题4.8三角函数的图象与性质-重难点题型精练(举一反三)(新高考地区专用)(原卷版)_2.2025数学总复习_2023年新高考资料_一轮复习
专题4.8三角函数的图象与性质-重难点题型精练(举一反三)(新高考地区专用)(原卷版)_2.2025数学总复习_2023年新高考资料_一轮复习

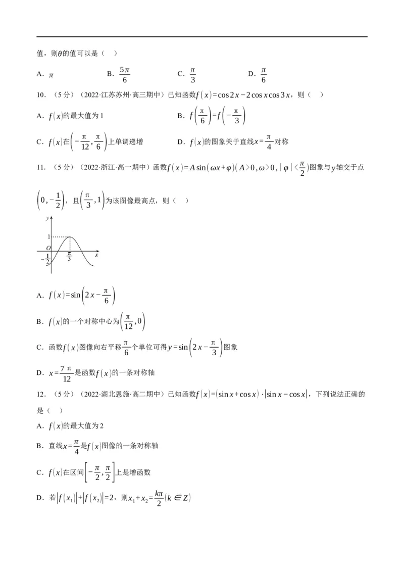
文档信息

文档格式
docx
文档大小
0.201 MB
文档页数
7 页
上传时间
2026-03-18 01:34:55

文档内容

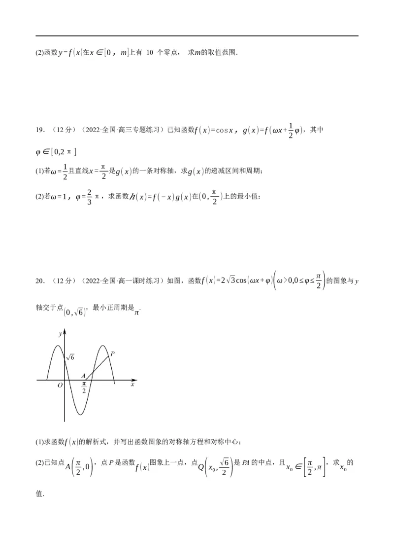
专题4.8 三角函数的图象与性质-重难点题型精练 【新高考地区专用】 考试时间:90分钟;满分:150分 姓名:___________班级:___________考号:___________ 考卷信息: 本卷试题共22题,单选8题,多选4题,填空4题,解答6题,满分150分,限时90分钟,本卷题型针对性较 高,覆盖面广,选题有深度,可衡量学生掌握本节内容的具体情况! 一.选择题(共8小题,满分40分,每小题5分) [ π] 1.(5分)(2022·四川省高三阶段练习(文))若x∈ 0, ,则函数f (x)=3sinxcosx+√3sin2x的 2 值域为( ) [ 3√3] [ √3] A. 0, B. 0, C.[0,√3] D.[0,3+√3] 2 2 2 4 3 4 3 2.(5分)(2022·黑龙江·高三阶段练习)已知实数a=sin ,b= sin ,c= cos ,则a,b,c的 3 3 4 3 4 大小关系为( ) A.ab>c D.a>c>b π π ( ) 3.(5分)(2023·全国·高三专题练习)已知函数f(x)=sinx+acosx在区间 , 上是减函数,则实 4 2 数a的取值范围为( ) A.a>√2−1 B.a≥1 C.a>1−√2 D.a≥−1 ( π) 4.(5分)(2022·河北·高三开学考试)已知函数f (x)=tan 2x− ,下列说法正确的有( ) 4 π ①函数f (x)最小正周期为 ; 2 { kπ π } ②定义域为 x|x∈R,x≠ + ,k∈Z 2 8 (kπ π ) ③f (x)图象的所有对称中心为 + ,0 ,k∈Z; 4 8 (kπ π kπ 3π) ④函数f (x)的单调递增区间为 − , + ,k∈Z. 2 8 2 8 A.1个 B.2个 C.3个 D.4个 5.(5分)(2022·北京市高三阶段练习)函数f (x)=sinx−cos2x是( )A.奇函数,且最小值为-2 B.偶函数,且最小值为-2 9 9 C.非奇非偶函数,且最小值为− D.非奇非偶函数,且最大值为 8 8 ( π) π 6.(5分)(2022·山西·高二学业考试)将函数f (x)=cos 2x− 的图象向左平移 个单位,得到函数 6 3 y=g(x)的图象,那么下列说法正确的是( ) ( π ) A.函数g(x)的最小正周期为2π B.函数g(x)的图象关于点 ,0 对称 12 π C.函数g(x)为奇函数 D.函数g(x)的图象关于直线x= 对称 2 7.(5分)(2022·河南·高三阶段练习(理))已知函数f(x)=sinωx−cosωx(ω>0)图象的相邻两条对 π 称轴之间的距离为 ,则下列结论错误的是( ) 2 ( 3π ) A.f (x)的图象关于点 − ,0 对称 8 [ π π] B.f (x)在 − , 上单调递增 12 4 [ π] C.f (x)在 0, 上的值域为[−1,1] 2 π D.将f (x)的图象向右平移 个单位长度,得到的函数图象关于y轴对称 8 π 8.(5分)(2022·四川省高二阶段练习(理))设函数f(x)=sin(ωx− )(ω>0),若 4 π |f(x )−f(x )|=2时,|x −x |的最小值为 ,则( ) 1 2 1 2 3 π A.函数f(x)的周期为 3 π B.将函数f(x)的图像向左平移 个单位,得到的函数为奇函数 4 π π (π π] C.当x∈( , ),f(x)的单增区间为 , 6 3 6 5 D.函数f(x)在区间[−π,π]上的零点个数共有6个. 二.多选题(共4小题,满分20分,每小题5分) ( π) [ π ) 9.(5分)(2022·贵州省高二阶段练习(理))若函数f (x)=2sin 2x+ 在区间 ,θ 内不存在最小 6 12值,则θ的值可以是( ) 5π π π A.π B. C. D. 6 3 6 10.(5分)(2022·江苏苏州·高三期中)已知函数f(x)=cos2x−2cosxcos3x,则( ) π π A.f (x)的最大值为1 B.f ( )=f ( − ) 6 3 π π π C.f (x)在 ( − , ) 上单调递增 D.f (x)的图象关于直线x= 对称 12 6 4 π 11.(5分)(2022·浙江·高一期中)函数f(x)=Asin(ωx+φ)(A>0,ω>0,|φ|< )图象与y轴交于点 2 ( 1) ( π ) 0,− ,且 ,1 为该图像最高点,则( ) 2 3 π A.f(x)=sin ( 2x− ) 6 π ( ) B.f (x)的一个对称中心为 ,0 12 π π C.函数f(x)图像向右平移 个单位可得y=sin ( 2x− ) 图象 6 3 7π D.x= 是函数f(x)的一条对称轴 12 12.(5分)(2022·湖北恩施·高二期中)已知函数f (x)=(sinx+cosx)⋅|sinx−cosx|,下列说法正确的 是( ) A.f (x)的最大值为2 π B.直线x= 是f (x)图像的一条对称轴 4 [ π π] C.f (x)在区间 − , 上是增函数 2 2 kπ D.若|f (x )|+|f (x )|=2,则x +x = (k∈Z) 1 2 1 2 2三.填空题(共4小题,满分20分,每小题5分) π 13.(5分)(2022·浙江·高一期末)已知函数f (x)=3cos ( 2x− )+1单调递增区间为 6 . 14.(5分)(2022·天津高三阶段练习)设f (x)=2√3cos (π +x ) sinx+(sinx+cosx)2-1,则f (x) 2 [π 5π ] 在 , 上的值域为 . 6 6 1 √3 15.(5分)(2022·山东省高三期中)若将函数f (x)= sin(2x+φ)+ cos(2x+φ)(0<φ<π)的图像关 2 2 (π ) [ π π] 于点 ,0 对称,则函数g(x)=sin(x+φ)在 − , 上的最小值为 . 2 2 6 π π 16.(5分)(2023·全国·高三专题练习)已知函数f(x)=sin( +x)sin( −x)给出下列四个结论: 4 4 ①f(x)的值域是[−1,1]; π ②f(x)在[0, ]上单调递减: 2 ③f(x)是周期为π的周期函数 π ④将f(x)的图象向左平移 个单位长度后,可得一个奇函数的图象 2 其中所有正确结论的序号是 . 四.解答题(共6小题,满分70分) 17.(10分)(2022·广东·高三学业考试)已知函数f(x)=√3sin2x−cos2x. (1)求函数f(x)的最小正周期和最大值; (2)求函数f(x)的单调递减区间. 18.(12分)(2022·重庆市高三阶段练习(理))已知向量 , 函数 . ⃗a=(2sinx,cosx−sinx),⃗b=(cosx,√3(cosx+sinx)) f (x)=⃗a⋅⃗b−1 (1)求函数y=f (x)的值域;(2)函数y=f (x)在x∈[0,m]上有 10 个零点, 求m的取值范围. 1 19.(12分)(2022·全国·高三专题练习)已知函数f(x)=cosx,g(x)=f(ωx+ φ),其中 2 φ∈[0,2π] 1 π (1)若ω= 且直线x= 是g(x)的一条对称轴,求g(x)的递减区间和周期; 2 2 2 π (2)若ω=1,φ= π,求函数 ℎ(x)=f(−x)g(x)在(0, )上的最小值; 3 2 ( π) 20.(12分)(2022·全国·高一课时练习)如图,函数f (x)=2√3cos(ωx+φ) ω>0,0≤φ≤ 的图象与y 2 轴交于点 ,最小正周期是 . (0,√6) π (1)求函数f (x)的解析式,并写出函数图象的对称轴方程和对称中心; (2)已知点 (π ),点P是函数 图象上一点,点 ( √6)是PA的中点,且 [π ],求 的 A ,0 f (x) Q x , x ∈ ,π x 2 0 2 0 2 0 值.( 2 ) 1 21.(12分)(2022·安徽·高三阶段练习)已知函数f(x)=2sinxsin x+ π + 3 2 (1)求函数f(x)的单调增区间; [ π 11 ] (2)若函数y=f(x)−k在区间 − , π 上有且仅有两个零点,求实数k的取值范围. 6 12 22.(12分)(2022·河北·高三开学考试)设函数f(x)=√2sin(ωx+φ)(ω>0,0<φ<π),该函数图象上 相邻两个最高点间的距离为4π,且f (x)为偶函数. (1)求ω和φ的值; (2)已知角A,B,C为△ABC的三个内角,若(2sin A−sinC)cosB=sinBcosC,求f2(A)+f2(C)的取 值范围.