当前位置:首页>文档>专题6.15实数运算100题(分层练习)(提升练)-(人教版)_初中数学_七年级数学下册(人教版)_专题突破练习-V4

专题6.15实数运算100题(分层练习)(提升练)-(人教版)_初中数学_七年级数学下册(人教版)_专题突破练习-V4

  • 2026-04-11 12:08:52 2026-03-25 16:07:16

文档预览

专题6.15实数运算100题(分层练习)(提升练)-(人教版)_初中数学_七年级数学下册(人教版)_专题突破练习-V4
专题6.15实数运算100题(分层练习)(提升练)-(人教版)_初中数学_七年级数学下册(人教版)_专题突破练习-V4
专题6.15实数运算100题(分层练习)(提升练)-(人教版)_初中数学_七年级数学下册(人教版)_专题突破练习-V4
专题6.15实数运算100题(分层练习)(提升练)-(人教版)_初中数学_七年级数学下册(人教版)_专题突破练习-V4
专题6.15实数运算100题(分层练习)(提升练)-(人教版)_初中数学_七年级数学下册(人教版)_专题突破练习-V4
专题6.15实数运算100题(分层练习)(提升练)-(人教版)_初中数学_七年级数学下册(人教版)_专题突破练习-V4
专题6.15实数运算100题(分层练习)(提升练)-(人教版)_初中数学_七年级数学下册(人教版)_专题突破练习-V4
专题6.15实数运算100题(分层练习)(提升练)-(人教版)_初中数学_七年级数学下册(人教版)_专题突破练习-V4
专题6.15实数运算100题(分层练习)(提升练)-(人教版)_初中数学_七年级数学下册(人教版)_专题突破练习-V4
专题6.15实数运算100题(分层练习)(提升练)-(人教版)_初中数学_七年级数学下册(人教版)_专题突破练习-V4
专题6.15实数运算100题(分层练习)(提升练)-(人教版)_初中数学_七年级数学下册(人教版)_专题突破练习-V4
专题6.15实数运算100题(分层练习)(提升练)-(人教版)_初中数学_七年级数学下册(人教版)_专题突破练习-V4
专题6.15实数运算100题(分层练习)(提升练)-(人教版)_初中数学_七年级数学下册(人教版)_专题突破练习-V4
专题6.15实数运算100题(分层练习)(提升练)-(人教版)_初中数学_七年级数学下册(人教版)_专题突破练习-V4
专题6.15实数运算100题(分层练习)(提升练)-(人教版)_初中数学_七年级数学下册(人教版)_专题突破练习-V4
专题6.15实数运算100题(分层练习)(提升练)-(人教版)_初中数学_七年级数学下册(人教版)_专题突破练习-V4
专题6.15实数运算100题(分层练习)(提升练)-(人教版)_初中数学_七年级数学下册(人教版)_专题突破练习-V4
专题6.15实数运算100题(分层练习)(提升练)-(人教版)_初中数学_七年级数学下册(人教版)_专题突破练习-V4
专题6.15实数运算100题(分层练习)(提升练)-(人教版)_初中数学_七年级数学下册(人教版)_专题突破练习-V4
专题6.15实数运算100题(分层练习)(提升练)-(人教版)_初中数学_七年级数学下册(人教版)_专题突破练习-V4
专题6.15实数运算100题(分层练习)(提升练)-(人教版)_初中数学_七年级数学下册(人教版)_专题突破练习-V4
专题6.15实数运算100题(分层练习)(提升练)-(人教版)_初中数学_七年级数学下册(人教版)_专题突破练习-V4
专题6.15实数运算100题(分层练习)(提升练)-(人教版)_初中数学_七年级数学下册(人教版)_专题突破练习-V4
专题6.15实数运算100题(分层练习)(提升练)-(人教版)_初中数学_七年级数学下册(人教版)_专题突破练习-V4
专题6.15实数运算100题(分层练习)(提升练)-(人教版)_初中数学_七年级数学下册(人教版)_专题突破练习-V4
专题6.15实数运算100题(分层练习)(提升练)-(人教版)_初中数学_七年级数学下册(人教版)_专题突破练习-V4
专题6.15实数运算100题(分层练习)(提升练)-(人教版)_初中数学_七年级数学下册(人教版)_专题突破练习-V4
专题6.15实数运算100题(分层练习)(提升练)-(人教版)_初中数学_七年级数学下册(人教版)_专题突破练习-V4
专题6.15实数运算100题(分层练习)(提升练)-(人教版)_初中数学_七年级数学下册(人教版)_专题突破练习-V4
专题6.15实数运算100题(分层练习)(提升练)-(人教版)_初中数学_七年级数学下册(人教版)_专题突破练习-V4
专题6.15实数运算100题(分层练习)(提升练)-(人教版)_初中数学_七年级数学下册(人教版)_专题突破练习-V4
专题6.15实数运算100题(分层练习)(提升练)-(人教版)_初中数学_七年级数学下册(人教版)_专题突破练习-V4
专题6.15实数运算100题(分层练习)(提升练)-(人教版)_初中数学_七年级数学下册(人教版)_专题突破练习-V4
专题6.15实数运算100题(分层练习)(提升练)-(人教版)_初中数学_七年级数学下册(人教版)_专题突破练习-V4
专题6.15实数运算100题(分层练习)(提升练)-(人教版)_初中数学_七年级数学下册(人教版)_专题突破练习-V4
专题6.15实数运算100题(分层练习)(提升练)-(人教版)_初中数学_七年级数学下册(人教版)_专题突破练习-V4
专题6.15实数运算100题(分层练习)(提升练)-(人教版)_初中数学_七年级数学下册(人教版)_专题突破练习-V4
专题6.15实数运算100题(分层练习)(提升练)-(人教版)_初中数学_七年级数学下册(人教版)_专题突破练习-V4
专题6.15实数运算100题(分层练习)(提升练)-(人教版)_初中数学_七年级数学下册(人教版)_专题突破练习-V4
专题6.15实数运算100题(分层练习)(提升练)-(人教版)_初中数学_七年级数学下册(人教版)_专题突破练习-V4
专题6.15实数运算100题(分层练习)(提升练)-(人教版)_初中数学_七年级数学下册(人教版)_专题突破练习-V4
专题6.15实数运算100题(分层练习)(提升练)-(人教版)_初中数学_七年级数学下册(人教版)_专题突破练习-V4
专题6.15实数运算100题(分层练习)(提升练)-(人教版)_初中数学_七年级数学下册(人教版)_专题突破练习-V4
专题6.15实数运算100题(分层练习)(提升练)-(人教版)_初中数学_七年级数学下册(人教版)_专题突破练习-V4
专题6.15实数运算100题(分层练习)(提升练)-(人教版)_初中数学_七年级数学下册(人教版)_专题突破练习-V4
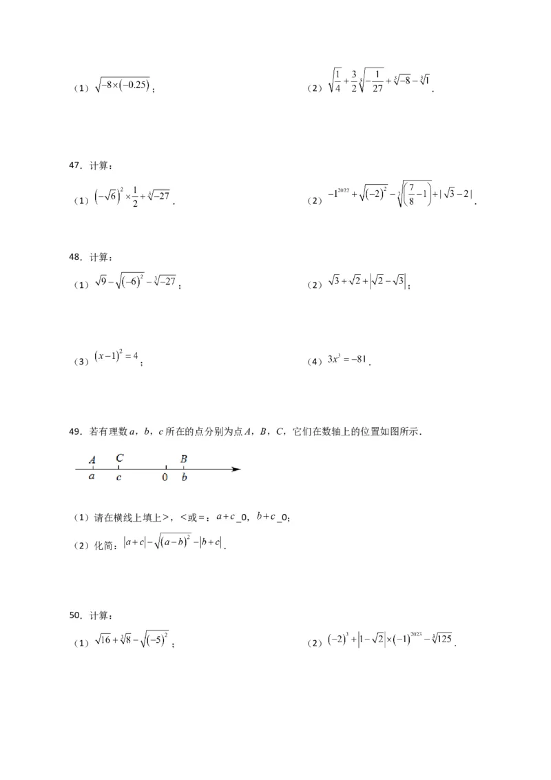
专题6.15实数运算100题(分层练习)(提升练)-(人教版)_初中数学_七年级数学下册(人教版)_专题突破练习-V4
专题6.15实数运算100题(分层练习)(提升练)-(人教版)_初中数学_七年级数学下册(人教版)_专题突破练习-V4
专题6.15实数运算100题(分层练习)(提升练)-(人教版)_初中数学_七年级数学下册(人教版)_专题突破练习-V4
专题6.15实数运算100题(分层练习)(提升练)-(人教版)_初中数学_七年级数学下册(人教版)_专题突破练习-V4
专题6.15实数运算100题(分层练习)(提升练)-(人教版)_初中数学_七年级数学下册(人教版)_专题突破练习-V4
专题6.15实数运算100题(分层练习)(提升练)-(人教版)_初中数学_七年级数学下册(人教版)_专题突破练习-V4
专题6.15实数运算100题(分层练习)(提升练)-(人教版)_初中数学_七年级数学下册(人教版)_专题突破练习-V4
专题6.15实数运算100题(分层练习)(提升练)-(人教版)_初中数学_七年级数学下册(人教版)_专题突破练习-V4
专题6.15实数运算100题(分层练习)(提升练)-(人教版)_初中数学_七年级数学下册(人教版)_专题突破练习-V4
专题6.15实数运算100题(分层练习)(提升练)-(人教版)_初中数学_七年级数学下册(人教版)_专题突破练习-V4
专题6.15实数运算100题(分层练习)(提升练)-(人教版)_初中数学_七年级数学下册(人教版)_专题突破练习-V4
专题6.15实数运算100题(分层练习)(提升练)-(人教版)_初中数学_七年级数学下册(人教版)_专题突破练习-V4
专题6.15实数运算100题(分层练习)(提升练)-(人教版)_初中数学_七年级数学下册(人教版)_专题突破练习-V4
专题6.15实数运算100题(分层练习)(提升练)-(人教版)_初中数学_七年级数学下册(人教版)_专题突破练习-V4
专题6.15实数运算100题(分层练习)(提升练)-(人教版)_初中数学_七年级数学下册(人教版)_专题突破练习-V4
专题6.15实数运算100题(分层练习)(提升练)-(人教版)_初中数学_七年级数学下册(人教版)_专题突破练习-V4
专题6.15实数运算100题(分层练习)(提升练)-(人教版)_初中数学_七年级数学下册(人教版)_专题突破练习-V4

文档信息

文档格式
docx
文档大小
3.162 MB
文档页数
62 页
上传时间
2026-03-25 16:07:16

文档内容

专题6.15 实数运算100 题(分层练习)(提升练) 1.计算: (1) (2) 2.计算: (1) ; (2)已知 ,求x的值. 3.(1)求式子中x的值: (2)计算: 4.计算下列各式的值: (1) (2) 5.计算: (1) ; (2) . 6.计算: (1) ; (2) .7.计算: (1) ; (2) 8.计算: (1) (2) 9.计算下列各题. (1) ; (2) . 10.计算: (1)求x的值: (2) 11.计算: (1) (2) (3) 12.计算: (1) (2)13.计算: (1) (2) (3) (4) 14.计算: (1) (2) 15.计算: (1)解方程: ; (2)计算: 16.计算: (1) (2) 17.计算: 18.计算: (1) ; (2) .19.计算: (1) ; (2) . 20.计算下列各题: (1) ; (2) . 21.计算: (1) ; (2) . 22.计算: (1) ; (2) . 23.计算: (1) ; (2) . 24.计算: . 25.计算 (1) (2)26.计算: (1) ; (2) . 27.计算: . 28.计算: . 29.(1)计算: . (2)若 的整数部分为 ,小数部分为 ,求 的值. 30.计算 (1) (2) 31.计算: (1) ; (2) .32.计算: . 33.计算: 34.计算: . 35.计算: . 36.计算: (1) ; (2)已知 ,求 的值. 37.(1)已知 ,求 的值; (2)计算: ; (3)计算: 38.按要求解答下列各小题. (1)求 的值: ; (2)计算: . 39.计算: .40.计算: (1) ; (2) . 41.计算: (1) ; (2) . 42.计算: . 43.完成下列各题: (1)计算: ; (2)解方程: . 44.求x的值: (1) ; (2) . 45.计算: (1) ; (2) . 46.计算题:(1) ; (2) . 47.计算: (1) . (2) . 48.计算: (1) ; (2) ; (3) ; (4) . 49.若有理数a,b,c所在的点分别为点A,B,C,它们在数轴上的位置如图所示. (1)请在横线上填上 , 或 : 0, 0; (2)化简: . 50.计算: (1) ; (2) .51.计算: . 52.(1)计算: ; (2)解方程 . 53.计算: . 54.(1)解方程: ; (2)计算: . 55.计算: (1) ; (2) . 56.计算: (1) ; (2) . 57.(1)计算: ; (2)求下式中 的值: 58.计算: .59.计算: . 60.计算 (1) (2) 61.计算 (1) ; (2) . 62.计算 (1) ; (2) . 63.(1)、计算 ① . ② (2)、求下列各式中x的值: ① ② 64.计算下列各题: (1) ; (2) .65.计算: (1) . (2) . (3) . 66.计算: (1) ; (2)求 中x的值. 67.计算题: (1) ; (2) 68.计算: (1) (2) (3) (4) 69.计算: . 70.计算 (1) ; (2) .71.计算 . 72.计算下列各题. (1) ; (2) ; (3) . 73.计算: (1) ; (2) ; (3) ; (4) . 74.计算: (1) . (2) . 75.(1)计算: ; (2)求x的值: .76.(1)计算 (2)求x的值: 77.计算: (1) ; (2) ; (3) . (4) ; 78.计算 (1) ; (2) . 79.计算: 80.计算: (1) (2)已知 , 的算术平方根是2, 是 的整数部分,求 的算术平方根. 81.(1)计算: . (2)解方程: .82.计算: . 83.计算题: (1) ; (2) . 84.计算: (1) ; (2) . 85.计算: (1) (2) (3) (4) 86.计算: 87.计算: (1) ; (2) .88.解方程: (1) ; (2) . 89.计算: (1) . (2) . 90.计算 (1) (2)已知 的平方根是 ,b的算术平方根是3,求 的立方根. 91.计算. (1) . (2) . 92.计算: 93.计算: (1) ; (2)94.计算 (1) (2)先化简,再求值: ,其中 . 95.计算 (1) (2) 96.计算 (1) ; (2) ; (3) . 97.(1)计算: . (2)求 的值: . 98.计算: (1) (2) .99.计算: . 100.计算: (1) (2)参考答案: 1.(1) ;(2) 【分析】(1)先化简各式,然后再进行计算即可解答; (2)先化简各式,然后再进行计算即可解答. (1)解:原式= ; (2)解:原式= . 【点拨】本题考查了实数的运算,准确熟练地化简各式是解题的关键. 2.(1) ;(2) 或 【分析】(1)原式先化简算术平方根、立方根和绝对值,然后再进行加减运算即可即可; (2)直接运用开平方法求解方程即可. (1)解: = = ; (2) , , ∴ 或 . 【点拨】本题主要考查了实数的混合运算和运用开平方法解方程,熟练掌握算术平方根的定义是解答 本题的关键. 3.(1) 或 ;(2)【分析】(1)根据求平方根的方法解方程即可; (2)根据实数的混合计算法则求解即可. 解:(1)∵ , ∴ , ∴ 或 ; (2)原式 . 【点拨】本题主要考查了实数的混合计算,求平方根的方法解方程,正确计算是解题的关键. 4.(1) ;(2)6 【分析】(1)先化简各式,再进行加减运算; (2)先算乘法,求立方根,再进行加减运算. (1)解:原式 ; (2)原式 . 【点拨】本题考查实数的混合运算.熟练掌握相关运算法则,正确的计算是解题的关键. 5.(1) ;(2) 【分析】(1)先根据绝对值的性质,算术平方根的性质,立方根的性质化简,再合并,即可求解; (2)根据算术平方根的意义和实数的加减运算,即可求解. (1)解:原式 ;(2)解:原式 . 【点拨】本题主要考查了绝对值的性质,算术平方根的性质,立方根的性质,二次根式的混合运算, 熟练掌握相关运算法则是解题的关键. 6.(1) ;(2) 【分析】(1)根据实数的混合计算法则求解即可; (2)先计算立方根和算术平方根,再根据含乘方的有理数混合计算法则求解即可. (1)解:原式 ; (2)解:原式 . 【点拨】本题主要考查了实数的混合计算,熟知相关计算法则是解题的关键. 7.(1) ;(2) 【分析】(1)利用立方根及算术平方根的运算法则进行计算即可; (2)先运用去绝对值法则、算术平方根性质及乘方法则进行计算,再合并即可. (1)解:原式 (2)解:原式 【点拨】本题考查了实数的运算,解决本题的关键是熟练掌握平方根及立方根的性质.8.(1) ;(2) 【分析】(1)首先根据平方根和立方根的意义化解,去绝对值,然后计算加减即可; (2)根据立方根的意义解方程即可. 解:(1) ; (2) 解得 . 【点拨】本题考查了平方根和立方根的意义的混合运算,解题的关键是掌握运算法则和运算顺序. 9.(1)11;(2) 【分析】(1)先算乘法,再算加法即可; (2)先乘方及开方,再除法,最后加减即可求解. (1)解:原式 ; (2)解:原式 . 【点拨】本题考查实数的运算,熟练掌握相关运算的法则是解决问题的关键. 10.(1) 或 ;(2) 【分析】(1)根据平方根的定义进行求解即可; (2)先将绝对值和算术平方根化简,再进行计算即可. (1)解: , ∵ 或 , ∴ 或 ,解得: 或 ; (2)解:原式 . 【点拨】本题主要考查了根据平方根解方程,实数的混合运算,解题的关键是掌握根据平方根的定义 解方程的方法和步骤,以及实数混合运算的运算顺序和运算法则. 11.(1) ;(2) ;(3) 【分析】本题考查了求立方根,平方根,算术平方根,绝对值的化简,熟练掌握定义是解题的关键. (1) 根据立方根,算术平方根,绝对值的意义,计算即可. (2) 根据立方根的意义计算即可. (3) 根据平方根的意义计算即可. 解:(1) . (2) . (3) . 12.(1)6;(2)-4 【分析】(1)根据算术平方根和立方根化简以后再计算即可; (2)根据立方根和实数绝对值化简以后再计算即可.解:(1)原式 ; (2)原式 . 【点拨】本题考查实数的混合运算,解题的关键是根据算术平方根和立方根化简. 13.(1)9;(2) ;(3)1;(4) 【分析】(1)先去绝对值,计算乘方和算术平方根,再计算加减法即可; (2)先计算立方根,算术平方根,再计算加减法即可; (3)先去绝对值,然后计算加减法即可; (4)根据实数的混合计算法则求解即可. (1)解:原式 ; (2)解:原式 ; (3)解:原式 ; (4)解:原式 . 【点拨】本题主要考查了实数的混合计算,数值相关计算法则是解题的关键. 14.(1) ;(2) 【分析】(1)利用算术平方根、立方根将原式化简,再算加减即可; (2)先利用绝对值将原式化简,再进行加减运算即可. 解:(1); (2) . 【点拨】本题主要考查了实数的运算,熟练掌握算术平方根计算,立方根计算,绝对值化简及实数的 加减运算法则,是解题的关键. 15.(1) ;(2) 【分析】(1)方程两边同时开立方得一元一次方程,求解方程即可; (2)原式分别化简立方根、绝对值以及算术平方根,再计算加减即可得到结果. 解:(1) ∴ . (2) . 【点拨】本题主要考查了实数的运算,熟练掌握运算法则是解答本题的关键. 16.(1) ;(2) . 【分析】(1)利用立方根,乘方和算术平方根计算即可; (2)利用立方根,乘方,算术平方根及绝对值化简计算即可. 解:(1)原式 ,; (2)原式 , , . 【点拨】此题主要考查了实数的综合运算能力,解题的关键是熟练掌握乘方、绝对值、立方根等知识 点. 17. 【分析】将原式化简,再求值即可; 解: 【点拨】本题考查实数的运算,熟练掌握立方根、平方根的化简方法,准确计算是解题的关键 18.(1) ;(2) 【分析】(1)直接利用二次根式的混合运算法则计算得出答案; (2)根据有理数的乘方、算术平方根、立方根及绝对值的性质进行计算,再加减即可得出答案. 解:(1)原式= = (2)原式= = 【点拨】此题主要考查了实数及二次根式的混合运算,正确掌握相关运算法则是解题关键. 19.(1)0;(2)【分析】(1)利用立方根的定义,算术平方根的定义进行计算即可; (2)利用绝对值的性质进行计算即可. (1)解:原式 ; (2)解:原式 . 【点拨】本题考查实数的运算,熟练掌握相关运算法则是解题的关键. 20.(1) ;(2) . 【分析】(1)先进行二次根式的乘方运算,化简二次根式,求立方根后合并即可; (2)先计算乘方、算术平方根和绝对值, 然后合并即可. (1)解: ; (2)解: . 【点拨】本题考查了二次根式的混合运算,算术平方根,立方根,绝对值以及乘方,熟练掌握算术平 方根,立方根,绝对值以及乘方的运算法则是解决问题的关键. 21.(1)2;(2) 【分析】(1)先将乘方,立方根,算术平方根化简,再进行计算即可; (2)先将算术平方根,立方根,绝对值化简,再进行计算即可. (1)解: ;(2)解: . 【点拨】本题主要考查了实数的混合运算,解题的关键是熟练掌握算术平方根和立方根的化简方法, 以及实数混合运算的运算顺序和运算法则. 22.(1) ;(2) 【解析】略 23.(1) ;(2) 【分析】(1)先计算绝对值,再计算加减; (2)先计算算术平方根、立方根、绝对值和立方,再计算加减. 解:(1) ; (2) . 【点拨】此题考查了实数的混合运算能力,熟练掌握相关的运算法则是解题关键. 24. . 【分析】先利用开立方运算法则,开平方运算法则,绝对值的性质化简,再根据实数的加减混合运算 即可解答. 解:. 【点拨】本题考查了开立方运算法则,开平方运算法则,绝对值的性质,掌握实数的加减混合运算法 则是解题的关键. 25.(1) ;(2) 【分析】(1)根据有理数的乘方,算术平方根,立方根的性质计算. (2)根据有理数的乘方,算术平方根,立方根,绝对值的性质化简计算. (1)解: . (2)解: . . 【点拨】本题考查了有理数的乘方,算术平方根,立方根,绝对值,熟练掌握相关计算方法是解题的 关键. 26.(1)7;(2) 【分析】(1)根据含乘方的有理数四则混合运算法则计算即可; (2)根据实数的混合运算法则计算即可. (1)解: , , , , .(2)解: , , . 【点拨】本题主要考查了含乘方的有理数混合运算、实数的混合运算等知识点,灵活运用相关运算法 则是解答本题的关键. 27. 【分析】按照乘方、开立方、算术平方根、去绝对值法则进行计算即可. 解:原式 . 【点拨】本题考查了实数的运算,熟练乘方法则,开立方,求算术平方根,去绝对值的法则是基础. 28. 【分析】先根据算术平方根、立方根、绝对值的知识化简,然后再计算即可. 解: , , . 【点拨】本题主要考查了算术平方根、立方根、绝对值等知识点,灵活运用相关运算法则是解答本题 的关键. 29.(1) ;(2) 【分析】(1)直接利用二次根式的性质、立方根的性质以及绝对值的性质分别化简得出答案, (2)根据 可得 、 的值,再代入所求代数式计算即可. (1)解:原式 (2)解:∵ ,∴ , , ∴ 【点拨】本题主要考查了实数运算,估算无理数的大小和二次根式的混合运算的应用,正确化简计算 是解题的关键. 30.(1)0;(2) 【分析】(1)先分别求算术平方根、立方根,然后进行加减运算即可; (2)分别求算术平方根、立方根,绝对值,然后进行加减运算即可. (1)解:原式 ; (2)解:原式 . 【点拨】本题考查了算术平方根,立方根,绝对值.解题的关键在于正确的运算. 31.(1) ;(2) 【分析】(1)先去绝对值符号,再合并同类二次根式即可; (2)先计算开方,再计算加减即可. (1)解:原式 ; (2)解:原式 . 【点拨】本题考查实数混合运算,熟练掌握实数运算法则是解题的关键. 32.2.05 【分析】先化简各式,然后再进行计算即可解答. 解: .【点拨】本题考查了实数的运算,准确熟练地进行计算是解题的关键. 33. 【分析】本题考查的是实数的混合运算,先分别计算算术平方根,立方根,化简绝对值,计算乘方, 再合并即可;掌握运算顺序是解本题的关键. 解: ; 34.4 【分析】根据有理数的乘方,绝对值,算术平方根,立方根以及实数的运算法则进行计算即可. 解:原式 . 【点拨】本题考查有理数的乘方,绝对值,算术平方根,立方根以及实数的运算,掌握有理数的乘方 的计算方法,绝对值、算术平方根、立方根的定义以及实数的运算法则是正确解答的前提. 35.6 【分析】先求立方根和算术平方根,再算加减法,进而得出答案. 解:原式 . 【点拨】此题主要考查了实数的运算,正确化简各数是解题关键. 36.(1)0;(2) 或 【分析】(1)先根据算术平方根,立方根,绝对值化简,再进行加减运算即可; (2)直接利用平方根解方程. (1)解: ; (2)解: , ∴ ,∴ 或 , ∴ 或 . 【点拨】本题考查算术平方根,立方根,绝对值,利用平方根解方程,正确计算是解题的关键. 37.(1) ;(2) ;(3)2 【分析】(1)根据平方根定义直接求解即可得到答案; (2)根据立方根定义求解即可得到答案; (3)根据绝对值运算及相反数性质求解即可得到答案. 解:(1) , ; (2) ; (3) . 【点拨】本题考查实数运算,涉及平方根、立方根、绝对值及相反数性质等知识,熟记相关定义与性 质是解决问题的关键. 38.(1) , ;(2) 【分析】(1)利用平方根解方程即可得到答案; (2)根据绝对值的性质、算术平方根的定义、立方根的定义,进行计算即可得到答案. (1)解: , ,, , ; (2)解: . 【点拨】本题主要考查了利用平方根解方程、绝对值的性质、算术平方根的定义、立方根的定义,熟 练掌握以上知识点,准确进行计算是解题的关键. 39. 【分析】原式利用算术平方根、立方根性质,以及绝对值的代数意义计算即可求出值. 解:原式 . 【点拨】此题考查了实数的运算,熟练掌握运算法则是解本题的关键. 40.(1)2.45;(2) 【分析】(1)先根据算术平方根、立方根的定义计算,再求和即可; (2)先计算立方根、绝对值,按照乘法分配律计算,然后相加减即可. (1)解: ; (2)解:. 【点拨】本题主要考查了实数混合运算,理解并掌握相关运算法则是解题关键. 41.(1) ;(2) . 【分析】(1)根据立方根、算术平方根的定义进行计算即可; (2)根据算术平方根,绝对值的定义进行计算即可. 解:(1) , , , , (2) , , . 【点拨】此题考查了实数的运算,掌握算术平方根、立方根以及实数的运算方法是解题的关键. 42. 【分析】原式分别根据立方根的意义,算术平方根的意义、绝对值以及乘方的意义化简各项后再进行 加减运算即可. 解: . 【点拨】本题主要考查了实数的混合运算,正确化简各项是解答本题的关键.43.(1)5;(2) 【分析】(1)根据算术平方根以及立方根的性质进行化简,计算即可; (2)根据立方根解方程即可. (1)解: ; (2)解: , 移项,得: , 化简,得: , 开立方根,得: , 解得: . 【点拨】考查算术平方根以及立方根的计算,掌握运算法则是解题的关键. 44.(1) ;(2) 【分析】本题主要考查了立方根和平方根,熟记定义是解题的关键. (1)运用立方根和平方根的定义求解即可; (2)运用平方根的定义求解即可. (1)解: , 化简得 开平方得 , 解得 . (2) . 化简得 开立方得 . 45.(1) ;(2)【分析】(1)根据有理数的乘方,绝对值的性质和立方根的定义进行化简,然后计算即可; (2)根据绝对值的性质,有理数的乘方,立方根和算术平方根的定义进行化简,然后计算即可. (1)解:原式 ; (2)原式 = , = . 【点拨】本题考查了实数的混合运算,熟练掌握绝对值的性质,有理数的乘方,立方根和算术平方根 的定义是解题的关键. 46.(1) ;(2) . 【分析】(1)直接用乘法法则计算被开方数即可; (2)先求出立方根及算术平方根,再计算有理数的混合运算即可. (1)解: ; (2)解: 【点拨】本题主要考查了二次根式的化简及实数的混合运算,熟练掌握算术平方根及立方根的求法是 解题的关键.47.(1)0;(2) 【分析】(1)利用乘方运算、立方根、实数的四则运算计算; (2)利用乘方运算、平方根、立方根、绝对值的定义计算. 解:(1) ; (2) . 【点拨】本题考查了实数的运算,解题的关键是掌握乘方运算、平方根、立方根、绝对值的定义. 48.(1)0;(2) ;(3) 或 ;(4) 【分析】(1)先开方,再进行加减运算; (2)先去绝对值,再进行加减运算; (3)利用平方根解方程即可; (4)利用立方根解方程即可. (1)解:原式 ; (2)原式 ;(3)解: , ∴ , ∴ 或 , ∴ 或 ; (4)解: , ∴ , ∴ . 【点拨】本题考查实数的混合运算,利用平方根和立方根解方程.解题的关键是熟练掌握相关运算法 则,正确的计算. 49.(1) , ;(2)0 【分析】(1)由题意知, , ,则 , ; (2)由题意知, ,则 . (1)解:由题意知, , , ∴ , , 故答案为: , ; (2)解:由题意知, , ∴ . 【点拨】本题考查了根据点在数轴的位置判断式子的正负,化简绝对值,算术平方根.解题的关键在 于对知识的熟练掌握与灵活运用. 50.(1) ;(2) 【分析】( )先进行开平方和开立方,再相加减即可; ( )先计算乘方,绝对值的化简和开立方,再相乘,最后相加、减即可. 解:(1)原式 , ,(2)原式 , , , 【点拨】此题考查了实数的混合运算,解题的关键是熟记运算法则和运算顺序. 51. 【分析】直接利用平方根、立方根和绝对值的性质分别化简得出答案. 解: . 【点拨】此题主要考查了实数运算,熟练掌握平方根、立方根和绝对值的性质进行化简是解题的关键. 52.(1) ,(2) 或 . 【分析】(1)原式利用绝对值的代数意义,平方根、立方根定义计算即可得到结果; (2)方程利用平方根开方即可求出解. 解:(1)原式 ; (2)开方得: 或 , 解得: 或 . 【点拨】此题考查了实数的运算,熟练掌握运算法则是解本题的关键. 53. 【分析】原式利用绝对值的代数意义,立方根性质,以及乘方的意义计算即可求出值. 解:原式. 【点拨】此题考查了实数的运算,熟练掌握运算法则是解本题的关键. 54.(1) ;(2) 【分析】(1)利用立方根解方程即可; (2)先化简各式,再进行加减运算. 解:(1)两边同开立方,得 , 移项,得 , 合并同类项,得 . (2)原式 . 【点拨】本题考查实数的混合运算,利用立方根解方程.熟练掌握相关运算法则,正确的计算,是解 题的关键. 55.(1)0;(2) 【分析】(1)先分别求算术平方根,立方根,然后进行减法运算即可; (2)先分别求有理数的乘方,算术平方根,立方根,然后进行乘法运算,最后进行加减运算即可. (1)解: ; (2)解: .【点拨】本题考查了算术平方根,立方根,有理数的乘方,实数的混合运算等知识.熟练掌握算术平 方根,立方根,有理数的乘方,实数的混合运算是解题的关键. 56.(1) ;(2)3 【分析】(1)本题涉及负整数指数幂、绝对值、二次根式和三次根式的化简,乘方5个知识点.在计 算时,需要针对每个知识点分别进行计算,然后根据实数的运算法则求得计算结果. (2)先算乘法,再算加减法. 解:(1) ; (2) . 【点拨】本题主要考查了实数的综合运算能力,是各地中考题中常见的计算题型.解决此类题目的关 键是熟练掌握负整数指数幂、二次根式和三次根式、乘方、绝对值等知识点的运算. 57.(1)3;(2) 或 【分析】(1)先分别计算算术平方根,立方根,然后进行加减运算即可; (2)移项后求平方根,然后解一元一次方程即可. (1)解: ; (2)解: , , ∴ 或 ,解得 或 . 【点拨】本题考查了算术平方根,立方根,平方根.解题的关键在于正确的运算. 58. 【分析】先计算算术平方根,再进行加减即可. 解:原式 【点拨】本题考查了实数的运算,解决本题的关键是熟练掌握算术平方根的性质. 59. 【分析】先根据数的开方法则及绝对值的性质计算出各数,再根据实数的运算法则进行计算即可. 解:原式 . 【点拨】本题考查的是实数的运算,涉及到数的开方法则及绝对值的性质,掌握以上知识是解题的关 键. 60.(1) ;(2) 【分析】(1)先计算乘方、绝对值、立方根、算术平方根,再进行加减计算即可; (2)先计算算术平方根、乘方、立方根,再进行加减计算即可. (1)解: ; (2)解: . 【点拨】本题考查了实数的混合运算,熟练掌握相关运算法则是解题关键.61.(1) ;(2) . 【分析】( )先利用算术平方根的定义化简,再根据有理数的加减运算即可求解; ( )先利用算术平方根的定义化简,再根据有理数的加减运算即可求解. (1)解:原式 , ; (2)解:原式 . 【点拨】此题考查了算术平方根的定义,解题的关键熟练掌握利用算术平方根的定义进行运算. 62.(1) ;(2) 或 . 【分析】( )先把方程转化为 ,再根据平方根的定义求解即可; ( )把 看成整体,再根据平方根的定义求解即可. (1)解: , , ; (2)解: , , 或 , 或 . 【点拨】此题考查了平方根的定义,解题的关键是正确理解正数的平方根有两个. 63.(1)①1;② ;(2)① , ;② 【分析】(1)①②先进行绝对值、算术平方根、立方根和有理数的乘方运算,再加减运算即可求解; (2)①利用平方根的定义解方程即可;②利用立方根的定义解方程即可. 解:(1)① ;② ; (2)①移项,得 , 开平方,得 , ∴ , ; ②开立方,得 , ∴ . 【点拨】本题考查实数的混合运算、利用平方根和立方根定义解方程,解答的关键是熟练掌握相关的 运算法则,熟知一个正数有两个平方根,且互为相反数. 64.(1) ;(2) 【分析】(1)先计算算术平方根,立方根,再根据实数运算法则直接计算即可得到答案; (2)先计算算术平方根,立方根及幂指数,再根据实数运算法则直接计算即可得到答案; (1)解:原式 ; (2)解:原式 ; 【点拨】本题考查求一个数的算术平方根,立方根及实数的混合运算,解题的关键是熟练掌握 , . 65.(1) ;(2) ;(3) 【分析】(1)根据平方根的定义,解方程,即可求解; (2)根据算术平方根的定义,即可求解.(3)根据实数的加减进行计算即可求解. (1)解: , ∴ , 解得: ; (2)解: (3)解: . 【点拨】本题考查了平方根的定义,算术平方根,实数的混合运算,熟练掌握以上知识是解题的关键. 66.(1) ;(2) 或 【分析】本题考查绝对值,平方根,立方根,实数的运算。 (1)根据立方根,绝对值,平方根,将相应的式子化简,再根据实数的混合运算计算即可求解; (2)用直接开方法,分类讨论即可求解. 解:(1) (2)∵ , ∴ , ∴ , ∴ 或 , ∴ 或 . 67.(1) ;(2) 【分析】(1)先计算开方的乘方,再计算加减即可; (2)先计算开方,去绝对值符号,再合并即可.(1)解:原式 ; (2)解:原式 . 【点拨】本题考查实数混合运算,熟练掌握实数运算法则是解题的关键. 68.(1) ;(2) ;(3) ;(4) 【分析】(1)利用算术平方根的性质以及立方根的性质分别化简,再利用有理数的加减运算法则计 算得出答案; (2)利用算术平方根的性质结合绝对值的性质化简,最后计算加减得出答案; (3)利用算术平方根的性质以及立方根的性质分别化简,最后计算加减得出答案; (4)利用算术平方根的性质以及立方根的性质分别化简,最后计算加减得出答案. (1)解: ; (2)解: ; (3)解: ; (4)解:. 【点拨】本题考查了实数的混合运算,掌握算术平方根的性质以及立方根的性质是解题的关键. 69. 【分析】原式根据算术平方根的意义、立方根以及绝对值的意义化简各项后再合并即可. 解: . 【点拨】本题主要考查了算术平方根、立方根以及绝对值,熟练掌握相关意义是解答本题的关键. 70.(1)7;(2) 【分析】(1)先计算乘方,绝对值及乘法,再计算加减法; (2)先化简立方根,算术平方根,绝对值,再计算加减法. 解:(1) ; (2) . 【点拨】此题考查了实数的混合运算,正确掌握立方根及算术平方根的化简,实数混合运算法则是解 题的关键. 71. 【分析】先计算乘方、立方根和绝对值,再计算加减. 解:. 【点拨】此题考查了实数的混合运算能力,关键是能准确确定运算顺序正确地计算. 72.(1) ;(2) ;(3) 【分析】(1)先计算算术平方根、立方根,再计算实数的加减即可; (2)先化简绝对值、计算算术平方根、立方根,再计算实数的加减即可; (3)先计算算术平方根、立方根,再计算实数的加减即可. 解:(1)原式 ; (2)原式 ; (3)原式 . 【点拨】本题考查了算术平方根与立方根、实数的混合运算、化简绝对值,熟练掌握各运算法则是解 题的关键. 73.(1)-1;(2) ;(3) 或 ;(4) 【分析】(1)利用平方根、立方根定义,以及绝对值的代数意义化简,计算即可得到结果;(2)利用立方根定义,去括号法则,以及绝对值的代数意义化简,计算即可得到结果; (3)方程变形后,利用平方根定义开方即可求出解; (4)方程利用立方根定义开立方即可求出解. 解:(1) (2) (3) 变形为 , 开方,得 ∴ 或 (4) 变形为 , 开方,得 ∴ 【点拨】本题考查开平方,开立方,绝对值等运算,直接开方法解一元二次方程,开立方解方程,熟 练掌握开平方,开立方运算是解题的关键. 74.(1)9;(2) 【分析】根据算术平方根和立方根的概念、绝对值化简进行计算即可. (1)解: ;(2)解: . 【点拨】本题主要考查算术平方根和立方根的概念、绝对值化简,解题的关键是熟练掌握含有算术平 方根、立方根和绝对值的化简. 75.(1) ;(2) 或 【分析】(1)先计算立方、立方根、绝对值,再进行实数的加减混合运算即可; (2)利用平方根的意义得到 ,解一元一次方程即可得到答案. 解:(1) (2) ∴ , 则 或 , 解得 或 【点拨】此题考查了实数的混合运算和用平方根的意义解方程,熟练掌握运算法则和平方根的意义是 解题的关键. 76.(1) ;(2) 或 【分析】(1)先化简绝对值,再计算加减即可; (2)根据平方根解方程即可. 解:(1); (2)解: , , , 或 , 或 . 【点拨】本题考查实数的混合运算,根据平方根解方程.掌握实数的混合运算法则和平方根的性质是 解题关键. 77.(1) ;(2)0;(3) 或0;(4) 【分析】本题考查了实数的混合运算,利用平方根和立方根的定义解方程,熟练掌握平方根和立方根 的意义是解答本题的关键. (1)把除法转化为乘法,再利用乘法分配律计算; (2)先化简绝对值和算术平方根,再算加减; (3)利用平方根的定义求解即可; (4)利用立方根等于其本身的数有 求解即可. 解:(1) (2) (3)∵∴ ∴ ∴ 或0 (4)∵ ∴ ∴ 78.(1) (2) 【分析】(1)根据算术平方根,立方根,进行计算即可求解; (2)根据算术平方根进行计算即可求解. (1)解: ; (2)解: . 【点拨】本题考查了算术平方根,立方根,熟练掌握算术平方根,立方根的定义是解题的关键. 79. 【分析】先根据乘方的定义、绝对值、立方根的定义、平方根的定义等知识化简,再去括号进行计算 即可求解. 解:. 【点拨】本题考查了实数的混合运算,理解相关知识,正确化简各数是解题关键. 80.(1) ;(2) 【分析】(1)先化简根式、去绝对值符号,然后计算即可; (2)先根据条件分别求出 、 、 的值,然后代入 计算,最后求算术平方根. (1)解: (2)解: 两边平方得: 整理得 ; 由题可知, 整理得 , ; 是 的整数部分, , , 将 , , 代入 , 故 的算术平方根为 . 【点拨】本题主要考查了算术平方根、无理数整数部分的计算、绝对值化简,掌握计算一个数的算术 平方根的方法是解题关键. 81.(1) ;(2) 【分析】(1)原式利用乘方的意义,以及算术平方根的定义计算即可求出值; (2)去分母,去括号,移项合并即可求解.解:(1)原式 (2) 去分母得: , 去括号得: 移项合并得: 【点拨】此题考查了解一元一次方程,以及实数的运算,熟练掌握运算法则是解本题的关键. 82. 【分析】先将立方根、算术平方根、绝对值化简,再计算加减即可. 解:原式 . 【点拨】本题主要考查了实数的混合计算,熟练掌握实数混合运算法则是解题的关键. 83.(1)0;(2)1 【分析】(1)原式根据算术平方根、立方根的意义化简后即可计算出答案即可; (2)原式根据算术平方根、立方根的意义化简后即可计算出答案即可. 解:(1) (2) 【点拨】本题主要考查实数的混合运算,熟练掌握运算法则是解答关键.84.(1)2;(2) 【分析】(1)根据算术平方根,乘方,立方根等知识将原式进行化简,进而得出答案; (2)根据实数的混合运算法则进行计算即可. (1)解:原式 ; (2)原式 . 【点拨】本题考查了实数的混合运算,熟练掌握相关运算法则是解本题的关键. 85.(1) ;(2)2;(3) , ;(4) 【分析】(1)先分别求解算术平方根,立方根,绝对值,然后进行加减运算即可; (2)先分别求解平方,立方根,算术平方根,然后进行加减运算即可; (3)移项后,求平方根即可; (4)移项后,求立方根即可. (1)解: ; (2)解: ; (3)解: 解得 , ;(4)解: 解得 . 【点拨】本题考查了算术平方根,立方根,绝对值.解题的关键在于正确的运算. 86. 【分析】先计算开方和去括号、化简绝对值,再计算乘法,最后合并同类二次根即可. 解:原式 . 【点拨】本题考查实数的混合运算,绝对值,熟练掌握实数的混合运算法则是解题的关键. 87.(1)2;(2) 或 【分析】(1)先计算立方根、乘方和绝对值,再进行加减运算即可; (2)首先两边同除以3,再开平方,即可获得答案. (1)解:原式 ; (2)解: , , , ∴ 或 . 【点拨】本题主要考查了实数的混合运算以及利用平方根解方程,熟练掌握相关知识是解题关键. 88.(1) , ;(2) 【分析】本题主要考查了平方根和立方根解方程,掌握平方根和立方根的性质是解题的关键.(1)根据平方根的性质即可求解; (2)根据立方根的性质即可求解. (1)解: , , , , 或 , 解得: , ; (2) , , , 解得: . 89.(1) ;(2) 【分析】(1)利用数的乘方运算、数的算术平方根、数的立方根定义计算即可; (2)利用绝对值的定义、数的立方根定义计算即可. (1)解:原式 ; (2)解:原式 . 【点拨】本题考查了实数的运算,做题关键是掌握数的乘方运算、数的算术平方根、数的立方根定义, 绝对值的定义. 90.(1)9;(2)3 【分析】(1)分别进行开平方、开立方的运算,然后合并即可; (2)根据平方根、算术平方根、立方根的定义进行运算即可.(1)解: ; (2)∵ 的平方根是 , ∴ , ∴ , ∵b的算术平方根是3, ∴ , ∴ , ∴ 的立方根为3. 【点拨】本题考查了实数的运算,涉及了平方根、立方根、倒数及相反数的知识,属于基础题. 91.(1) ;(2)1 【分析】(1)先将算术平方根和立方根化简,再进行计算即可. (2)先将绝对值化简,再进行计算即可. (1)解: ; (2)解: . 【点拨】本题主要考查了实数的混合运算,解题的关键是熟练掌握实数混合运算的运算顺序和运算法 则,以及算术平方根、立方根、绝对值的化简方法. 92. 【分析】原式利用乘方、算术平方根、立方根以及绝对值的性质计算即可得到结果.解: . 【点拨】此题考查了实数的运算,乘方、算术平方根、立方根以及绝对值的性质,熟练掌握各自的性 质是解本题的关键. 93.(1) ;(2) 【分析】(1)先开方运算,再化简绝对值,最后加减; (2)先利用乘法的分配律算乘法,再算加减. 解:(1)原式 ; (2)原式 . 【点拨】本题考查了实数的运算,掌握实数的运算法则、运算律及运算顺序是解决本题的关键. 94.(1) ;(2) , 【分析】(1)先计算乘方,开平方和绝对值,再从左往右依次计算即可; (2)先去括号再合并得到最简结果,把 的值代入即可. (1)解: ; (2) ,当 ,原式 . 【点拨】本题考查了实数的混合运算,整式加减的化简求值,熟练掌握相应的运算法则是解答本题的 关键. 95.(1) ;(2) 【分析】本题考查混合运算,涉及乘方运算、绝对值运算、有理数加减乘除混合运算、算术平方根运 算等,熟练掌握混合运算法则及运算顺序,掌握绝对值、算术平方根运算是解决问题的关键. (1)根据绝对值运算、平方运算先计算,再由有理数加减乘除四则混合运算法则按顺序计算即可得 到答案; (2)根据平方运算、算术平方根、绝对值运算先计算,再由有理数加减运算法则计算即可得到答案. (1)解: ; (2)解: . 96.(1) ;(2) ;(3) 【分析】本题考查了平方根和立方根的应用,实数的混合运算; (1)移项变形后利用平方根的性质解方程; (2)利用立方根的性质解方程; (3)先利用二次根式和绝对值的性质化简,再进行计算即可. (1)解: , ,; (2)解: , ; (3)解: . 97.(1)2;(2) , 【分析】本题考查了算术平方根,立方根,平方根的定义求解一元二次方程. (1)先求立方根、算术平方根,然后进行加减运算即可; (2)根据平方根的定义求解即可. (1)解: ; (2)解: , , ∴ 或 , 解得, , . 98.(1) ;(2) 【分析】(1)先去括号,再进行加减计算即可得到答案; (2)先计算立方根和绝对值,再进行加减计算即可得到答案.(1)解: ; (2)解: . 【点拨】本题考查了实数的混合运算,熟练掌握相关运算法则是解题关键. 99.6 解:原式=2+5-1=6. 100.(1) ;(2) 【分析】本题考查了实数的混合运算,涉及乘方,立方根,算术平方根,绝对值的计算,熟练掌握运 算定律是解答本题的关键. (1)根据立方根,算术平方根的定义进行求解即可; (2)根据乘方,立方根,算术平方根,绝对值的意义进行计算即可. (1)解: ; (2) . .