当前位置:首页>文档>专题24磁场的基本性质(解析版)_2025高中物理模型方法技巧高三复习专题练习讲义_新版高考物理模型与方法

专题24磁场的基本性质(解析版)_2025高中物理模型方法技巧高三复习专题练习讲义_新版高考物理模型与方法

  • 2026-04-08 15:06:44 2026-01-27 14:02:02

文档预览

专题24磁场的基本性质(解析版)_2025高中物理模型方法技巧高三复习专题练习讲义_新版高考物理模型与方法
专题24磁场的基本性质(解析版)_2025高中物理模型方法技巧高三复习专题练习讲义_新版高考物理模型与方法
专题24磁场的基本性质(解析版)_2025高中物理模型方法技巧高三复习专题练习讲义_新版高考物理模型与方法
专题24磁场的基本性质(解析版)_2025高中物理模型方法技巧高三复习专题练习讲义_新版高考物理模型与方法
专题24磁场的基本性质(解析版)_2025高中物理模型方法技巧高三复习专题练习讲义_新版高考物理模型与方法
专题24磁场的基本性质(解析版)_2025高中物理模型方法技巧高三复习专题练习讲义_新版高考物理模型与方法
专题24磁场的基本性质(解析版)_2025高中物理模型方法技巧高三复习专题练习讲义_新版高考物理模型与方法
专题24磁场的基本性质(解析版)_2025高中物理模型方法技巧高三复习专题练习讲义_新版高考物理模型与方法
专题24磁场的基本性质(解析版)_2025高中物理模型方法技巧高三复习专题练习讲义_新版高考物理模型与方法
专题24磁场的基本性质(解析版)_2025高中物理模型方法技巧高三复习专题练习讲义_新版高考物理模型与方法
专题24磁场的基本性质(解析版)_2025高中物理模型方法技巧高三复习专题练习讲义_新版高考物理模型与方法
专题24磁场的基本性质(解析版)_2025高中物理模型方法技巧高三复习专题练习讲义_新版高考物理模型与方法
专题24磁场的基本性质(解析版)_2025高中物理模型方法技巧高三复习专题练习讲义_新版高考物理模型与方法
专题24磁场的基本性质(解析版)_2025高中物理模型方法技巧高三复习专题练习讲义_新版高考物理模型与方法
专题24磁场的基本性质(解析版)_2025高中物理模型方法技巧高三复习专题练习讲义_新版高考物理模型与方法
专题24磁场的基本性质(解析版)_2025高中物理模型方法技巧高三复习专题练习讲义_新版高考物理模型与方法
专题24磁场的基本性质(解析版)_2025高中物理模型方法技巧高三复习专题练习讲义_新版高考物理模型与方法
专题24磁场的基本性质(解析版)_2025高中物理模型方法技巧高三复习专题练习讲义_新版高考物理模型与方法
专题24磁场的基本性质(解析版)_2025高中物理模型方法技巧高三复习专题练习讲义_新版高考物理模型与方法
专题24磁场的基本性质(解析版)_2025高中物理模型方法技巧高三复习专题练习讲义_新版高考物理模型与方法
专题24磁场的基本性质(解析版)_2025高中物理模型方法技巧高三复习专题练习讲义_新版高考物理模型与方法
专题24磁场的基本性质(解析版)_2025高中物理模型方法技巧高三复习专题练习讲义_新版高考物理模型与方法
专题24磁场的基本性质(解析版)_2025高中物理模型方法技巧高三复习专题练习讲义_新版高考物理模型与方法
专题24磁场的基本性质(解析版)_2025高中物理模型方法技巧高三复习专题练习讲义_新版高考物理模型与方法
专题24磁场的基本性质(解析版)_2025高中物理模型方法技巧高三复习专题练习讲义_新版高考物理模型与方法
专题24磁场的基本性质(解析版)_2025高中物理模型方法技巧高三复习专题练习讲义_新版高考物理模型与方法
专题24磁场的基本性质(解析版)_2025高中物理模型方法技巧高三复习专题练习讲义_新版高考物理模型与方法
专题24磁场的基本性质(解析版)_2025高中物理模型方法技巧高三复习专题练习讲义_新版高考物理模型与方法
专题24磁场的基本性质(解析版)_2025高中物理模型方法技巧高三复习专题练习讲义_新版高考物理模型与方法
专题24磁场的基本性质(解析版)_2025高中物理模型方法技巧高三复习专题练习讲义_新版高考物理模型与方法
专题24磁场的基本性质(解析版)_2025高中物理模型方法技巧高三复习专题练习讲义_新版高考物理模型与方法
专题24磁场的基本性质(解析版)_2025高中物理模型方法技巧高三复习专题练习讲义_新版高考物理模型与方法
专题24磁场的基本性质(解析版)_2025高中物理模型方法技巧高三复习专题练习讲义_新版高考物理模型与方法
专题24磁场的基本性质(解析版)_2025高中物理模型方法技巧高三复习专题练习讲义_新版高考物理模型与方法
专题24磁场的基本性质(解析版)_2025高中物理模型方法技巧高三复习专题练习讲义_新版高考物理模型与方法
专题24磁场的基本性质(解析版)_2025高中物理模型方法技巧高三复习专题练习讲义_新版高考物理模型与方法
专题24磁场的基本性质(解析版)_2025高中物理模型方法技巧高三复习专题练习讲义_新版高考物理模型与方法
专题24磁场的基本性质(解析版)_2025高中物理模型方法技巧高三复习专题练习讲义_新版高考物理模型与方法
专题24磁场的基本性质(解析版)_2025高中物理模型方法技巧高三复习专题练习讲义_新版高考物理模型与方法
专题24磁场的基本性质(解析版)_2025高中物理模型方法技巧高三复习专题练习讲义_新版高考物理模型与方法
专题24磁场的基本性质(解析版)_2025高中物理模型方法技巧高三复习专题练习讲义_新版高考物理模型与方法
专题24磁场的基本性质(解析版)_2025高中物理模型方法技巧高三复习专题练习讲义_新版高考物理模型与方法
专题24磁场的基本性质(解析版)_2025高中物理模型方法技巧高三复习专题练习讲义_新版高考物理模型与方法
专题24磁场的基本性质(解析版)_2025高中物理模型方法技巧高三复习专题练习讲义_新版高考物理模型与方法
专题24磁场的基本性质(解析版)_2025高中物理模型方法技巧高三复习专题练习讲义_新版高考物理模型与方法
专题24磁场的基本性质(解析版)_2025高中物理模型方法技巧高三复习专题练习讲义_新版高考物理模型与方法
专题24磁场的基本性质(解析版)_2025高中物理模型方法技巧高三复习专题练习讲义_新版高考物理模型与方法
专题24磁场的基本性质(解析版)_2025高中物理模型方法技巧高三复习专题练习讲义_新版高考物理模型与方法
专题24磁场的基本性质(解析版)_2025高中物理模型方法技巧高三复习专题练习讲义_新版高考物理模型与方法
专题24磁场的基本性质(解析版)_2025高中物理模型方法技巧高三复习专题练习讲义_新版高考物理模型与方法
专题24磁场的基本性质(解析版)_2025高中物理模型方法技巧高三复习专题练习讲义_新版高考物理模型与方法
专题24磁场的基本性质(解析版)_2025高中物理模型方法技巧高三复习专题练习讲义_新版高考物理模型与方法
专题24磁场的基本性质(解析版)_2025高中物理模型方法技巧高三复习专题练习讲义_新版高考物理模型与方法
专题24磁场的基本性质(解析版)_2025高中物理模型方法技巧高三复习专题练习讲义_新版高考物理模型与方法

文档信息

文档格式
docx
文档大小
3.740 MB
文档页数
50 页
上传时间
2026-01-27 14:02:02

文档内容

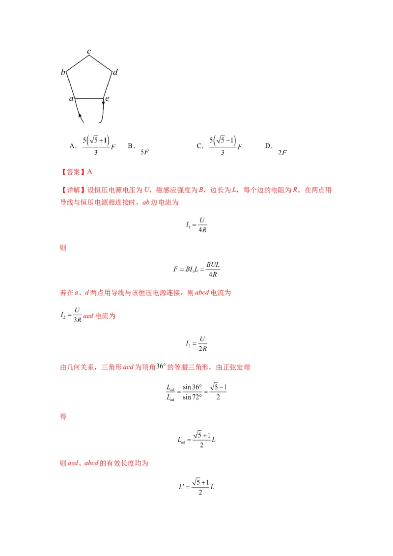
专题24 磁场的基本性质 目录 题型一 磁场的叠加和安培定则的应用.......................................................................................1 类型1 磁场的叠加..................................................................................................................1 类型2 安培定则的应用..........................................................................................................7 题型二 安培力的分析和计算.......................................................................................................9 类型1 通电导线有效长度问题..........................................................................................10 类型2 判断安培力作用下导体的运动情况......................................................................13 题型三 安培力作用下的平衡和加速问题.................................................................................15 类型1 安培力作用下的平衡问题......................................................................................15 类型2 安培力作用下的加速问题........................................................................................19 类型1 电磁炮模型................................................................................................................19 题型四 对洛伦兹力的理解和应用...............................................................................................27 题型五 洛伦兹力作用下带电体的运动.......................................................................................30 题型六 带电粒子在匀强磁场中的运动.....................................................................................39 题型一 磁场的叠加和安培定则的应用 1.磁场叠加问题的分析思路 (1)确定磁场场源,如通电导线。 (2)定位空间中需求解磁场的点,利用安培定则判定各个场源在这一点上产生的磁场的大小 和方向。如图2所示为M、N在c点产生的磁场B 、B 。 M N (3)应用平行四边形定则进行合成,如图中的合磁场B。 2.安培定则的应用 在运用安培定则判定直线电流和环形电流及通电螺线管的磁场时应分清“因”和“果”。因果 原因(电流方向) 结果(磁场方向) 磁场 直线电流的磁场 大拇指 四指 环形电流及通电 四指 大拇指 螺线管的磁场 类型1 磁场的叠加 【例1】如图所示,三根长直导线通有大小相同的电流,分别放在正方形ABCD的三个顶 点,其中A、B处导线电流方向垂直纸面向外,C处导线电流方向垂直纸面向里,此时正方 形中心O点的磁感应强度大小为 。若将C处的导线撤去,则O点处的磁感应强度大小 为( ) A. B. C. D. 【答案】A 【详解】设每根通电导线单独在 点产生的磁感应强度大小为 ,A点导线在O点产生的 磁感应强度的方向为从O指向D,B点导线在O点产生的磁感应强度的方向为从O指向 A,C点导线在O点产生的磁感应强度的方向为从O指向D,由平行四边形定则可得 解得 将 点处的导线撤去后, 点处的磁感应强度大小为故选A。 【例2】.如图所示,四根相互平行的通电长直导线a、b、c、d,放在正方形的四个顶点 上。每根通电直导线单独存在时,在正方形中心O点的磁感应强度大小都是B。则四根通 电导线同时存在时,O点的磁感应强度的大小和方向为( ) A. B,方向向右 B. B,方向向左 C. ,方向向右 D. ,方向向左 【答案】D 【详解】根据安培定则判断四根导线在O点产生的磁感应强度的方向分别为:a导线产生 的磁感应强度方向为Od方向;c导线产生的磁感应强度方向为Od方向;同理,b导线产 生的方向为Oa方向,d导线产生的方向为Oa方向;则根据平行四边形定则进行合成可知, 四根导线同时存在时O点的磁感应强度大小为 方向水平向左。. 故选D。 【例3】.如图,两长直导线P和Q垂直于纸面固定放置,两者之间的距离为l,纸面内的 a点与两导线距离均为l。已知导线P通电流I、导线Q不通电流时a点的磁感应强度大小 为B。现在两导线中均通有方向垂直于纸面向里的电流I,则下列关于a点处磁感应强度的 说法正确的是( )A.a点的磁感应强度为0 B.a点的磁感应强度的大小为B C.a点的磁感应强度垂直PQ的连线向上 D.a点的磁感应强度平行PQ的连线向右 【答案】D 【详解】根据安培定则可知,导线P在a点产生的磁感应强度方向垂直于Pa的连线右向下, 导线Q在a点产生的磁感应强度方向垂直于Qa的连线右向上,如图所示。由数学知识, 导线P、Q在a点产生的合磁感应强度则有 方向:平行PQ的连线向右。 故选D。 【例4】.如图所示,无限长直导线A、B和以点p为圆心的圆形导线C、D固定在xy平面 内。导线C、D有强度相同的恒定电流,导线B中有强度为I、方向为+x的电流。导线C 0 在p点产生的磁感应强度B。当导线A中的电流改变时,导线A~D的电流在p点产生的磁 0 感应强度大小如下表,下列叙述正确的是( )导线A的电流 导线A~D的电流在p点产生的磁感应强度大小 强度 方向 0 无 0 I +y ? 0 I -y B 0 0 A.表格中的“?”应填入2B 0 B.导线B中电流在p点产生的磁感应强度大小为B 0 C.导线D中电流在p点产生的磁感应强度比导线B产生的要小 D.导线C中电流在p点产生的磁感应强度方向是垂直xy平面向内 【答案】B 【详解】A.根据题意,当导线A中的电流为0时,p点的合磁感应强度为零,即B、C、 D三条导线产生的合磁场为零,当A中的电流为-I 时,p点的合磁感应强度为B,方向应 0 0 垂直纸面向外,所以当A中的电流为I 时,p点的合磁感应强度仍为B,方向应垂直纸面 0 0 向里,故A错误; B.由于A、B导线到p点距离相等,所以B中电流在p点产生的磁感应强度大小为B,故 0 B正确; CD.B、C的磁感应强度均为B,D的磁感应强度大于B,所以一定是B+C的磁感应强度 0 0 大小等于D的磁感应强度大小(为2B),则C的磁感应强度方向和B一致,均向外,故 0 CD错误; 故选B。 【例5】.18.如图所示,两根通电导线 、 沿垂直纸面的方向放置,其中导线 、 中 通有电流 、 ,电流的方向图中未画出。 点为两导线连线的中点, 、d两点关于 点 对称, 、 两点关于 点对称,已知 点的磁感应强度为零,d点的磁感应强度方向垂直 向下。则下列说法正确的是( )A. 中的电流方向垂直纸面向外、 中的电流方向垂直纸面向里 B. C. 点的磁感应强度方向垂直cd向下 D. 、 两点的磁感应强度不相同 【答案】AD 【详解】B.由题意 点的磁感应强度为零,则说明导线 、 在 点产生的磁场大小相等、 方向相反,即两导线中的电流方向相反,又 点距离导线 较近,则导线 中的电流较小, 即 故B错误; A.由B分析可知,导线 在d点产生的磁场强,d点的磁感应强度方向垂直 向下,由 安培定则可知 中的电流方向向外、则 中的电流方向向里。故A正确; C.由安培定则可知,导线 、 在 点产生的磁场方向均垂直cd连线向上。故C错误; D.由于 ,分别做出两电流在 、 两点的磁感应强度大小和方向,如图所示 根据磁场的矢量合成可知 、 两点的磁感应强度大小相等、方向不同。故D正确。故选AD。 【例6】.如图所示,边长为L的正方体的四条边上固定着四根足够长的通电直导线,电 流的大小 (方向如图所示),电流 在正方体中心处产生的磁感应强度大小 为 。查阅资料知,电流为I的通电长直导线在某点产生的磁感应强度B与该点到导线的 距离r有关,关系式为 。下列说法正确的是( ) A.通电导线 和通电导线 相互吸引 B.通电导线 和通电导线 相互吸引 C.正方体中心处和上表面中心处磁感应强度的比值为 D.正方体中心处和上表面中心处磁感应强度的比值为 【答案】AD 【详解】AB.根据“同向电流相互吸引,异向电流相互排斥”可知,通电导线 和通电导 线 相互吸引,通电导线 和通电导线 相互排斥,故A正确,B错误。 CD.由对称性可知,四根通电导线在体中心处产生的磁感应强度大小相等,即 从右往左看得到如下的截面图(如图所示),结合安培定则作出体中心处各磁场的方向, 由矢量叠加原理可知,体中心处的合磁感应强度大小为 根据题意电流 在正方体中心处产生的磁感应强度大小为 ,即电流 在上表面中心处产生的磁感应强度为 电流 在上表面中心处产生的磁感应强度为 由几何关系得 电流 在上表面中心处产生的磁感应强度为 电流 在上表面中心处产生的磁感应强度为 由矢量叠加原理可知,上表面中心处的合磁感应强度大小为 所以 故D正确,C错误。 故选AD。类型2 安培定则的应用 【例1】如图所示,两根平行固定放置的长直导线a和b载有大小、方向均相同的电流,a 受到的磁场力大小为F,当加入一与导线所在平面垂直纸面向外的匀强磁场后,a受到的磁 场力大小变为3F,则此时b受到的磁场力大小为( ) A.F B.2F C.3F D.4F 【答案】 A 【解析】 根据安培定则和左手定则可知a导线受到的F水平向右,由牛顿第三定律可知 b受到a施加的磁场力也为F,方向水平向左。加匀强磁场后a受到的磁场力大小为3F, 方向水平向右,则匀强磁场施加给a的力方向水平向右,大小为2F,施加给同向电流b的 力方向也水平向右,则b受到的合力大小为2F-F=F,所以A正确,B、C、D错误。 【例2】一正方形的中心O和四个顶点均固定着平行长直导线,若所有平行直导线均通入 大小相等的恒定电流,电流方向如图中所示,下列截面图中中心长直导线所受安培力最大 的是( ) A. B.C. D. 【答案】D 【详解】根据“同向电流相吸引,异向电流相排斥”,设四根导线与中间的导线的相互作 用力均为F,则分析如图所示,A受合力为0,B和C受到2F的力,D受到 的力; 故选D。 【例3】A、B、C三根通电长直导线均水平固定,导线通入的恒定电流大小相等,方向如 图所示,其中A、B垂直纸面且关于C对称,则导线C所受磁场力的情况是( ) A.大小为零 B.方向竖直向上 C.方向竖直向下 D.方向水平向左 【答案】 A 【解析】 由安培定则、对称性与磁感应强度的叠加原理,可知A、B通电直导线在导线C 处的合磁场方向总是水平向右,所以导线C所受磁场力大小为零,则A正确,B、C、D错 误。 题型二 安培力的分析和计算 1.大小计算(1)有效长度:公式F=IlB中的l是有效长度,弯曲导线的有效长度等于连接两端点线段的 长度。相应的电流沿l由始端流向末端,如图所示。 (2)电流元法:将导线分割成无限个小电流元,每一小段看成直导线,再按直线电流判断和 计算。 2.安培力作用下导体运动的分析思路 判定通电导体在安培力作用下的运动方向或运动趋势,首先必须弄清楚导体所在位置磁感 线的分布情况,及导体中电流的方向,然后利用左手定则准确判定导体的受力情况,进而 确定导体的运动方向或运动趋势。 3.安培力作用下导体运动的判定方法 分割为电流元----------→安培力方向→整段导体所受合力方向 电流元法 →运动方向 特殊位置法 在特殊位置→安培力方向→运动方向 环形电流 小磁针 ⇌ 等效法 条形磁体 通电螺线管 多个环形电流 ⇌ ⇌ 同向电流互相吸引,异向电流互相排斥;两不平行的直线电 结论法 流相互作用时,有转到平行且电流方向相同的趋势 先分析电流在磁体磁场中所受的安培力,然后由牛顿第三定 转换研究对象法 律,确定磁体所受电流磁场的作用力 类型1 通电导线有效长度问题 【例1】将粗细均匀、边长为L的正三角形铜线框用两根不可伸长的绝缘线a、b悬挂于天 花板上,置于垂直线框平面向外的大小为B的磁场中,现用细导线给三角形线框通有大小 为I的电流,则( )A.通电后两绳拉力变大 B.通电后两绳拉力变小 C.三角形线框安培力大小为BIL D.三角形线框安培力大小为2BIL 【答案】AC 【详解】AB.根据题意,由左手定则可知,通电后线框所受安培力向下,则通电后两绳拉 力变大,故A正确,B错误; CD.根据题意可知, 间折线是直线长度的2倍,且并联接入电路中,则通过直线电流 是折线的 倍,即通过直线的电流为 ,通过折线的电流为 ,三角形线框安培力大小 为 故C正确,D错误。 故选AC。 【例2】.如图所示,将一质量分布均匀,电阻率不变的导线围成正方形abcd,在 a、d两 点用导线与恒压电源相连接,空间中存在垂直正方形所在平面向外的匀强磁场(图中未画 出),接通电源后ab边所受的安培力大小为F。若重新在 a、c两点用导线与该恒压电源 连接,则接通后整个正方形所受安培力大小为( ) A.2F B. C.3F D.【答案】D 【详解】在 a、d两点用导线与恒压电源相连接,导线 与导线 并联,接通电源后 ab边所受的安培力大小为 ,设磁感应强度为 ,通过 边的电流为 ,ab边的长度 为 , 边的电阻为 ,则 的电阻为 ,则 电源电压 若重新在 a、c两点用导线与该恒压电源连接,导线 与导线 并联, 且其电阻均为 ,通过两导线的电流相等,均为 通过两导线的电流方向相同,且两导线的等效长度相同,均为 根据左手定则,两导线产生同向的安培力,整个正方形所受安培力大小为 故选D。 【例3】.如图所示,边长为L的正方形金属线框abed放置在绝缘水平面上,空间存在竖 直向下的匀强磁场,将大小为I的恒定电流从线框a端流入、b端流出,此时线框整体受安 培力大小为 ,将线框绕ab边转过60°静止不动,此时线框整体受安培力大小为 ,则( ) A. B. C. D. 【答案】A【详解】线框转过 时,线框在磁场中的有效长度不变,仍为 ,因此有 故选A。 【例4】如图所示,将一根同种材料、粗细均匀的导线围成边长为l的闭合正方形导线框 abcd,固定在垂直于线框平面、磁感应强度为B的匀强磁场中。a、b两端点接在输出电压 恒定的电源上,线框受到的安培力大小为F。现将电源改接在a、c两点,线框所受安培力 ( ) A.F B. C. D. 【答案】B 【详解】设每一条边的电阻为 ,电源的输出电压为 ,则a、b两端点接在输出电压恒定 的电源上,线框受到的安培力大小为 现将电源改接在a、c两点,线框所受安培力大小为 联立可得 故选B。 【例5】.如图所示,将一质量分布均匀,电阻率不变的导线围成正五边形abcde,在a、e 两点用导线与恒压电源相连接,空间中存在垂直正五边形所在平面向外的匀强磁场(图中 未画出),接通电源后ab边所受的安培力大小为F。已知 。若在a、d两点 用导线与该恒压电源连接,则接通后正五边形所受安培力大小为( )A. B. C. D. 【答案】A 【详解】设恒压电源电压为U,磁感应强度为B,边长为L,每个边的电阻为R。在两点用 导线与恒压电源相连接时,ab边电流为 则 若在a、d两点用导线与该恒压电源连接,则abcd电流为 aed电流为 由几何关系,三角形acd为顶角 的等腰三角形,由正弦定理 得 则aed、abcd的有效长度均为则正五边形所受安培力大小为 联立求得 A正确。 故选A。 类型2 判断安培力作用下导体的运动情况 【例1】一个可以沿过圆心的水平轴自由转动的线圈L 和一个固定的线圈L 互相绝缘垂直 1 2 放置,且两个线圈的圆心重合,如图所示.当两线圈中通以图示方向的电流时,从左向右 看,线圈L 将( ) 1 A.不动 B.顺时针转动 C.逆时针转动 D.在纸面内平动 【答案】 B 【解析】 方法一(电流元法) 把线圈L 沿水平转动轴分成上、下两部分,每一部分又可 1 以看成无数段直线电流元,电流元处在L 产生的磁场中,根据安培定则可知各电流元所在 2 处的磁场方向向上,由左手定则可得,上半部分电流元所受安培力方向均指向纸外,下半 部分电流元所受安培力方向均指向纸内,因此从左向右看线圈L 将顺时针转动. 1 方法二(等效法) 把线圈L 等效为小磁针,该小磁针刚好处于环形电流I 的中心,小磁针 1 2 的N极应指向该点环形电流I 的磁场方向,由安培定则知I 产生的磁场方向在其中心处竖 2 2 直向上,而L 等效成小磁针后,转动前,N极指向纸内,因此小磁针的N极应由指向纸内 1 转为向上,所以从左向右看,线圈L 将顺时针转动. 1 方法三(结论法) 环形电流I 、I 不平行,则一定有相对转动,直到两环形电流同向平行为 1 2止.据此可得,从左向右看,线圈L 将顺时针转动. 1 【例2】水平桌面上一条形磁体的上方,有一根通电直导线由S极的上端平行于桌面移到 N极上端的过程中,磁体始终保持静止,导线始终保持与磁体垂直,电流方向如图所示. 则在这个过程中,磁体受到的摩擦力的方向和桌面对磁体的弹力( ) A.摩擦力始终为零,弹力大于磁体重力 B.摩擦力始终不为零,弹力大于磁体重力 C.摩擦力方向由向左变为向右,弹力大于磁体重力 D.摩擦力方向由向右变为向左,弹力小于磁体重力 【答案】 C 【解析】 如图所示,导线在S极上方时所受安培力方向斜向左上方,由牛顿第三定律可 知,磁体受到的磁场力斜向右下方,磁体有向右的运动趋势,则磁体受到的摩擦力水平向 左;磁体对桌面的压力大于磁体的重力,因此桌面对磁体的弹力大于磁体重力; 如图所示,当导线在N极上方时,导线所受安培力方向斜向右上方,由牛顿第三定律可知, 磁体受到的磁场力斜向左下方,磁体有向左的运动趋势,则磁体受到的摩擦力水平向右; 磁体对桌面的压力大于磁体的重力,因此桌面对磁体的弹力大于磁体重力;由以上分析可 知,磁体受到的摩擦力先向左后向右,桌面对磁体的弹力始终大于磁体的重力,故 A、 B、D错误,C正确. 题型三 安培力作用下的平衡和加速问题 解题思路: (1)选定研究对象. (2)受力分析时,变立体图为平面图,如侧视图、剖面图或俯视图等,并画出平面受力分析 图,安培力的方向F ⊥B、F ⊥I.如图所示: 安 安类型1 安培力作用下的平衡问题 【例1】如图所示,两根间距为d的光滑金属导轨平行放置,导轨所在平面与水平面间的 夹角为 ,整个装置处于垂直导轨所构成的平面方向的匀强磁场中。质量为m,长度也为d 的金属杆ab垂直导轨放置,当金属杆ab中通有从a到b的恒定电流I时,金属杆ab刚好 静止,重力加速度为g。则( ) A.磁场方向垂直导轨平面向下 B.磁场方向垂直导轨平面向上 C.磁感应强度为 D.磁感应强度为 【答案】BC 【详解】AB.金属杆ab刚好静止,磁场方向垂直导轨所构成的平面,根据平衡条件可知, 金属杆所受安培力向上,根据左手定则可知,磁场方向垂直导轨平面向上,故A错误,B 正确; CD.对金属杆进行受力分析,根据平衡条件有 解得 故C正确,D错误。故选BC。 【例2】.如图所示,平行金属导轨倾角为 ,下端与电源相连,匀强磁场垂直于导轨平 面向上,一导体棒垂直于导轨放置,并处于静止状态。下列做法可能使导体棒运动的是( ) A.仅增大电源电动势 B.仅将电源正负极对调 C.仅增大匀强磁场的磁感应强度 D.仅将匀强磁场的方向反向 【答案】AC 【详解】AC.由左手定则可知,开始时导体棒受安培力沿倾斜导轨向下,由平衡条件可得 静摩擦力 方向沿轨斜导轨向上。仅增大电源电动势,则回路中电流增大,则安培力增大,此时静摩 擦力 仅增大匀强磁场的磁感应强度,则安培力增大,则静摩擦力有 当静摩擦力 达到最大静摩擦力时导体棒开始向下运动,AC正确; BD.仅将电源正负极对调或仅将匀强磁场的方向反向,可知安培力方向沿倾斜导轨向上, 假设导体棒能沿倾斜导轨向上运动,则有 则有 可知导体棒不可能向上运动,假设不成立,BD错误。 故选AC。【例3】.在同一光滑倾斜导轨上放同一导体棒A,下图所示是两种情况的剖面图。它们 所在空间有磁感应强度大小相等的匀强磁场,但方向不同,一次垂直斜面向上,另一次竖 直向上,两次导体通有同向电流分别为 和 ,都处于静止平衡。已知斜面的倾角为 (已知 , )则( ) A. B. C.导体棒A所受安培力大小之比 D.斜面对导体棒A的弹力大小之比 【答案】CD 【详解】两种情况下,导体棒A受力如图所示 根据受力平衡可得 可得故选CD。 【例4】如图所示,两光滑平行金属导轨间的距离 ,金属导轨所在的平面与水平 面夹角 ,在导轨所在平面内,分布着垂直于导轨所在平面向上的匀强磁场。金属导 轨的一端接有电动势 、内阻 的直流电源。现把一个质量 的导体棒 放在金属导轨上,导体棒恰好静止。导体棒与金属导轨垂直且接触良好,导体棒与金属 导轨接触的两点间的电阻 ,金属导轨电阻不计,g取 。求: (1)匀强磁场的磁感应强度B的大小; (2)若匀强磁场保持与导体棒始终垂直,但磁感应强度的大小和方向可以改变,为了使导 体棒静止在导轨上且对导轨无压力,磁感应强度 的大小和方向。 【答案】(1)0.25T;(2)0.5T,方向水平向左 【详解】(1)根据闭合电路欧姆定律可得,流过导体棒的电流为 对导体棒受力分析,根据平衡条件有 解得,匀强磁场的磁感应强度为 (2)若导体棒静止在导轨上且对导轨无压力,则此时对导体棒受力分析可知,导体棒受到 的安培力方向竖直向上,根据左手定则判断可知,此时磁感应强度 的方向水平向左,且 有解得 【例5】(2023·北京丰台·统考二模)如图所示,两根间距为 的平行金属导轨在同一水平 面内,质量为 的金属杆b垂直放在导轨上。整个装置处于磁感应强度为 的匀强磁场中, 磁场方向与金属杆垂直且与导轨平面成 角斜向上。闭合开关S,当电路电流为 时,金属 杆ab处于静止状态,重力加速度为 。求: (1)金属杆ab受到的安培力大小 ; (2)导轨对金属杆ab的支持力大小 ; (3)滑动变阻器的滑片P向右移动,金属杆ab受到的支持力减小,金属杆ab仍保持静止。 某同学认为:由于金属杆ab受到的支持力减小,所以它受到的摩擦力减小。你是否同意该 同学的说法,请分析说明。 【答案】(1) ;(2) ;(3)不同意,分析见解析 【详解】(1)金属杆ab受力示意图如图所示 磁场对金属杆ab的安培力大小为 (2)竖直方向根据受力平衡可得解得 (3)不同意该同学的说法。 金属杆ab所受摩擦力f为静摩擦力,其大小与支持力无关;由于金属杆ab处于静止状态, 其所受静摩擦力大小等于安培力在水平方向的分力大小,即 因此金属杆ab中电流增大时,金属杆ab所受静摩擦力变大。 类型2 安培力作用下的加速问题 类型1 电磁炮模型 【例1】如图甲,电磁炮是当今世界强国争相研发的一种先进武器,我国电磁炮研究处于 世界第一梯队。如图乙为某同学模拟电磁炮的原理图,间距为L=0.5m的两根倾斜导轨平行 放置,导轨平面与水平地面的夹角为θ=37°,导轨下端接电动势为E=18V、内阻为r=1Ω的 电源。整个装置处于磁感应强度大小为B=0.2T、方向垂直于导轨平面向下的匀强磁场中。 为了研究方便,将待发射的炮弹视为一个比导轨间距略长的导体棒,导体棒的质量为 m=0.1kg﹑电阻为R=1Ω,导体棒与导轨接触面间的动摩擦因数为μ=0.25,重力加速度大小 取g=10m/s2,sin37°=0.6,cos37°=0.8。现将导体棒无初速度地放在导轨上且与导轨垂直, 最终导体棒从导轨上端发射出去,不计其他电阻。求: (1)导体棒刚放在导轨上时所受安培力的大小和方向; (2)导体棒刚放在导轨上时的加速度大小。 【答案】(1) ,沿斜面向上;(2) 【详解】(1)导体棒刚放在导轨上时,根据闭合电路欧姆定律有解得 导体棒刚放在导轨上时所受安培力的大小 解得 F=0.9N 根据左手定则可知,导体棒所受安培力的方向沿斜面向上。 (2)导体棒刚放在导轨上时,对导体棒进行受力分析,根据牛顿第二定律有 其中 解得 【例2】.我国电磁炮发射技术世界领先,图为一款小型电磁炮的原理图,已知水平轨道 宽 ,长 ,通以恒定电流 ,轨道间匀强磁场的磁感应强度大小 ,炮弹的质量 ,不计电磁感应带来的影响。 (1)若不计轨道摩擦和空气阻力,求电磁炮弹离开轨道时的速度大小; (2)实际上炮弹在轨道上运动时会受到空气阻力和摩擦阻力,若其受到的阻力与速度的关 系为 ,其中k为阻力系数,炮弹离开轨道前做匀速运动,炮弹离开轨道时的速度大 小为 ,求阻力系数k的大小。 【答案】(1) ;(2) 【详解】(1)由题意可知,炮弹受到的合力等于安培力,则根据牛顿第二定律可得由运动学公式可得 解得 (2)炮弹离开轨道前做匀速运动,则 解得 【例3】.“电磁炮”是现代军事研究中的一项尖端科技研究课题。其工作原理是将炮架 放入强磁场中,并给炮架通入高强度电流,炮架相当于放入磁场的通电直导线,在安培力 的作用下加速运动,在较短的轨道上短时间内获得一个非常大的速度射出。如图所示,已 知加速轨道长度为L,轨道间距为d,炮架及炮弹的质量为m,足够大匀强磁场垂直于轨道 所在平面,磁感应强度大小为B.炮架与水平轨道垂直。当给炮架通以大小恒为I的电流后, 炮架与炮弹一起向右加速运动,不计一切阻力。求: (1)通电时,炮架受到的安培力F的大小; (2)离开轨道时,炮弹的速度v的大小; (3)采取哪些措施能提高炮弹的发射速度。(至少提三条) 【答案】(1) ;(2) ;(3)见解析 【详解】(1)通电时,炮架受到的安培力大小为(2)离开轨道时,设炮弹的速度为,根据动能定理可得 解得 (3)由(2)可知提高磁场强度B,提高炮架的通电电流大小I,加宽导轨宽度d等都能提 高炮弹的发射速度。 【例4】.电磁炮的模型如图所示,弹体(含水平杆ab)总质量 ,水平导轨 M、N间距 ,处于竖直向上的匀强磁场中,磁感应强度 ,可控电源提供恒 定电流 ,以保证弹体做匀加速直线运动,不计一切阻力。求: (1)弹体所受安培力大小 ; (2)弹体从静止加速到 所用的时间t; (3)弹体从静止加速到 过程中安培力所做的功W。 【答案】(1)0.02N;(2)5s;(3)0.5J 【详解】(1)弹体受到的安培力大小 解得 (2)由牛顿第二定律可知解得 (3)由运动学公式可知弹体的位移 安培力所做的功 解得 【例5】2022年6月17日,我国新一代战舰预计将会配备电磁轨道炮,其原理可简化为如 图所示(俯视图)装置。两条平行的水平轨道被固定在水平面上,炮弹(安装于导体棒ab 上)由静止向右做匀加速直线运动,到达轨道最右端刚好达到预定发射速度v,储能装置 储存的能量恰好释放完毕。已知轨道宽度为d,长度为L,磁场方向竖直向下,炮弹和导体 杆ab的总质量为m,运动过程中所受阻力为重力的k( )倍,储能装置输出的电流为 I,重力加速度为g,不计一切电阻、忽略电路的自感。下列说法正确的是( ) A.电流方向由b到a B.磁感应强度的大小为 C.整个过程通过ab的电荷量为 D.储能装置刚开始储存的能量为 【答案】BCD 【详解】A.导体杆ab向右做匀加速直线运动,受到的安培力向右,根据左手定则可知,流过导体杆的电流方向由a到b,故A错误; B.导体杆ab向右做匀加速直线运动,根据运动学公式可得 根据牛顿第二定律可得 又 联立解得磁感应强度的大小为 故B正确; C.整个过程的运动时间为 整个过程通过ab的电荷量为 故C正确; D.由于不计一切电阻、忽略电路的自感,根据能量守恒可知,储能装置刚开始储存的能 量为 故D正确。 故选BCD。 【例6】中国的电磁炮研究水平处于世界第一梯队。如图所示为某种电磁炮的设计原理示 意图,电源电动势为E,间距为l的两根倾斜导轨平行放置,轨道平面与水平面成 角,且 处于垂直于导轨平面向上的匀强磁场中,磁场的磁感应强度大小为B,导轨下端通过开关 与电源连接。装有炮弹的导体棒 垂直放置在导轨上,其总质量为m,整个回路的总电阻 为R,闭合开关后,弹体会在安培力的作用下高速发射出去。某次实验中,弹体在离开电磁炮发射轨道之前已达到匀速,炮弹发射出去后,刚好水平击中目标,忽略空气阻力和各 处摩擦的影响,重力加速度为g,求: (1)弹体在导轨上运动的最大加速度; (2)目标距离炮口的水平距离为多大。 【答案】(1) ;(2) 【详解】(1)导体棒 刚要运动时,回路内的电流最大,安培力最大,则有 由牛顿第二定律可得 解得 (2)炮弹匀速运动时,有 根据欧姆定律得 联立可得 炮弹发射出去后做斜抛运动,在竖直方向有在水平方向有 联立解得 类型二 安培力作用下的曲线运动 【例1】如图所示,长为d、质量为m的细金属杆ab用长为L的两根细线悬挂后,恰好与 水平光滑的平行金属导轨接触,平行金属导轨间距也为d,导轨平面处于竖直向下的磁感 应强度大小为B的匀强磁场中。闭合开关S后,细金属杆ab向右摆起,悬线的最大偏角为 θ。重力加速度为g,则闭合开关的短时间内通过细金属杆ab的电荷量为( ) A. B. C. D. 【答案】C 【详解】金属杆摆起的过程中,由动能定理得 合上开关的瞬间,由动量定理得其中 联立解得 故选C。 【例2】如图甲所示,在竖直平面内固定两光滑平行导体圆环,两圆环正对放置,圆环半 径均为R=0.125 m,相距1 m。圆环通过导线与电源相连,电源的电动势E=3 V,内阻不 计。在两圆环上水平放置一导体棒,导体棒质量为0.06 kg,接入电路的电阻r=1.5 Ω,圆 环电阻不计,匀强磁场方向竖直向上。开关S闭合后,棒可以静止在圆环上某位置,如图 乙所示,该位置对应的半径与水平方向的夹角为θ=37°,g取10 m/s2,sin 37°=0.6,cos 37°=0.8。求: (1)导体棒静止在某位置时所受安培力的大小; (2)匀强磁场的磁感应强度的大小; (3)断开开关S后,导体棒下滑到轨道最低点时对单个圆环的压力。 【答案】 (1)0.8 N (2)0.4 T (3)0.54 N,方向竖直向下 【解析】 (1)导体棒静止时,受力分析如图所示 根据平衡条件得tan θ= 代入数据解得导体棒所受安培力的大小F=0.8 N。 (2)由闭合电路的欧姆定律得I= 解得I=2 A 由安培力的公式F=IlB 解得B=0.4 T。 (3)断开开关S后,导体棒下滑到轨道最低点的过程中,根据动能定理有 mgR(1-sin θ)=mv2-0 解得v==1 m/s 导体棒在最低点时,由牛顿第二定律得 2F -mg=m N 解得F =0.54 N N 由牛顿第三定律可知,导体棒对单个圆环的压力大小为0.54 N,方向竖直向下。 题型四 对洛伦兹力的理解和应用 1.洛伦兹力的特点 (1)利用左手定则判断洛伦兹力的方向,注意区分正、负电荷。 (2)运动电荷在磁场中不一定受洛伦兹力作用。 (3)洛伦兹力方向始终与速度方向垂直,洛伦兹力一定不做功。 2.与安培力的联系及区别 (1)安培力是洛伦兹力的宏观表现,二者是相同性质的力,都是磁场力。 (2)安培力可以做功,而洛伦兹力对运动电荷不做功。 【例1】关于静电力、安培力与洛伦兹力,下列说法正确的是( ) A.电荷放入静电场中一定受静电力,电荷放入磁场中不一定受洛伦兹力 B.若通电导线在磁场中受到的安培力为零,该处磁场的磁感应强度不一定为零 C.洛伦兹力可能做功也可能不做功 D.磁场对通电导线的作用力的方向不一定与磁场方向垂直【答案】AB 【详解】A.电荷放入静电场中一定会受睁电力,静止的电荷放入磁场中不受洛伦兹力, 运动电荷的速度方向与磁感应线平行时也不受洛伦兹力,故A正确; B.若通电导线在磁场中受到的安培力为零,可能是通电直导线电流方向与磁场方向平行, 该处磁场的磁感应强度不一定为零,故B正确; C.洛伦兹力总是与速度方向垂直,所以洛伦兹力总是不做功,故C错误; D.磁场对通电导线的作用力即安培力方向与磁场方向一定垂直,故D错误。 故选AB。 【例2】.如图所示,两足够长的通电直导线P、Q(垂直纸面)关于粗糙程度均匀的水平 面对称分布,P、Q连线与水平面交点为O,P、Q通以大小相等、方向相反的恒定电流。 一带正电的绝缘物块从A点以某一初速度向右运动,恰好运动到O点。下列说法正确的是 ( ) A.从A到O,磁感应强度逐渐增大 B.从A到O,磁感应强度先增大后减小 C.从A到O,物块做匀减速直线运动 D.从A到O,物块做加速度逐渐增大的减速运动 【答案】AC 【详解】AB.根据安培定则可得,两导线在AO之间磁场如图所示根据平行四边形定则,将两磁场合成可知,合磁场方向水平向左,且由A到O两导线磁场 增大且与水平夹角变小,则合磁场沿水平向左增大,故A正确,B错误; CD.由于AO之间磁场方向水平向左,与物块的运动方向共线,所以物块不受洛伦兹力, 物块在运动过程中受到恒定不变的摩擦力,根据牛顿第二定律,物块做匀减速直线运动, 故C正确,D错误。 故选AC。 【例3】(多选)核聚变具有极高效率、原料丰富以及安全清洁等优势,中科院等离子体物理 研究所设计制造了全超导非圆界面托卡马克实验装置(EAST),这是我国科学家率先建成世 界上第一个全超导核聚变“人造太阳”实验装置.将原子核在约束磁场中的运动简化为带 电粒子在匀强磁场中的运动,如图所示,磁场水平向右分布在空间中,所有粒子的质量均 为m,电荷量均为q,且粒子的速度在纸面内,忽略粒子重力的影响,以下判断正确的是( ) A.甲粒子受到的洛伦兹力大小为qvB,且方向水平向右 B.乙粒子受到的洛伦兹力大小为0,做匀速直线运动 C.丙粒子做匀速圆周运动 D.所有粒子运动过程中动能不变 【答案】 BD 【解析】 甲粒子速度方向与磁场方向垂直,则所受洛伦兹力大小为qvB,由左手定则得, 洛伦兹力方向垂直纸面向里,故A错误;乙粒子速度方向与磁场方向平行,则所受洛伦兹 力大小为0,做匀速直线运动,故B正确;丙粒子速度方向与磁场方向不垂直,不做匀速 圆周运动,故C错误;洛伦兹力不做功,根据功能关系,所有粒子运动过程中动能不变, 故D正确. 【例4】如图所示,两根长直导线竖直插入光滑绝缘水平桌面上的 M、N两小孔中,O为 M、N连线的中点,连线上a、b两点关于O点对称.导线中均通有大小相等、方向向上的 电流.已知长直导线在周围产生的磁场的磁感应强度B=k,式中k是常数、I是导线中的 电流、r为点到导线的距离.一带正电的小球以初速度v 从a点出发在桌面上沿连线MN运 0 动到b点.关于上述过程,下列说法正确的是( )A.小球做匀速直线运动 B.小球先做加速运动后做减速运动 C.小球对桌面的压力先减小后增大 D.小球对桌面的压力一直在减小 【答案】 A 【解析】 根据右手螺旋定则可知a处的磁场方向垂直于MN向里,b处的磁场方向垂直于 MN向外,从a到b磁场大小先减小过O点后反向增大,根据左手定则可知,带正电的小 球在O点左侧受到的洛伦兹力方向向上,小球对桌面的压力大小为重力与洛伦兹力的差值, 过O点后洛伦兹力的方向向下,小球对桌面的压力大小为重力与洛伦兹力的和,由此可知, 小球在水平方向不受外力,故小球将做匀速直线运动,由于洛伦兹力从 a到O逐渐减小, 从O到b逐渐增大,则小球对桌面的压力一直在增大,故B、C、D错误,A正确. 题型五 洛伦兹力作用下带电体的运动 带电体做变速直线运动时,随着速度大小的变化,洛伦兹力的大小也会发生变化,与接触 面间弹力随着变化(若接触面粗糙,摩擦力也跟着变化,从而加速度发生变化),最后若弹 力减小到0,带电体离开接触面. 【例1】如图所示,在垂直于纸面向外的匀强磁场中,一质量为m、电荷量为 的 带电滑块从光滑斜面的顶端由静止释放,滑至底端时恰好不受弹力,已知磁感应强度的大 小为B,斜面的倾角为 ,重力加速度为g,下列说法正确的是( ) A.滑块滑至底端时的速率为B.滑块滑至底端时的速率为 C.滑块经过斜面中点时的速率为 D.滑块经过斜面中点时的速率为 【答案】AC 【详解】AB.由题意可知,带电滑块从光滑斜面的顶端由静止释放,滑至底端时恰好不受 弹力,可知此时滑块受到的洛伦兹力与重力沿垂直斜面的分力平衡,可得 则 A正确,B错误; CD.由题意可知,带电滑块在斜面做初速度是零的匀加速直线运动,由位移中点的速度公 式 可知,滑块经过斜面中点时的速率为 C正确,D错误。 故选AC。 【例2】如图所示,一根固定的足够长的光滑绝缘细杆与水平面成 角。质量为m、电荷量 为+q的带电小球套在细杆上。小球始终处于磁感应强度大小为B的匀强磁场中。磁场方向 垂直细杆所在的竖直面,不计空气阻力。小球以初速度 沿细杆向上运动至最高点,则该 过程( )A.合力冲量大小为mvcosƟ B.重力冲量大小为 0 C.洛伦兹力冲量大小为 D.若 ,弹力冲量为零 【答案】CD 【详解】A.根据动量定理 故合力冲量大小为 ,故A错误; B.小球上滑的时间为 重力的冲量大小为 故B错误; C.小球所受洛伦兹力为 , 随时间线性变化,故洛伦兹力冲量大小为 故C正确; D.若 ,0时刻小球所受洛伦兹力为 小球在垂直细杆方向所受合力为零,可得 即则小球在整个减速过程的 图像如图 图线与横轴围成的面积表示冲量可得弹力的冲量为零,故D正确。 故选CD。 【例3】.如图所示,在垂直纸面向外的匀强磁场中,一质量为m、电荷量为+q(q>0)的 带电滑块从光滑绝缘斜面的顶端由静止释放,滑至底端时恰好不受弹力,已知磁感应强度 的大小为B,斜面的倾角为 ,重力加速度为g,滑块可视为质点,下列说法正确的是( ) A.滑块滑至底端时的速率为 B.滑块滑至底端时的速率为 C.滑块经过斜面中点时的速率为 D.斜面的高度为 【答案】AC 【详解】AB.由左手定则可知,滑块所受洛伦兹力垂直斜面向上,滑块滑至底端时恰不受 弹力,则有 解得 故A正确,B错误;C.设斜面的高度为 ,设滑块经过斜面中点时的速率为 ,由动能定理得 1 mgh= mv2−0 2 解得 故C正确; D.滑块从斜面顶端运动到底端的过程中,由动能定理得 1 mgh= mv2−0 2 代入数据解得 故D错误。 故选AC。 【例4】质量为m、带电荷量为q的小物块,与倾角为 的绝缘斜面间的动摩擦因数为 。 现使物块从斜面上由静止下滑,整个斜面置于方向水平向里的匀强磁场中,磁感应强度为 B,如图所示。若带电小物块下滑时间t后对斜面的作用力恰好为零,下列说法中正确的是 ( ) A.小物块一定带正电荷 B.小物块在斜面上运动时做加速度增大,而速度也增大的变加速直线运动C.小物块对斜面压力为零时的速率为 D.小物块沿斜面下滑的最大距离为 【答案】BC 【详解】A.在垂直于斜面方向上,物块受恒定的重力分力、洛伦兹力与支持力,由平衡 条件可知洛伦兹力与支持力二者之和不变,由于在下滑过程中物块速度增大,洛伦兹力也 增大,但支持力减小,说明物块下滑过程中所受洛伦滋力与支持力是同向的,即其方向是 垂直于斜面向上的,由左手定则可知物块应带负电,故A错误; B.物块离开斜面前在垂直于斜面方向上由平衡条件有 在平行于斜面方向有 可见物块做加速度增大、速度也增大的加速运动,故B正确; C.当洛伦兹力等于重力垂直于斜面的分力时物块与斜面间压力为零,即 解得 故C正确; D.由动量定理有 其中摩擦力 可知摩擦力的冲量大小为 解得物块沿斜面下滑的最大距离故D错误。 故选BC。 【例5】.如图所示,空间有一垂直纸面向外的匀强磁场,磁感应强度大小为B,一质量 且足够长的不带电绝缘木板静止在光滑水平面上,在木板的左端无初速放置一质量为 m,电荷量 的滑块,滑块与绝缘木板之间动摩擦因数为0.2,滑块受到的最大静摩擦力 可认为等于滑动摩擦力。现对木板施加方向水平向左,大小为 的恒力,g为重力 加速度。则( ) A.最终滑块以 的速度匀速运动 B.最终木板以 的加速度做匀加速运动 C.整个过程中,木板加速度由 逐渐增大到 D.整个过程中,滑块先与木板一起匀加速运动,然后再做加速度减小的加速运动,最后 做匀速运动 【答案】AB 【详解】A.开始滑块做加速直线运动,滑块获得向左的速度,根据左手定则可知滑块受 到洛伦兹力作用竖直向上,当洛伦兹力等于重力时滑块做匀速直线运动,即 解得 故A正确; B.当滑块受到洛伦兹力等于滑块重力时,滑块与木板间的弹力为零,摩擦力为零,根据 牛顿第二定律可得解得最终木板的加速度为 故B正确; C.设最开始时,滑块与木板发生相对滑动,对滑块有 解得 对木板有 解得 即整个过程中,木板加速度由 逐渐增大到 ,故C错误; D.由以上分析可知初始时刻滑块的加速度为 ,木板的加速度为 ,整个 过程中滑块受到的洛伦兹力增大,支持力减小,摩擦力减小,加速度减小,最后做匀速运 动,故D错误。 故选AB。 【例6】如图所示,套在很长的绝缘直棒上的小球,质量为1.0 ×10-4kg,带电量为 4.0 ×10- 4C的正电荷,小球在棒上可以滑动,将此棒竖直放置在沿水平 方向的匀强电场和匀强磁 场中,匀强电场的电场强度 E=10N/C,方向水平向右,匀强磁场的磁感应强度 B=0.5T, 方向为垂直于纸面向里,小球与棒间的动摩擦因数为   0.2 ,设小球在运动过程中所带 电荷量保持不变,g取 10m/s2.( )A.小球由静止沿棒竖直下落的最大加速度为 2m/s2 B.小球由静止沿棒竖直下落最大速度 2m/s C.若磁场的方向反向,其余条件不变,小球由静止沿棒竖直下落的最大加速度为 5m/s2 D.若磁场的方向反向,其余条件不变,小球由静止沿棒竖直下落的最大速度为 45m/s 【答案】AD 【详解】小环静止时只受电场力、重力及摩擦力,电场力水平向右,摩擦力竖直向上;开 始时,小环的加速度应为: ;小环 速度将增大,产生洛仑兹力,由左手定则可知,洛仑兹力向右,故水平方向合力将增大, 摩擦力将增大;加速度将减小,当加速度等于零时,即重力等于摩擦力,此时小环速度达 到最大,则有:mg=μ(qvB+qE),解得: ;故A正确,B错误;若磁场的方向反向, 其余条件不变,则洛伦兹力向左,故当洛伦兹力与电场力平衡时加速度最大,为10m/s2; 当摩擦力与重力平衡时,速度最大,故:mg=μ(qvB-qE),解得: ;故C错误,D正确;故选AD. 【例7】如图所示,下端封闭、上端开口、高h=4m内壁光滑的细玻璃管竖直放置,管底有 一质量m=0.2kg、电荷量q=2C的小球,整个装置以 的速度沿垂直于磁场方向进入 方向水平的匀强磁场,由于外力的作用,玻璃管在磁场中的速度保持不变,最终 小球从上端管口飞出。取g=10m/s2。则下列说法正确的是( ) A.小球在管中运动的过程中机械能守恒 B.小球的运动轨迹为直线 C.小球在管中运动的时间为2s D.小球的机械能增加了8J 【答案】C【详解】AD.小球水平方向随玻璃管做匀速运动,故管壁对小球的作用力和洛伦兹力的水 平分量等大反向,竖直方向受重力、洛伦兹力的竖直分量作用,小球从上端口飞出,故竖 直分量的洛伦兹力向上,且对小球做正功,故机械能不守恒,有 故AD错误; B.对小球受力分析可知,竖直方向上合外力 解得 a=2m/s2 小球在水平方向上做匀速直线运动,竖直方向上做匀加速直线运动,所以小球做曲线运动, 轨迹为曲线,故B错误; C.竖直方向上 解得小球在管中运动的时间为 故选C。 【例8】.如图所示,光滑水平桌面上有一轻质光滑绝缘管道,空间存在竖直向下的匀强 磁场,磁感应强度大小为B,绝缘管道在水平外力F(图中未画出)的作用下以速度u向右 匀速运动。管道内有一带正电小球,初始位于管道M端且相对管道速度为0,一段时间后, 小球运动到管道N端,小球质量为m,电量为q,管道长度为l,小球直径略小于管道内径, 则小球从M端运动到N端过程有( ) A.时间为 B.小球所受洛伦兹力做功为quBlC.外力F的平均功率为 D.外力F的冲量为qBl 【答案】D 【详解】A.小球在水平外力F的作用下以速度u向右匀速运动,故小球受到的洛伦兹力 在沿管道方向的分力保持不变,根据牛顿第二定律得 由初速度为零的位移公式 ,解得 A错误; B.小球所受洛伦兹力不做功,B错误; C.小球所受洛伦兹力不做功,故在沿管道方向分力做正功的大小等于垂直于管道向左的 分力做负功的大小,外力始终与洛伦兹力的垂直管道的分力平衡,则有 外力F的平均功率为 C错误; D.外力始终与洛伦兹力的垂直管道的分力平衡,外力F的冲量大小等于 D正确。 故选D。 题型六 带电粒子在匀强磁场中的运动 1.在匀强磁场中,当带电粒子平行于磁场方向运动时,粒子做匀速直线运动. 2.带电粒子以速度v垂直磁场方向射入磁感应强度为B的匀强磁场中,若只受洛伦兹力,则带电粒子在与磁场垂直的平面内做匀速圆周运动. (1)洛伦兹力提供向心力:qvB=. (2)轨迹半径:r=. (3)周期:T==,可知T与运动速度和轨迹半径无关,只和粒子的比荷和磁场的磁感应强 度有关. (4)运动时间:当带电粒子转过的圆心角为θ(弧度)时,所用时间t=T. (5)动能:E=mv2==. k 【例1】(多选)两个带正电的粒子,以相同大小的速率在同一匀强磁场中做匀速圆周运动, 已知它们的质量之比为m ∶m =2∶1、带电荷量之比为q ∶q =1∶3.不计粒子重力和粒 甲 乙 甲 乙 子之间的相互作用,下列说法正确的是( ) A.粒子做圆周运动的轨道半径之比为R ∶R =1∶6 甲 乙 B.粒子做圆周运动的周期之比为T ∶T =6∶1 甲 乙 C.粒子做圆周运动的角速度大小之比为ω ∶ω =3∶2 甲 乙 D.粒子做圆周运动的加速度大小之比为a ∶a =1∶6 甲 乙 【答案】 BD 【解析】 由于带电粒子均做匀速圆周运动,由洛伦兹力提供向心力可得qvB=m,推出R =,又因为两者速度大小相等,质量之比m ∶m =2∶1,电荷量之比q ∶q =1∶3,故 甲 乙 甲 乙 R ∶R =6∶1,选项A错误;由圆周运动周期计算公式T=可得周期T=,代入数据可得T 甲 乙 ∶T =6∶1,选项B正确;圆周运动角速度与周期关系ω=可得ω ∶ω =1∶6,选项C错 甲 乙 甲 乙 误;由洛伦兹力提供向心力可得qvB=ma,故a ∶a =1∶6,选项D正确. 甲 乙 【例2】2023年10月在沈阳举行第九届中国二次离子质谱会议。某种质谱仪的磁场偏转部 分如图所示,在 下方存在一垂直纸面向里的匀强磁场,磁感应强度大小为B,一个带 电粒子在O处以速度v垂直磁场边界入射,在磁场中偏转后落在Q处,P、O、Q、 在同 一直线上。已知O、Q两点间的距离为d,粒子重力不计。求 (1)带电粒子带何种电荷; (2)带电粒子在磁场中运动的时间t; (3)带电粒子的比荷 。【答案】(1)正电荷;(2) ;(3) 【详解】(1)粒子进入磁场后向右偏转,由左手定则可知粒子带正电荷。 (2)根据匀速圆周运动规律得 根据几何关系可知圆周半径 解得 (3)根据牛顿运动定律得 解得 【例3】.一个带电粒子,沿垂直于磁场的方向射入一匀强磁场,粒子的一段径迹如图所 示,径迹上每小段可近似的看成圆弧,由于带电粒子使沿途空气电离,粒子的动能逐渐减 小(带电荷量不变),则由图中情况可判定下列说法正确的是( )A.粒子从a运动到b,带正电 B.粒子从b运动到a,带正电 C.粒子从a运动到b,带负电 D.粒子从b运动到a,带负电 【答案】B 【详解】由于带电粒子使沿途的空气电离,粒子的动能逐渐减小,速度逐渐减小,根据洛 伦兹力提供向心力 可得,粒子在磁场中运动的半径公式 所以粒子的半径逐渐的减小,粒子的运动方向是从b到a,再根据左手定则可知,粒子带 正电。 故选B。 【例4】如图所示,MN表示一块非常薄的金属板,带电粒子(不计重力)在匀强磁场中运 动并垂直穿过薄金属板,粒子的能量逐渐减小(带电荷量不变)虚线表示其运动轨迹,由 图可知粒子说法错误的是( ) A.带负电荷 B.沿 方向运动 C.穿越金属板后,轨迹半径变大 D.穿越金属板后,所受洛伦兹力变小 【答案】C 【详解】B.带电粒子穿过金属板后速度减小,由可得 可知轨迹半径应减小,故可知粒子运动方向是edcba,B正确,不符合题意; A.粒子所受的洛伦兹力均指向圆心,在e点洛伦兹力向右,则由左手定则可知,粒子应 带负电,A正确,不符合题意; C.由上述分析可知穿越金属板后,轨迹半径变小,C错误,符合题意; D.穿过金属板后速度减小,根据 可知,洛伦兹力减小,D正确,不符合题意。 故选C。 【例5】.如图所示,将含有大量正、负带电粒子的气体以相同的速度喷入云雾室里,观 察到有两个粒子的径迹弯曲程度相同,但弯曲方向相反。已知云雾室中匀强磁场方向垂直 纸面向外(图中未画出),不计重力和粒子间作用力,则下列说法正确的是( ) A.粒子①在磁场中做速度增大的曲线运动 B.粒子②在磁场中做速度减小的曲线运动 C.粒子①带正电 D.粒子②的速度保持不变 【答案】C 【详解】粒子进入磁场时做匀速圆周运动,则两粒子在磁场中的速度大小不变,但是方向 不断变化,即两粒子的速度不是不变的;匀强磁场方向垂直纸面向外,由图示粒子运动轨 迹可知,粒子刚进入磁场时,粒子①所受洛伦兹力水平向左,粒子②受到的洛伦兹力水平 向右,由左手定则可知,粒子①带正电,粒子②带负电。 故选C。【例6】.如图所示,在真空中,水平导线中有恒定电流I通过,导线的正下方有一束电子 初速度方向与电流方向相同,则电子可能的运动情况是( ) A.沿路径a运动 B.沿路径b运动 C.沿路径c运动 D.沿路径d运动 【答案】D 【详解】由安培定则知,电流I在导线下方产生的磁场方向指向纸外,由左手定则,电子 刚进入磁场时所受洛伦兹力方向向下,则电子的轨迹必定向下弯曲,由于洛伦兹力方向始 终与电荷运动方向垂直,故其运动轨迹必定是曲线,故ABC错误,D正确。 故选D。