当前位置:首页>文档>19.2.6一次函数的应用(第四课时)(导学案)-(人教版)_初中数学_八年级数学下册(人教版)_导学案

19.2.6一次函数的应用(第四课时)(导学案)-(人教版)_初中数学_八年级数学下册(人教版)_导学案

  • 2026-04-23 00:56:16 2026-03-18 23:58:45

文档预览

19.2.6一次函数的应用(第四课时)(导学案)-(人教版)_初中数学_八年级数学下册(人教版)_导学案
19.2.6一次函数的应用(第四课时)(导学案)-(人教版)_初中数学_八年级数学下册(人教版)_导学案
19.2.6一次函数的应用(第四课时)(导学案)-(人教版)_初中数学_八年级数学下册(人教版)_导学案
19.2.6一次函数的应用(第四课时)(导学案)-(人教版)_初中数学_八年级数学下册(人教版)_导学案
19.2.6一次函数的应用(第四课时)(导学案)-(人教版)_初中数学_八年级数学下册(人教版)_导学案
19.2.6一次函数的应用(第四课时)(导学案)-(人教版)_初中数学_八年级数学下册(人教版)_导学案

文档信息

文档格式
docx
文档大小
1.127 MB
文档页数
6 页
上传时间
2026-03-18 23:58:45

文档内容

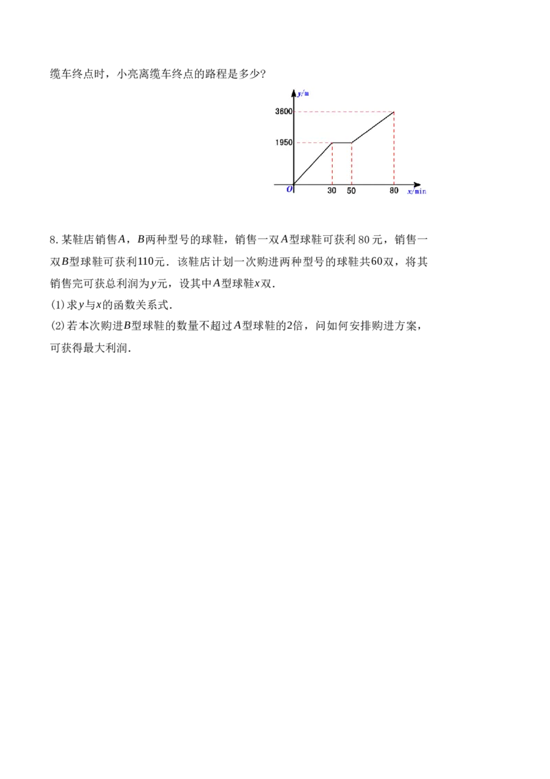
思考:你能由 人教版初中数学八年级下册 上面的函数解 19.2.6 一次函数的应用 导学案 析式解决以下 问题吗?由函 一、学习目标: 数图象也能解 1.巩固一次函数知识,灵活运用变量关系解决相关实际问题; 决这些问题吗? 2.有机地把各种数学模型通过函数统一起来使用,提高解决实际问题的能力; (1)一次购买 3.认识数学在现实生活中的意义,提高运用数学知识解决实际问题的能力. 1.5kg 种子, 重点:根据问题及条件找出能反映出实际问题的函数. 需付款____元; 难点:能利用一次函数图象解决简单的实际问题,能够将实际问题转化为一次 (2)一次购买 函数的问题. 3kg 种子,需 二、学习过程: 提出问题 付款____元. 提出问题:下图所表示的函数是正比例函数吗?是一次函数吗?你是怎样认为 【针对练习】 1.某景区集体 的? 门票的收费标 准是:20 人 以 内 ( 含 20 人)每人25元, 超过 20 人的 典例解析 部分每人 15 例1.“黄金1号”玉米种子的价格为5元/kg,如果一次购买2kg以上的种子. 元. 超过2kg部分的种子价格打8折. (1)写出应收 (1)填写下表 门票 y(元)与 游 览 人 数 x(不超过 20 (2)写出付款金额关于购买量的函数解析式, 人)之间的函 并画出函数图象. 数 关 系 式 : _________; (2)写出应收门票y(元)与游览人数x(超过20人)之间的函数关系式:________________. (2)如果该电 2.为缓解用电紧张,某电力公司特制定了新的用电收费标准,每月用电量 器厂每天最多 x(度)与应付电费y(元)的关系如图所示.请问答: 投 入 成 本 为 (1)当每月用电量不超过50度时,用电价格是____元/度; 4590 元 , 那 (2)当每月用电量超过50度时,超出部分的用电价格是____元/度. 么每天生产多 少件A种电器 时,所获利润 最大?并求出 这个最大利润. 例2.某校手工社团计划制作A、B两类手工产品共100个,准备在“红领巾爱心 义卖”活动中出售,所获收入全部捐给希望小学建图书角. 若售出3个A类产 品和2个B类产品收入65元,售出4个A类产品和3个B类产品收入90元. (1)求A、B两类手工产品的售价各是多少元; 例 3.“人人 (2)已知A类产品个数不超过B类产品的3倍,则制作A、B类两种产品各多少 冬奥,全民冰 个的时候总收入最多?请说明理由. 雪”,寒假赵 凯一家乘车去 离家80千米的 太白山滑雪场 体验滑雪运动, 出 发 后 , 前 1.5小 时 匀 速 【针对练习】某电器厂生产A、B两种家用小电器,若每天生产A、B两种电器 行驶了30千米, 共60件,这两种电器每件的成本和售价如表: 之后又匀速行 驶了1小时到 达目的地,他 们在滑雪场玩 设每天生产A种电器x件,每天获得的利润为y元. 了4小时后乘 (1)求y与x之间的函数关系式; 车回家他们离家的距离y(千米)与时间x(小时)之间的函数关系如图所示. 若 购 买 1000 (1)求AB的函数表达式. 吨,每吨 800 (2)赵凯一家经过多长时间离家的距离为40千米? 元 , 购 买 2000 吨 , 每 吨 700 元,一 客 户 购 买 4000 吨 单 价 为______元. 4.如图所示的 折线 ABC 为某 地出租汽车收 费 y(元)与乘 坐路程 x(千 达标检测 米)之间的函 1.如图所示,表示的是某航空公司托运行李的费用 y(元)与托运行李的质量 数关系式图象. x(千克)的关系,由图中可知行李的质量只要不超过_____千克,就可以免费托 根据图象回答 运. 下列问题: (1)出租车的 起步价是____ 元; (2)当 x>3 千 米时,该函数 2.弹簧的长度与所挂物体的质量的关系是一次函数,如图所示,则不挂物体时 的 解 析 式 为 弹簧的长度是_____cm. ___________; (3)乘坐 8 千 米时,车费为 _____元. 3.在一定范围内,某种产品购买量y吨与单价x元之间满足一次函数关系式,点会合.已知 小亮行走到缆 车终点的路程 是缆车到山顶 的线路长的 2 倍,小颖在小 5.某农户种植一种经济作物,总用水量y(米3)与种植时间x(天)之间的函数关 亮 出 发 后 系式如图所示. 50min 才乘上 (1)第20天的总用水量为多少米3? 缆车,缆车的 (2)当x≥20时,求y与x之间的函数关系式. 平 均 速 度 为 (3)种植时间为多少天时,总用水量达到7000米3? 180m/min. 设 小 亮 出 发 xmin 后 行 走 的路程为 ym. 图中的折线表 示小亮在整个 行走过程中 y 6.某市自来水公司为限制单位用水,每月只给某单位计划内用水 3000吨,计 与x的函数关 划内用水每吨收费1.5元,超计划部分每吨按1.8元收费. 系. (1)写出该单位水费y(元)与每月用水量x(吨)之间的函数关系式:①当用水量 (1)小亮行走 小 于 或 等 于 3000 吨 时 ________ ; ② 当 用 水 量 大 于 3000 吨 时 的 总 路 程 是 __________________. _____m, 他 途 (2)某月该单位用水 3200吨,水费是______元;若用水2800吨,水费______ 中 休 息 了 元. ____min. (3)若某月该单位缴纳水费4590元,则该单位用水多少吨? |(2)① 当 50≤x≤80 时 求 y 与 x 的 函数关系式; ②当小颖到达 7.小颖和小亮上山游玩,小颖乘坐缆车,小亮步行,两人相约在山顶的缆车终缆车终点时,小亮离缆车终点的路程是多少? 8.某鞋店销售A,B两种型号的球鞋,销售一双A型球鞋可获利80元,销售一 双B型球鞋可获利110元.该鞋店计划一次购进两种型号的球鞋共60双,将其 销售完可获总利润为y元,设其中A型球鞋x双. (1)求y与x的函数关系式. (2)若本次购进B型球鞋的数量不超过A型球鞋的2倍,问如何安排购进方案, 可获得最大利润.