当前位置:首页>文档>第31讲统计与统计模型(讲义)-2023年高考一轮复习精讲精练必备_2.2025数学总复习_2023年新高考资料_一轮复习_2023年高考数学一轮复习精讲精练(新高考专用)

第31讲统计与统计模型(讲义)-2023年高考一轮复习精讲精练必备_2.2025数学总复习_2023年新高考资料_一轮复习_2023年高考数学一轮复习精讲精练(新高考专用)

  • 2026-04-04 06:05:55 2026-03-25 15:26:10

文档预览

第31讲统计与统计模型(讲义)-2023年高考一轮复习精讲精练必备_2.2025数学总复习_2023年新高考资料_一轮复习_2023年高考数学一轮复习精讲精练(新高考专用)
第31讲统计与统计模型(讲义)-2023年高考一轮复习精讲精练必备_2.2025数学总复习_2023年新高考资料_一轮复习_2023年高考数学一轮复习精讲精练(新高考专用)
第31讲统计与统计模型(讲义)-2023年高考一轮复习精讲精练必备_2.2025数学总复习_2023年新高考资料_一轮复习_2023年高考数学一轮复习精讲精练(新高考专用)
第31讲统计与统计模型(讲义)-2023年高考一轮复习精讲精练必备_2.2025数学总复习_2023年新高考资料_一轮复习_2023年高考数学一轮复习精讲精练(新高考专用)
第31讲统计与统计模型(讲义)-2023年高考一轮复习精讲精练必备_2.2025数学总复习_2023年新高考资料_一轮复习_2023年高考数学一轮复习精讲精练(新高考专用)
第31讲统计与统计模型(讲义)-2023年高考一轮复习精讲精练必备_2.2025数学总复习_2023年新高考资料_一轮复习_2023年高考数学一轮复习精讲精练(新高考专用)
第31讲统计与统计模型(讲义)-2023年高考一轮复习精讲精练必备_2.2025数学总复习_2023年新高考资料_一轮复习_2023年高考数学一轮复习精讲精练(新高考专用)
第31讲统计与统计模型(讲义)-2023年高考一轮复习精讲精练必备_2.2025数学总复习_2023年新高考资料_一轮复习_2023年高考数学一轮复习精讲精练(新高考专用)
第31讲统计与统计模型(讲义)-2023年高考一轮复习精讲精练必备_2.2025数学总复习_2023年新高考资料_一轮复习_2023年高考数学一轮复习精讲精练(新高考专用)
第31讲统计与统计模型(讲义)-2023年高考一轮复习精讲精练必备_2.2025数学总复习_2023年新高考资料_一轮复习_2023年高考数学一轮复习精讲精练(新高考专用)

文档信息

文档格式
docx
文档大小
0.547 MB
文档页数
10 页
上传时间
2026-03-25 15:26:10

文档内容

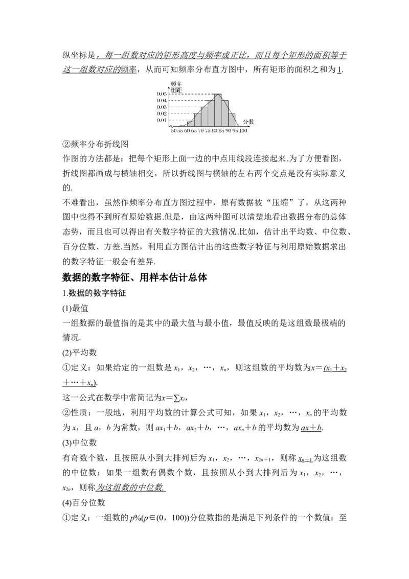
第 31 讲 统计与统计模型 学校____________ 姓名____________ 班级____________ 一、知识梳理 数据的收集与直观表示 1.总体、个体、样本与样本容量 考察问题涉及的对象全体是总体,总体中每个对象是个体,抽取的部分对象组 成总体的一个样本,一个样本中包含的个体数目是样本容量. 2.普查与抽样调查 (1)普查:一般地,对总体中每个个体都进行考察的方法称为普查(也称为全面 调查). (2)抽样调查:只抽取样本进行考察的方法称为抽样调查. 3.简单随机抽样 (1)定义:一般地,简单随机抽样(也称为纯随机抽样)就是从总体中不加任何分 组、划类、排队等,完全随机地抽取个体. (2)两种常用方法:抽签法,随机数表法. 4.分层抽样 一般地,如果相对于要考察的问题来说,总体可以分成有明显差别的、互不重 叠的几部分时,每一部分可称为层,在各层中按层在总体中所占比例进行随机 抽样的方法称为分层随机抽样(简称为分层抽样). 5.数据的直观表示 (1)常见的统计图表有柱形图、折线图、扇形图、茎叶图、频数分布直方图、频 率分布直方图等. (2)频率分布直方图 ①作频率分布直方图的步骤 (ⅰ)找出最值,计算极差:即一组数据中最大值与最小值的差; (ⅱ)合理分组,确定区间:根据数据的多少,一般分5~9组; (ⅲ)整理数据: 逐个检查原始数据,统计每个区间内数的个数(称为区间对应的频数),并求出 频数与数据个数的比值(称为区间对应的频率),各组均为左闭右开区间,最后 一组是闭区间; (ⅳ)作出有关图示: 根据上述整理后的数据,可以作出频率分布直方图,如图所示.频率分布直图的纵坐标是,每一组数对应的矩形高度与频率成正比,而且每个矩形的面积等于 这一组数对应的 频率 ,从而可知频率分布直方图中,所有矩形的面积之和为1. ②频率分布折线图 作图的方法都是:把每个矩形上面一边的中点用线段连接起来.为了方便看图, 折线图都画成与横轴相交,所以折线图与横轴的左右两个交点是没有实际意义 的. 不难看出,虽然作频率分布直方图过程中,原有数据被“压缩”了,从这两种 图中也得不到所有原始数据.但是,由这两种图可以清楚地看出数据分布的总体 态势,而且也可以得出有关数字特征的大致情况.比如,估计出平均数、中位数、 百分位数、方差.当然,利用直方图估计出的这些数字特征与利用原始数据求出 的数字特征一般会有差异. 数据的数字特征、用样本估计总体 1.数据的数字特征 (1)最值 一组数据的最值指的是其中的最大值与最小值,最值反映的是这组数最极端的 情况. (2)平均数 ①定义:如果给定的一组数是x ,x ,…,x ,则这组数的平均数为x= ( x + x 1 2 n 1 2 + … + x ). n 这一公式在数学中常简记为x=∑x, i ②性质:一般地,利用平均数的计算公式可知,如果 x ,x ,…,x 的平均数 1 2 n 为x,且a,b为常数,则ax +b,ax +b,…,ax +b的平均数为 a x + b . 1 2 n (3)中位数 有奇数个数,且按照从小到大排列后为 x ,x ,…,x ,则称x 为这组数 1 2 2n+1 n+1 的中位数;如果一组数有偶数个数,且按照从小到大排列后为 x ,x ,…, 1 2 x ,则称 为这组数的中位数 . 2n (4)百分位数 ①定义:一组数的p%(p∈(0,100))分位数指的是满足下列条件的一个数值:至少有p%的数据不大于该值,且至少有(100-p)%的数据不小于该值. ②确定方法:设一组数按照从小到大排列后为x ,x ,…,x ,计算i=np%的 1 2 n 值,如果i不是整数,设i 为大于i的最小整数,取xi 为p%分位数;如果i是 0 0 整数,取为 p%分位数. (5)众数 一组数据中,出现次数最多的数据称为这组数据的众数. (6)极差、方差与标准差 ①极差:一组数的极差指的是这组数的最大值减去最小值所得的差,描述了这 组数的离散程度. ②方差 定义:如果x ,x ,…,x 的平均数为x,则方差可用求和符号表示为s2= ∑ ( x 1 2 n i - x)2=∑x-x2. 性质:如果a,b为常数,则ax +b,ax +b,…,ax +b的方差为 a 2 s 2 . 1 2 n ③标准差 定义:方差的算术平方根称为标准差.一般用s表示,即样本数据x ,x ,…, 1 2 x 的标准差为s=. n 性质:如果a,b为常数,则ax +b,ax +b,…,ax +b的标准差为|a|s. 1 2 n 2.用样本的数字特征估计总体的数字特征 一般情况下,如果样本容量恰当,抽样方法合理,在估计总体的数字特征时, 只需直接算出样本对应的数字特征即可. 统计模型 1.变量的相关关系 (1)相关关系:两个变量有关系,但又没有确切到可由其中的一个去精确地决定 另一个的程度,这种关系称为相关关系. (2)相关关系的分类:正相关和负相关. (3)线性相关:如果变量x与变量y之间的关系可以近似地用一次函数来刻画, 则称x与y线性相关. 2.相关系数 (1)r=xyxy =xyx. (2)当r>0时,成对样本数据正相关;当r<0时,成对样本数据负相关. (3)|r|≤1;当|r|越接近1时,成对样本数据的线性相关程度越强;当|r|越接近0时,成对样本数据的线性相关程度越弱. 3.一元线性回归模型 (1)我们将y=bx+a称为y关于x的回归直线方程,其中 xyxxyxx (2)残差:观测值减去预测值,称为残差. 4.2×2列联表和χ2 如果随机事件A与B的样本数据的2×2列联表如下. A A 总计 B a b a+b B c d c+d 总计 a+c b+d a+b+c+d 记n=a+b+c+d,则 χ2=. 5.独立性检验 统计学中,常用的显著性水平α以及对应的分位数k如下表所示. α=P(χ2≥k) 0.1 0.05 0.01 0.005 0.001 K 2.706 3.841 6.635 7.879 10.828 要推断“A与B有关系”可按下面的步骤 (1)作2×2列联表. (2)根据2×2列联表计算 χ 2 的值. (3)查对分位数k,作出判断.如果根据样本数据算出χ2的值后,发现χ2≥k成立, 就称在犯错误的概率不超过α的前提下,可以认为A与B不独立(也称为A与B 有关);或说有 1 - α 的把握认为A与B有关.若χ2