当前位置:首页>文档>第28节圆的方程、直线与圆、圆与圆的位置关系(解析版)_2.2025数学总复习_赠品通用版(老高考)复习资料_一轮复习_备战2023年高考数学一轮复习考点帮(全国通用)

第28节圆的方程、直线与圆、圆与圆的位置关系(解析版)_2.2025数学总复习_赠品通用版(老高考)复习资料_一轮复习_备战2023年高考数学一轮复习考点帮(全国通用)

  • 2026-04-18 23:57:36 2026-03-25 12:37:32

文档预览

第28节圆的方程、直线与圆、圆与圆的位置关系(解析版)_2.2025数学总复习_赠品通用版(老高考)复习资料_一轮复习_备战2023年高考数学一轮复习考点帮(全国通用)
第28节圆的方程、直线与圆、圆与圆的位置关系(解析版)_2.2025数学总复习_赠品通用版(老高考)复习资料_一轮复习_备战2023年高考数学一轮复习考点帮(全国通用)
第28节圆的方程、直线与圆、圆与圆的位置关系(解析版)_2.2025数学总复习_赠品通用版(老高考)复习资料_一轮复习_备战2023年高考数学一轮复习考点帮(全国通用)
第28节圆的方程、直线与圆、圆与圆的位置关系(解析版)_2.2025数学总复习_赠品通用版(老高考)复习资料_一轮复习_备战2023年高考数学一轮复习考点帮(全国通用)
第28节圆的方程、直线与圆、圆与圆的位置关系(解析版)_2.2025数学总复习_赠品通用版(老高考)复习资料_一轮复习_备战2023年高考数学一轮复习考点帮(全国通用)
第28节圆的方程、直线与圆、圆与圆的位置关系(解析版)_2.2025数学总复习_赠品通用版(老高考)复习资料_一轮复习_备战2023年高考数学一轮复习考点帮(全国通用)
第28节圆的方程、直线与圆、圆与圆的位置关系(解析版)_2.2025数学总复习_赠品通用版(老高考)复习资料_一轮复习_备战2023年高考数学一轮复习考点帮(全国通用)
第28节圆的方程、直线与圆、圆与圆的位置关系(解析版)_2.2025数学总复习_赠品通用版(老高考)复习资料_一轮复习_备战2023年高考数学一轮复习考点帮(全国通用)
第28节圆的方程、直线与圆、圆与圆的位置关系(解析版)_2.2025数学总复习_赠品通用版(老高考)复习资料_一轮复习_备战2023年高考数学一轮复习考点帮(全国通用)
第28节圆的方程、直线与圆、圆与圆的位置关系(解析版)_2.2025数学总复习_赠品通用版(老高考)复习资料_一轮复习_备战2023年高考数学一轮复习考点帮(全国通用)
第28节圆的方程、直线与圆、圆与圆的位置关系(解析版)_2.2025数学总复习_赠品通用版(老高考)复习资料_一轮复习_备战2023年高考数学一轮复习考点帮(全国通用)
第28节圆的方程、直线与圆、圆与圆的位置关系(解析版)_2.2025数学总复习_赠品通用版(老高考)复习资料_一轮复习_备战2023年高考数学一轮复习考点帮(全国通用)
第28节圆的方程、直线与圆、圆与圆的位置关系(解析版)_2.2025数学总复习_赠品通用版(老高考)复习资料_一轮复习_备战2023年高考数学一轮复习考点帮(全国通用)
第28节圆的方程、直线与圆、圆与圆的位置关系(解析版)_2.2025数学总复习_赠品通用版(老高考)复习资料_一轮复习_备战2023年高考数学一轮复习考点帮(全国通用)
第28节圆的方程、直线与圆、圆与圆的位置关系(解析版)_2.2025数学总复习_赠品通用版(老高考)复习资料_一轮复习_备战2023年高考数学一轮复习考点帮(全国通用)
第28节圆的方程、直线与圆、圆与圆的位置关系(解析版)_2.2025数学总复习_赠品通用版(老高考)复习资料_一轮复习_备战2023年高考数学一轮复习考点帮(全国通用)
第28节圆的方程、直线与圆、圆与圆的位置关系(解析版)_2.2025数学总复习_赠品通用版(老高考)复习资料_一轮复习_备战2023年高考数学一轮复习考点帮(全国通用)
第28节圆的方程、直线与圆、圆与圆的位置关系(解析版)_2.2025数学总复习_赠品通用版(老高考)复习资料_一轮复习_备战2023年高考数学一轮复习考点帮(全国通用)
第28节圆的方程、直线与圆、圆与圆的位置关系(解析版)_2.2025数学总复习_赠品通用版(老高考)复习资料_一轮复习_备战2023年高考数学一轮复习考点帮(全国通用)
第28节圆的方程、直线与圆、圆与圆的位置关系(解析版)_2.2025数学总复习_赠品通用版(老高考)复习资料_一轮复习_备战2023年高考数学一轮复习考点帮(全国通用)
第28节圆的方程、直线与圆、圆与圆的位置关系(解析版)_2.2025数学总复习_赠品通用版(老高考)复习资料_一轮复习_备战2023年高考数学一轮复习考点帮(全国通用)
第28节圆的方程、直线与圆、圆与圆的位置关系(解析版)_2.2025数学总复习_赠品通用版(老高考)复习资料_一轮复习_备战2023年高考数学一轮复习考点帮(全国通用)
第28节圆的方程、直线与圆、圆与圆的位置关系(解析版)_2.2025数学总复习_赠品通用版(老高考)复习资料_一轮复习_备战2023年高考数学一轮复习考点帮(全国通用)
第28节圆的方程、直线与圆、圆与圆的位置关系(解析版)_2.2025数学总复习_赠品通用版(老高考)复习资料_一轮复习_备战2023年高考数学一轮复习考点帮(全国通用)
第28节圆的方程、直线与圆、圆与圆的位置关系(解析版)_2.2025数学总复习_赠品通用版(老高考)复习资料_一轮复习_备战2023年高考数学一轮复习考点帮(全国通用)
第28节圆的方程、直线与圆、圆与圆的位置关系(解析版)_2.2025数学总复习_赠品通用版(老高考)复习资料_一轮复习_备战2023年高考数学一轮复习考点帮(全国通用)

文档信息

文档格式
docx
文档大小
1.387 MB
文档页数
26 页
上传时间
2026-03-25 12:37:32

文档内容

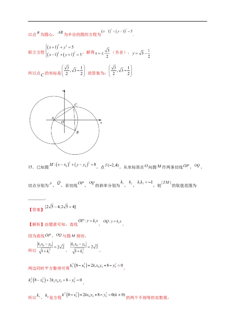
第 28 节 圆的方程、直线与圆、圆与圆的位置关系 基础知识要夯实 1.圆的定义和圆的方程 定义 平面内到定点的距离等于定长的点的轨迹叫做圆 标 圆心C(a,b) (x-a)2+(y-b)2=r2(r>0) 准 半径为r 方 (D2+E2-4F>0) 程 一 充要条件: D 2 + E 2 - 4 F > 0 x2+y2+Dx+Ey+F=0 般 圆心坐标: 半径r= 2.点与圆的位置关系 平面上的一点M(x ,y )与圆C:(x-a)2+(y-b)2=r2之间存在着下列关系: 0 0 (1)|MC|>r M在圆外,即(x -a)2+(y -b)2>r2 M在圆外; 0 0 (2)|MC|=r M在圆上,即(x -a)2+(y -b)2=r2 M在圆上; ⇔ 0 0 ⇔ (3)|MC|<r M在圆内,即(x -a)2+(y -b)2<r2 M在圆内. ⇔ 0 0 ⇔ 3.直线与圆的位置关系 ⇔ ⇔ 设圆C:(x-a)2+(y-b)2=r2,直线l:Ax+By+C=0,圆心C(a,b)到直线l的距离为 d,由 消去y(或x),得到关于x(或y)的一元二次方程,其判别式为Δ. 位置关系 相离 相切 相交 图形 方程观点 Δ<0 Δ=0 Δ>0 量化 几何观点 d>r d=r d0),则解得D=- 2,E=0,F=0,故圆的方程为x2+y2-2x=0. 法二 设O(0,0),A(1,1),B(2,0),则 k =1,k =-1,所以 k ·k =-1,即 OA AB OA AB OA⊥AB,所以△OAB是以角A为直角的直角三角形,则线段 BO是所求圆的直径,则 圆心为C(1,0),半径r=|OB|=1,圆的方程为(x-1)2+y2=1,即x2+y2-2x=0. 2.已知圆C的圆心在直线x+y=0上,圆C与直线x-y=0相切,且截直线x-y-3=0 所得的弦长为,则圆C的方程为________. 【答案】(x-1)2+(y+1)2=2 【解析】法一 ∵所求圆的圆心在直线x+y=0上, ∴可设所求圆的圆心为(a,-a).∵所求圆与直线x-y=0相切,∴半径r==|a|. 又所求圆截直线x-y-3=0所得的弦长为,圆心(a,-a)到直线x-y-3=0的距离d =, ∴d2+=r2,即+=2a2,解得a=1, ∴圆C的方程为(x-1)2+(y+1)2=2. 法二 设所求圆的方程为(x-a)2+(y-b)2=r2(r>0), 则圆心(a,b)到直线x-y-3=0的距离d=, ∴r2=+,即2r2=(a-b-3)2+3.① ∵所求圆与直线x-y=0相切,∴=r.② 又∵圆心在直线x+y=0上,∴a+b=0.③ 联立①②③,解得 故圆C的方程为(x-1)2+(y+1)2=2. 3.(2021·兰州、张掖重点中学联考)设A(2,-1),B(4,1),则以线段AB为直径的圆的 方程为( ) A.(x-3)2+y2=2 B.(x-3)2+y2=8 C.(x+3)2+y2=2 D.(x+3)2+y2=8 【答案】A 【解析】因为A(2,-1),B(4,1),所以由中点坐标公式可得线段 AB的中点坐标为 (3,0),即圆心为(3,0),又半径r=|AB|==,所以所求圆的方程为(x-3)2+y2=2,故 选A. 4.(2021·郑州二模)圆(x+2)2+(y-12)2=4关于直线x-y+8=0对称的圆的方程为( ) A.(x+3)2+(y+2)2=4 B.(x+4)2+(y-6)2=4 C.(x-4)2+(y-6)2=4 D.(x+6)2+(y+4)2=4 【答案】C 【解析】设对称圆的圆心为(m,n), 则解得所以所求圆的圆心为(4,6), 故所求圆的方程为(x-4)2+(y-6)2=4,故选C. 考点二 与圆有关的轨迹问题 【例2】已知Rt ABC的斜边为AB,且A(-1,0),B(3,0),求: (1)直角顶点C的轨迹方程; △(2)直角边BC的中点M的轨迹方程. 【解析】(1)法一 设C(x,y),因为A,B,C三点不共线,所以y≠0. 因为AC⊥BC,且BC,AC斜率均存在,所以k ·k =-1, AC BC 又k =,k =,所以·=-1, AC BC 化简得x2+y2-2x-3=0. 因此,直角顶点C的轨迹方程为x2+y2-2x-3=0(y≠0). 法二 设AB的中点为D,由中点坐标公式得D(1,0),由直角三角形的性质知|CD|=| AB|=2.由圆的定义知,动点C的轨迹是以D(1,0)为圆心,2为半径的圆(由于A,B, C三点不共线,所以应除去与x轴的交点). 所以直角顶点C的轨迹方程为(x-1)2+y2=4(y≠0). (2)设M(x,y),C(x ,y ),因为 B(3,0),M是线段 BC的中点,由中点坐标公式得 x 0 0 =,y=, 所以x =2x-3,y =2y. 0 0 由(1)知,点C的轨迹方程为(x-1)2+y2=4(y≠0), 将x =2x-3,y =2y代入得(2x-4)2+(2y)2=4, 0 0 即(x-2)2+y2=1. 因此动点M的轨迹方程为(x-2)2+y2=1(y≠0). 【方法技巧】 求与圆有关的轨迹问题时,根据题设条件的不同常采用以下方法: (1)直接法,直接根据题目提供的条件列出方程; (2)定义法,根据圆、直线等定义列方程; (3)几何法,利用圆的几何性质列方程; (4)代入法,找到要求点与已知点的关系,代入已知点满足的关系式等. 【跟踪训练】 1.设定点M(-3,4),动点N在圆x2+y2=4上运动,以OM,ON为邻边作平行四边形 MONP,求点P的轨迹方程. 【解析】如图,设P(x,y),N(x ,y ), 0 0则线段OP的中点坐标为, 线段MN的中点坐标为 . 因为平行四边形的对角线互相平分, 所以=,=, 整理得 又点N(x ,y )在圆x2+y2=4上, 0 0 所以(x+3)2+(y-4)2=4. 所以点P的轨迹是以(-3,4)为圆心,2为半径的圆, 直线OM与轨迹相交于两点和,不符合题意,舍去, 所以点P的轨迹为(x+3)2+(y-4)2=4,除去两点和. 考点三 直线与圆的位置关系 1.若直线x-y+1=0与圆(x-a)2+y2=2有公共点,则实数a的取值范围是( ) A.[-3,-1] B.[-1,3] C.[-3,1] D.(-∞,-3]∪[1,+∞) 【答案】C 【解析】由题意可得,圆的圆心为(a,0),半径为, ∴≤,即|a+1|≤2,解得-3≤a≤1. 2.(2022·衡水模拟)直线l:mx-y+1-m=0与圆C:x2+(y-1)2=5的位置关系是( ) A.相交 B.相切 C.相离 D.不确定 【答案】A 【解析】法一 (代数法)由消去y,整理得(1+m2)x2-2m2x+m2-5=0,因为Δ=16m2 +20>0,所以直线l与圆相交. 法二 (几何法)由题意知,圆心(0,1)到直线l的距离d=<1<,故直线l与圆相交. 法三 易得直线l过定点(1,1). 把点(1,1)代入圆的方程有1+0<,∴点(1,1)在圆的内部,故直线l与圆C相交.3.“a=3”是“直线y=x+4与圆(x-a)2+(y-3)2=8相切”的( ) A.充分不必要条件 B.必要不充分条件 C.充要条件 D.既不充分也不必要条件 【答案】A 【解析】若直线y=x+4与圆(x-a)2+(y-3)2=8相切,则有=2,即|a+1|=4,所以a =3或-5. 但当a=3时,直线y=x+4与圆(x-a)2+(y-3)2=8一定相切,故“a=3”是“直线y= x+4与圆(x-a)2+(y-3)2=8相切”的充分不必要条件. 【方法技巧】判断直线与圆的位置关系的常见方法 (1)几何法:利用d与r的关系. (2)代数法:联立方程之后利用Δ判断. (3)点与圆的位置关系法:若直线恒过定点且定点在圆内,可判断直线与圆相交. 上述方法中最常用的是几何法,点与圆的位置关系法适用于动直线问题. 考点四 圆的弦长问题 【例4】(1)(2021·济南调研)已知圆C:(x-1)2+(y+1)2=1与直线kx+y+1=0相交于 A,B两点,若△CAB为等边三角形,则k的值为( ) A.± B.±2 C.± D.± (2)(2020·河南名校联考)设圆x2+y2-2x-2y-2=0的圆心为C,直线l过(0,3),且与 圆C交于A,B两点,若|AB|=2,则直线l的方程为( ) A.3x+4y-12=0或4x-3y+9=0 B.3x-4y+12=0或4x+3y+9=0 C.4x-3y+9=0或x=0 D.3x+4y-12=0或x=0 【答案】(1)A (2)D 【解析】(1)圆C:(x-1)2+(y+1)2=1的圆心为C(1,-1),半径为1,故|CB|=|CA|= 1,又△CAB为等边三角形,所以点 C到直线kx+y+1=0的距离为,即=,解得k= ±,故选A. (2)当直线l的斜率不存在时,直线l的方程为x=0,由得或 ∴|AB|=2,符合题意. 当直线l的斜率存在时,设直线l的方程为y=kx+3,由已知可得圆的标准方程为(x- 1)2+(y-1)2=4,其圆心为C(1,1),半径r=2,∴圆心C(1,1)到直线kx-y+3=0的距离d==,∵d2=r2-,∴=4-,即(k+2)2=k2+1,解得k=-,∴直线l的方程为y =-x+3,即3x+4y-12=0.综上,满足题意的直线 l的方程为x=0或3x+4y-12= 0,故选D. 【方法技巧】弦长的两种求法 (1)代数方法:将直线和圆的方程联立方程组,消元后得到一个一元二次方程.在判别式 Δ>0的前提下,利用根与系数的关系,根据弦长公式求弦长. (2)几何方法:若弦心距为d,圆的半径长为r,则弦长l=2. 【跟踪训练】 1.过圆C:(x-1)2+y2=1外一点P作圆C的两条切线,切点分别为A,B.若△PAB为等 边三角形,则过D(2,1)的直线l被P点轨迹所截得的最短弦长为________. 【答案】2 【解析】由题意知C(1,0),连接PC,因为△PAB为等边三角形,所以∠APC=30°,所 以|CP|==2,所以P 点轨迹的方程为(x-1)2+y2=4.因为(2-1)2+12=2<4,所以点 D(2,1)在圆(x-1)2+y2=4的内部.连接CD,结合图形可知,当l与CD垂直时,l被圆 (x-1)2+y2=4所截得的弦长最短,最短弦长为2=2=2. 考点五 圆的切线问题 【例5】(1)(经典母题)过点P(2,4)引圆C:(x-1)2+(y-1)2=1的切线,则切线方程为 ________. (2)点P为射线x=2(y≥0)上一点,过P作圆x2+y2=3的两条切线,若两条切线的夹角 为90°,则点P的坐标为( ) A.(2,1) B.(2,2) C.(2,) D.(2,0) 【答案】(1)x=2或4x-3y+4=0 (2)C 【解析】(1)当直线的斜率不存在时,直线方程为x=2,此时,圆心到直线的距离等于 半径,直线与圆相切,符合题意;当直线的斜率存在时,设直线方程为 y-4=k(x- 2),即kx-y+4-2k=0,∵直线与圆相切,∴圆心到直线的距离等于半径,即d== =1, 解得k=, ∴所求切线方程为x-y+4-2×=0, 即4x-3y+4=0.综上,切线方程为x=2或4x-3y+4=0. (2)如图所示. 设切点为A,B,则OA⊥AP,OB⊥BP,OA=OB,AP=BP,AP⊥BP, 故四边形OAPB为正方形, 则|OP|=, 又x =2,则P(2,). P 【方法技巧】求过某点的圆的切线问题时,应首先确定点与圆的位置关系,再求切线 方程.若点在圆上(即为切点),则过该点的切线只有一条;若点在圆外,则过该点的切 线有两条,此时注意斜率不存在的切线. 【跟踪训练】 1.(2022·马鞍山二模)在平面直角坐标系xOy中,若圆C:(x-3)2+(y-a)2=4上存在两 点A,B满足∠AOB=60°,则实数a的最大值是( ) A.5 B.3 C. D.2 【答案】C 【解析】根据题意,圆C的圆心(3,a)在直线x=3上, 分析可得,当圆心距离x轴的距离越远,∠AOB越小. 如图:当a>0时,圆心C在x轴上方,若OA,OB为圆的切线且∠AOB=60°,此时a 取得最大值,此时∠AOC=30°, 有|OC|=2|AC|=4,即(3-0)2+(a-0)2=16, 解得a=,故实数a的最大值是,故选C. 考点六 圆与圆的位置关系【例6】已知两圆C :x2+y2-2x-6y-1=0和C :x2+y2-10x-12y+45=0. 1 2 (1)求证:圆C 和圆C 相交; 1 2 (2)求圆C 和圆C 的公共弦所在直线的方程和公共弦长. 1 2 【解析】(1)证明 圆C 的圆心C (1,3),半径r =,圆C 的圆心C (5,6),半径r = 1 1 1 2 2 2 4,两圆圆心距d=|C C |=5,r +r =+4,|r -r |=4-,所以|r -r |3,所以两圆的位置关系是外离,故两圆的公切线共有4条.故选D. 达标检测要扎实 1.已知圆 与直线 至少有一个公共点,则 的取值范围为( )A. B. C. D. 【答案】C 【解析】圆心 到直线 的距离 ,当且仅当 时等号成立,故只需 即可.故选:C 2.若点 在圆 的外部,则实数 的取值范围是( ) A. B. C. D. 【答案】C 【解析】由题意得 ,解得 ,故选:C. 3.两圆 与 的公切线有( ) A. 条 B. 条 C. 条 D. 条 【答案】C 【解析】由 , , 可得 , ; , , , 故两圆相外切,共有 条公切线,故选:C. 4.圆 关于直线l: 对称的圆的方程为( ) A. B. C. D. 【答案】A 【解析】圆 的圆心为 ,半径 ,设圆心 关于直线对称的点的坐标为 , 则 ,解得 ,即圆 关于直线 对称的圆的圆 心为 ,半径 , 所以对称圆的方程为 ;故选:A 5.过圆 内一点 作一弦交圆于 、 两点,过点 、 分别作圆的切线 、 ,两切线交于点 ,则点 的轨迹方程为( ) A. B. C. D. 【答案】C 【解析】设 点坐标为 , 根据圆的直径式方程知,以 为直径的圆的方程为 , 两圆方程作差可得公共弦 的方程为 , 而 在直线 上, , 故点 的轨迹方程为 ,故选:C. 6.过点 作圆 的最短弦,延长该弦与 轴、 轴分别交于 两点,则 的面积为( ) A.2 B.3 C.4 D.5 【答案】B 【解析】依题意,点 ,由圆的性质可知,过点 且垂直PM的直线l截得的弦长最短.而 ,所以直线l的斜率为1,即方程为: ,即 . 所以直线l与 轴、 轴分别交于 , 故 底边 ,高 ,即面积为 .故选:B. 7.已知 , ,圆 : ( ),若圆 上存在点 ,使 ,则圆 的半径 的范围是( ) A. B. C. D. 【答案】A 【解析】设 ,则 , , ∵ ,即 , ∴ ,即 在以原点为圆心,半径为1的圆上, 而圆 的圆心为 ,半径为R, ∴圆 上存在点 ,即圆 与 有交点, ∴ .故选:A 8. 为 上一点, 为直线 上一点,则线段 长度的最小 值为( ) A. B. C. D. 【答案】A 【解析】圆 的标准方程为 ,圆心为 ,半径 , 则圆心 到直线 的距离为 ,所以圆 上的点 到直线 上的点 的最小距离 , 故选:A. 9.已知圆C:x2+(y﹣2)2=r2与直线x﹣y=0交于A,B两点,若以弦AB为直径的圆刚好经过已 知圆的圆心C,则圆C的半径r的值为( ) A.1 B. C.2 D.4 【答案】C 【解析】由题意,AC⊥BC,则C(0,2)到直线x﹣y=0的距离 , 则 ,即r=2.故选:C 10.已知圆 ,圆 , , 分别为圆 和圆 上的 动点, 为直线 上的动点,则 的最小值为( ) A. B. C. D. 【答案】A 【解析】圆 ,即 ,圆心为 ,半径 , 圆 ,即 ,圆心为 ,半径 , 设点 关于直线 对称的点为 则 ,解得: , 圆 关于直线 对称的圆为圆 ,其圆心为 ,半径 ,则其方程为 ,设圆 上的点 与圆 上点 对称,则有 , 原问题可以转化为 到圆 和圆 上的动点距离之和最小值问题, 连接 ,与直线 交于点 ,此时点 是满足 最小的点, 此时 ,即 的最小值为 ,故选:A. 11.如果复数z满足 ,那么 的最大值是( ) A. B. C. D. 【答案】A 【解析】复数 满足 ,表示以 为圆心,2为半径的圆. 表示圆上的点与点 的距离. . 的最大值是 .故选:A. 12.已知圆 , ,则这两圆的公共弦长为( ) A.4 B. C.2 D.1 【答案】C【解析】由题意知 , ,将两圆的方程相减,得 ,所以两圆的公共弦所在直线的方程为 . 又因为圆 的圆心为 ,半径 ,所以圆 的圆心到直线 的距离 .所以这两圆的公共弦的弦长为 . 故选:C. 二、填空题 13.圆 与圆 内切,则 的值为______. 【答案】 或 【解析】圆 的圆心为 ,半径为 , 圆 的圆心为 ,半径为 , 所以两圆的圆心距 , 又因为两圆内切,有 , 解得 或 .故答案为: 或 . 14.已知平面直角坐标系中, ,若 是等边三角形的顶点,且依次按逆时针方 向排列,则点 的坐标是___________. 【答案】 【解析】如图,分别以点 为圆心, 为半径作圆,两圆在第一象限的交点即为所求的点 .因 为 , 所以以点 为圆心, 为半径的圆的方程为 ;以点 为圆心, 为半径的圆的方程为 . 联立方程 ,解得 (负舍), 所以点 的坐标是 故答案为: 15.已知圆 ,点 ,从坐标原点 向圆 作两条切线 , , 切点分别为 , ,若切线 , 的斜率分别为 , , ,则 的取值范围为 ________. 【答案】 【解析】由题意可知,直线 , , 因为直线 , 与圆 相切, 所以 , , 两边同时平方整理可得 , , 所以 , 是方程 的两个不相等的实数根,所以 .又 , 所以 ,即 .又 , 所以 , 即 . 故答案为: 16.已知圆的方程为 ,设该圆过点 的最长弦和最短弦分别为 和 , 则四边形 的面积为__________. 【答案】 【解析】由圆的方程为 , 得最长的弦为圆的直径等于 , 圆心 与点 的距离 , 根据勾股定理得最短的弦长为 , 四边形 的面积 . 故答案为: . 三、解答题17.已知圆 过点 , ,且点 关于直线 的对称点 仍在圆 上. (1)求圆 的方程; (2)设 是圆 上任意一点 , , 求 的最大值和最 小值. 【解析】(1)因为 关于直线 的对称点 仍在圆 上, 所以直线 经过圆心, 设圆心坐标为 , 又 圆 过点 , , , 解得 , 圆心坐标为 ,半径为2, 圆 的方程为 ; (2)设 点坐标为 ,则: , , , , , 当 , 有最大值88;当 , 有最小值72. 18.已知 , , . (1)求点 到直线 的距离; (2)求 的外接圆的方程. 【解析】(1) , 由 得直线 的方程为 .所以点 到直线 的距离 (2)设 外接圆的方程为 , 由题意,得 解得 即 的外接圆的方程为 . 19.最近国际局势波云诡谲,我国在某岛(如图(1))上进行军事演练,如图(2), 是三 个军事基地, 为一个军事要塞.已知 km, 到 的距离分别为 km, km. (1)求两个军事基地 的长; (2)若要塞 正北方向距离要塞20km处有一 城中心正在进行爆破试验,爆炸波生成th时的半 径为 ( 为大于零的常数),爆炸波开始生成时,一军事卡车以 km/h的速度自基地 开往 基地 ,问实数 在什么范围取值时,爆炸波不会波及到卡车的行驶. 【解析】(1)以点 为坐标原点,直线 为 轴,建立直角坐标系如图所示.则由题设得: ,直线 的方程为 , , 由 ,及 解得 , . 直线 的方程为 ,即 , 由 得 即 , , 即基地 的长为 . (2)设爆炸产生的爆炸波圆 , 由题意可得 ,生成 小时时,卡车在线段 上的点 处,则 , , . 爆炸波不会波及卡车的通行即 对 恒成立. ,即 当 时,上式恒成立, 当 时即 , ,令 ,,当且仅当 ,即 时等 号成立, 所以,在 时 恒成立,亦即爆炸波不会波及卡车的通行. 20.已知直线 与圆 交于 两点. (1)求出直线 恒过定点的坐标 (2)求直线 的斜率的取值范围 (3)若 为坐标原点,直线 的斜率分别为 ,试问 是否为定值?若是,求出该 定值:若不是,请说明理由. 【解析】(1)将直线 方程整理为: , 令 ,解得: , 直线 恒过定点 ; (2)设直线 斜率为 ,由(1)可知:直线 方程可设为: ,即 ; 圆 方程可整理为 ,则其圆心 ,半径 , 直线 与圆 交于 两点, 圆心 到直线 距离 , 即 ,解得: ,即直线 斜率的取值范围为 ; (3)设 , 当 时, 与圆 仅有一个交点,不合题意, , 则直线 , 可设直线 方程为 , 由 得: ,由(2)知: ; , ,, 为定值 . 21.已知圆C经过 三点. (1)求圆C的方程; (2)设点A在圆C上运动,点 ,且点M满足 ,记点M的轨迹为 . ①求 的方程; ②试探究:在直线 上是否存在定点T(异于原点O),使得对于 上任意一点P,都有 为 一常数,若存在,求出所有满足条件的点T的坐标,若不存在,说明理由. 【解析】(1)设圆C的方程为 ,将三点 分别代入得 , 解得 , 所以圆C的方程为 ; (2)①设 ,则: , ∴ , ∴ , ∵点A在圆C上运动,∴ , 即:∴ ∴ ,所以点M的轨迹方程为 , 它是一个以 为圆心,以1为半径的圆; ②假设存在一点 满足 (其中 为常数), 设 ,则: , 整理化简得: , ∵P在轨迹 上, ∴ , 化简得: , 所以 , 整理得 , ∴ , 解得: ; ∴存在 满足题目条件. 22.已知 , 为 上三点.(1)求 的值; (2)若直线 过点(0,2),求 面积的最大值; (3)若 为曲线 上的动点,且 ,试问直线 和直线 的 斜率之积是否为定值?若是,求出该定值;若不是,说明理由. 【解析】(1)∵ 为圆 上, 所以 ∴ (2)由题意知直线 的斜率存在,设直线 的方程为 , , 将 代人 得, 所以 令 ,则 , 当 ,即 时 面积取得最大值 (3)设直线 和直线 的斜率之积为 设 , , 则 ①,因为 , 为圆 上,所以 , 化简得 整理得 ② 因为 ,所以 从而 ,又因为 为曲线 的动点 所以 展开得 将①代入得 化简得 将②代人得 ,整理得 ,因为 所以 从而 又 所以