当前位置:首页>文档>第02讲三角函数恒等变换(练)(解析版)_2.2025数学总复习_赠品通用版(老高考)复习资料_一轮复习_2023年高考数学一轮复习讲练测(全国通用)_专题06三角函数与解三角形

第02讲三角函数恒等变换(练)(解析版)_2.2025数学总复习_赠品通用版(老高考)复习资料_一轮复习_2023年高考数学一轮复习讲练测(全国通用)_专题06三角函数与解三角形

  • 2026-04-08 13:22:00 2026-03-23 07:21:50

文档预览

第02讲三角函数恒等变换(练)(解析版)_2.2025数学总复习_赠品通用版(老高考)复习资料_一轮复习_2023年高考数学一轮复习讲练测(全国通用)_专题06三角函数与解三角形
第02讲三角函数恒等变换(练)(解析版)_2.2025数学总复习_赠品通用版(老高考)复习资料_一轮复习_2023年高考数学一轮复习讲练测(全国通用)_专题06三角函数与解三角形
第02讲三角函数恒等变换(练)(解析版)_2.2025数学总复习_赠品通用版(老高考)复习资料_一轮复习_2023年高考数学一轮复习讲练测(全国通用)_专题06三角函数与解三角形
第02讲三角函数恒等变换(练)(解析版)_2.2025数学总复习_赠品通用版(老高考)复习资料_一轮复习_2023年高考数学一轮复习讲练测(全国通用)_专题06三角函数与解三角形
第02讲三角函数恒等变换(练)(解析版)_2.2025数学总复习_赠品通用版(老高考)复习资料_一轮复习_2023年高考数学一轮复习讲练测(全国通用)_专题06三角函数与解三角形
第02讲三角函数恒等变换(练)(解析版)_2.2025数学总复习_赠品通用版(老高考)复习资料_一轮复习_2023年高考数学一轮复习讲练测(全国通用)_专题06三角函数与解三角形
第02讲三角函数恒等变换(练)(解析版)_2.2025数学总复习_赠品通用版(老高考)复习资料_一轮复习_2023年高考数学一轮复习讲练测(全国通用)_专题06三角函数与解三角形
第02讲三角函数恒等变换(练)(解析版)_2.2025数学总复习_赠品通用版(老高考)复习资料_一轮复习_2023年高考数学一轮复习讲练测(全国通用)_专题06三角函数与解三角形
第02讲三角函数恒等变换(练)(解析版)_2.2025数学总复习_赠品通用版(老高考)复习资料_一轮复习_2023年高考数学一轮复习讲练测(全国通用)_专题06三角函数与解三角形
第02讲三角函数恒等变换(练)(解析版)_2.2025数学总复习_赠品通用版(老高考)复习资料_一轮复习_2023年高考数学一轮复习讲练测(全国通用)_专题06三角函数与解三角形
第02讲三角函数恒等变换(练)(解析版)_2.2025数学总复习_赠品通用版(老高考)复习资料_一轮复习_2023年高考数学一轮复习讲练测(全国通用)_专题06三角函数与解三角形
第02讲三角函数恒等变换(练)(解析版)_2.2025数学总复习_赠品通用版(老高考)复习资料_一轮复习_2023年高考数学一轮复习讲练测(全国通用)_专题06三角函数与解三角形
第02讲三角函数恒等变换(练)(解析版)_2.2025数学总复习_赠品通用版(老高考)复习资料_一轮复习_2023年高考数学一轮复习讲练测(全国通用)_专题06三角函数与解三角形
第02讲三角函数恒等变换(练)(解析版)_2.2025数学总复习_赠品通用版(老高考)复习资料_一轮复习_2023年高考数学一轮复习讲练测(全国通用)_专题06三角函数与解三角形
第02讲三角函数恒等变换(练)(解析版)_2.2025数学总复习_赠品通用版(老高考)复习资料_一轮复习_2023年高考数学一轮复习讲练测(全国通用)_专题06三角函数与解三角形
第02讲三角函数恒等变换(练)(解析版)_2.2025数学总复习_赠品通用版(老高考)复习资料_一轮复习_2023年高考数学一轮复习讲练测(全国通用)_专题06三角函数与解三角形
第02讲三角函数恒等变换(练)(解析版)_2.2025数学总复习_赠品通用版(老高考)复习资料_一轮复习_2023年高考数学一轮复习讲练测(全国通用)_专题06三角函数与解三角形
第02讲三角函数恒等变换(练)(解析版)_2.2025数学总复习_赠品通用版(老高考)复习资料_一轮复习_2023年高考数学一轮复习讲练测(全国通用)_专题06三角函数与解三角形
第02讲三角函数恒等变换(练)(解析版)_2.2025数学总复习_赠品通用版(老高考)复习资料_一轮复习_2023年高考数学一轮复习讲练测(全国通用)_专题06三角函数与解三角形

文档信息

文档格式
docx
文档大小
1.055 MB
文档页数
19 页
上传时间
2026-03-23 07:21:50

文档内容

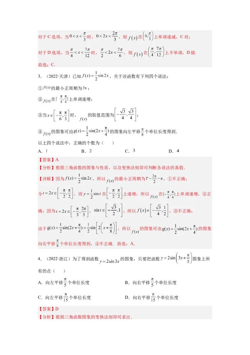
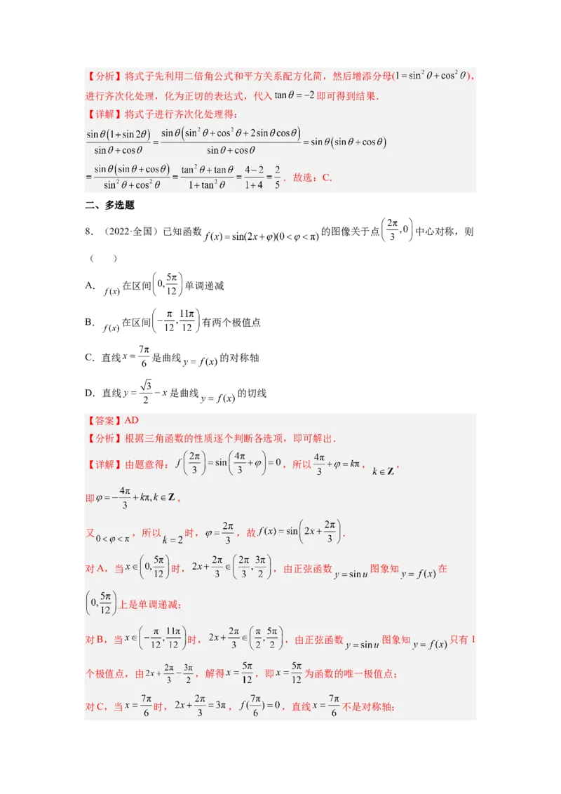
第 02 讲 三角恒等变换 一、单选题 1.若 ,则 的值为( ) A. B.2 C. D. 【答案】C 【分析】利用弦化切和两角和的正切展开式化简计算可得答案. 【详解】因为 .所以 ,解得 , 于是 .故选:C. 2.若 ,则 ( ) A. B. C. D. 【答案】A 【分析】利用诱导公式结合同角的三角函数关系式将 化简为 ,即可 求得答案. 【详解】由题意知 , 故 ,故选:A. 3.设 ,则 =( ) A. B. C. D. 【答案】D 【分析】利用和差角的正弦公式和辅助角公式对 进行化简,可得 ,再利用二倍角的余弦公式即可得到答案 【详解】解: 即 ,所以 即 , 所以 ,故选:D 4.已知函数 .设 , 则 的值为( ) A. B. C. D. 【答案】B 【分析】由 ,得 , ,再利用同角三角函 数的关系求出 ,然后利用两角和的余弦公式可求得 的值. 【详解】因为 , , 所以 , , 所以 , ,所以 ,因为 , 所以 , , 所以 ,故选:B 5.若 ,且 ,则 ( ) A. B. C. D. 【答案】A 【分析】由二倍角公式将的等式右侧化简,再利用分式运算及两角和差的余弦公式化简, 根据 ,即可求得 的值. 【详解】解:由 ,且 即 . 所以整理得: 又 ,所以 ,即 .故选:A. 6.已知函数 在 处取得最大值,则 ( ) A. B. C. D. 【答案】A 【分析】根辅助角公式和正弦函数最值求解即可. 【详解】 ,其中 为锐角, . 因为当 处取得最大值,所以 , , 即 , ,所以 .故选:A 7.已知角 的顶点在坐标原点,始边与 轴的非负半轴重合,终边经过点 ,其中 ,若 ,则 ( ) A.2 B. C. D. 【答案】D 【分析】利用三角函数定义求出 ,再利用二倍角的余弦公式结合齐次式法求解作答. 【详解】依题意, ,又 , 解得 ,从而得 ,所以 .故选:D 8.公元前六世纪,古希腊的毕达哥拉斯学派在研究正五边形和正十边形的作图时,发现了 黄金分割约为0.618,这一数值也可以表示为 ,若 ,则 的值为( ) A.1 B.2 C.-1 D.-2 【答案】D【分析】由平方关系结合二倍角正弦和余弦公式得出答案. 【详解】因为 , ,所以 , 所以 故选:D. 二、填空题 9.已知 ,则 ___________. 【答案】 【分析】先求出 ,再利用和差角公式即可求解. 【详解】因为 ,所以 ,所以 .因为 , 所以 故答案为: 10. _____. 【答案】 【分析】通分利用辅助角公式及二倍角公式计算可得; 【详解】解:故答案为: 11.已知 ,且 是第一象限角,则 _____________. 【答案】 【分析】利用两角差的正切公式求出 ,再根据同角三角函数的基本关系计算可得. 【详解】解:因为 ,所以 , 即 ,解得 , 又 ,解得 或 , 因为 是第一象限角,所以 ; 故答案为: 三、解答题 12.已知函数 . (1)若函数 的图象过点 ,且 ,求 的值; (2)若 ,且 ,求 的值. 【答案】(1) (2) 【分析】(1)利用三角恒等变换整理化简 ,根据题意代入整理得 ,结合角的范围求解; (2)根据题意代入整理,以 为整体运算求解,注意根据角的范围判断三角函数值的 符号. (1) 因为 . 所以 . 因为函数 的图象过点 , 所以 . 因为 ,所以 ,所以 ,解得 . (2) 因为 ,所以 . 因为 ,所以 . 所以 , 又 ,所以 . 因为 ,所以 ,所以 . 13.已知平面向量 , ,函数 . (1)求函数 的解析式; (2)求函数 在区间 上的值域. 【答案】(1) (2) 【分析】(1)根据数量积的坐标表示结合二倍角的正余弦公式和辅助角公式即可得解;(2)根据正弦函数的性质结合整体思想即可得解. (1) 解: ; (2) 解:因为 ,所以 , 所以 , 所以 , 即函数 在区间 上的值域为 . 一、单选题 1.已知 ,则 ( ) A. B. C. D. 【答案】A 【分析】将 化为 ,利用诱导公式以及二倍角的余弦公式,化 简求值,可得答案. 【详解】因为 , 所以 , 故选:A. 2.若 ,且 ,则下列结论正确的是( ) A. B. C. D. 【答案】C【分析】由 及二倍角的余弦公式可得 ,根据两角差的 正弦公式可得 ,由诱导公式及 的范围,结合正弦函数的单调性即可 求解. 【详解】解:∵ ,∴ . 由 ,可得 , 即 . ∴ ,∴ . ∵ ,∴ ,且 . 由于函数 在 上单调递增,∴ ,即 .故选:C. 3.已知 ,则 ( ) A. B. C. D. 【答案】B 【分析】根据题意得 ,进而结合二倍角公式降幂求解即可. 【详解】解:因为 所以 所以 , , 所以 , 整理得: 所以 故选:B 4.函数 的最小正周期是( )A. B. C. D. 【答案】B 【分析】将 解析式用正余弦的和差角公式展开化简,即可得到结果. 【详解】因为 所以 ,故选: B. 5.已知角 的终边在直线 上,则 ( ) A. B. C.1 D. 【答案】A 【分析】由题意可得 ,然后化简变形 ,再给 分子分母同除以 ,化为正切,再代值计算即可. 【详解】因为角 的终边在直线 上, 所以当 时,在直线上取一点 ,则 , 当 时,在直线上取一点 ,则 , 综上 , 所以 ,故选:A. 6.若 , ,则 ( ) A. B. C. D. 【答案】D【分析】利用商数关系式和二倍角公式化简题设中的三角函数式可得 ,再根据二 倍角的余弦公式可求 的值. 【详解】因为 ,故 , 故 , 因为 ,故 ,所以 , 所以 即 , 故 ,故选:D. 二、填空题 7.化简: 值是________. 【答案】 【分析】利用和差角的余弦公式和诱导公式进行化简即可 【详解】解: , 故答案为: 8.若函数 的图像关于直线 对称,则 ___________. 【答案】 【分析】由题知 ,进而解方程即可得答案. 【详解】解:因为函数 的图像关于直线 对称, 所以函数 在 时取得最值,所以,结合辅助角公式得: ,即 , 整理得: ,解得 . 故答案为: 9.已知 , ,则 的最大值为________. 【答案】 【分析】依题意利用和差角公式将其变形为 ,整理可得 ,再利用基本不等式计算可得. 【详解】解: , , , , , , 即 , ,即 , 所以 , 当且 ,即 ,等号成立, 取得最大值 . 故答案为: 三、解答题 10.如图,某圆形小区有两块空余绿化扇形草地 (圆心角为 )和 (圆心角为 ), 为圆的直径.现分别要设计出两块社区活动区域,其中一块为矩形区域 , 一块为平行四边形区域 ,已知圆的直径 百米,且点 在劣弧 上(不含端 点),点 在 上、点 在 上、点 和 在 上、点 在 上,记 .(1)经设计,当 达到最大值时,取得最佳观赏效果,求 取何值时, 最大,最大值是多少? (2)设矩形 和平行四边形 面积和为 ,求 的最大值及此时 的值. 【答案】(1) 时, 最大值为 百米 (2) 百米 , 【分析】对于小问1,分别用变量 来表达 , ,代入 ,得关于 的函数, 进行三角恒等变换整理成 型函数求最大值; 对于小问2,分别用变量 来表达矩形 和平行四边形 面积相加,得关于 的 函数,进行三角恒等变换整理成 型函数求最大值. (1)在矩形OEFG中, , ,所以 .因为MN∥PQ, ,所以 ,在 OQP中, , ,由正弦定理可知: △ ,即 ,得 .所以 因为 ,所 以 ,当 , 时, 最大值为 百米. (2)设平行四边形MNPQ边MN上的高为h,所以有 ,所以平行四边形MNPQ的 面积为 ,在矩形OEFG中, ,所以矩形OEFG的面积为 ,所以.其中 , , ,因为 ,所以 ,当 , 时, 百米2,此时 . 一、单选题 1.(2022·全国·高考真题)若 ,则( ) A. B. C. D. 【答案】C 【分析】由两角和差的正余弦公式化简,结合同角三角函数的商数关系即可得解. 【详解】由已知得: , 即: , 即: , 所以 ,故选:C 2.(2022·北京·高考真题)已知函数 ,则( ) A. 在 上单调递减 B. 在 上单调递增 C. 在 上单调递减 D. 在 上单调递增 【答案】C 【分析】化简得出 ,利用余弦型函数的单调性逐项判断可得出合适的选项. 【详解】因为 . 对于A选项,当 时, ,则 在 上单调递增,A错; 对于B选项,当 时, ,则 在 上不单调,B错;对于C选项,当 时, ,则 在 上单调递减,C对; 对于D选项,当 时, ,则 在 上不单调,D错. 故选:C. 3.(2022·天津)已知 ,关于该函数有下列四个说法: ① 的最小正周期为 ; ② 在 上单调递增; ③当 时, 的取值范围为 ; ④ 的图象可由 的图象向左平移 个单位长度得到. 以上四个说法中,正确的个数为( ) A. B. C. D. 【答案】A 【分析】根据三角函数的图象与性质,以及变换法则即可判断各说法的真假. 【详解】因为 ,所以 的最小正周期为 ,①不正确; 令 ,而 在 上递增,所以 在 上单调递增,②正 确;因为 , ,所以 ,③不正确; 由于 ,所以 的图象可由 的图象 向右平移 个单位长度得到,④不正确.故选:A. 4.(2022·浙江)为了得到函数 的图象,只要把函数 图象上所 有的点( ) A.向左平移 个单位长度 B.向右平移 个单位长度 C.向左平移 个单位长度 D.向右平移 个单位长度 【答案】D 【分析】根据三角函数图象的变换法则即可求出.【详解】因为 ,所以把函数 图象上的所 有点向右平移 个单位长度即可得到函数 的图象.故选:D. 5.(2021·全国(文))函数 的最小正周期和最大值分别是( ) A. 和 B. 和2 C. 和 D. 和2 【答案】C 【分析】利用辅助角公式化简 ,结合三角函数周期性和值域求得函数的最小正周期和 最大值. 【详解】由题, ,所以 的 最小正周期为 ,最大值为 .故选:C. 6.(2021·全国(文))若 ,则 ( ) A. B. C. D. 【答案】A 【分析】由二倍角公式可得 ,再结合已知可求得 , 利用同角三角函数的基本关系即可求解. 【详解】 , , , ,解得 , , . 故选:A. 7.(2021·全国)若 ,则 ( ) A. B. C. D. 【答案】C【分析】将式子先利用二倍角公式和平方关系配方化简,然后增添分母( ), 进行齐次化处理,化为正切的表达式,代入 即可得到结果. 【详解】将式子进行齐次化处理得: .故选:C. 二、多选题 8.(2022·全国)已知函数 的图像关于点 中心对称,则 ( ) A. 在区间 单调递减 B. 在区间 有两个极值点 C.直线 是曲线 的对称轴 D.直线 是曲线 的切线 【答案】AD 【分析】根据三角函数的性质逐个判断各选项,即可解出. 【详解】由题意得: ,所以 , , 即 , 又 ,所以 时, ,故 . 对A,当 时, ,由正弦函数 图象知 在 上是单调递减; 对B,当 时, ,由正弦函数 图象知 只有1 个极值点,由 ,解得 ,即 为函数的唯一极值点; 对C,当 时, , ,直线 不是对称轴;对D,由 得: , 解得 或 , 从而得: 或 , 所以函数 在点 处的切线斜率为 , 切线方程为: 即 .故选:AD. 三、填空题 9.(2022·浙江·高考真题)若 ,则 __________, _________. 【答案】 【分析】先通过诱导公式变形,得到 的同角等式关系,再利用辅助角公式化简成正弦型 函数方程,可求出 ,接下来再求 . 【详解】 ,∴ ,即 , 即 ,令 , , 则 ,∴ ,即 , ∴ , 则 . 故答案为: ; . 四、双空题 10.(2022·北京)若函数 的一个零点为 ,则 ________; ________. 【答案】 1【分析】先代入零点,求得A的值,再将函数化简为 ,代入自变量 ,计算即可. 【详解】∵ ,∴ ∴ 故答案为:1,