当前位置:首页>文档>专题12圆中的重要模型之定角定高(探照灯)模型、米勒最大角模型(教师版)_初中数学_九年级数学下册(人教版)_常见几何模型全归纳-V13_2024版

专题12圆中的重要模型之定角定高(探照灯)模型、米勒最大角模型(教师版)_初中数学_九年级数学下册(人教版)_常见几何模型全归纳-V13_2024版

  • 2026-04-13 19:17:44 2026-03-22 03:07:30

文档预览

专题12圆中的重要模型之定角定高(探照灯)模型、米勒最大角模型(教师版)_初中数学_九年级数学下册(人教版)_常见几何模型全归纳-V13_2024版
专题12圆中的重要模型之定角定高(探照灯)模型、米勒最大角模型(教师版)_初中数学_九年级数学下册(人教版)_常见几何模型全归纳-V13_2024版
专题12圆中的重要模型之定角定高(探照灯)模型、米勒最大角模型(教师版)_初中数学_九年级数学下册(人教版)_常见几何模型全归纳-V13_2024版
专题12圆中的重要模型之定角定高(探照灯)模型、米勒最大角模型(教师版)_初中数学_九年级数学下册(人教版)_常见几何模型全归纳-V13_2024版
专题12圆中的重要模型之定角定高(探照灯)模型、米勒最大角模型(教师版)_初中数学_九年级数学下册(人教版)_常见几何模型全归纳-V13_2024版
专题12圆中的重要模型之定角定高(探照灯)模型、米勒最大角模型(教师版)_初中数学_九年级数学下册(人教版)_常见几何模型全归纳-V13_2024版
专题12圆中的重要模型之定角定高(探照灯)模型、米勒最大角模型(教师版)_初中数学_九年级数学下册(人教版)_常见几何模型全归纳-V13_2024版
专题12圆中的重要模型之定角定高(探照灯)模型、米勒最大角模型(教师版)_初中数学_九年级数学下册(人教版)_常见几何模型全归纳-V13_2024版
专题12圆中的重要模型之定角定高(探照灯)模型、米勒最大角模型(教师版)_初中数学_九年级数学下册(人教版)_常见几何模型全归纳-V13_2024版
专题12圆中的重要模型之定角定高(探照灯)模型、米勒最大角模型(教师版)_初中数学_九年级数学下册(人教版)_常见几何模型全归纳-V13_2024版
专题12圆中的重要模型之定角定高(探照灯)模型、米勒最大角模型(教师版)_初中数学_九年级数学下册(人教版)_常见几何模型全归纳-V13_2024版
专题12圆中的重要模型之定角定高(探照灯)模型、米勒最大角模型(教师版)_初中数学_九年级数学下册(人教版)_常见几何模型全归纳-V13_2024版
专题12圆中的重要模型之定角定高(探照灯)模型、米勒最大角模型(教师版)_初中数学_九年级数学下册(人教版)_常见几何模型全归纳-V13_2024版
专题12圆中的重要模型之定角定高(探照灯)模型、米勒最大角模型(教师版)_初中数学_九年级数学下册(人教版)_常见几何模型全归纳-V13_2024版
专题12圆中的重要模型之定角定高(探照灯)模型、米勒最大角模型(教师版)_初中数学_九年级数学下册(人教版)_常见几何模型全归纳-V13_2024版
专题12圆中的重要模型之定角定高(探照灯)模型、米勒最大角模型(教师版)_初中数学_九年级数学下册(人教版)_常见几何模型全归纳-V13_2024版
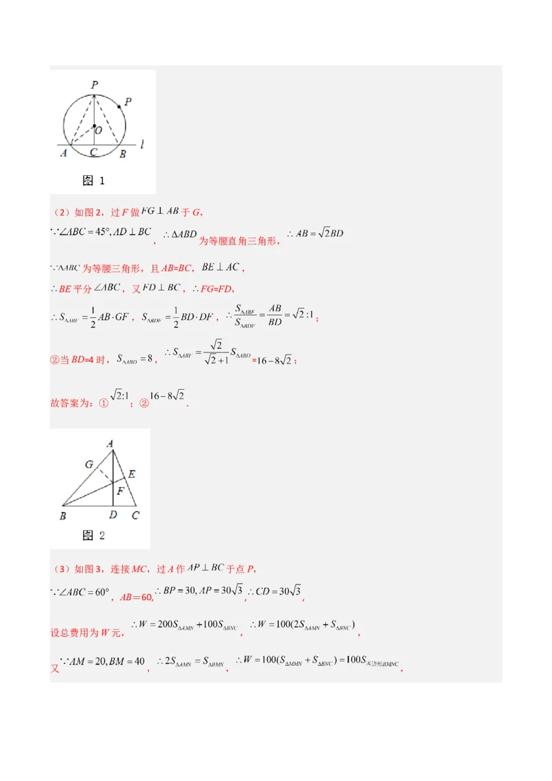
专题12圆中的重要模型之定角定高(探照灯)模型、米勒最大角模型(教师版)_初中数学_九年级数学下册(人教版)_常见几何模型全归纳-V13_2024版
专题12圆中的重要模型之定角定高(探照灯)模型、米勒最大角模型(教师版)_初中数学_九年级数学下册(人教版)_常见几何模型全归纳-V13_2024版
专题12圆中的重要模型之定角定高(探照灯)模型、米勒最大角模型(教师版)_初中数学_九年级数学下册(人教版)_常见几何模型全归纳-V13_2024版
专题12圆中的重要模型之定角定高(探照灯)模型、米勒最大角模型(教师版)_初中数学_九年级数学下册(人教版)_常见几何模型全归纳-V13_2024版
专题12圆中的重要模型之定角定高(探照灯)模型、米勒最大角模型(教师版)_初中数学_九年级数学下册(人教版)_常见几何模型全归纳-V13_2024版
专题12圆中的重要模型之定角定高(探照灯)模型、米勒最大角模型(教师版)_初中数学_九年级数学下册(人教版)_常见几何模型全归纳-V13_2024版
专题12圆中的重要模型之定角定高(探照灯)模型、米勒最大角模型(教师版)_初中数学_九年级数学下册(人教版)_常见几何模型全归纳-V13_2024版
专题12圆中的重要模型之定角定高(探照灯)模型、米勒最大角模型(教师版)_初中数学_九年级数学下册(人教版)_常见几何模型全归纳-V13_2024版
专题12圆中的重要模型之定角定高(探照灯)模型、米勒最大角模型(教师版)_初中数学_九年级数学下册(人教版)_常见几何模型全归纳-V13_2024版
专题12圆中的重要模型之定角定高(探照灯)模型、米勒最大角模型(教师版)_初中数学_九年级数学下册(人教版)_常见几何模型全归纳-V13_2024版
专题12圆中的重要模型之定角定高(探照灯)模型、米勒最大角模型(教师版)_初中数学_九年级数学下册(人教版)_常见几何模型全归纳-V13_2024版
专题12圆中的重要模型之定角定高(探照灯)模型、米勒最大角模型(教师版)_初中数学_九年级数学下册(人教版)_常见几何模型全归纳-V13_2024版
专题12圆中的重要模型之定角定高(探照灯)模型、米勒最大角模型(教师版)_初中数学_九年级数学下册(人教版)_常见几何模型全归纳-V13_2024版
专题12圆中的重要模型之定角定高(探照灯)模型、米勒最大角模型(教师版)_初中数学_九年级数学下册(人教版)_常见几何模型全归纳-V13_2024版
专题12圆中的重要模型之定角定高(探照灯)模型、米勒最大角模型(教师版)_初中数学_九年级数学下册(人教版)_常见几何模型全归纳-V13_2024版
专题12圆中的重要模型之定角定高(探照灯)模型、米勒最大角模型(教师版)_初中数学_九年级数学下册(人教版)_常见几何模型全归纳-V13_2024版
专题12圆中的重要模型之定角定高(探照灯)模型、米勒最大角模型(教师版)_初中数学_九年级数学下册(人教版)_常见几何模型全归纳-V13_2024版
专题12圆中的重要模型之定角定高(探照灯)模型、米勒最大角模型(教师版)_初中数学_九年级数学下册(人教版)_常见几何模型全归纳-V13_2024版
专题12圆中的重要模型之定角定高(探照灯)模型、米勒最大角模型(教师版)_初中数学_九年级数学下册(人教版)_常见几何模型全归纳-V13_2024版
专题12圆中的重要模型之定角定高(探照灯)模型、米勒最大角模型(教师版)_初中数学_九年级数学下册(人教版)_常见几何模型全归纳-V13_2024版
专题12圆中的重要模型之定角定高(探照灯)模型、米勒最大角模型(教师版)_初中数学_九年级数学下册(人教版)_常见几何模型全归纳-V13_2024版
专题12圆中的重要模型之定角定高(探照灯)模型、米勒最大角模型(教师版)_初中数学_九年级数学下册(人教版)_常见几何模型全归纳-V13_2024版
专题12圆中的重要模型之定角定高(探照灯)模型、米勒最大角模型(教师版)_初中数学_九年级数学下册(人教版)_常见几何模型全归纳-V13_2024版
专题12圆中的重要模型之定角定高(探照灯)模型、米勒最大角模型(教师版)_初中数学_九年级数学下册(人教版)_常见几何模型全归纳-V13_2024版
专题12圆中的重要模型之定角定高(探照灯)模型、米勒最大角模型(教师版)_初中数学_九年级数学下册(人教版)_常见几何模型全归纳-V13_2024版
专题12圆中的重要模型之定角定高(探照灯)模型、米勒最大角模型(教师版)_初中数学_九年级数学下册(人教版)_常见几何模型全归纳-V13_2024版
专题12圆中的重要模型之定角定高(探照灯)模型、米勒最大角模型(教师版)_初中数学_九年级数学下册(人教版)_常见几何模型全归纳-V13_2024版
专题12圆中的重要模型之定角定高(探照灯)模型、米勒最大角模型(教师版)_初中数学_九年级数学下册(人教版)_常见几何模型全归纳-V13_2024版
专题12圆中的重要模型之定角定高(探照灯)模型、米勒最大角模型(教师版)_初中数学_九年级数学下册(人教版)_常见几何模型全归纳-V13_2024版
专题12圆中的重要模型之定角定高(探照灯)模型、米勒最大角模型(教师版)_初中数学_九年级数学下册(人教版)_常见几何模型全归纳-V13_2024版
专题12圆中的重要模型之定角定高(探照灯)模型、米勒最大角模型(教师版)_初中数学_九年级数学下册(人教版)_常见几何模型全归纳-V13_2024版
专题12圆中的重要模型之定角定高(探照灯)模型、米勒最大角模型(教师版)_初中数学_九年级数学下册(人教版)_常见几何模型全归纳-V13_2024版
专题12圆中的重要模型之定角定高(探照灯)模型、米勒最大角模型(教师版)_初中数学_九年级数学下册(人教版)_常见几何模型全归纳-V13_2024版
专题12圆中的重要模型之定角定高(探照灯)模型、米勒最大角模型(教师版)_初中数学_九年级数学下册(人教版)_常见几何模型全归纳-V13_2024版
专题12圆中的重要模型之定角定高(探照灯)模型、米勒最大角模型(教师版)_初中数学_九年级数学下册(人教版)_常见几何模型全归纳-V13_2024版
专题12圆中的重要模型之定角定高(探照灯)模型、米勒最大角模型(教师版)_初中数学_九年级数学下册(人教版)_常见几何模型全归纳-V13_2024版
专题12圆中的重要模型之定角定高(探照灯)模型、米勒最大角模型(教师版)_初中数学_九年级数学下册(人教版)_常见几何模型全归纳-V13_2024版
专题12圆中的重要模型之定角定高(探照灯)模型、米勒最大角模型(教师版)_初中数学_九年级数学下册(人教版)_常见几何模型全归纳-V13_2024版
专题12圆中的重要模型之定角定高(探照灯)模型、米勒最大角模型(教师版)_初中数学_九年级数学下册(人教版)_常见几何模型全归纳-V13_2024版
专题12圆中的重要模型之定角定高(探照灯)模型、米勒最大角模型(教师版)_初中数学_九年级数学下册(人教版)_常见几何模型全归纳-V13_2024版
专题12圆中的重要模型之定角定高(探照灯)模型、米勒最大角模型(教师版)_初中数学_九年级数学下册(人教版)_常见几何模型全归纳-V13_2024版

文档信息

文档格式
docx
文档大小
5.921 MB
文档页数
57 页
上传时间
2026-03-22 03:07:30

文档内容

专题12 圆中的重要模型之定角定高(探照灯)模型、米勒最大角模型 圆在中考数学几何模块中占据着重要地位,也是学生必须掌握的一块内容,本专题就圆形中的重要模 型(米勒最大视角(张角)模型、定角定高(探照灯)模型)进行梳理及对应试题分析,方便掌握。 近几年一些中考几何问题涉及了“最大视角”与“定角定高”模型,问题往往以动点为背景,与最值 相结合,综合性较强,解析难度较大,学生难以找到问题的切入点,不能合理构造辅助圆来求解。实际 上,这样的问题中隐含了几何的“最大视角”与“定角定高”模型,需要对其中的动点轨迹加以剖析,借 助圆的特性来探究最值情形。而轨迹问题是近些年中考压轴题的热点和难点,既可以与最值结合考查,也 可以与轨迹长结合考查,综合性较强、难度较大。 模型1.米勒最大张角(视角)模型 【模型解读】已知点A,B是∠MON的边ON上的两个定点,点C是边OM上的动点,则当C在何处时, ∠ACB最大?对米勒问题在初中最值的考察过程中,也成为最大张角或最大视角问题。 米勒定理:已知点AB是∠MON的边ON上的两个定点,点C是边OM上的一动点,则当且仅当三角形 ABC的外圆与边OM相切于点C时,∠ACB最大。 M M C C O N O N A B A B 【模型证明】 如图1,设C’是边OM上不同于点C的任意一点,连结A,B,因为∠AC’B是圆外角,∠ACB是圆周角, 易证∠AC’B小于∠ACB,故∠ACB最大。 M C' C D O N A B 在三角形AC’D中, 又【解题关键】常常以解析几何、平面几何和实际应用为背景进行考查。若能从题设中挖出隐含其中的米勒 问题模型,并能直接运用米勒定理解题,这将会突破思维瓶颈、大大减少运算量、降低思维难度、缩短解 题长度,从而使问题顺利解决。否则这类问题将成为考生的一道难题甚至一筹莫展,即使解出也费时化力。 例1.(2023·江苏九年级课时练习)如图,在足球比赛中,甲带球奔向对方球门 ,当他带球冲到点A 时,同伴乙已经冲到点B,此时甲是直接射门好,还是将球传给乙,让乙射门好?(仅从射门角度大小考 虑) 【答案】甲将球传给乙,让乙射门好 【分析】设AQ交⊙O于点M,连接PM,则∠B=∠PMQ,因为∠PMQ是△PAM的一个外角,由外角性 质得∠PMQ>∠A,所以∠B>∠A,即可分析求得答案. 【详解】解:甲将球传给乙,让乙射门好,理由如下:如图所示,设AQ交⊙O于点M,连接PM, 则∠B=∠PMQ,因为∠PMQ是△PAM的一个外角, 由外角性质得∠PMQ >∠A,所以∠B>∠A, 所以仅从射门角度考虑,甲将球传给乙,让乙射门好. 【点睛】本题考查同弧所对的圆周角相等,三角形的外角性质,添加辅助线转化 为 是解题关键. 例2.(2023·四川宜宾·校考二模)如图,已知点A、B的坐标分别是 、 ,点C为x轴正半轴上一 动点,当 最大时,点C的坐标是( )A. B. C. D. 【答案】B 【分析】过点 、 作 ,点 与 轴相切于点 时,利用圆周角大于对应的圆外角得到此时 最大,连接 、 、 ,作 轴于 ,如图,利用垂径定理得 ,则 ,再根据 切线的性质得 轴,则四边形 为矩形,所以 ,则 ,在 中,利用勾 股定理计算出 ,于是可得到 点坐标为 , . 【详解】解:过点 、 作 ,点 与 轴相切于点 时, 最大, 连接 、 、 ,作 轴于 ,如图, 点 、 的坐标分别是 、 , , , , , , 与 轴相切于点 , 轴, 四边形 为矩形, , , 在 中, , 点坐标为 , .故选:B. 【点睛】本题考查了圆的综合题,熟练掌握垂径定理、圆周角定理,勾股定理,坐标与图形,掌握相关定理 性质是解题的关键. 例3.(2023上·江苏泰州·九年级统考期末)如图.在正方形ABCD中,边长为4,M是CD的中点,点P 是BC上一个动点,当∠DPM的度数最大时,则BP= .【答案】4−2❑√2 【分析】先确定P点的位置,画出辅助圆,再求出圆的半径,利用勾股定理和矩形的判定与性质即可求 解. 【详解】解:如图,当P点在与BC相切,且经过D点和M点的⊙O上时,∠DPM的度数最大, 此时,P点即为切点,连接OP,∴OP⊥BC, ∵正方形ABCD的边长为4,M点为CD的中点,∴DM=2, 过O点作OE⊥DM于E,∴DE=1,延长PO,交AD于点F,∴OF⊥AD, ∴四边形OEDF和四边形PCDF都是矩形,∴OF=DE=1,∴OP=4−1=3, 连接OD,则OD=3,∴DF=❑√OD2−OF2=2❑√2, ∴PC=DF=2❑√2,∴BP=4−PC=4−2❑√2,故答案为:4−2❑√2. 【点睛】本题考查了最大张角问题,涉及到了正方形性质的应用、勾股定理解三角形、矩形的判定与性质 等内容,解题关键是理解当P点在与BC相切且经过D点和M点的圆上且位于切点处时张角最大. 例4.(2023·陕西西安·校考模拟预测)足球射门时,在不考虑其他因素的条件下,射点到球门AB的张角 越大,射门越好.当张角达到最大值时,我们称该射点为最佳射门点.通过研究发现,如图1所示,运动 员带球在直线CD上行进时,当存在一点Q,使得 (此时也有 )时,恰好能 使球门AB的张角 达到最大值,故可以称点Q为直线CD上的最佳射门点.(1)如图2所示,AB为球门,当运动员带球沿CD行进时, , , 为其中的三个射门点,则在这三个 射门点中,最佳射门点为点______; (2)如图3所示,是一个矩形形状的足球场,AB为球门, 于点D, , .某球员沿 CD向球门AB进攻,设最佳射门点为点Q.①用含a的代数式表示DQ的长度并求出 的值; ②已知对方守门员伸开双臂后,可成功防守的范围为 ,若此时守门员站在张角 内,双臂张开 MN垂直于AQ进行防守,求MN中点与AB的距离至少为多少时才能确保防守成功.(结果用含a的代数 式表示) 【答案】(1) (2)① ; ;② . 【分析】(1)连接 、 ,根据平行线的性质得出 ,再根据等腰三角形的性质得出 即可判断; (2)①根据最佳射门点为点Q,可证△ADQ∽△QDB,列出比例式即可求出DQ的长度,作BE⊥AQ于E, 求出线段长,利用三角函数求解即可;②根据题意可知 ,过MN中点O作OF⊥AB于F,交AQ 于P,利用相似三角形的性质求出EM,再解直角三角形求出MP、PF、PO即可.【详解】(1)解:连接 、 ,∵CD∥AB,∴ , ∵ , ,∴ , ∴ ,∴ ,∴最佳射门点为 故答案为: . (2)解:①作BE⊥AQ于E,∵最佳射门点为点Q,∴ , ∵ ,∴ ,∴△ADQ∽△QDB,∴ , ∵ , ,∴ ,代入比例式得, , 解得, (负值舍去); , ∴ , ,∴ , , ∴ , ,则 , ; ②过MN中点O作OF⊥AB于F,交AQ于P, ∵守门员伸开双臂后,可成功防守的范围为 ,∴当 时才能确保防守成功. ∵MN⊥AQ,∴ ,∴ , , ∵ , ,∴ ,∴ , ∵ , ,∵ ,∴ , , ∵ ,∴ , ; MN中点与AB的距离至少为 时才能确保防守成功.. 【点睛】本题考查解直角三角形应用,解题关键恰当构建直角三角形,熟练运用解直角三角形的知识求解. 例5.(2023·四川宜宾·校考三模)在平面直角坐标系中,将二次函数 的图象向右平移 个单 位,再向下平移 个单位,得到如图所示的抛物线,该抛物线与 轴交于点 、 (点 在点 的左 侧), ,经过点 的一次函数 的图象与 轴正半轴交于点 ,且与抛物线的另一个 交点为 , 的面积为 . (1)求抛物线和一次函数的解析式;(2)抛物线上的动点 在一次函数的图象下方,当 面积的最大值 时,求出此时点 的坐标;(3)点 是直线 上的一动点,连接 , ,设 外接圆的圆心为 ,当 最大时,求点M的坐标(直接写答案). 【答案】(1) , (2) (3) 或 【分析】(1)根据平移可求 ,将点A的坐标代入可求 ,从而可求,再由面积求出 的坐标,即可求解 的解析式;(2)过点 作 轴交 于 ,设 ,可求 ,由 可求解;(3) 是 的中点, 在直线 上运动,可得 ,当 取得最小值时, 的值最大,由此可得: 当 垂直直线 时, 取得最小值,进而可求解. 【详解】(1)解:将二次函数 的图象向右平移 个单位,再向下平移 个单位,得到的抛物 线解析式为 , 1 a , 点A的坐标为 ,代入抛物线的解析式得, , ,  2 1 1 3 抛物线的解析式为y x122,即 y x2x . 2 2 2 1 3 令 y0 ,则 y 2 x2x 2 0 ,解得:x 1 1,x 2 3,  B3,0;  ABOAOB4 , 1 5 的面积为 , S  ABy 5, y  , △ABD 5  △ABD 2 D  D 2 5 1 3  5  x2x D4,  2 2 2,解得:x =2, ,∴  2. 1 设直线 的解析式为ykxb,则有  1 k   5   2 4kb ,解得: , 直线 的解析式为 .   kb 2 0   b 1 2 AD y 1 2 x 1 2 E EM∥y AD M (2)解:如图,过点 作 轴交 于 , 1 3  1 1 1 1 1 3 1 3 Em, m2m  Mm, m  EM  m  m2m  m2 m2 设  2 2,则  2 2, 2 2 2 2 2 2 , 1 1  EM1   m23m4  S S S 2 4 . △ACE △AME △CME 3 15  ,  ∴当此时E点坐标为2 8 . 3 y (3)解:如图, 是 的中点, 在直线 上运动, H OF M 4 3 ,sinOQF sinOMH  OH  4 , OM OM 当OM 取得最小值时,sinOQF的值最大, ∵ MOMQ,当MQ取得最小值时,sinOQF的值最大, 1 当 垂直直线 y 时, 取得最小值, ∵ MQ 2 MQ  3 此时 、 在二次函数的对称轴直线 上,M1, ,  M Q x1  4 3  3 根据对称性,存在 ,故:M1, 或1, .  4  4 【点睛】本题是二次函数综合题,考查了待定系数法,三角形的外心,三角函数定义,二次函数与三角形 面积计算,二次函数与圆的综合等,掌握二次函数的性质,运用转化思想是解题的关键. 模型2. 定角定高模型(探照灯模型) 定角定高模型:如图,直线BC外一点A,A到直线BC距离为定值(定高),∠BAC为定角,则AD有最 小值,即△ABC的面积有最小值。因为其形像探照灯,所以也叫探照灯模型。。 条件:在△ABC中,∠BAC= (定角),AD是BC边上的高,且AD=h(定高)。 结论:当△ABC是等腰三角形(AB=AC)时,BC的长最小;△ABC的面积最小;△ABC的周长最小。 证明思路:如图,作△ABC的外接圆 ,连接OA,OB,OC, 过点O作OE⊥BC于点E,设 的半径为r,则∠BOE=∠BAC= ;∴BC= 2BE=2OB sin =2r sin 。 ∵OA+OE≥AD(当且仅当点A,O,E三点共线时,等号成立),∴r+rcosa≥h, .当取等号时r有最小值,此时BC的长最小:2r sin ;△ABC的面积最小:AD r sin ; △ABC的周长最小:2r sin +AD r sin 。 例1.(2023·贵州贵阳·九年级校考阶段练习)如图, ,边 、 上分别有两个动点C、 D,连接 ,以 为直角边作等腰 ,且 ,当 长保持不变且等于 时,则 长的 最大值为 cm.【答案】 【分析】利用直角三角形性质求解即可. 【详解】解:在 右侧以 为斜边作等腰 ,则O、C、D在以点F为圆心, 为半径的圆上, ∵ , 是等腰直角三角形, ∴ , , ,∴ , ∵ ,∴ ,故答案为: . 【点睛】本题考查直角三角形性质,灵活运用所学知识是解题的关键. 例2、(2023·重庆·九年级期中)如图,在矩形ABCD中,AB=2,BC=12,点E,F均在AD上,且 ∠ABE+∠FCD=90°,则四边形BCFE面积的最大值为 . 解:将△DCF向左平移,使DC与AB重合,点F的对应点为点G, ∵∠ABE+∠FCD=90°,∴∠GBE=90°,作△BGE的外接圆O,连接OB,则OB≥AB,当点O与点A重合时,OB取得最小值,最小值为2,∴GE的最小值为4, ∴△GBE的面积最小= ×GE•AB= ×4×2=4, ∵四边形BCFE=矩形ABCD的面积﹣△ABE的面积﹣△CDF的面积=矩形ABCD的面积﹣△GBE的面 积, ∴当△GBE的面积最小时,四边形BCFE的面积有最大值, ∴四边形BCFE最大=2×12﹣4=20,∴四边形BCFE面积的最大值为20.故答案为:20. 例3.(2023·陕西咸阳·校考二模)【问题提出】(1)如图①, 为 的一条弦,圆心O到弦 的距 离为4,若 的半径为7,则 上的点到弦 的距离最大值为_______; 【问题探究】(2)如图②,在 中, 为 边上的高,若 ,求 面积的最 小值; 【问题解决】(3)“双减”是党中央、国务院作出的重大决策部署,实施一年多来,工作进展平稳,取 得了阶段性成效,为了进一步落实双减政策,丰富学生的课余生活,某校拟建立一块综合实践基地,如图 ③, 为基地的大致规划示意图,其中 , 平分 交 于点 ,点 为 上一 点,学校计划将四边形 部分修建为农业实践基地,并沿 铺设一条人行走道, 部分修建为 兴趣活动基地.根据规划要求, 米, .且农业实践基地部分(四边形 )的 面积应尽可能小,问四边形 的面积是否存在最小值?若存在,求出其最小值;若不存在,请说明理 由. 【答案】(1)11;(2) ;(3)四边形 的面积存在最小值,最小值为 平方米 【分析】(1)根据圆的性质直接可得答案; (2)作 的外接圆 ,连接 ,过点O作 于点 ,设 ,则 ,根据垂线段最短可得R的最小值,从而得出 的最小值,进而得出答案; (3)过点 作 于点 于点 ,则 ,在 上截取 ,连接 ,利用证明 ,则 ,要使四边形 的 面积最小,只需 的面积最小,由(2)同理求出 面积的最小值即可. 【详解】解:(1)∵圆心O到弦 的距离为4,若 的半径为7, ∴ 上的点到弦 的距离最大值为 ,故答案为:11; (2)作 的外接圆 ,连接 ,过点O作 于点 ,如图. . 设 ,则 ,由 ,得 ,即 , ∴ , , .即 面积的最小值为 (3)过点 作 于点 于点 ,∵ 平分 ,∴ . 又 , . 米, , , 为等腰直角三角形,∴ 米, (平方米), 平方米. 在 上截取 ,连接 ,如图., , , 要使四边形 的面积最小,只需 的面积最小. , , 作 的外接圆 ,如图,连接 ,作 于点 , 则 ,∴ . 设 ,则 . 由 ,得 ,解得 , 米, (平方米), (平方米). 即四边形 的面积存在最小值,最小值为 平方米. 【点睛】本题考查了圆的性质,全等三角形的判定与性质,圆周角定理,垂径定理,全等三角形的判定与 性质,交平分线的性质,勾股定理,垂线段最短等知识,将四边形面积最小问题转化为三角形面积最小是 解题的关键. 例4.(2023·广东·校考一模)问题提出: (1)如图①,已知在边长为10的等边 ABC中,点D在边BC上,BD=6,连接AD,则 ACD的面积为 ; △ △ 问题探究:(2)如图②,已知在边长为6的正方形ABCD中,点E在边BC上,点F在边CD上,且 ∠EAF=45°.若EF=5,求 AEF的面积; 问题解决:(3)如图③是某△座城市延康大道的一部分,因自来水抢修需在AB=4米,AD=6米的矩形 ABCD区域内开挖一个 AEF的工作面,其中E、F分别在BC、CD边上(不与B、C、D重合),且 ∠EAF=45°,为了减少△对该路段的拥堵影响,要求 AEF面积最小,那么是否存在一个面积最小的 AEF?若存在,请求出 AEF面积的最小值;若不△存在,请说明理由. △ △【答案】(1) ;(2)15;(3)存在, . 【分析】(1)过点A作AH⊥BC,根据等边三角形的性质、正弦的定义求出AH,根据三角形的面积公式计 算,得到答案; (2)将△ADF绕点A顺时针旋转90°得到△ABH,证明△AEF≌△AEH,根据三角形的面积公式计算即可; (3)把△ADF绕点A顺时针旋转90°并缩小为 ,得到△ABG,根据角平分线的性质、三角形的面积公式 得到 = ,设△AGE的外接圆圆心为O,连接OA、OG、OE,过得O作OH⊥GE于H,则∠GOE= 2∠EAG=90°,设△AGE的外接圆的半径为R,则GE= R,OH= R,由题意得,OA+OH≥AB,即R+ R≥4,解得R的范围,故△AGE的面积≥ × ×(8﹣4 )×4=16 ﹣16,得△AGE的面积的最小 值为16 ﹣16,进而可得△AEF的面积的最小值为24 ﹣24. 【详解】(1)如图①,过点A作AH⊥BC于H, ∵△ABC为等边三角形,∴∠B=60°,∴△ACD的面积= ×CD×AH= ×4×10•sin60°=10 ,故答案为:10 ; (2)如图②,将△ADF绕点A顺时针旋转90°得到△ABH, 由旋转的性质得,AH=AF,∠BAH=∠DAF, ∵∠EAF=45°,∠BAD=90°,∴∠EAH=∠EAF=45°, 在△AEF和△AEH中,AF=AH, ∠EAH=∠EAF,AE=AE, ∴△AEF≌△AEH(SAS),∴EH=EF=5,∴S =S = ×5×6=15; AEF AEH △ △ (3)把△ADF绕点A顺时针旋转90°并缩小为 ,得到△ABG, 则AG= AF,∠EAG=∠EAF=45°,过点E作EM⊥AG于M,EN⊥AF于N, ∵∠EAG=∠EAF,EM⊥AG,EN⊥AF,∴EM=EN,∴ = , 设△AGE的外接圆圆心为O,连接OA、OG、OE,过得O作OH⊥GE于H, 则∠GOE=2∠EAG=90°,设△AGE的外接圆的半径为R,则GE= R,OH= R, 由题意得,OA+OH≥AB,即R+ R≥4,解得,R≥8﹣4 , ∴△AGE的面积≥ × ×(8﹣4 )×4=16 ﹣16, ∴△AGE的面积的最小值为16 ﹣16,∴△AEF的面积的最小值为24 ﹣24. 【点睛】本题主要考查了全等三角形的判定,角平分线的性质,圆周角定理,图形的旋转等,较为综合, 根据图形作出合适的辅助线是解题的关键. 例5.(2023·重庆·校考三模)问题探究(1)如图①,已知在△ABC中,∠B=∠C=30°,BC=6,则S ABC= . △ (2)如图②,已知四边形ABCD中,∠ABC+∠ADC=180°,AD=DC,BD=4 ,请求出四边形ABCD 面积的最大值. 问题解决(3)如图③,某小区有一个四边形花坛ABCD,AD∥BC,AB=AD=CD=15m,∠B=∠C= 60°.为迎接“十四运”,园艺师将花坛设计成由两种花卉构成的新造型,根据造型设计要求,点E、F分 别在边BC、CD上,且∠EAF=60°,现需要在△AEF的区域内种植甲种花卉,其余区域种植乙种花卉.已 知种植甲种花卉每平方米需200元,乙种花卉每平方米需160元.试求按设计要求,完成花卉种植至少需 费用多少元?(结果保留整数,参考数据: ≈1.7) 【答案】(1) ;(2)16;(3) . 【分析】(1)过点A作 于点D,根据等腰三角形的性质求出 ,利用正弦求出 ,再根据三角形面积公式即可求解; (2)因为 , 四点共圆,所以当 BD是直径时,四边形ABCD的面积最大,此时 ,由勾股定理可得 ,因为四边形 ,所以 ,当 时,四边形ABCD是正方形,由 不难求出 ,进而求得四边形ABCD的最大面积;(3) 因为甲种花卉贵,所以若费用最少, 则甲种花卉种植面积最小, 最小时,将 绕A顺时针旋转 到 ,可证得 三点 共线,通过证明 ,得 ,过点A作 过点A作 于K,求得 ,作 的外接圆 ,连接 ,过点 作 于点N,通过 过得 面积的最小值为 , 再通过求 求得乙种花卉的种植面积为 ,最后根据甲乙两种花卉每平方米的价格求出至少种植两种花卉的费. 【详解】解:(1)如图①,过点 作 于点D, , 是等腰三角形, , , ,故答案为: (2) , 四点共圆, 当 为直径时, 最大,此时 , , ,由勾股定理, , 时,四边形 是正方形, 最大, , , 的最大值= , (3)如图③ 甲种花卉贵, 若费用最少,则甲种花卉种植面积最小, 最小时,将 绕A顺时针旋转到 ,由旋转可得 三点共线, , , 过点A作 过点A作 于K, , 作 的外接圆 ,连接 ,过点 作 于点N, 设 在 中, , , , , , , 面积的最小值为 且 , 乙种花卉的种植面积为 种四花卉花费: 元,种乙花卉花费: 元, 至少花费 元. 【点睛】本题是一道四边形的综合题,考查了等腰三角形的性质,三角形全等的判定和性质,三角函数, 正方形的性质和判定,直径所对的圆周角是直角,三角形和四边形的面积问题等知识,利用四点共圆及图形的旋转变换是解决本题的关键. 课后专项训练 1.(2023·广东广州·九年级校考期中)如图,已知正方形 和直角三角形 , , ,连接 , .若 绕点A旋转,当 最大时, 的面积是( ) A. B.6 C.8 D.10 【答案】B 【分析】作 于H,由题意知 绕点A旋转时,点F在以A为圆心,4为半径的圆上,当 为此圆的切线时, 最大,即 ,利用勾股定理计算出 ,接着证明得到 ,然后根据三角形面积公式求解. 【详解】解:作 于H,如图, ∵ ,∴当 绕点A旋转时,点F在以A为圆心,4为半径的圆上, ∴当 为此圆的切线时, 最大,即 ,此时 , ∵ ,∴ ,∵ ,∴ , 在 和 中, ,∴ , ∴ ,∴ .故选:B. 【点睛】本题考查了旋转的性质、全等三角形的判定与性质、正方形的性质、勾股定理、圆的性质等知 识;熟练掌握旋转的性质,证明三角形全等是解题的关键. 2.(2022·辽宁沈阳·校考三模)如图是一个矩形足球球场, 为球门, 于点D, 米.某 球员沿 带球向球门 进攻,在Q处准备射门,已知 米, 米,对方门将伸开双臂后, 可成功防守的范围大约为 米;此时门将站在张角 内,双臂伸开 且垂直于 进行防守, 中点与 距离 米时,刚好能成功防守.【答案】 / 【分析】过点B作 ,证明 ,作 ,依次证明 , ,利用相似三角形的性质即可求解. 【详解】解:过点B作 , , , 又 , , , , , , , ,如图,作 , , , , , , , , , , , , , , , , , , , , , , , , , ,故答案为: . 【点睛】本题主要考查锐角三角函数,相似三角形的判定与性质,勾股定理等,通过添加辅助线构造相似 三角形是解题的关键. 3.(2023·陕西咸阳·统考二模)如图,在正方形 中, ,M是 的中点,点P是 上一个动点,当 的度数最大时, 的长为 . 【答案】 【分析】过点A、M作 与 相切于点 ,记 的中点为N, 与 交于点Q,连接 ,则 ,证明四边形 是矩形, 再求出圆的半径,利用 勾股定理和矩形的性质即可求解. 【详解】:过点A、M作 与 相切于点 ,记 的中点为N, 与 交于点Q,连接 , 则 , ∵四边形 是正方形, ,∴ , , ∵M是 的中点,∴ , ∵过点A、M作 与 相切于点 ,∴ , ∵ 的中点为N,∴ , , ∴ ,∴四边形 是矩形, ∴ , 在 中, ,∴ ,∴当点P运动到点 时, 最大,此时 ,故答案为: 【点睛】本题考查了最大张角问题,涉及到了切线的性质、垂径定理、圆周角定理、正方形的性质、勾股 定理解三角形、矩形的判定与性质等内容,解题关键是理解当P点在与 相切且经过D点和M点的圆上 且位于切点处时张角最大. 4.(2023·四川凉山·校联考一模)如图,在Rt△ABC中,∠BAC=90°,BC=5,AB=3,点D是线段BC 上一动点,连接AD,以AD为边作△ADE∽△ABC,点N是AC的中点,连接NE,当线段NE最短时,线段 CD的长为 . 【答案】 【分析】如图,连接EC,作AH⊥BC于H.首先证明EC⊥BC,推出EN⊥EC时,EN的值最小,解直角三角形 求出CH,DH即可解决问题; 【详解】解:如图,连接EC,作AH⊥BC于H. ∵△ABC∽△ADE,∴∠AED=∠ACD,∴A,D,C,E四点共圆,∴∠DAE+∠DCE=180°, ∴∠DCE=∠DAE=90°,∴EC⊥BC,∴NE⊥EC时,EN的值最小,作AG⊥CE交CE的延长线于G. 在Rt ABC中,∵BC=5,AB=3,∴AC=4, △ ∵△ENC∽△△ACB,∴ ,∴ ,∴EC= ,∴AH=CG= , ∵NE∥AG,AN=NC,∴GE=EC= ,∵∠HAG=∠DAE,∴∠DAH=∠EAG, ∵∠AHD=∠G=90°,∴△AHD∽△AGE, ∴ ,∴ ,∴DH= ,∴CD=DH+CH= .故答案为 . 【点睛】本题考查相似三角形的性质、勾股定理、垂线段最短、四点共圆等知识,解题的关键是熟练掌握基本知识,属于中考填空题中的压轴题. 5.(2023·广东·一模)已知点O为直线外一点,点 O到直线距离为 4,点A、B是直线上的动点,且 ∠AOB=30°。则△ABO的面积最小值为 . 解:如图,过点O作直线l′∥直线l,则直线l与直线l′之间的距离为4,作点B关于直线l′的对称点B′,连 接OB′,AB′,AB′交直线l′于点T,连接BT,过点A作AH⊥BT于H,过点T作TW⊥AB于W. 在Rt△ABB′中,AB= = ,∴AB′的值最小时,AB的值最小, ∵OA+OB=OA+OB′≥AB′,∴当A,O,B′共线时,AB′的值最小,此时AB的值最小, ∵直线l垂直平分线段BB′,∴TB=TB′,∴∠TBB′=∠TB′B, ∵∠TBA+∠TBB′=90°,∠TAB+∠TB′B=90°,∴∠TAB=∠TBA,∴TA=TB, ∵cos∠AOB=cos∠ATB= ,∴ = ,∴可以假设TH= k,AT=TB=2k, ∴BH=TB﹣TH=(2﹣ )k,∴AH=k,∴AB= = =2 k, ∵S = •AB•TW= •TB•AH,∴ ×2 k×4= ×2k×k,解得k=4 , △TAB ∴△ABO的面积最小值为=∴ ×2 ×4 ×4=64﹣16 ,故答案为:64﹣16 . 6.(2023·广西·九年级期中)在四边形ABCD中,点E在BC边上(不与B、C重合). (1)如图(1),若四边形ABCD是正方形,AE⊥EF,AE=EF,连CF. ①求∠BCF的大小;②如图(2),点G是CF的中点,连DG、ED,若DE=6,求DG的长; (2)如图(3),若四边形ABCD是矩形,点M在AD边上,∠AEM=60°,CD=9,求线段AM的最小 值.解:(1)①如图(1),在AB上取一上点H,使AH=CE,连接EH, ∵四边形ABCD是正方形,∴AB=BC,∠B=90°,∴BE=BH,∴∠BHE=45°,∴∠AHE=135°, ∵∠AEF=90°,∴∠AEB+∠CEF=90°,∵∠AEB+∠BAE=90°,∴∠BAE=∠CEF, ∵AE=EF,∴△AHE≌△ECF(SAS),∴∠BCF=∠AHE=135°; ②如图(2),在AB上取一上点H,使AH=CE,连接EH,BD, 由①知:△AHE≌△ECF,∴EH=CF,设BE=2x,则EH=CF=2 x, ∵G是CF的中点,∴CG= x,∴ = = , ∵四边形ABCD是正方形,∴BD= CD,∴ = , ∵∠DBE=∠DCG=45°,∴△DBE∽△DCG,∴ = = , ∵DE=6,∴ = ,∴DG=3 ; (2)如图(3),作△AEM的外接圆O,过点O作ON⊥AM于N,连接OA,OE,OM, ∵∠AEM=60°,∴∠AOM=120°,∵ON⊥AM, ∴AN=MN,∠AON=∠NOM=60°,∴∠OAN=∠OMN=30°, 设ON=a,则OA=2a,AN= a,则OE+ON≥AB, 即当E,O,N三点共线时,a最小,此时AM最小, ∴a+2a=9,∴a=3,∴AM的最小值是6 . 7.(2023上·湖北九年级课时练习)如图,某雕塑 位于河段 上,游客 在步道上由点 出发沿 方向行走.已知 , ,当观景视角 最大时,游客 行走的距离 是多 少米? 【答案】 米【分析】先证 是 的切线,切点为 ,当点 与点 重合时,观景视角 最大,由直角三角形 的性质可求解. 【详解】解:取 的中点 ,过点 作 于 ,以直径 作 ,如图所示: 根据圆周角定理,劣弧 所对的圆周角都是相等的,则游客 在步道上由点 出发沿 方向行走时, 与 相切时,观景视角 最大, ,点 是 的中点, , , , , ,从而由勾股定理可得 , , 又 , 是 的切线,切点为 , 当点 与点 重合时,观景视角 最大,此时 . 【点睛】本题考查了解直角三角形的应用,切线的判定,直角三角形的性质,证明 是 的切线是解 题的关键. 8.(2023·广西北海·统考二模)综合与实践【数学理解】德国数学家米勒曾提出最大视角问题,对该问题 的一般描述是:如图2,已知点 , 是 的边 上的两个定点, 是 边上的一个动点,当且 仅当 的外接圆与 边相切于点 时, 最大.人们称这一命题为米勒定理. (1)【问题提出】如图1,在足球比赛场上,甲、乙两名队员互相配合向对方球门 进攻,当甲带球冲到 点时,乙已跟随冲到 点,仅从射门角度大小考虑,甲是自己射门好,还是迅速将球回传给乙,让乙射门好?假设球员对球门的视角越大,足球越容易被踢进.请结合你所学知识,求证: . (2)【问题解决】如图3,已知点 , 的坐标分别是 , , 是 轴正半轴上的一动点,当 的外接圆⊙ 与 轴相切于点 时, 最大.当 最大时,求点 的坐标. 【答案】(1)见解析(2) 【分析】(1)根据三角形的外角和,同弧或者等弧所对的圆周角相等,即可; (2)当 的外接圆⊙ 与 轴相切于点 时, 最大,连接 , ,过点 作 于点 ,根据垂径定理,勾股定理,即可求出 . 【详解】(1)证明:由图 可知:∵ , 是 所对的圆周角,∴ , ∵ ,∴ ,∴ . (2)当 的外接圆⊙ 与 轴相切于点 时, 最大, ∴连接 , ,过点 作 于点 ,∴四边形 是矩形,∴ , , ∵ , ,∴ ,∴在 中, , ∵点 , 的坐标分别是 , ,∴ , , ∴ , ,∴ ,∴ ,∴点 . 【点睛】本题考查圆的基本性质,解题的关键是掌握同弧或者等弧所对的圆周角和圆心角的关系,垂径定 理,圆的切线定理. 9.(2023·福建厦门·统考二模)一个角的顶点在圆外,两边都与该圆相交,则称这个角是它所夹的较大的 弧所对的圆外角. (1)证明:一条弧所对的圆周角大于它所对的圆外角; (2)应用(1)的结论,解决下面的问题:某市博物馆近日展出当地出土的珍贵文物,该市小学生合唱队计划组织120名队员前去参观,队员身高的频数分布直方图如图1所示.该文物 高度为 ,放置文 物的展台 高度为 ,如图2所示.为了让参观的队员站在最理想的观看位置,需要使其观看该文 物的视角最大(视角:文物最高点P、文物最低点Q、参观者的眼睛A所形成的 ),则分隔参观者 与展台的围栏应放在距离展台多远的地方?请说明理由.(说明:①参观者眼睛A与地面的距离近似于身 高;②通常围栏的摆放位置需考虑参观者的平均身高) 【答案】(1)见解析;(2)围栏应摆在距离展台 处,见解析 【分析】(1)写出“已知”“求证”,设BP交⊙O于点Q,连接AQ,画出图象,用三角形外角大于不相 邻的内角即可证明; (2)先计算120名队员平均身高,再根据题意把实际问题“数学化”,画出图形,在QO上取一点B,使 得BO=152cm,则BQ=16cm,过B作射线l⊥QO于B,过P,Q两点作⊙C切射线l于M,由(1)的结论 可知队员的眼睛A与M重合时,观看该展品的视角最大,此时队员站在MN处,故求出ON长度即可. 【详解】解:(1)已知:如图所示,点A,B,C在⊙O上,点P在⊙O外. 求证: . 证明:设 交⊙O于点Q,连接 ,∵ 与 同对 ,∴ . ∵在 中, ,∴ ,∴ ; (2)解:设合唱队员平均身高为 ,则 . 在 上取一点B,使得 ,则 , 过B作射线 于B,过P,Q两点作⊙C切射线l于M. 依题意可知,参观的队员的眼睛A在射线上. 而此时,射线l上的点只有点M在⊙C上,其他的点在⊙C外. 根据(1)的结论,视角 最大,即队员的眼睛A与M重合(也即队员站在MN处)时,观看该展品 的视角最大.所以围栏应摆放在N处. 连接 并延长交地面 于N,过C作 于H,连接 , ,从而四边形 和四边形 均为矩形. ∵在⊙C中, , ,∴ . ∴ . ∵在 中, , , ∴ .∴ . 即围栏应摆在距离展台 处. 【点睛】本题考查圆的综合知识应用,解题的关键是把实际问题“数学化”,根据题意画出图形. 10.(2023·广东·九年级专题练习)1471年,德国数学家米勒提出了雕塑问题:假定有一个雕塑高AB=3 米,立在一个底座上,底座的高BC=2.2米,一个人注视着这个雕塑并朝它走去,这个人的水平视线离地 1.7米,问此人应站在离雕塑底座多远处,才能使看雕塑的效果最好,所谓看雕塑的效果最好是指看雕塑 的视角最大,问题转化为在水平视线EF上求使视角最大的点,如图:过A、B两点,作一圆与EF相切于 点M,你能说明点M为所求的点吗?并求出此时这个人离雕塑底座的水平距离? 【答案】可以说明点M为所求的点,理由见解析; 米 【分析】连接AM,BM,OM,作OG⊥AB于G,连接OB,在直线EF找一点P,连接AP,BP,BP交 于Q 点,连接AQ,根据同弧所对的圆周角相等 ,此时视角最大,即点M 为所求的点;要求EM的长,可以转化为求弦的弦心距.根据图中的数据可以求得该圆的半径是2米,然 后根据勾股定理即可求解.【详解】解:如图所示,连接AM,BM,OM,作OG⊥AB于G,则AG=BG=1.5, 连接OB,在直线EF找一点P,连接AP,BP,BP交 于Q点,连接AQ, 则 ,此时视角最大,即点M为所求的点; 根据题意,得OM=BG+BE=1.5+2.2−1.7=2(米), 在直角三角形OBG中, (米),即为这个人离雕塑底座的水平距离. 【点睛】本题考查了勾股定理,垂径定理,解题的关键是添加辅助线,掌握勾股定理和垂径定理. 11.(2023·河南三门峡·统考二模)阅读与思考 请阅读下列材料,并按要求完成相应的任务.弥勒是德国著名数学家,他在1471年提出了著名的弥勒定理: 如图1,已知A,B是 的边 上的定点,当且仅当 的外接圆与 相切( 与 相切于 点C)时 最大,此时 . 小明思考后给出如下证明: 证明:如图2,在OM上任取一点 ,连接 , , 与 相交于点D,连接 .∵点C,D在 上,∴ (依据①), 又∵ 是 的一个外角,∴ ,∴ , 即当且仅当 的外接圆与OM相切( 与 相切于点C)时 最大. 如图3,过切点C作 的直径 ,连接 ,则 , , ∴ , , ∴ ,(依据②) 又∵ , …… ∴ 任务:(1)写出小明证明过程中的依据:依据①: ;依据②: . (2)请你将小明的证明过程补充完整;(3)结论应用:如图4,已知点A,B的坐标分别是 和 ,C是 x轴正半轴上一个动点,当 最大时,点C的坐标为______.【答案】(1)同弧所对的圆周角相等;同角的余角相等(2)见解析(3) 【分析】(1)根据同弧所对的圆周角相等和同角的余角相等求解即可; (2)证明出 ,然后利用相似三角形的性质求解即可; (3)过点A,B作 与x轴相切于点C,由题意得到此时 最大,然后证明出 , 利用相似三角形的性质求解即可. 【详解】(1)根据题意可得,依据①:同弧所对的圆周角相等;依据②:同角的余角相等. (2)补充如下:∴ . 又∵ ,∴ .∴ ,即: . (3)如图所示,过点A,B作 与x轴相切于点C, 是 的直径, 由题意可得,此时 最大.∴ ,即 ∵ 是 的直径,∴ ∴ ∴ ∵ ∴ ∴ 又∵ ∴ ∴ ,即 ∴解得 (负值舍去).∴点C的坐标为 . 【点睛】此题考查了圆切线的性质和判定,相似三角形的性质和判定等知识,解题的关键是熟练掌握以上 知识点. 12.(2023·福建福州·校考一模)圆周角定理是初中数学中很重要的一个定理,它反映的是圆心角和圆周 角的关系,在实际生活中也有很多的应用. (1)如图, 为 的一条弦,点 在弦 所对的优弧上,若 ,请直接写出 的度数. [应用](2)福州某标志建筑可抽象为线段 ,很多摄影爱好者喜欢在斜对面的大桥 上对其拍照.若摄影师 想在对建筑视角为 (即 )的位置 拍摄,请在线段 上作出点 .(要求:尺规作图,不 写作法,保留作图痕迹)[拓展](3)问题:如图,已知建筑物宽 为30米,一名摄影师从距 点30米的 点(点 在直线 上) 出发,沿大桥 方向前进 ,当摄影师到达对建筑物视角最大的最佳拍摄点 时,求他 前进的距离. 这个问题可以利用圆周角定理进行简化:过点 、 作 , 与直线 相切于点 ,此时 最大, 即点 为最佳摄影点.连接 并延长交 于点 ,连接 , , ,求 的长. 【答案】(1) (2)见解析(3) 【分析】(1)根据圆周角定理即可得到;(2)根据圆周角定理,使得 和 , 三点共圆,且满足点 , 与圆心 的构成直角即可;(3)连接 , , ,根据直径所对的圆周角是直角可得 , 推得 ,根据切线的性质可得 ,推得 ,根据同弧或 等弧所对的圆周角相等可得 ,推得 ,根据相似三角形的判定和性质可推得 ,即可求出 的值. 【详解】(1)∵在同圆或等圆中,一条弧所对的圆周角等于它所对的圆心角的一半, ∴ . (2)如图: 即为所求;作法:作直线 的垂直平分线,与直线 交于一点 ;以点 为圆心, 的长为半径,在直线 下 方画弧,与直线 的垂直平分线交于一点 ;以点 为圆心, 的长为半径,画弧,与直线 交于一 点 ,即为所求. (3)如图:连接 , , ,由题可得 , , ∵ 是直径,∴ ,∴ , 又∵ 为 的切线,∴ ,∴ , ∵ ,∴ ,又∵ , ∴ ,∴ ,即 , 则 ,∴ (负值舍去). 【点睛】本题考查了圆周角定理即,画垂直平分线,画圆,切线的性质,同弧或等弧所对的圆周角相等, 相似三角形的判定和性质,熟练掌握圆周角定理是解题的关键. 13.(2023·广西梧州·统考二模)如图,在平面直角坐标系中,O是坐标原点,抛物线 与x A1,0、B3,0 轴交于 ,与y轴交于点C,其顶点为D点. (1)求抛物线的解析式. (2)连结 ,动点Q的坐标为 .P为抛物线上的一点,是否存在以B,D,Q,P为顶点的四边形是平行四边形?若存在,求出点P,Q的坐标;若不存在,请说明理由. OQ、CQ (3)连结 ,当 最大时,求出点Q的坐标. y=x22x3 【答案】(1)抛物线的解析式为 ; Q(2,1) Q(4,1) Q(4,1) Q(2,1) (2) , 或 , 或 , 或 , ; 2,1 (3)Q点坐标为 或 . 【分析】(1)利用待定系数法即可求解; D(1,4) DP (2)求得顶点 ,分两种情况讨论,当 为对角线时,当 为对角线时,根据平行四边形的性 质以及平移的性质即可求解; △OQC MN MN OM、CM (3)记 的外心为M,则M在 的垂直平分线 上(设 与y轴交于点N),连接 .由圆周角定理和三角函数的定义可表示出sinCQO,可得出 的值随着OM 的增大而减小,则 M y1 可得 与直线 相切,再结合勾股定理可求得Q点的坐标. yax2bx3 A1,0、B3,0 【详解】(1)解:∵抛物线 与x轴交于 , ab30  ∴9a3b30,解得 ,∴抛物线的解析式为y=x22x3; yx22x3x124 D(1,4) (2)解:∵ ,∴ , DQ BD 当 为对角线时,根据平行四边形的性质,相当于 向上平移1个单位, D(1,4) B3,0 ∵ , ,点B向上平移1个单位为点Q, ∴点D向上平移1个单位为点P,则点P的纵坐标为 , 解方程x22x33,得, 或x2; x0 P(0,3) D(1,4) 当 时, ,即点 向上平移1个单位,向左平移1个单位, B3,0 Q(2,1) ∴点 向上平移1个单位,向左平移1个单位,得到点 ,当x2时,同理P(2,3),Q(4,1);即P(0,3),Q(2,1)或P(2,3),Q(4,1); 当DP为对角线时,根据平行四边形的性质,相当于BD向上平移5个单位, B3,0 x2 2x35 x2 ∵ ,∴点P的纵坐标为5,解方程 ,得, 或 ; 同理得P(2,5),Q(4,1)或P(4,5),Q(2,1); 综上,P(0,3),Q(2,1)或P(2,3),Q(4,1)或P(2,5),Q(4,1)或P(4,5),Q(2,1); △OQC OC MN MN (3)解:如图,记 的外心为M,则M在 的垂直平分线 上(设 与y轴交于点N). 1 连接 ,则CQO CMOOMN , , 2 MC MOMQ ∴ ,∴ 的值随着 的增大而减小. sinCQO OM 又∵MOMQ,∴当 取最小值时sinCQO最大, 即MQ垂直直线y1时,CQO最大,此时,M 与直线y1相切. MQNF 2.5 MN  OM2ON2 2 ∴ , ,∴Q坐标为 . 2,1 2,1 2,1 根据对称性,另一点 也符合题意.综上可知,Q点坐标为 或 . 【点睛】本题主要考查二次函数的综合应用,涉及待定系数法、二次函数的性质、平行四边形的性质、直 CQO M y1 线和圆的位置关系、三角函数的定义等知识点.在(3)确定出 最大时 与直线 相切是解题 的关键.本题考查知识点较多,综合性较强. 14.(2023·陕西西安·校联考模拟预测)我们规定:线段外一点和这条线段两个端点连线所构成的角叫做 这个点对这条线段的视角.如图1,对于线段AB及线段AB外一点C,我们称ACB为点C对线段AB的 xOy D0,4 E0,1 P 视角.如图2,在平面直角坐标系 中,已知点 , . 为过D,E两点的圆,F为 上 异于点D,E的一点.(1)如果 为P的直径,那么点F对线段DE的视角DFE______; (2)如果点F对线段DE的视角DFE为45度,那么 的半径为多少? (3)点G为x轴正半轴上的一个动点,当点G对线段DE的视角DGE最大时,求点G的坐标. 3 2 【答案】(1)90(2) 2 (3) PM  y 【分析】(1)利用直径所对的圆周角是直角直接写出答案即可;(2)作 轴于点M,构造直角三 1 3 MP= DE= 角形,根据圆周角定理和直角三角形的性质可得 ,再利用勾股定理即可计算出结果;(3) 2 2 根据题意得到当 与x轴相切,G为切点时,DGE最大,先根据点P在线段ED的垂直平分线上,可得 ,过点P作 于点H,得到 ,连接 ,利用勾股定理可得即可得到点G PG=2.5 PH DE PE 的坐标. 【详解】(1)解:如图1,当DE为P的直径时,点F对线段DE的视角DFE90, 图1故答案为: ; 1 3 (2)解:如图2,作 PM  y 轴于点M,∴ DM  2 DE 2 , ∵点F对线段 的视角DFE为45,∴DFE45,∴DPE90, 3 2 3 2 3 2 ∵ ,∴ △DPE 是等腰直角三角形,∴ , DP=  2    2   = 2 ; 图3 (3)解:如图3,当 与x轴相切,G为切点时,DGE最大, 由题意可得:点P在线段ED的垂直平分线上,∴PG=2.5, 1 EH = DE=1.5 过点P作 于点H,∴ , PH DE 2 ∵PGx轴,∴四边形PHOG是矩形, 连接 ,在Rt△PEH中,PE=PG=2.5, , PH = 2.521.52 =2 ∴ ,∴点G的坐标为: . 【点睛】本题考查圆的综合知识、勾股定理、线段垂直平分线的性质、直角三角形的性质、圆周角定理、 切点的性质及矩形的判定与性质,能够将点的坐标与园内有关线段的长联系起来是解题的关键. 15.(2023·广东珠海·统考二模)小辉同学观看2022卡塔尔世界杯时发现,优秀的球员通常都能选择最优 的点射门(仅从射门角度大小考虑).这引起了小辉同学的兴趣,于是他展开了一次有趣的数学探究.【提出问题】如图所示.球员带球沿直线BC奔向球门PQ, 探究:是否存在一个位置,使得射门角度最大. 【分析问题】因为线段PQ长度不变,我们联想到圆中的弦和圆周角. BC O NP,NQ,AP,AQ,MP,MQ 如图1,射线 与 相交,点M,点A,点N分别在圆外、圆上、圆内,连接 . 【解决问题】 (1)如图1,比较 的大小:________(用“<”连接起来). △APQ O BC (2)如图2,点A是射线 上一动点(点A不与点B重合).证明:当 的外接圆 与射线 相切 时,PAQ最大. PQ4,PB5,tanB2 PAQ (3)【延伸拓展】在(2)的条件下,如果 .当 最大时.证明: PAQ90B. 【答案】(1) (2)见解析(3)见解析 PM O PN O F FQ 【分析】(1)设 与 交于点E, 与 交于点 ,连接 ,由圆周角的性质可得 PFQPAQPEQ,再由三角形的外角进行比较即可; PAQ △APQ (2)由(1)中的规律可得点 在圆内时 最大,其次是在圆上,最后是在圆外,故当 的外接 圆O与射线BC相切时PAQ最大; OH PQ OH BC OA,OP,OQ (3)过点O作 ,垂足为点H, 交 于点K,连接 ,在 中求出半径长,OH 1 即可根据tanOPH  2得到 ,再由PAQ POQPOH 即可得到 PH 2 . PM O PN O F FQ 【详解】(1)设 与 交于点E, 与 交于点 ,连接 , ∴ ,∵PMQPEQMQE,PNQPFQFQN , ∴ ,PFQPNQ,∴ , PAQ A (2)由(1)中的规律可得:点 在圆内时 最大,其次是在圆上,最后是在圆外, △APQ O BC A ∴当 的外接圆 与射线 相切时,点 要么在圆上为切点要么在圆外 ∴当点A在圆上时,PAQ最大, △APQ O BC PAQ 即当 的外接圆 与射线 相切时, 最大; OH PQ OH BC OA,OP,OQ (3)方法一:如图过点O作 ,垂足为点H, 交 于点K,连接 . 由垂径定理得,PH QH 2,则BH BPPH 7, 在 中, ,∴ KH 14 设 的半径为r,∵BKH BBKH AOK 90, 5 ∴ ,∴ ,cosAOK  , , AOK B 5OH KH OK 14 5r OP2 OH2PH2 ∴ , 中, ,  2 r2  14 5r 22 即 ,解得: (舍去), ∴ ,∴ ,∴ , PH 2,OH 4 BOPH 1 ∴ ,又∵PAQ POQPOH , PAQ90OPH 90B 2 ∴PAQ90OPH 90B, AH BQ AB2 BPPQ 方法二:过点A作 ,垂足为点H,由切割线定理得, ∴ , BH :AH :AB1:2: 5 在 中,∵ ,∴ , ∴HQPQHP6,∴ ,∴△AHQ是等腰直角三角形, ∴ ,由先切角定理得,BAPHQA45, ∴ ,即BAH HAPHAPPAQ, ∴ ,PAQ90BAH B. 【点睛】本题主要考查圆的综合应用,涉及圆周角定理的应用,三角形外角大于与它不相邻的内角,解直 角三角形等知识,根据条件证明 是解决问题的关键. 16.(2023下·河南郑州·九年级校考阶段练习)定义:自一点引出的两条射线分别经过已知线段的两端 点,则这两条射线所成的角称为该点对已知线段的视角,如图①,APB是点P对线段AB的视角.问题:如图②,已知线段 与直线l,在直线l上取一点P,使点P对线段AB的视角最大. 小明的分析思路如下:过A、B两点,作O使其与直线l相切,切点为P,则点P对线段AB的视角最 大,即APB最大. AQ、BQ 小明的证明过程:为了证明点P的位置即为所求,不妨在直线l上另外任取一点Q,连接 ,如图 BQ AH APBAHB ②,设直线 交圆O于点H,连接 ,则 .(依据1) ∵ .(依据2) ∴APBAQH QAH ∴ 所以,点P对线段AB的视角最大. (1)请写出小明证明过程中的依据1和依据2; 依据1:________________________________________ 依据2:________________________________________ (2)应用:在足球电子游戏中,足球队球门的视角越大,越容易被踢进,如图③,A、B是足球门的两端, 线段AB是球门的宽,CD是球场边线,ADC是直角,EFCD. ①若球员沿EF带球前进,记足球所在的位置为点P,在图③中,用直尺和圆规在EF上求作点P,使点P 对AB的视角最大(不写作法,保留作图痕迹). ②若 ,DE25,直接写出①中所作的点P对AB的最大视角的度数(参考数据: 12 5 5 12 sin67 ,cos67 ,tan672.4,tan23 ,tan42 .) 13 13 12 13 【答案】(1)同弧所对的圆周角相等;三角形的外角等于和它不相邻的两个内角的和(2)①见解析;②23 【分析】(1)根据圆周角定理,三角形外角的性质,即可求解; (2)①作线段AB的垂直平分线交EF于点P,点P即为所求;②过A、B两点,作O使其与直线EF相 切,切点为P,设OP交AB于点M,设OAOPOBx,则OPEF,可得四边形 是矩形,从而 得到PM DE25,OM AB,在 中,根据勾股定理,可得OM 12,从而得到ABO67, 进而得到 ,再由圆周角定理,即可求解.AQ、BQ BQ 【详解】(1)解:在直线l上另外任取一点Q,连接 ,如图②,设直线 交圆O于点H,连接 AH ,则APBAHB.(同弧所对的圆周角相等) ∵AHBAQH QAH .(三角形的外角等于和它不相邻的两个内角的和.) APBAQH QAH APBAQH AB ∴ ∴ ,所以,点P对线段 的视角最大. (2)解:①如图,作线段AB的垂直平分线交EF于点P,点P即为所求. ②过A、B两点,作 使其与直线EF相切,切点为P,设OP交AB于点M,设OAOPOBx,则 OPEF, ∴DMPDDEP90,∴四边形DEPM 是矩形, 1 BM  AB5 ∴ , ,∴ , , PM DE25 OM AB OM 25x 2 OM2BM2 OB2 5225x2 x2 在 中, ,∴ , ∴ ,∴OM 12,∴OM:BM 2.4, ∵tan672.4∴ABO67,∴AOB180676746, 1 ∴APB AOB23,∴最大视角是 . 2 【点睛】本题是圆的综合题,主要考查了解直角三角形、直线和圆相切等,这种新定义类的题目,通常按 照题设的顺序求解,一般比较容易解答. xOy A(1,0) 17.(2023上·北京西城·九年级校考期末)在平面直角坐标系 中,已知点 和点 .对于线段 AB和直线AB外的一点C,给出如下定义:点C到线段AB两个端点的连线所构成的夹角ACB叫做线段 AB关于点C的可视角,其中点C叫做线段AB的可视点.E(1,4) AB 45 (1)在点 、 、 中,使得线段 的可视角为 的可视点是 ; (2)P为经过A,B两点的圆,点M 是P上线段AB的一个可视点. ①当AB为P的直径时,线段AB的可视角AMB为 度; ②当P的半径为4时,线段AB的可视角AMB为 度; (3)已知点N 为 y 轴上的一个动点,当线段AB的可视角ANB最大时,求点 的坐标. E 90 30 N(0, 5) 【答案】(1) (2)① ;② (3) 或 【分析】(1)以AB为底作等腰直角三角形,以直角顶点为圆心,直角边为半径作圆,则A、B两点与优 弧上点形成的角是AB的可视角45的可视点;(2)①AB是直径,可视角是90; ②半径是4时,圆心和A、B两点形成的是等边三角形,圆心角是60,故可视角是30; (3)当ANB是最大时,过AB两点的圆与 y 轴相切,进而可求得结果. 【详解】(1)解:如图1, x Rt△ABI △ABI I AI I I 以 为底在 轴作等腰 和 ,以 和 为圆心, 为半径作 和 ,Q AmB AnB 45 QI AI 2 2 I(3,2) 当点 在优弧 上或 上时,线段 的可视角是 ,此时 ,点 , , 因为点D在圆外,所以点D不是AB的可视角为45的可视点, ∵EI  (31)2(42)2 2 2 E AB 45 , 点 是 的可视角为 的可视点, ∵AFB90,点F 不是AB的可视角为45的可视点,故答案是:E; (2)①∵ AB是直径, , 1 AMB APB30 ② ∵ ABPAPB4 , , 2 ,故答案是: ,30; (3)如图2, 作△ABN 的外接圆,作直径AM ,连接BM ,ABM 90, AB 4 sinM   AB AB , M ANB , AM AM , 当 AM 最小时, M 最大,即ANB最大, ∵点N 在I 上,当I 和 y 轴相切时,ANB最大, 此时,连接NI ,作 于H ,NI 轴,NI AH 3, AI NI 3 IH  3222  5 N(0, 5) 在 中, , , , , 或 . 【点睛】本题是新定义理解题,考查了圆周角定理及其推论,圆的切线性质,勾股定理等知识,解决问题 的关键是确定AMB最大时,是△ABN 的外接圆与 y 轴相切. 18.(2023·陕西西安·校考模拟预测)问题研究 (1)若等边△ABC边长为4,则△ABC的面积为 ; (2)如图1,在△ABC中,∠ACB=60°,CD为AB边上的高,若CD=4,试判断△ABC的面积是否存在 最小值.若存在,求出这个最小值;若不存在,请说明理由. 问题解决(3)如图2,四边形ABCD中,AB=AD=4 ,∠B=45°,∠C=60°,∠D=135°,点E、F分别为边BC、DC上的动点,且∠EAF=∠C,求四边形AECF面积的最大值. 【答案】(1) ;(2) ;(3)四边形AECF面积的最大值为: . 最小 【分析】解:(1)过点C作CD⊥AB于D,等边△ABC边长为4,可得AD=BD= ,在 中,由勾股定理 ,求出 ,利用面积公式计算即可; (2)由CD为AB边上的高, CD=4,设AB=c,AC=b,BC=a,过A作AE⊥BC于D,利用面积桥得 ,由三角函数求 , ,在 中由勾股定理得 ,仅当 时取等号,即 ABC为等边三角形时即可; △ (3)由∠B=45°,∠C=60°,∠D=135°,可求∠BAD=120°,将 ABE逆时针旋转120°得 ADG,可证 △ △ C、D、G三点共线,可证 ≌ , ,S AECF= S ABCD-S AGF,当S AGF 四边形 四边形 △ △ 最小时,S AECF最大,过A作AH⊥CG于H,由AD=4 ,∠ADH=45°, ,∠FAG=60°,可 四边形 求S AGF= ,由(2)知AG=AF时, AFG面积最小,由点F在CD上运动,达不 △ △ 到 AFG是等边三角形,当F向D运动时, AFG面积逐渐减小,可知点F到点D时, AFG面积最小, △ △ △ 在AH上取点M使∠HMG=30°,可证∠AGM==15°=∠HAG,可求GF=12- 即可.【详解】解:(1)过点C作CD⊥AB于D, ∵等边 ABC边长为4,∴AD=BD= , △ 在 中,由勾股定理 即 ,解得: , ∴ ,故答案为: ; (2)∵CD为AB边上的高,若CD=4, 设AB=c,AC=b,BC=a,过A作AE⊥BC于D, ∴ ,∴ , 又 , , 在 中由勾股定理得 ,即 , ∴ ,仅当 时取等号,即 ABC为等边三角形时, △ ∴ ,∴ , ; 最小 (3)∵∠B=45°,∠C=60°,∠ADC=135°, ∴∠BAD=360°-∠B-∠C-∠D=360°-45°-60°-135°=120°, 将 ABE逆时针旋转120°得 ADG,∵∠ADG=∠B=45°,AE=AG, ∴∠△ADG+∠ADC=45°+135°=△180°,∴C、D、G三点共线, ∵∠EAF=∠C=60°, , ,在 和 中 , ≌ , , S AECF=S ABCD-S ABE-S ADF= S ABCD-S AGF, 四边形 四边形 四边形 △ △ △ ∴当S AGF最小时,S AECF最大,过A作AH⊥CG于H, 四边形 △ ∵AD=4 ,∠ADH=45°, , ∵∠FAG=60°,∴S AGF= , △ 由(2)知AG=AF时, AFG面积最小, 由点F在CD上运动,达△不到 AFG是等边三角形, 当F向D运动时, AFG面积△逐渐减小,∴点F到点D时, AFG面积最小, 此时 ABE≌ AFG≌△△AFE,∴∠ABE=∠AFE=∠AFG=∠HAF=4△5°, △ △ ∴∠BAE=∠FAE=∠FAG=60°,∵AB=AF=AD= , 在AH上取点M使∠HMG=30°,∵∠HAG=∠FAG-∠FAH=60°-45°=15°, ∴∠AGH=90°-∠GAH=75°,∴∠AGM=∠AGH-∠MGH=75°-(90°-30°)=15°=∠HAG, 设GH=x,MG=2x,由勾股定理MH= , ∵AH=AM+MH=2x+ =4,∴ ,∴GF=4+ =12- , S AEF= S AGF= ,∵EF=GF==12- , △ △ ∵∠EFC=∠ADC-∠ADE=135°-45°=90°,∠C=60°, ∴S CEF= , △ ∴S AECF= S AEF+ S CEF= . 四边形 △ △ ∴四边形AECF面积的最大值为: .【点睛】本题考查等边三角形的面积,三角形面积最小值,四边形面积最大值,涉及的知识多,等边三角 形性质,三角函数综合,三角形全等判定与性质,图形旋转变换,不等式性质,直角三角形性质,勾股定 理,三点共线,难度相当大,利用辅助线准确作出图形是解题关键. 19.(2023·陕西商洛·统考模拟预测)【问题提出】(1)如图①,在正方形 中,点 分别在边 上,连接 ,延长 到点 ,使 ,连接 .若 ,则可证 __________; 【问题探究】(2)在(1)的条件下,若 ,求 面积的最小值; 【问题解决】(3)如图②, 是一条笔直的公路,村庄 离公路 的距离是5千米,现在要在公路上 建两个快递转运点 ,且 ,为了节约成本,要使得 之和最短,求 的最小值. 【答案】(1) ;(2) ;(3) 【分析】(1)先证明 得到 ,再证明 ,即可证明 ; (2)由(1)可得 ,则 的面积等于 面积.如图①,作 的外接圆 , 连接 ,过点 作 于点 ,设 的半径为 .先求出 .则可得.由 ,得到 ,由此得到 得到最小值为 ,据此即 可得到答案.(3)如图,在 上分别截取 , ,连接 ,先根据等边对等角和三 角形内角和定理证明 ,作 的外接圆 ,分别过点 作 于点 , 于点 ,由已知得 .连接 ,设 的半径为 ,利用圆周角定理求出 ,则 .即可得到 ,再由 ,推出 ,由此求 出 得最小值为 ,则可得 的最小值为 . 【详解】解:(1)∵四边形 是正方形, ∴ , 又∵ ,∴ ,∴ , ∵ ,∴ , ∴ ,∴ , 又∵ ,∴ ,故答案为: ; (2)由(1)可得 ,则 的面积等于 面积. 如图,作 的外接圆 ,连接 ,过点 作 于点 , 设 的半径为 . ,∴ , . 在 中, , . . 又 , , , . 当 时, 取得最小值即 . 的最小面积为 . 的最小面积为 .(3)如图,在 上分别截取 , ,连接 , ∴ , ∵ , , ∴ ,∴ ∴ , 作 的外接圆 ,分别过点 作 于点 , 于点 ,由已知得 . 连接 ,设 的半径为 , 由 可得 ,则 . , , , ,即 , 当 四点共线时, 取最小值10,此时 ,∴ . , 的最小值为 . 【点睛】本题主要考查了正方形的性质,圆周角定理,垂径定理,全等三角形的性质与判定等等,正确作 出辅助线是解题的关键. 20.(2023·江苏盐城·九年级校考阶段练习)问题提出: (1)如图1,P是半径为5的⊙O上一点,直线l与⊙O交于A、B两点, ,则△ABP面积的最大值为 _____.问题探究:(2)如图2,在等腰△ABC中, , ,F是高AD和高BE的交点. ①请求出△ABF与△BDF的面积之比;②若 ,求△ABF的面积. 问题解决:(3)如图3,四边形ABCD是某区的一处景观示意图, , , , , ,M是AB上一点,且 .按设计师要求,需在四边形区域内确定一个点N, 修建花坛△AMN和草坪△BCN,且需 .已知花坛的造价是每平米200元,草坪的造价是每平米 100元,请帮设计师算算修好花坛和草坪预算最少需要多少元? 【答案】(1)32;(2)① ;② ;(3) . 【分析】(1)当点P到直线 的垂线经过点O时,此时 的面积最大,根据垂径定理、勾股定理、三 角形面积公式即可求解;(2)根据平分线的性质,得FG=FD,所求三角形面积的比转化为AB:BC,根 据等腰直角三角形的边的关系,则可得出答案;根据这个结论,可求当BD=4时△ABF的面积.(3)根据 题意,将费用的最小值问题,转化为 最小,再转化为 最小时,最后转化求为 最小值,从而得解. 【详解】(1)如图1,过圆心O作 ,垂足为点C,交圆O于P,此时 的面积最大, 连接OA, , ,由勾股定理得:OC=3, , 的面积的最大值= .(2)如图2,过F做 于G, , 为等腰直角三角形, 为等腰三角形,且AB=BC, , BE平分 ,又 , FG=FD, , , ; ②当BD=4时, , = ; 故答案为:① ;② . (3)如图3,连接MC,过A作 于点P, ,AB=60, , , 设总费用为W元, , , 又 , , ,即 最小时,费用最小,又 , 过点M作 于H, ,BM=40, , , , , 最小时,费用最小, ,当 时,垂足为Q,此时NQ最小, ,DQ=45, , 最小值= = , 最小值= + = (平方米) =100× = (元). 【点睛】此题是圆的综合题,此题难度较大,综合性强.主要考查了圆的性质,三角形的面积计算,以及 三角函数等知识,借助辅助圆分析 时费用有最小值是解此题的关键.