当前位置:首页>文档>第1讲三角函数的图象与性质(原卷版)_2.2025数学总复习_2023年新高考资料_二轮复习_备战2023年高考数学二轮复习专题讲练(新高考版)_专题二三角函数与解三角形

第1讲三角函数的图象与性质(原卷版)_2.2025数学总复习_2023年新高考资料_二轮复习_备战2023年高考数学二轮复习专题讲练(新高考版)_专题二三角函数与解三角形

  • 2026-05-06 16:14:55 2026-03-25 07:26:06

文档预览

第1讲三角函数的图象与性质(原卷版)_2.2025数学总复习_2023年新高考资料_二轮复习_备战2023年高考数学二轮复习专题讲练(新高考版)_专题二三角函数与解三角形
第1讲三角函数的图象与性质(原卷版)_2.2025数学总复习_2023年新高考资料_二轮复习_备战2023年高考数学二轮复习专题讲练(新高考版)_专题二三角函数与解三角形
第1讲三角函数的图象与性质(原卷版)_2.2025数学总复习_2023年新高考资料_二轮复习_备战2023年高考数学二轮复习专题讲练(新高考版)_专题二三角函数与解三角形
第1讲三角函数的图象与性质(原卷版)_2.2025数学总复习_2023年新高考资料_二轮复习_备战2023年高考数学二轮复习专题讲练(新高考版)_专题二三角函数与解三角形
第1讲三角函数的图象与性质(原卷版)_2.2025数学总复习_2023年新高考资料_二轮复习_备战2023年高考数学二轮复习专题讲练(新高考版)_专题二三角函数与解三角形
第1讲三角函数的图象与性质(原卷版)_2.2025数学总复习_2023年新高考资料_二轮复习_备战2023年高考数学二轮复习专题讲练(新高考版)_专题二三角函数与解三角形
第1讲三角函数的图象与性质(原卷版)_2.2025数学总复习_2023年新高考资料_二轮复习_备战2023年高考数学二轮复习专题讲练(新高考版)_专题二三角函数与解三角形
第1讲三角函数的图象与性质(原卷版)_2.2025数学总复习_2023年新高考资料_二轮复习_备战2023年高考数学二轮复习专题讲练(新高考版)_专题二三角函数与解三角形
第1讲三角函数的图象与性质(原卷版)_2.2025数学总复习_2023年新高考资料_二轮复习_备战2023年高考数学二轮复习专题讲练(新高考版)_专题二三角函数与解三角形
第1讲三角函数的图象与性质(原卷版)_2.2025数学总复习_2023年新高考资料_二轮复习_备战2023年高考数学二轮复习专题讲练(新高考版)_专题二三角函数与解三角形
第1讲三角函数的图象与性质(原卷版)_2.2025数学总复习_2023年新高考资料_二轮复习_备战2023年高考数学二轮复习专题讲练(新高考版)_专题二三角函数与解三角形
第1讲三角函数的图象与性质(原卷版)_2.2025数学总复习_2023年新高考资料_二轮复习_备战2023年高考数学二轮复习专题讲练(新高考版)_专题二三角函数与解三角形
第1讲三角函数的图象与性质(原卷版)_2.2025数学总复习_2023年新高考资料_二轮复习_备战2023年高考数学二轮复习专题讲练(新高考版)_专题二三角函数与解三角形
第1讲三角函数的图象与性质(原卷版)_2.2025数学总复习_2023年新高考资料_二轮复习_备战2023年高考数学二轮复习专题讲练(新高考版)_专题二三角函数与解三角形
第1讲三角函数的图象与性质(原卷版)_2.2025数学总复习_2023年新高考资料_二轮复习_备战2023年高考数学二轮复习专题讲练(新高考版)_专题二三角函数与解三角形
第1讲三角函数的图象与性质(原卷版)_2.2025数学总复习_2023年新高考资料_二轮复习_备战2023年高考数学二轮复习专题讲练(新高考版)_专题二三角函数与解三角形
第1讲三角函数的图象与性质(原卷版)_2.2025数学总复习_2023年新高考资料_二轮复习_备战2023年高考数学二轮复习专题讲练(新高考版)_专题二三角函数与解三角形
第1讲三角函数的图象与性质(原卷版)_2.2025数学总复习_2023年新高考资料_二轮复习_备战2023年高考数学二轮复习专题讲练(新高考版)_专题二三角函数与解三角形
第1讲三角函数的图象与性质(原卷版)_2.2025数学总复习_2023年新高考资料_二轮复习_备战2023年高考数学二轮复习专题讲练(新高考版)_专题二三角函数与解三角形
第1讲三角函数的图象与性质(原卷版)_2.2025数学总复习_2023年新高考资料_二轮复习_备战2023年高考数学二轮复习专题讲练(新高考版)_专题二三角函数与解三角形

文档信息

文档格式
docx
文档大小
1.441 MB
文档页数
20 页
上传时间
2026-03-25 07:26:06

文档内容

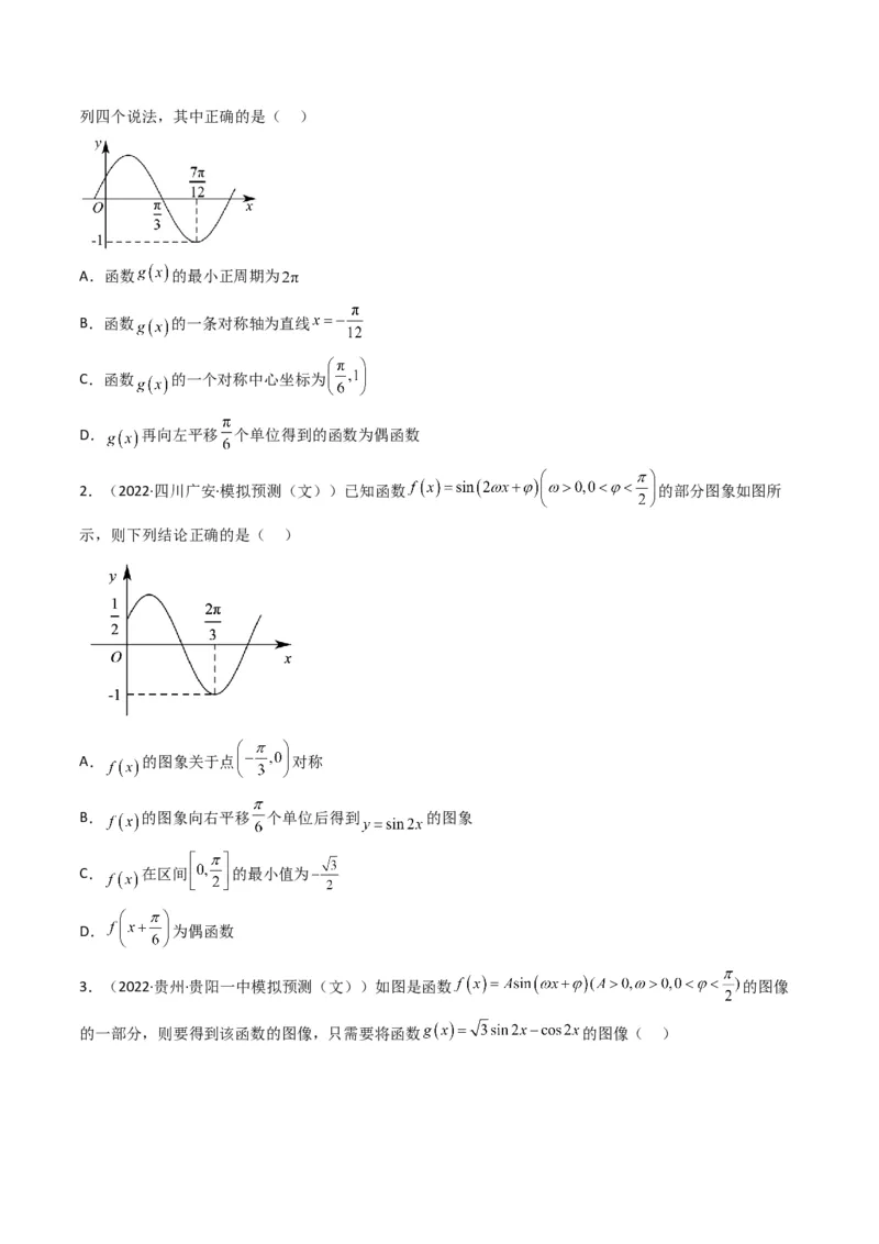
第1讲 三角函数的图象与性质 目录 第一部分:知识强化 第二部分:重难点题型突破 突破一:三角函数的周期性 突破二:三角函数的奇偶性 突破三:三角函数的对称性 突破四:三角函数图象变换 突破五:根据图象求解析式 突破六:五点法作图问题 突破七:和三角函数有关的零点问题 第三部分:冲刺重难点特训 第一部分:知识强化 1、三角函数的周期性 函数 周期 函数 周期 函数 ( ) ( ) ( ) 周期 2、三角函数的奇偶性 三角函数 取何值为奇函数 取何值为偶函数( ) ( ) ( ) ( ) ( ) 3、三角函数的对称性 (1)函数 的图象的对称轴由 ( )解得,对称中心的横坐标由 ( )解得; (2)函数 的图象的对称轴由 ( )解得,对称中心的横坐标由 ( )解得; (3)函数 的图象的对称中心由 )解得. 4、由 的图象变换得到 ( , )的图象的两种方法 (1)先平移后伸缩 (2)先伸缩后平移 5、根据图象求 的解析式 求 解析式 求法 方法一:代数法 方法二:读图法 表示平衡位置; 表示振幅 求法 方法一:图中读出周期 ,利用 求解; 方法二:若无法读出周期,使用特殊点代入解析式但需注意根据具体题意取舍答案.求法 方法一:将最高(低)点代入 求解; 方法二:若无最高(低)点,可使用其他特殊点代入 求解;但需 注意根据具体题意取舍答案. 6、五点法作图 五点法步骤 ③ ① ② 对于复合函数 , 第一步:将 看做一个整体,用五点法作图列表时,分别令 等于 , , , , ,对应的 则取 , , , , 。,(如上表中,先列出序号①②两行) 第二步:逆向解出 (如上表中,序号③行。) 第三步:得到五个关键点为: , , , , 第二部分:重难点题型突破 突破一:三角函数的周期性 1.(2022·广西桂林·模拟预测(文))函数 的最小正周期是( ) A. B. C. D. 2.(2022·陕西咸阳·二模(理))下列四个函数,以 为最小正周期,且在区间 上单调递减的是 ( ) A. B. C. D. 3.(2022·辽宁沈阳·三模)函数 的最小正周期为________. 4.(2022·上海·模拟预测)函数 的周期为___________; 5.(多选)(2022·北京东城·三模)下列函数中最小正周期不是 的周期函数为( ) A. B. C. D.突破二:三角函数的奇偶性 1.(2022·广西·模拟预测(理))若将函数 的图象向右平移 个单位后, 所得图象对应的函数为奇函数,则 的最小值是( ) A. B. C. D. 2.(2022·四川德阳·三模(理))将函数 的图象向左平移 个单位长度 后,所得到的图象对应函数为奇函数,则m的最小值是___________. 3.(2022·山东聊城·一模)若 为奇函数,则 ___________.(填写符合要求的一 个值) 4.(2022·四川泸州·三模(文))下列函数中,定义域为R且周期为π的偶函数是( ) A. B. C. D. 5.(2022·北京·北师大实验中学模拟预测)将函数 的图象向左平移 个单位长度,得 到函数 的图象.若函数 的图象关于原点对称,则 的一个取值为_________. 突破三:三角函数的对称性 1.(2022·江西南昌·高三阶段练习(文))已知函数 的最小值为2,且 的图象关于点 对称,则 的最小值为( ) A. B. C. D. 2.(2022·宁夏·平罗中学高三期中(文))将函数 的图象向左平移 个单位长 度后得到曲线C,若C关于原点O对称,则 的最小值是( ) A. B. C. D. 3.(2022·陕西·武功县教育局教育教学研究室一模(文))已知定义在 上的偶函数 满足 ,则 的一个解析式为 ___________. 4.(2022·江西赣州·高三期中(文))已知函数 图象的一条对称轴为 .若 ,则 的最大______.5.(2022·内蒙古·保康一中高三阶段练习(理))函数 的图象的对称中心为_________ 突破四:三角函数图象变换 1.(2022·贵州·贵阳一中高三阶段练习(文))已知函数 ( , )的相邻 两条对称轴之间的距离为 ,且为奇函数,将 的图象向右平移 个单位得到函数 的图象,则函 数 的图象( ) A.关于点 对称 B.关于点 对称 C.关于直线 对称 D.关于直线 对称 2.(多选)(2022·湖南·宁乡一中高三期中)已知 是偶函数,将 函数 图像上所有点向右平移 个单位得到函数 的图像,则( ) A. 在 的值域为 B. 的图像关于直线 对称 C. 在 有5个零点 D. 的图像关于点 对称 3.(2022·天津·南开中学高三阶段练习)已知函数 将其图象向左平移 个单位得到函数 图象且函数 为偶函数,若 是使变换成立的最小正数,则 ( ) A. B. C. D. 4.(2022·湖南·高三阶段练习)将函数 的图像先向右平移 个单位,再将所得的图像 上每个点的横坐标变为原来的 倍,得到函数 的图像,则 的一个可能取值是______. 5.(2022·重庆市云阳县高阳中学高三阶段练习(理))若 的图象向右平移 个单 位长度得到 的图象,则 的值可以是______.(写出满足条件的一个值即可) 突破五:根据图象求解析式 1.(2022·四川省绵阳南山中学模拟预测(理))函数 的部分图 象如图所示,若将 图象上的所有点向右平移 个单位得到函数 的图象,则关于函数 有下列四个说法,其中正确的是( ) A.函数 的最小正周期为 B.函数 的一条对称轴为直线 C.函数 的一个对称中心坐标为 D. 再向左平移 个单位得到的函数为偶函数 2.(2022·四川广安·模拟预测(文))已知函数 的部分图象如图所 示,则下列结论正确的是( ) A. 的图象关于点 对称 B. 的图象向右平移 个单位后得到 的图象 C. 在区间 的最小值为 D. 为偶函数 3.(2022·贵州·贵阳一中模拟预测(文))如图是函数 的图像 的一部分,则要得到该函数的图像,只需要将函数 的图像( )A.向左平移 个单位长度 B.向右平移 个单位长度 C.向左平移 个单位长度 D.向右平移 个单位长度 4.(2022·山东潍坊·模拟预测)函数 的部分图像如图所示,现将 的图像向左平移 个单位长度,得到函数 的图像,则 的表达式可以为( ) A. B. C. D. 5.(多选)(2022·全国·模拟预测)函数 的部分图像如图所示,则( )A. B. C.函数 在 上单调递增 D.函数 图像的对称轴方程为 6.(多选)(2022·江苏徐州·模拟预测)已知函数 ,若函数 的部分图象如图所示,则关于函数 ,下列结论中正确的是( ) A.函数 的图象关于直线 对称 B.函数 的图象关于点 对称 C.函数 在区间 上的减区间为 D.函数 的图象可由函数 的图象向左平移 个单位长度而得到 突破六:五点法作图问题 1.(2022·全国·高一单元测试)已知函数 .(1)用“五点法”在给定的坐标系中,画出函数 在 上的大致图像,并写出 图像的对称中 心; (2)先将函数 的图像向右平移 个单位长度后,再将得到的图像上各点的横坐标伸长为原来的 倍,纵坐标不变,得到函数 的图像,求 在 上的值域.2.(2022·河北·沧县中学高一阶段练习)已知向量 , , . (1)求函数f(x)的对称中心; (2)利用“五点法”画出函数f(x)在一个周期内的图象.3.(2022·陕西·西北大学附中高一阶段练习)设函数f(x)=sin(2x+φ)(﹣π<φ<0),y=f(x)图象的一条 对称轴是直线x= ,此对称轴相邻的对称中心为( ) (1)求函数y=f(x)的解析式; (2)用五点法画出函数y=f(x)在区间[0,π]上的图象.4.(2022·广东·华南师范大学第二附属中学高一期中)已知函数 , . (1)在用“五点法”作函数 的图象时,列表如下: 0 2 0 0 完成上述表格,并在坐标系中画出函数 在区间 上的图象; (2)求函数 的单调递增区间; (3)求函数 在区间 上的值域.突破七:和三角函数有关的零点问题 1.(2022·湖北·郧阳中学高一阶段练习)已知函数 的最小正周期 . (1)求函数 单调递增区间; (2)若函数 在 上有零点,求实数 的取值范围. 2.(2022·陕西·宝鸡中学高三阶段练习(理))已知向量 ,函数 (1)求函数 的单调增区间; (2)若函数 在区间 上有且仅有两个零点,求实数k的取值范围. 3.(2022·吉林·东北师大附中模拟预测)已知 . (1)求函数 的值域; (2)若方程 在 上的所有实根按从小到大的顺序分别记为 ,求 的值.第三部分:冲刺重难点特训 一、单选题 1.(2022·陕西·渭南市瑞泉中学高三阶段练习(理))函数 零点的个数为( ) A.2 B.3 C.4 D.5 2.(2022·江西赣州·高三期中(理))函数 的部分图象大致为( ) A. B. C. D. 3.(2022·全国·高三阶段练习(理))记函数 的最小正周期为T.若 ,且 的图象在点 处取得最大值,则 的解集是( ) A. B. C. D. 4.(2022·吉林·东北师大附中模拟预测)已知函数 ,现将 的图象向右平移 个单位,再将所得图象上各点的横坐标缩短为原来的 倍,纵坐标不变,得到函数 的图象,则 在 的值域为( ) A. B. C. D. 5.(2022·重庆南开中学高三阶段练习)已知A,B是函数 的图像上的两 个相邻最高点和最低点,且 ,为得到 的图像,只需要将函数 的图像( ) A.向左平移 个单位长度 B.向右平移π个单位长度C.向左平移 个单位长度 D.向右平移3个单位长度 6.(2022·江苏·沭阳县建陵高级中学高三阶段练习)已知函数 ( , ) 的部分图像如图所示,则下列说法正确的是( ) A. B. 图像的对称中心为 , C.直线 是 图像的一条对称轴 D.将 的图像向左平移 个单位长度后,可得到一个偶函数的图像 7.(2022·宁夏·银川一中高三阶段练习(理))函数 的部分图象如 图所示,下列说法不正确的是( ) A.函数 的解析式为 B.函数 的单调递增区间为 C.为了得到函数 的图象,只需将函数 的图象向右平移 个单位长度,再向上平 移一个单位长度 D.函数 的图象关于点 对称 8.(2022·福建龙岩·高三期中)阻尼器是一种以提供运动的阻力,从而达到减振效果的专业工程装置.深圳一高楼平安金融中心的阻尼器减震装置,是亚洲最大的阻尼器,被称为“镇楼神器”,由物理学知识可 知,某阻尼器模型的运动过程可近似为单摆运动,其离开平衡位置的位移s(单位;cm)和时间t(单位: s)的函数关系式为 ,若振幅是2,图像上相邻最高点和最低点的距 离是5,且过点 ,则 和 的值分别为( ) A. B. C. D. 二、多选题 9.(2022·吉林·东北师大附中模拟预测)设函数 的最小正周期为 ,且过点 ,则下列正确的为( ) A. 在 单调递减 B. 的一条对称轴为 C. 的最小正周期为 D.把函数 的图像向左平移 个长度单位得到函数 的解析式为 10.(2022·吉林·东北师大附中模拟预测)将函数 的图象向左平移 个单位长度,向下 平移 个单位长度后,得到 的图象,若对于任意的实数 , 都单调递增,则正数 的 值可能为( ) A.3 B. C. D. 11.(2022·福建宁德·高三期中)声音是由物体振动产生的声波,其中包含着正弦函数,纯音的数学模型 是函数 ,我们听到的声音是由纯音合成的,称之为复合音,若一个复合音的数学模型函数f (x),其图象是由 的图象向右平移 个单位长度,再把所得图象各点的横坐标缩短到 原来的 倍,再把所得图象各点的纵坐标伸长到原来的2倍而得到,若 ,则下列结论正确 的是( ) A. 的图像关于点( ,0)中心对称 B.f(x)在 单调递减C.若一个奇函数的图象向左平移 个单位长度后,可得f(x)的图象,则n的最小值为 D.若 在 有解,则k的取值范围是 12.(2022·广东·华南师大附中南海实验高中高三阶段练习)已知函数 ( , , )的部分图像如图所示,下列说法正确的是( ) A. 的图像关于点 对称 B. 的图像关于直线 对称 C.将函数 的图像向左平移 个单位长度得到函数 的图像 D.若方程 在 上有两个不相等的实数根,则 的取值范围是 三、填空题 13.(2022·吉林·东北师大附中模拟预测)已知函数 ,若关于x的方程 在 上有三个不同的实根,则实数m的取值范围是_________. 14.(2022·全国·高三专题练习)已知函数 ,将 的图象上所有点沿x轴平移 个单位长度,得到函数 的图象,且函数 为偶函数,当θ最小时,函数h(x)=2cos(πx -θ)的单调递减区间为________. 四、解答题15.(2022·上海南汇中学高三期中)已知函数 的相邻两 对称轴间的距离为 . (1)求 的解析式; (2)将函数 的图像向右平移 个单位长度,再把各点的横坐标缩小为原来的 (纵坐标不变),得到函 数 的图像,当 时,求函数 的值域; (3)设 ,记方程 在 上的根从小到大依次为 ,若 ,试求 与 的值. 16.(2022·广东广雅中学高一期末)设函数 ,将该函数的图 象向左平移 个单位长度后得到函数 的图象,函数 的图象关于y轴对称. (1)求 的值,并在给定的坐标系内,用“五点法”列表并画出函数 在一个周期内的图象; (2)求函数 的单调递增区间;(3)设关于x的方程 在区间 上有两个不相等的实数根,求实数m 的取值范围.