当前位置:首页>文档>第10章§10.9 概率与统计的综合问题_2.2025数学总复习_2023年新高考资料_一轮复习_2023新高考一轮复习讲义+课件_2023年高考数学一轮复习讲义(新高考)

第10章§10.9 概率与统计的综合问题_2.2025数学总复习_2023年新高考资料_一轮复习_2023新高考一轮复习讲义+课件_2023年高考数学一轮复习讲义(新高考)

  • 2026-04-01 16:20:32 2026-03-25 03:50:52

文档预览

第10章§10.9 概率与统计的综合问题_2.2025数学总复习_2023年新高考资料_一轮复习_2023新高考一轮复习讲义+课件_2023年高考数学一轮复习讲义(新高考)
第10章§10.9 概率与统计的综合问题_2.2025数学总复习_2023年新高考资料_一轮复习_2023新高考一轮复习讲义+课件_2023年高考数学一轮复习讲义(新高考)
第10章§10.9 概率与统计的综合问题_2.2025数学总复习_2023年新高考资料_一轮复习_2023新高考一轮复习讲义+课件_2023年高考数学一轮复习讲义(新高考)
第10章§10.9 概率与统计的综合问题_2.2025数学总复习_2023年新高考资料_一轮复习_2023新高考一轮复习讲义+课件_2023年高考数学一轮复习讲义(新高考)
第10章§10.9 概率与统计的综合问题_2.2025数学总复习_2023年新高考资料_一轮复习_2023新高考一轮复习讲义+课件_2023年高考数学一轮复习讲义(新高考)
第10章§10.9 概率与统计的综合问题_2.2025数学总复习_2023年新高考资料_一轮复习_2023新高考一轮复习讲义+课件_2023年高考数学一轮复习讲义(新高考)
第10章§10.9 概率与统计的综合问题_2.2025数学总复习_2023年新高考资料_一轮复习_2023新高考一轮复习讲义+课件_2023年高考数学一轮复习讲义(新高考)
第10章§10.9 概率与统计的综合问题_2.2025数学总复习_2023年新高考资料_一轮复习_2023新高考一轮复习讲义+课件_2023年高考数学一轮复习讲义(新高考)
第10章§10.9 概率与统计的综合问题_2.2025数学总复习_2023年新高考资料_一轮复习_2023新高考一轮复习讲义+课件_2023年高考数学一轮复习讲义(新高考)
第10章§10.9 概率与统计的综合问题_2.2025数学总复习_2023年新高考资料_一轮复习_2023新高考一轮复习讲义+课件_2023年高考数学一轮复习讲义(新高考)
第10章§10.9 概率与统计的综合问题_2.2025数学总复习_2023年新高考资料_一轮复习_2023新高考一轮复习讲义+课件_2023年高考数学一轮复习讲义(新高考)
第10章§10.9 概率与统计的综合问题_2.2025数学总复习_2023年新高考资料_一轮复习_2023新高考一轮复习讲义+课件_2023年高考数学一轮复习讲义(新高考)
第10章§10.9 概率与统计的综合问题_2.2025数学总复习_2023年新高考资料_一轮复习_2023新高考一轮复习讲义+课件_2023年高考数学一轮复习讲义(新高考)
第10章§10.9 概率与统计的综合问题_2.2025数学总复习_2023年新高考资料_一轮复习_2023新高考一轮复习讲义+课件_2023年高考数学一轮复习讲义(新高考)
第10章§10.9 概率与统计的综合问题_2.2025数学总复习_2023年新高考资料_一轮复习_2023新高考一轮复习讲义+课件_2023年高考数学一轮复习讲义(新高考)
第10章§10.9 概率与统计的综合问题_2.2025数学总复习_2023年新高考资料_一轮复习_2023新高考一轮复习讲义+课件_2023年高考数学一轮复习讲义(新高考)
第10章§10.9 概率与统计的综合问题_2.2025数学总复习_2023年新高考资料_一轮复习_2023新高考一轮复习讲义+课件_2023年高考数学一轮复习讲义(新高考)
第10章§10.9 概率与统计的综合问题_2.2025数学总复习_2023年新高考资料_一轮复习_2023新高考一轮复习讲义+课件_2023年高考数学一轮复习讲义(新高考)
第10章§10.9 概率与统计的综合问题_2.2025数学总复习_2023年新高考资料_一轮复习_2023新高考一轮复习讲义+课件_2023年高考数学一轮复习讲义(新高考)

文档信息

文档格式
docx
文档大小
0.695 MB
文档页数
19 页
上传时间
2026-03-25 03:50:52

文档内容

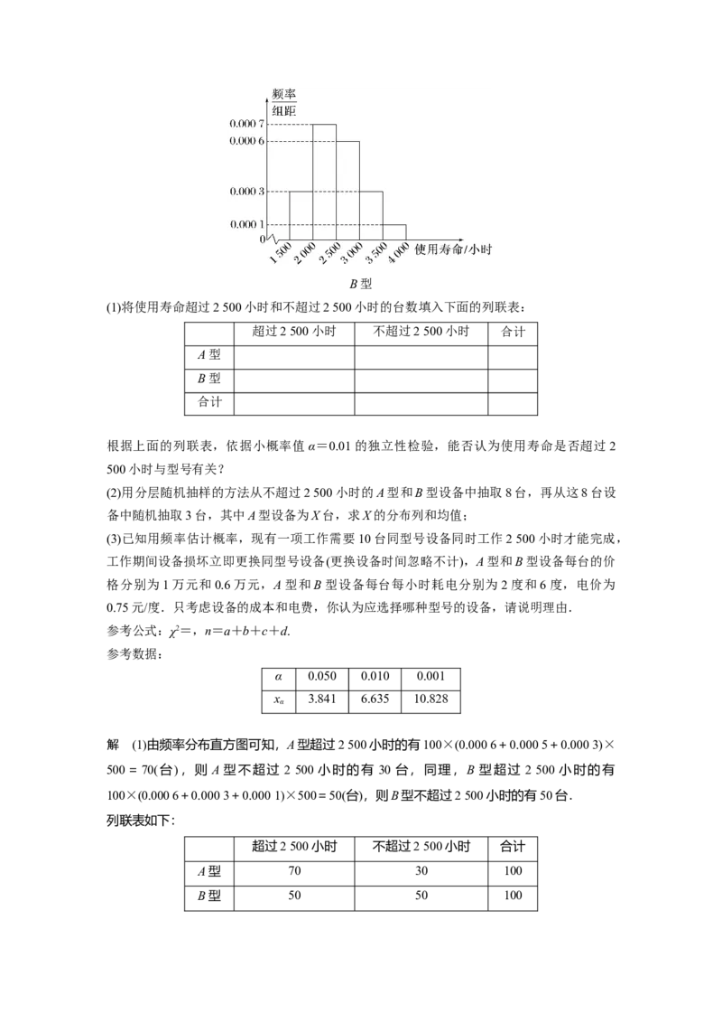
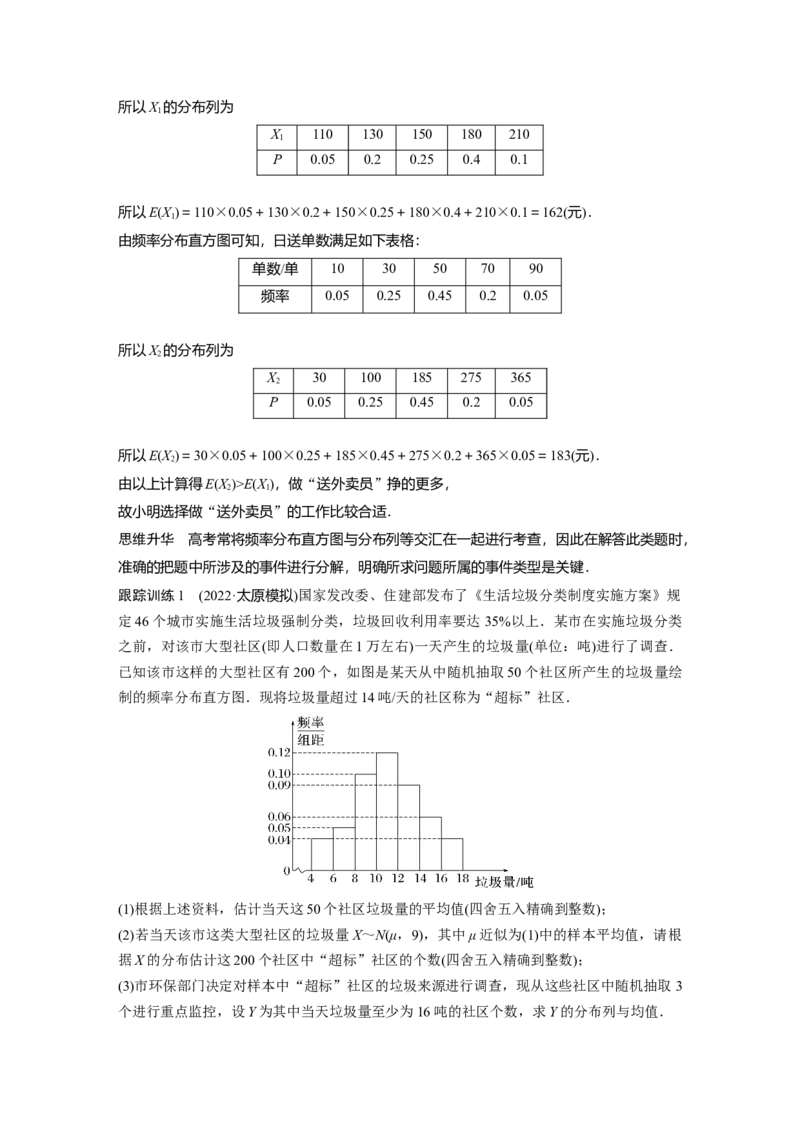
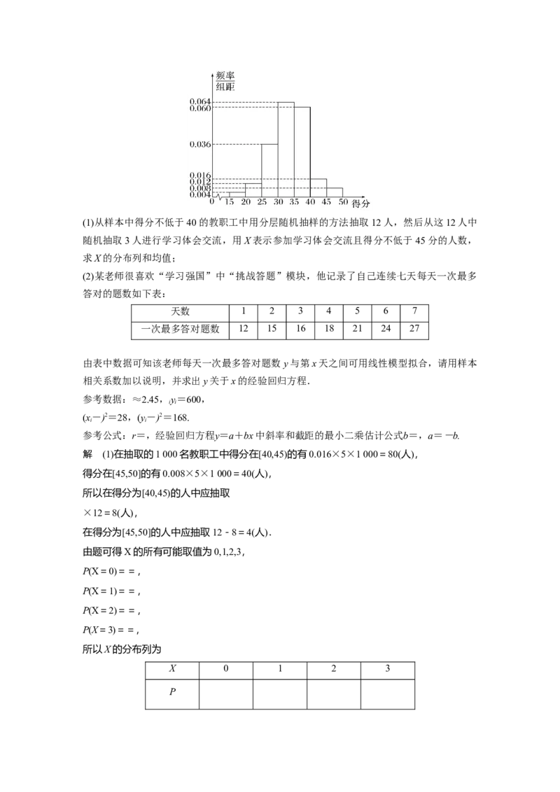
§10.9 概率与统计的综合问题 题型一 频率分布直方图与分布列的综合问题 例1 (2022·湖北九师联盟模拟)某校高三年级举行了高校强基计划模拟考试(满分100分), 将不低于50分的考生的成绩分为5组,即[50,60),[60,70),[70,80),[80,90),[90,100],并 绘制频率分布直方图如图所示,其中在[90,100]内的人数为3. (1)求a的值,并估计不低于50分考生的平均成绩(同一组中的数据用该组区间的中点值代 替); (2)现把[50,60)和[90,100]内的所有学生的考号贴在质地、形状和大小均相同的小球上,并放 在盒子内,现从盒中随机抽取 2个小球,若取出的两人成绩差不小于 30,则称这两人为 “黄金搭档组”.现随机抽取4次,每次取出2个小球,记下考号后再放回盒内,记取出 “黄金搭档组”的次数为X,求X的分布列和均值E(X). 解 (1)由题意,得(0.005+0.01+0.015+a+0.045)×10=1,解得a=0.025, 不低于50分考生的平均成绩估计为55×0.1+65×0.25+75×0.45+85×0.15+95×0.05= 73(分). (2)在[90,100]上的频率为0.005×10=0.05,由条件得总人数为=60, 所以在[50,60]内的人数为60×0.1=6,每次抽取出‘黄金搭档组”的概率P==, 因此X~B, P(X=0)=C×0×4=, P(X=1)=C×1×3=, P(X=2)=C×2×2=, P(X=3)=C×3×1=, P(X=4)=C×4×0=, X的分布列为 X 0 1 2 3 4 PE(X)=np=4×=2. 教师备选 (2022·湛江模拟)某高三学生小明准备利用暑假的7月和8月勤工俭学,现有“送外卖员”和 “销售员”两份工作可供其选择.已知“销售员”工作每日底薪为50元,每日销售的前5 件每件奖励20元,超过5件的部分每件奖励30元.小明通过调查,统计了100名销售员1 天的销售记录,其柱状图如图1;“送外卖员”没有底薪,收入与送的单数相关,在一日内: 1至20单(含20单)每送一单3元,超过20单且不超过40单的部分每送一单4元,超过40 单的部分,每送一单4.5元.小明通过随机调查,统计了100名送外卖员的日送单数,并绘 制成如下频率分布直方图(如图2). 图1 图2 (1)分别求出“销售员”的日薪y(单位:元)与销售件数x 的函数关系式、“送外卖员”的日 1 1 薪y(单位:元)与所送单数x 的函数关系式; 2 2 (2)若将频率视为概率,根据统计图,试分别估计“销售员”的日薪X 和“送外卖员”的日 1 薪X(同一组中的数据用该组区间的中点值代表)的均值,分析选择哪种工作比较合适,并说 2 明你的理由. 解 (1)“销售员”的日薪y(单位:元)与销售件数x 的函数关系式为 1 1 y= 1 “送外卖员”的日薪y(单位:元)与所送单数x 的函数关系式为 2 2 y= 2 (2)由柱状图知,日平均销售量满足如下表格: 销售量/件 3 4 5 6 7 频率 0.05 0.2 0.25 0.4 0.1所以X 的分布列为 1 X 110 130 150 180 210 1 P 0.05 0.2 0.25 0.4 0.1 所以E(X)=110×0.05+130×0.2+150×0.25+180×0.4+210×0.1=162(元). 1 由频率分布直方图可知,日送单数满足如下表格: 单数/单 10 30 50 70 90 频率 0.05 0.25 0.45 0.2 0.05 所以X 的分布列为 2 X 30 100 185 275 365 2 P 0.05 0.25 0.45 0.2 0.05 所以E(X)=30×0.05+100×0.25+185×0.45+275×0.2+365×0.05=183(元). 2 由以上计算得E(X)>E(X),做“送外卖员”挣的更多, 2 1 故小明选择做“送外卖员”的工作比较合适. 思维升华 高考常将频率分布直方图与分布列等交汇在一起进行考查,因此在解答此类题时, 准确的把题中所涉及的事件进行分解,明确所求问题所属的事件类型是关键. 跟踪训练1 (2022·太原模拟)国家发改委、住建部发布了《生活垃圾分类制度实施方案》规 定46个城市实施生活垃圾强制分类,垃圾回收利用率要达35%以上.某市在实施垃圾分类 之前,对该市大型社区(即人口数量在1万左右)一天产生的垃圾量(单位:吨)进行了调查. 已知该市这样的大型社区有200个,如图是某天从中随机抽取50个社区所产生的垃圾量绘 制的频率分布直方图.现将垃圾量超过14吨/天的社区称为“超标”社区. (1)根据上述资料,估计当天这50个社区垃圾量的平均值(四舍五入精确到整数); (2)若当天该市这类大型社区的垃圾量X~N(μ,9),其中μ近似为(1)中的样本平均值,请根 据X的分布估计这200个社区中“超标”社区的个数(四舍五入精确到整数); (3)市环保部门决定对样本中“超标”社区的垃圾来源进行调查,现从这些社区中随机抽取3 个进行重点监控,设Y为其中当天垃圾量至少为16吨的社区个数,求Y的分布列与均值.附:P(μ-σ≤X≤μ+σ)≈0.682 7;P(μ-2σ≤X≤μ+2σ)≈0.954 5;P(μ-3σ≤X≤μ+ 3σ)≈0.997 3. 解 (1)由频率分布直方图得该样本中垃圾量为[4,6),[6,8),[8,10),[10,12),[12,14), [14,16),[16,18]的频率分别为0.08,0.10,0.20,0.24,0.18,0.12,0.08, =5×0.08+7×0.10+9×0.20+11×0.24+13×0.18+15×0.12+17×0.08 =11.04≈11, ∴当天这50个社区垃圾量的平均值为11吨. (2)由(1)知μ=11, ∵σ2=9,∴σ=3, ∴P(X>14)=P(X>μ+σ) ==0.158 65, ∴这200个社区中“超标”社区的个数为200×0.158 65≈32. (3)由(1)得样本中当天垃圾量为[14,16)的社区有50×0.12=6(个),垃圾量为[16,18)的社区有 50×0.08=4(个), ∴Y的所有可能取值为0,1,2,3, P(Y=0)==, P(Y=1)==, P(Y=2)==, P(Y=3)==, ∴Y的分布列为 Y 0 1 2 3 P ∴E(Y)=0×+1×+2×+3×=. 题型二 回归模型与分布列的综合问题 例2 学习于才干信仰,犹如运动于健康体魄,持之以恒、行之愈远愈受益.为了顺利实现 中华民族伟大复兴,全国各行各业掀起了“学习强国”的高潮.某市教育局为了解全市教职 工在“学习强国”中每天学习得分情况,从全市教职工中随机抽取 1 000名教职工,得到他 们平均每天的学习得分,得分都在[15,50]内,将他们的得分分为七组:[15,20),[20,25), [25,30),[30,35),[35,40),[40,45),[45,50]后得到频率分布直方图如图所示.(1)从样本中得分不低于40的教职工中用分层随机抽样的方法抽取12人,然后从这12人中 随机抽取3人进行学习体会交流,用X表示参加学习体会交流且得分不低于45分的人数, 求X的分布列和均值; (2)某老师很喜欢“学习强国”中“挑战答题”模块,他记录了自己连续七天每天一次最多 答对的题数如下表: 天数 1 2 3 4 5 6 7 一次最多答对题数 12 15 16 18 21 24 27 由表中数据可知该老师每天一次最多答对题数y与第x天之间可用线性模型拟合,请用样本 相关系数加以说明,并求出y关于x的经验回归方程. 参考数据:≈2.45,y=600, i i (x-)2=28,(y-)2=168. i i 参考公式:r=,经验回归方程y=a+bx中斜率和截距的最小二乘估计公式b=,a=-b. 解 (1)在抽取的1 000名教职工中得分在[40,45)的有0.016×5×1 000=80(人), 得分在[45,50]的有0.008×5×1 000=40(人), 所以在得分为[40,45)的人中应抽取 ×12=8(人), 在得分为[45,50]的人中应抽取12-8=4(人). 由题可得X的所有可能取值为0,1,2,3, P(X=0)==, P(X=1)==, P(X=2)==, P(X=3)==, 所以X的分布列为 X 0 1 2 3 PE(X)=0×+1×+2×+3×=1. (2)由条件可知=4,=19, 则y关于x的样本相关系数 r== ≈≈0.99. 因为0.99与1非常接近,所以y关于x有较强的线性相关关系, 因为b==, a=-b=19-×4=’ 所以y关于x的经验回归方程是y=+x. 教师备选 设某幼苗从观察之日起,第x天的高度为y(cm),测得的一些数据如下表所示: 第x天 1 4 9 16 25 36 49 高度 0 4 7 9 11 12 13 y(cm) 作出这组数据的散点图发现:y(cm)与x(天)之间近似满足关系式y=b+a,其中a,b均为大 于0的常数. (1)试借助一元线性回归模型,根据所给数据,用最小二乘法对a,b作出估计,并求出y关 于x的经验回归方程; (2)在作出的这组数据的散点图中,甲同学随机圈取了其中的3个点,记这3个点中幼苗的高 度大于的点的个数为ξ,其中为表格中所给的幼苗高度的平均数,试求随机变量ξ的分布列 和均值. 附:对于一组数据(v,μ),(v,μ),…,(v,μ),其经验回归方程μ=α+βv的斜率和截距 1 1 2 2 n n 的最小二乘估计分别为β=, α=-β. 解 (1)令μ=,则y=bμ+a,根据已知数据表得到下表: x 1 4 9 16 25 36 49 μ= 1 2 3 4 5 6 7 y 0 4 7 9 11 12 13 ==4, ==8, 通过上表计算可得 b= ==, 因为回归直线y=bμ+a过点(,),所以a=-b=-, 故y关于x的经验回归方程为y=-. (2)7天中幼苗高度大于=8的有4天,小于等于8的有3天,从散点图中任取3个点,即从 这7天中任取3天,所以这3个点中幼苗的高度大于的点的个数ξ 的所有可能取值为 0,1,2,3, P(ξ=0)==; P(ξ=1)==; P(ξ=2)==; P(ξ=3)==. 所以随机变量ξ的分布列为 ξ 0 1 2 3 P 随机变量ξ的均值 E(ξ)=0×+1×+2×+3×=. 思维升华 高考常将回归模型与分布列等交汇在一起进行考查,求解时注意概率模型的应用, 明确所求问题所属的事件类型是关键. 跟踪训练2 数独是源自18世纪瑞士的一种数学游戏,玩家需要根据9×9盘面上的已知数 字,推理出所有剩余空格的数字,并满足每一行、每一列、每一个粗线宫(3×3)内的数字均 含1~9,且不重复.数独爱好者小明打算报名参加“丝路杯”全国数独大赛初级组的比赛. (1)赛前小明在某数独APP上进行了一段时间的训练,每天解题的平均速度y(秒/题)与训练天 数x(天)有关,经统计得到如下数据: x(天) 1 2 3 4 5 6 7 y(秒/题) 910 800 600 440 300 240 210 现用y=a+作为回归方程模型,请利用表中数据,求出该回归方程;(a,b用分数表示) (2)小明和小红在数独APP上玩“对战赛”,每局两人同时开始解一道数独题,先解出题的 人获胜,不存在平局,两人约定先胜3局者赢得比赛.若小明每局获胜的概率为,且各局之 间相互独立,设比赛X局后结束,求随机变量X的分布列及均值. 参考数据: y -72 i i 1 750 0.37 0.55 参考公式:对于一组数据(u,v),(u,v),…,(u,v),其经验回归方程v=α+βu的斜率 1 1 2 2 n n 和截距的最小二乘估计分别为β=,α=-β.解 (1)因为y=a+,t=, i 所以y=a+bt. 因为==500, 所以b== ==, 所以a=-b=500-×0.37=, 所以y=+t, 所以所求回归方程为y=+. (2)随机变量X的所有可能取值为3,4,5, P(X=3)=3+3=, P(X=4)=C2××+C2××=, P(X=5)=C2×2×+C2×2×=. 所以随机变量X的分布列为 X 3 4 5 P E(X)=3×+4×+5×=. 题型三 独立性检验与分布列的综合问题 例3 (2022·苏州模拟)为落实十三五规划节能减排的国家政策,某职能部门对市场上两种设 备的使用寿命进行调查统计,随机抽取A型和B型设备各100台,得到如下频率分布直方图: A型B型 (1)将使用寿命超过2 500小时和不超过2 500小时的台数填入下面的列联表: 超过2 500小时 不超过2 500小时 合计 A型 B型 合计 根据上面的列联表,依据小概率值α=0.01的独立性检验,能否认为使用寿命是否超过2 500小时与型号有关? (2)用分层随机抽样的方法从不超过2 500小时的A型和B型设备中抽取8台,再从这8台设 备中随机抽取3台,其中A型设备为X台,求X的分布列和均值; (3)已知用频率估计概率,现有一项工作需要10台同型号设备同时工作2 500小时才能完成, 工作期间设备损坏立即更换同型号设备(更换设备时间忽略不计),A型和B型设备每台的价 格分别为1万元和0.6万元,A型和B型设备每台每小时耗电分别为2度和6度,电价为 0.75元/度.只考虑设备的成本和电费,你认为应选择哪种型号的设备,请说明理由. 参考公式:χ2=,n=a+b+c+d. 参考数据: α 0.050 0.010 0.001 x 3.841 6.635 10.828 α 解 (1)由频率分布直方图可知,A型超过2 500小时的有100×(0.000 6+0.000 5+0.000 3)× 500=70(台),则 A 型不超过 2 500 小时的有 30 台,同理,B 型超过 2 500 小时的有 100×(0.000 6+0.000 3+0.000 1)×500=50(台),则B型不超过2 500小时的有50台. 列联表如下: 超过2 500小时 不超过2 500小时 合计 A型 70 30 100 B型 50 50 100合计 120 80 200 零假设为H:使用寿命是否超过2 500小时与型号无关, 0 根据列联表中的数据,经计算得到 χ2= ≈8.333>6.635= , 所以依据小概率值α=0.01的独立性检验,我们推断H 不成立,即认为使用寿命是否超过 0 2 500小时与型号有关. (2)由(1)和分层随机抽样的定义可知A型设备有3台,B型设备有5台, 所以X的所有可能取值为0,1,2,3, P(X=0)==, P(X=1)==, P(X=2)==, P(X=3)==, 所以X的分布列为 X 0 1 2 3 P 所以E(X)=0×+1×+2×+3×=. (3)由频率分布直方图中的频率估计概率知: A型设备每台更换的概率为0.3, 所以10台A型设备估计要更换3台; B型设备每台更换的概率为0.5, 所以10台B型设备估计要更换5台, 选择A型设备的总费用y=(10+3)×1+10×2×0.75×2 500×10-4=16.75 (万元), 1 选择B型设备的总费用y=(10+5)×0.6+10×6×0.75×2 500×10-4=20.25 (万元),y10.828=x , 0.001 所以依据小概率值α=0.001的独立性检验,我们推断H 不成立,即认为产品的合格率与技 0术升级有关. (2)由于所有次品中,甲、乙生产线生产的次品比例为4∶1, 故抽取的10件中有8件甲生产线的,2件乙生产线的, 从中随机抽取5件中属于甲生产线的数量X的所有可能取值为3,4,5, 则P(X=3)==, P(X=4)==, P(X=5)==, 所以X的分布列为 X 3 4 5 P 所以E(X)=3×+4×+5×=4. (3)甲生产线抽检的产品中有70件A等级,90件B等级,40件C等级; 乙生产线抽检的产品中有130件A等级,60件B等级,10件C等级, 因为用样本的频率估计概率, 所以对于甲生产线,单件产品的利润 ==m-2, 甲 对于乙生产线,单件产品的利润 ==m-8. 乙 - =m-8-≤9, 乙 甲 所以m≤50. 即A等级产品的出厂单价最高为50元. 思维升华 高考常将独立性检验与分布列等交汇在一起进行考查,由频率分布直方图解决相 关问题,解题的关键是正确理解频率分布直方图,能利用频率分布直方图正确计算出各组数 据. 跟踪训练3 (2022·邯郸模拟)暑假期间,学生居家生活和学习,教育部门特别强调,身体健 康与学习成绩同样重要.某校对300名学生的锻炼时间进行调查,数据如表: 平均每天锻炼 [0,10) [10,20) [20,30) [30,40) [40,50) [50,60] 的时间(分钟) 总人数 30 50 60 70 55 35 将学生日均锻炼的时间在[40,60]的学生评价为“体育合格”. (1)请根据上述表格中的统计数据填写下面2×2列联表,依据小概率值α=0.001的独立性检 验,能否认为“体育合格”与性别无关?体育不合格 体育合格 合计 男 60 160 女 合计 (2)从上述体育合格的学生中,按性别用分层随机抽样的方法抽取9名学生,再从这9名学生 中随机抽取3人了解他们锻炼时间较多的原因,记所抽取的 3人中男生的人数为随机变量 X,求X的分布列和均值. 参考公式:χ2=,其中n=a+b+c+d. 参考数据: α 0.10 0.05 0.025 0.010 0.005 0.001 x 2.706 3.841 5.024 6.635 7.879 10.828 α 解 (1)列联表如下: 体育不合格 体育合格 合计 男 100 60 160 女 110 30 140 合计 210 90 300 零假设为H:“体育合格”与性别无关, 0 根据列联表中的数据,经计算得到 χ2= ≈9.184<10.828=x , 0.001 所以依据小概率值α=0.001的独立性检验,没有充分的证据推断H 不成立,即认为“体育 0 合格”与性别无关. (2)易知,所抽取的9名学生中, 男生为9×=6(名),女生为3名. X的所有可能取值为0,1,2,3, 且P(X=0)==, P(X=1)==, P(X=2)==, P(X=3)==. 所以X的分布列为 X 0 1 2 3 P所以E(X)=0×+1×+2×+3×=2. 课时精练 1.(2022·日照模拟)近年来,随着猪肉价格的上涨,作为饲料原材料之一的玉米,价格也出 现了波动.为保证玉米销售市场稳定,相关部门某年9月份开始采取宏观调控措施.该部门 调查研究发现,这一年某地各月份玉米的销售均价(元/斤)走势如图所示: (1)该部门发现,3月到7月,各月玉米销售均价y(元/斤)与月份x之间具有较强的线性相关 关系,试建立y关于x的经验回归方程(系数精确到0.01),若不调控,依据相关关系预测12 月份玉米的销售均价; (2)该部门在这一年的12个月份中,随机抽取3个月份的数据作样本分析,若关注所抽三个 月份的所属季度,记不同季度的个数为X,求X的分布列和均值. 参考数据:=25,=5.36,(x-)(y-)=0.64. i i i i 经验回归方程y=bx+a中斜率和截距的最小二乘估计公式分别为:b==,a=-b. 解 (1)由题意知, 月份x 3 4 5 6 7 均价y 0.95 0.98 1.11 1.12 1.20 计算可得=5,=1.072,(x-)2=10, i ∴b==0.064, a=-b=0.752, ∴从3月到7月,y关于x的经验回归方程为 y=0.06x+0.75, 当x=12时,代入经验回归方程得y=1.47,即可预测12月份玉米销售均价为1.47元/斤. (2)X的所有可能取值为1,2,3, 则P(X=1)==, P(X=3)==,P(X=2)=1-P(X=1)-P(X=3)=, ∴X的分布列为 X 1 2 3 P E(X)=1×+2×+3×=. 2.(2022·沈阳模拟)第24届冬奥会于2022年在北京市和张家口市联合举行,冬奥会志愿者 的服务工作是成功举办的重要保障.在冬奥会的志愿者选拔工作中,某高校承办了冬奥会志 愿者选拔的面试工作,面试成绩满分 100分,现随机抽取了80名候选者的面试成绩分五组, 第一组[45,55),第二组[55,65),第三组[65,75),第四组[75,85),第五组[85,95],绘制成如图 所示的频率分布直方图.已知图中从左到右前三个组的频率成等差数列,第一组和第五组的 频率相同. (1)求a,b的值,并估计这80名候选者面试成绩的平均值(同一组中的数据用该组区间的中 点值作代表)和中位数(中位数精确到0.1); (2)已知抽取的80名候选人中,男生和女生各40人,男生希望参加张家口赛区志愿服务的有 10人,女生希望参加张家口赛区志愿服务的有20人,补全下面2×2列联表,依据小概率值 α=0.05的独立性检验,能否认为参加张家口赛区志愿者服务的候选人与性别有关? 男生 女生 合计 希望去张家口赛区 10 20 不希望去张家口赛区 合计 40 40 (3)冰球项目的场地服务需要5名志愿者,有4名男生和3名女生通过该项志愿服务的选拔, 需要通过抽签的方式决定最终的人选,现将5张写有“中签”和2张写有“未中签”字样的 字条随机分配给每一位候选人,记男生中签的人数为X,求X的分布列及均值E(X). 参考数据及公式:χ2=,n=a+b+c+d. α 0.050 0.010 0.001 x 3.841 6.635 10.828 α 解 (1)由题意可知20b=10a+0.45,(2a+b+0.065)×10=1, 解得a=0.005,b=0.025, 所以平均值为50×0.05+60×0.25+70×0.45+80×0.2+90×0.05=69.5, 中位数为65+×10=≈69.4. (2)补全2×2列联表: 男生 女生 合计 希望去张家口赛区 10 20 30 不希望去张家口赛区 30 20 50 合计 40 40 80 零假设为H :参加张家口赛区志愿者服务的候选人与性别无关,根据列联表中的数据,经 0 计算得到χ2= ≈5.333>3.841=x , 0.05 所以依据小概率值α=0.05的独立性检验,我们推断H 不成立,即认为参加张家口赛区志愿 0 者服务的候选人与性别有关. (3)X的所有可能取值为2,3,4, P(X=2)==,P(X=3)==, P(X=4)==, 所以X的分布列为 X 2 3 4 P 所以E(X)=2×+3×+4×=. 3.(2022·南京模拟)某乒乓球教练为了解某同学近期的训练效果,随机记录了该同学40局接 球训练成绩,每局训练时教练连续发100个球,该同学每接球成功得1分,否则不得分,且 每局训练结果相互独立,得到如图所示的频率分布直方图.(1)同一组数据用该组区间的中点值作代表, ①求该同学40局接球训练成绩的样本平均数; ②若该同学的接球训练成绩X近似地服从正态分布N(μ,100),其中μ近似为样本平均数, 求P(54≤X≤64)的值; (2)为了提高该同学的训练兴趣,教练与他进行比赛.一局比赛中教练连续发100个球,该 同学得分达到80分为获胜,否则教练获胜.若有人获胜达 3局,则比赛结束,记比赛的局 数为Y.以频率分布直方图中该同学获胜的频率作为概率,求均值E(Y). 参考数据:若随机变量ξ~N(μ,σ2),则P(μ-σ≤ξ≤μ+σ)≈0.682 7,P(μ-2σ≤ξ≤μ+2σ)≈ 0.954 5,P(μ-3σ≤ξ≤μ+3σ)≈0.997 3. 解 (1)①由频率分布直方图可得 =55×0.1+65×0.2+75×0.45+85×0.2+95×0.05=74. ②由题意可知μ=74,σ=10, 则54=μ-2σ,64=μ-σ, 所以P(54≤X≤64)=P(μ-2σ≤X≤μ-σ)=≈0.135 9. (2)由频率分布直方图可知,在一局中,该同学得分达到 80分的概率为(0.02+0.005)×10 =, 由题意可知,随机变量Y的所有可能取值为3,4,5, P(Y=3)=3+3=, P(Y=4)=C·2×+C×2× =, P(Y=5)=C×2×2+C×2×2=, 所以随机变量Y的分布列为 Y 3 4 5 P 因此,E(Y)=3×+4×+5×=.4.(2022·福州模拟)某种病菌在某地区人群中的带菌率为10%,目前临床医学研究中已有费 用昂贵但能准确检测出个体是否带菌的方法.现引进操作易、成本低的新型检测方法:每次 只需检测x,y两项指标,若指标x的值大于4且指标y的值大于100,则检验结果呈阳性, 否则呈阴性.为考查该检测方法的准确度,随机抽取50位带菌者(用“*”表示)和50位不带 菌者(用“+”表示)各做1次检测,他们检测后的数据,制成如下统计图: (1)从这100名被检测者中,随机抽取一名不带菌者,求检测结果呈阳性的概率; (2)依据小概率值α=0.001的独立性检验,能否认为“带菌”与“检测结果呈阳性”有关? (3)现用新型检测方法,对该地区人群进行全员检测,用频率估计概率,求每个被检者“带 菌”且“检测结果呈阳性”的概率. 附:χ2=,n=a+b+c+d. α 0.050 0.010 0.001 x 3.841 6.635 10.828 α 解 (1)方法一 设A=“从这100名被检测者中,随机抽取一名不带菌者,检测结果呈阳 性”,根据统计图可知在不带菌者中,检测结果呈阳性的有5人,所以P(A)==. 方法二 设A=“从这100名被检测者中,随机抽取一名为不带菌者”,D=“从这100名 被检测者中,随机抽取一名检测结果呈阳性”, 则“从这100名被检测者中,随机抽取一名不带菌者,检测结果呈阳性”的概率就是“在事 件A发生的条件下,事件D发生”的概率,记为P(D|A). 根据题意,P(A)=,P(AD)=, 利用条件概率公式, 得P(D|A)===. (2)零假设为H:“带菌”与“检测结果呈阳性”无关,可作出2×2列联表如下: 0 阳性 阴性 合计 带菌 35 15 50 不带菌 5 45 50 合计 40 60 100 根据列联表中的数据,经计算得到 χ2==37.5>10.828=x , 0.001 所以依据小概率值α=0.001的独立性检验,我们推断H 不成立,即认为“带菌”与“检测 0 结果呈阳性”有关. (3)设B=“被检测者带菌”,C=“被检测者检测结果呈阳性”, 则BC=“被检者‘带菌’且‘检测结果呈阳性’”, 用频率估计概率,根据题意可知 P(B)=0.1,P(C|B)==0.7, 所以由条件概率公式可知P(BC)=P(B)·P(C|B)=0.1×0.7=0.07.