当前位置:首页>文档>第4讲素养提升之三角函数与解三角形选填专项冲刺(解析版)_2.2025数学总复习_2023年新高考资料_二轮复习_备战2023年高考数学二轮复习专题讲练(新高考版)_专题二三角函数与解三角形

第4讲素养提升之三角函数与解三角形选填专项冲刺(解析版)_2.2025数学总复习_2023年新高考资料_二轮复习_备战2023年高考数学二轮复习专题讲练(新高考版)_专题二三角函数与解三角形

  • 2026-04-02 11:26:17 2026-03-26 01:31:25

文档预览

第4讲素养提升之三角函数与解三角形选填专项冲刺(解析版)_2.2025数学总复习_2023年新高考资料_二轮复习_备战2023年高考数学二轮复习专题讲练(新高考版)_专题二三角函数与解三角形
第4讲素养提升之三角函数与解三角形选填专项冲刺(解析版)_2.2025数学总复习_2023年新高考资料_二轮复习_备战2023年高考数学二轮复习专题讲练(新高考版)_专题二三角函数与解三角形
第4讲素养提升之三角函数与解三角形选填专项冲刺(解析版)_2.2025数学总复习_2023年新高考资料_二轮复习_备战2023年高考数学二轮复习专题讲练(新高考版)_专题二三角函数与解三角形
第4讲素养提升之三角函数与解三角形选填专项冲刺(解析版)_2.2025数学总复习_2023年新高考资料_二轮复习_备战2023年高考数学二轮复习专题讲练(新高考版)_专题二三角函数与解三角形
第4讲素养提升之三角函数与解三角形选填专项冲刺(解析版)_2.2025数学总复习_2023年新高考资料_二轮复习_备战2023年高考数学二轮复习专题讲练(新高考版)_专题二三角函数与解三角形
第4讲素养提升之三角函数与解三角形选填专项冲刺(解析版)_2.2025数学总复习_2023年新高考资料_二轮复习_备战2023年高考数学二轮复习专题讲练(新高考版)_专题二三角函数与解三角形
第4讲素养提升之三角函数与解三角形选填专项冲刺(解析版)_2.2025数学总复习_2023年新高考资料_二轮复习_备战2023年高考数学二轮复习专题讲练(新高考版)_专题二三角函数与解三角形
第4讲素养提升之三角函数与解三角形选填专项冲刺(解析版)_2.2025数学总复习_2023年新高考资料_二轮复习_备战2023年高考数学二轮复习专题讲练(新高考版)_专题二三角函数与解三角形
第4讲素养提升之三角函数与解三角形选填专项冲刺(解析版)_2.2025数学总复习_2023年新高考资料_二轮复习_备战2023年高考数学二轮复习专题讲练(新高考版)_专题二三角函数与解三角形
第4讲素养提升之三角函数与解三角形选填专项冲刺(解析版)_2.2025数学总复习_2023年新高考资料_二轮复习_备战2023年高考数学二轮复习专题讲练(新高考版)_专题二三角函数与解三角形
第4讲素养提升之三角函数与解三角形选填专项冲刺(解析版)_2.2025数学总复习_2023年新高考资料_二轮复习_备战2023年高考数学二轮复习专题讲练(新高考版)_专题二三角函数与解三角形
第4讲素养提升之三角函数与解三角形选填专项冲刺(解析版)_2.2025数学总复习_2023年新高考资料_二轮复习_备战2023年高考数学二轮复习专题讲练(新高考版)_专题二三角函数与解三角形
第4讲素养提升之三角函数与解三角形选填专项冲刺(解析版)_2.2025数学总复习_2023年新高考资料_二轮复习_备战2023年高考数学二轮复习专题讲练(新高考版)_专题二三角函数与解三角形
第4讲素养提升之三角函数与解三角形选填专项冲刺(解析版)_2.2025数学总复习_2023年新高考资料_二轮复习_备战2023年高考数学二轮复习专题讲练(新高考版)_专题二三角函数与解三角形
第4讲素养提升之三角函数与解三角形选填专项冲刺(解析版)_2.2025数学总复习_2023年新高考资料_二轮复习_备战2023年高考数学二轮复习专题讲练(新高考版)_专题二三角函数与解三角形
第4讲素养提升之三角函数与解三角形选填专项冲刺(解析版)_2.2025数学总复习_2023年新高考资料_二轮复习_备战2023年高考数学二轮复习专题讲练(新高考版)_专题二三角函数与解三角形
第4讲素养提升之三角函数与解三角形选填专项冲刺(解析版)_2.2025数学总复习_2023年新高考资料_二轮复习_备战2023年高考数学二轮复习专题讲练(新高考版)_专题二三角函数与解三角形
第4讲素养提升之三角函数与解三角形选填专项冲刺(解析版)_2.2025数学总复习_2023年新高考资料_二轮复习_备战2023年高考数学二轮复习专题讲练(新高考版)_专题二三角函数与解三角形
第4讲素养提升之三角函数与解三角形选填专项冲刺(解析版)_2.2025数学总复习_2023年新高考资料_二轮复习_备战2023年高考数学二轮复习专题讲练(新高考版)_专题二三角函数与解三角形
第4讲素养提升之三角函数与解三角形选填专项冲刺(解析版)_2.2025数学总复习_2023年新高考资料_二轮复习_备战2023年高考数学二轮复习专题讲练(新高考版)_专题二三角函数与解三角形
第4讲素养提升之三角函数与解三角形选填专项冲刺(解析版)_2.2025数学总复习_2023年新高考资料_二轮复习_备战2023年高考数学二轮复习专题讲练(新高考版)_专题二三角函数与解三角形
第4讲素养提升之三角函数与解三角形选填专项冲刺(解析版)_2.2025数学总复习_2023年新高考资料_二轮复习_备战2023年高考数学二轮复习专题讲练(新高考版)_专题二三角函数与解三角形
第4讲素养提升之三角函数与解三角形选填专项冲刺(解析版)_2.2025数学总复习_2023年新高考资料_二轮复习_备战2023年高考数学二轮复习专题讲练(新高考版)_专题二三角函数与解三角形
第4讲素养提升之三角函数与解三角形选填专项冲刺(解析版)_2.2025数学总复习_2023年新高考资料_二轮复习_备战2023年高考数学二轮复习专题讲练(新高考版)_专题二三角函数与解三角形
第4讲素养提升之三角函数与解三角形选填专项冲刺(解析版)_2.2025数学总复习_2023年新高考资料_二轮复习_备战2023年高考数学二轮复习专题讲练(新高考版)_专题二三角函数与解三角形
第4讲素养提升之三角函数与解三角形选填专项冲刺(解析版)_2.2025数学总复习_2023年新高考资料_二轮复习_备战2023年高考数学二轮复习专题讲练(新高考版)_专题二三角函数与解三角形
第4讲素养提升之三角函数与解三角形选填专项冲刺(解析版)_2.2025数学总复习_2023年新高考资料_二轮复习_备战2023年高考数学二轮复习专题讲练(新高考版)_专题二三角函数与解三角形
第4讲素养提升之三角函数与解三角形选填专项冲刺(解析版)_2.2025数学总复习_2023年新高考资料_二轮复习_备战2023年高考数学二轮复习专题讲练(新高考版)_专题二三角函数与解三角形
第4讲素养提升之三角函数与解三角形选填专项冲刺(解析版)_2.2025数学总复习_2023年新高考资料_二轮复习_备战2023年高考数学二轮复习专题讲练(新高考版)_专题二三角函数与解三角形
第4讲素养提升之三角函数与解三角形选填专项冲刺(解析版)_2.2025数学总复习_2023年新高考资料_二轮复习_备战2023年高考数学二轮复习专题讲练(新高考版)_专题二三角函数与解三角形
第4讲素养提升之三角函数与解三角形选填专项冲刺(解析版)_2.2025数学总复习_2023年新高考资料_二轮复习_备战2023年高考数学二轮复习专题讲练(新高考版)_专题二三角函数与解三角形
第4讲素养提升之三角函数与解三角形选填专项冲刺(解析版)_2.2025数学总复习_2023年新高考资料_二轮复习_备战2023年高考数学二轮复习专题讲练(新高考版)_专题二三角函数与解三角形
第4讲素养提升之三角函数与解三角形选填专项冲刺(解析版)_2.2025数学总复习_2023年新高考资料_二轮复习_备战2023年高考数学二轮复习专题讲练(新高考版)_专题二三角函数与解三角形
第4讲素养提升之三角函数与解三角形选填专项冲刺(解析版)_2.2025数学总复习_2023年新高考资料_二轮复习_备战2023年高考数学二轮复习专题讲练(新高考版)_专题二三角函数与解三角形
第4讲素养提升之三角函数与解三角形选填专项冲刺(解析版)_2.2025数学总复习_2023年新高考资料_二轮复习_备战2023年高考数学二轮复习专题讲练(新高考版)_专题二三角函数与解三角形
第4讲素养提升之三角函数与解三角形选填专项冲刺(解析版)_2.2025数学总复习_2023年新高考资料_二轮复习_备战2023年高考数学二轮复习专题讲练(新高考版)_专题二三角函数与解三角形
第4讲素养提升之三角函数与解三角形选填专项冲刺(解析版)_2.2025数学总复习_2023年新高考资料_二轮复习_备战2023年高考数学二轮复习专题讲练(新高考版)_专题二三角函数与解三角形
第4讲素养提升之三角函数与解三角形选填专项冲刺(解析版)_2.2025数学总复习_2023年新高考资料_二轮复习_备战2023年高考数学二轮复习专题讲练(新高考版)_专题二三角函数与解三角形
第4讲素养提升之三角函数与解三角形选填专项冲刺(解析版)_2.2025数学总复习_2023年新高考资料_二轮复习_备战2023年高考数学二轮复习专题讲练(新高考版)_专题二三角函数与解三角形
第4讲素养提升之三角函数与解三角形选填专项冲刺(解析版)_2.2025数学总复习_2023年新高考资料_二轮复习_备战2023年高考数学二轮复习专题讲练(新高考版)_专题二三角函数与解三角形
第4讲素养提升之三角函数与解三角形选填专项冲刺(解析版)_2.2025数学总复习_2023年新高考资料_二轮复习_备战2023年高考数学二轮复习专题讲练(新高考版)_专题二三角函数与解三角形
第4讲素养提升之三角函数与解三角形选填专项冲刺(解析版)_2.2025数学总复习_2023年新高考资料_二轮复习_备战2023年高考数学二轮复习专题讲练(新高考版)_专题二三角函数与解三角形
第4讲素养提升之三角函数与解三角形选填专项冲刺(解析版)_2.2025数学总复习_2023年新高考资料_二轮复习_备战2023年高考数学二轮复习专题讲练(新高考版)_专题二三角函数与解三角形
第4讲素养提升之三角函数与解三角形选填专项冲刺(解析版)_2.2025数学总复习_2023年新高考资料_二轮复习_备战2023年高考数学二轮复习专题讲练(新高考版)_专题二三角函数与解三角形
第4讲素养提升之三角函数与解三角形选填专项冲刺(解析版)_2.2025数学总复习_2023年新高考资料_二轮复习_备战2023年高考数学二轮复习专题讲练(新高考版)_专题二三角函数与解三角形
第4讲素养提升之三角函数与解三角形选填专项冲刺(解析版)_2.2025数学总复习_2023年新高考资料_二轮复习_备战2023年高考数学二轮复习专题讲练(新高考版)_专题二三角函数与解三角形
第4讲素养提升之三角函数与解三角形选填专项冲刺(解析版)_2.2025数学总复习_2023年新高考资料_二轮复习_备战2023年高考数学二轮复习专题讲练(新高考版)_专题二三角函数与解三角形

文档信息

文档格式
docx
文档大小
4.129 MB
文档页数
47 页
上传时间
2026-03-26 01:31:25

文档内容

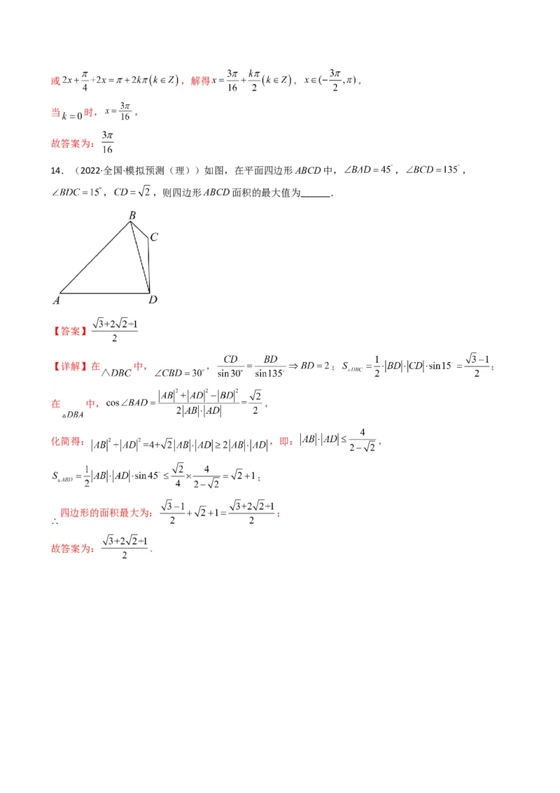
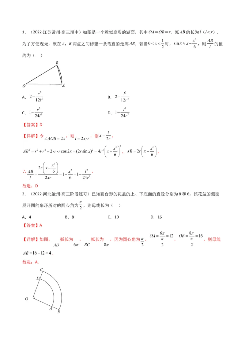
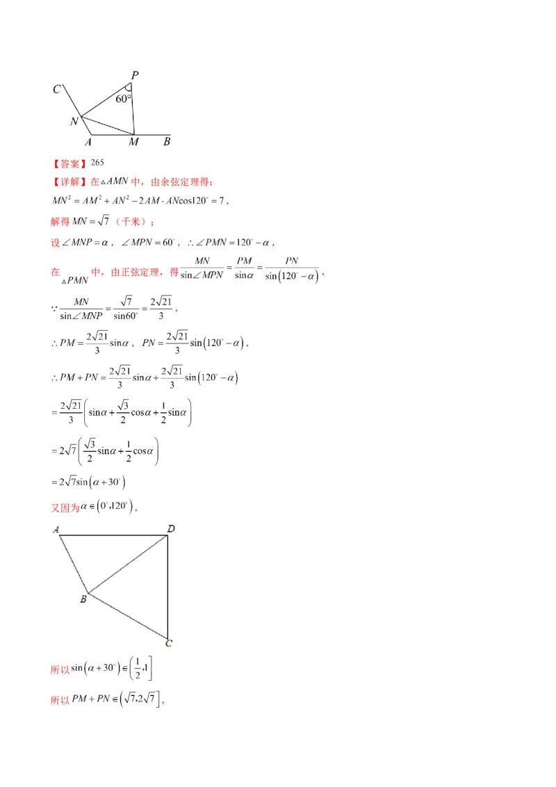
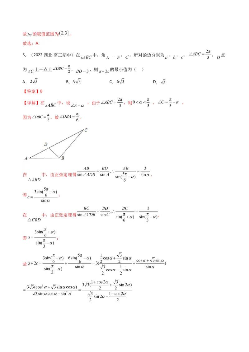
第 4 讲 素养提升之三角函数与解三角形选填专项冲刺 目录 第一部分:重难点题型突破 突破一:三角函数的定义、诱导公式及同角三角函数的基本关系 突破二:弧长与面积 突破三:三角函数中参数ω专题常考小题 角度1: 的取值范围与单调性相结合 角度2: 的取值范围与对称性相结合 角度3: 的取值范围与三角函数的最值相结合 角度4: 的取值范围与三角函数的零点相结合 角度5: 的取值范围与三角函数的极值相结合 突破四:三角函数的实际应用 突破五:利用正余弦解决三角形问题 突破六:解三角形的实际应用 第二部分:冲刺重难点特训 突破一:三角函数的定义、诱导公式及同角三角函数的基本关系 1.(2022·安徽·高三阶段练习)设角 是第一象限角,且满足 ,则 的终边所在的象限是 ( ) A.第一象限 B.第二象限 C.第三象限 D.第四象限 【答案】C 【详解】由角 是第一象限角,有 ,可得 ,可知 为第一或第三 象限角,又由 ,可得 为第三象限角. 故选:C. 2.(2022·全国·高三专题练习)已知角 的终边过点 ,则 可以为( ) A. B. C. D.【答案】C 【详解】根据题意可知角 为第四象限角,则A、B错误 过 作 轴,垂足为 ,则 ∴ 结合象限角的概念可得: 可以为 故选:C. 3.(2022·河南·高三阶段练习(文))已知角 ,角 , 终边上有一点 , 则 ( ). A. B. C. D. 【答案】D 【详解】因为 ,所以 ,即点 在第三象限, 且 ,且 , 所以 . 故选:D 4.(2022·陕西·蒲城县蒲城中学高三阶段练习(文))设 是第二象限角, 为其终边上的一点,且 ,则 ( ) A. B. C. D. 【答案】C 【详解】因为 为其终边上的一点,且 , 所以 ,解得 , 因为 是第二象限角,所以 , 故选:C5.(2022·安徽省怀宁县第二中学高三阶段练习)已知角 的终边经过点 ,则 ( ) A. B. C. D. 【答案】C 【详解】因为角 的终边经过点 , 所以 , , 所以 . 故选:C. 6.(2022·全国·高三专题练习)若 ,且 ,则 ___________. 【答案】 【详解】由 得, ,即 , 所以 . 因为 ,所以 , 则 , 所以 , 因此 . 联立 解得 , 所以 . 故答案为: 7.(2022·江苏·高邮市第一中学高三阶段练习)若 , 且 , 则_______. 【答案】 ##-0.2 【详解】由 得 ,故 , 所以 ,解得 ,或 . 因为 ,所以 , 所以 . 故答案为: 8.(2022·北京·东直门中学高三期中)在平面直角坐标系 中,角 以 为始边,终边与单位圆交于 点 ,则 ____________. 【答案】 【详解】由余弦值的定义得 ,则 . 故答案为: . 9.(2022·江苏·楚州中学高三开学考试)已知 ,求 _________. 【答案】 【详解】 , . 故答案为: . 突破二:弧长与面积1.(2022·江苏常州·高三期中)如图是一个近似扇形的湖面,其中OA=OB=r,弧AB的长为l(l<r). 为了方便观光,欲在A,B两点之间修建一条笔直的走廊AB.若当 时, ,则 的值 约为( ) A. B. C. D. 【答案】D 【详解】令 ,则 ,则 , , , ∴ , 故选:D 2.(2022·河北沧州·高三阶段练习)已知圆台形的花盆的上、下底面的直径分别为8和6,该花盆的侧面 展开图的扇环所对的圆心角为 ,则母线长为( ) A.4 B.8 C.10 D.16 【答案】A 【详解】如图, 弧长为 , 弧长为 ,因为圆心角为 , , ,则母线 . 故选:A.3.(2022·全国·高三专题练习(理))“数摺聚清风,一捻生秋意”是宋朝朱翌描写折扇的诗句,折扇出 人怀袖,扇面书画,扇骨雕琢,是文人雅士的宠物,所以有“怀袖雅物”的别号.当折扇所在扇形的圆心角 为 时,折扇的外观看上去是比较美观的,则此时折扇所在扇形的弦长 与弧长 之比为( ) A. B. C. D. 【答案】C 【详解】设扇形的弧长为 ,半径为 ,如图,取 的中点 圆心角 为 ,则 所以弦 又弧长 所以弦长 与弧长 之比为 故选:C 4.(2022·上海市延安中学高三期中)已知扇形的圆心角为 ,其弧长为 ,则此扇形的面积为 _________.(结果保留π) 【答案】 ## 【详解】根据条件可知扇形所在圆的半径 , 此扇形的面积 .故答案为: 5.(2022·甘肃·武威第八中学高三阶段练习)已知一扇形的周长为20,则该扇形面积的最大值为 _________. 【答案】25 【详解】设扇形的半径为 ,弧长为 ,则 ,扇形的面积为: , 当 时, 取得最大值,最大值为25, 所以扇形面积的最大值为25. 故答案为:25. 突破三:三角函数中参数ω专题常考小题 角度1: 的取值范围与单调性相结合 1.(2022·山西·忻州一中高三阶段练习)已知函数 在区间 上单调,且当 时, ,则 ( ) A.2 B.4 C.6 D.8 【答案】A 【详解】 . 因为 , 所以 ,则 ,从而 . 因为 ,所以 . 因为 在区间 上单调,所以 , . 解得 . 因为 ,所以 . 因为 ,所以 或 ,所以 或 . 因为 , ,所以 .故选:A 2.(2022·全国·高三专题练习)函数 在 上单调递增,则 的最大值为 ( ) A. B. C. D. 【答案】B 【详解】由题意得: ,当 时, , 在 上单调递增, ,又 ,解得: , 的最大值为 . 故选:B. 3.(2022·河南河南·三模(理))已知函数 ( , ),将 图象上所 有点向右平移 个单位长度得到函数 的图象,若 是奇函数, 在 上单调递增,则 的最大值为( ) A. B.1 C.2 D.3 【答案】C 【详解】依题意, 为奇函数, 所以 , 由于 ,所以 . , , 由于 在 上单调递增, 所以 ,所以 的最大值为 . 故选:C 4.(2022·内蒙古·赤峰二中高三阶段练习(文))若函数 在 上单调递减,则 的最大值为( ) A. B. C. D.1 【答案】A 【详解】解:因为函数 在 上单调递减, 所以 ,解得 , 因为 ,所以 , 因为函数 在 上单调递减, 所以,函数 在 上单调递减,则有 ,解得 , 所以 的取值范围是 ,即 的最大值为 . 故选:A 5.(2022·全国·高三专题练习)已知函数 在 上单调递增,则 的最大值 为______. 【答案】 【详解】 对应的增区间应满足 ,解得 ,当 时, ,要使 在 上是增函数,则应满足, ,解得 ,则 的最大值是1 故答案为:1 角度2: 的取值范围与对称性相结合 1.(2022·四川雅安·模拟预测(文))已知函数 .若对于任意实数x,都有 ,则 的最小值为( ). A.2 B. C.5 D.8【答案】C 【详解】函数 ,由 可知函数图像的一个对称中心为 , 所以有 ,解得 , 由 ,当 时, 有最小值5. 故选:C 2.(2022·广东广州·高三阶段练习)已知函数 ,将 的图像先向右 平移 个单位长度,然后再向下平移1个单位长度,得到函数 的图像,若 图像关于 对 称,则 为( ) A. B. C. D. 【答案】B 【详解】由已知 . 将 的图像先向右平移 个单位长度,然后再向下平移1个单位长度. 得到 .若 图像关于 对称, 则 ,所以 . 故 ,又因为 ,所以 . 故选:B 3.(2022·湖南省桃源县第一中学高三阶段练习)函数 的图象向左平移 个单位长 度,所得图象关于 轴对称,则 的一个可能取值是( ) A.2 B. C. D. 【答案】B 【详解】因为 ,化简得 ,函数 的图象向左平移 个单位长 度,可得 的图象,根据所得图象关于 轴对称,可得 , , ,则 的一个可能取值为 , 故选:B. 4.(2022·河南·高三阶段练习(理))已知函数 在 内恰有三条对称轴, 则 的取值范围是( ) A. B. C. D. 【答案】C 【详解】因为 , 所以 , 所以 , 解得 . 故选:C. 5.(2022·江苏·常熟中学高三阶段练习)若存在唯一的实数 ,使得曲线 关 于直线 对称,则 的取值范围是( ) A. B. C. D. 【答案】C 【详解】由 , ,得 , , , 因为存在唯一的实数 ,使得曲线 关于直线 对称, 所以 只有唯一的值落在 ( )中, 所以 ,解得 , 故选:C.角度3: 的取值范围与三角函数的最值相结合 1.(2022·全国·高三专题练习)已知定义在 上的函数 ,若 的最大值 为 ,则 的取值最多有( ) A.2个 B.3个 C.4个 D.5个 【答案】A 【详解】∵ ,则 若 的最大值为 ,分两种情况讨论: ①当 ,即 时,根据正弦函数的单调性可知, ,解得 ; ②当 ,即 时,根据正弦函数的单调性可知, 在 上单调递增,所以 ,结合函数 与 在 上的图像可知,存在唯一的 ,使得 . 综上可知,若 的最大值为 ,则 的取值最多有2个. 故选:A. 2.(2022·全国·高三专题练习)函数 在区间 上恰有两个最小值点,则 的 取值范围为( ) A. B. C. D.【答案】A 【详解】令 ,因为 ,所以 , 问题转化为函数 在 时恰有两个最小值点, 所以有 ,因为 ,所以 , 故选:A 3.(2022·全国·高三专题练习)已知函数 ,对任意的实数a, 在 上既能取得最大值,也能取得最小值,则整数 的最小值是______. 【答案】4 【详解】由题意可得 , 则 的最小正周期 . 因为对任意的实数a, 在 上既能取得最大值,也能取得最小值, 所以 ,解得 . 因为 ,所以整数 的最小值是4. 故答案为: . 角度4: 的取值范围与三角函数的零点相结合 1.(2022·河南·一模(理))把函数 的图象向左平移 个单位,再将得到的曲线上所有点的 横坐标变为原来的 倍,纵坐标不变,得到函数 的图象.若函数 的图象与直线 在 上至少有3个交点,则正数 的取值范围是( ). A. B. C. D. 【答案】D 【详解】把函数 的图象向左平移 个单位,得到 ,再将得到的曲线上所有点的横坐标变为原来的 倍,纵坐标不变,得到 , ∵ , ,则 , 若函数 的图象与直线 在 上至少有3个交点,则 ,解得 , 故正数 的取值范围是 . 故选:D. 2.(2022·青海玉树·高三阶段练习(文))若函数 的图象与直线 的两相邻交点间的距离为 ,则 ( ) A. B. C. D. 【答案】B 【详解】由正切型函数的性质可知,函数 的最小正周期为 , 因此, . 故选:B. 3.(2022·河南安阳·模拟预测(文))已知函数 经过 点,且 在 上只有一个零点 ,则 的最大值为( ) A. B. C.2 D. 【答案】C 【详解】因为 经过 点, 所以 ,因为 ,所以 , 即 ,令 , 因为 ,所以 , 因为 在 上只有一个零点 ,所以有 ,所以 的最大值为 , 故选:C 4.(2022·广西·贵港市高级中学三模(理))已知 在 有且仅有6 个实数根,则实数 的取值范围为( ) A. B. C. D. 【答案】D 【详解】解:由 , 得 ,即 . 设 , 即 在 有且仅有6个实数根, 因为 , 故只需 , 解得 , 故选:D. 5.(2022·广东·三模)已知函数 ,且f(x)在[0, ]有且仅有3个零点,则 的取值范围是( ) A.[ , ) B.[ , ) C.[ , ) D.[ , ) 【答案】D 【详解】因为 ,当 时, , 因为函数 在 上有且只有3个零点,由余弦函数性质可知 ,解得 . 故选:D. 6.(2022·四川·遂宁绿然学校高三开学考试(理))已知函数 在 上有且 仅有两个零点,则 的取值范围是______. 【答案】 【详解】∵ ,则 , 由题意可得: ,则 , 故 的取值范围为 . 故答案为: . 角度5: 的取值范围与三角函数的极值相结合 1.(2022·四川绵阳·一模(理))若函数 ( )在区间 上恰有唯一极值点,则 的取值范围为( ) A. B. C. D. 【答案】C 【详解】当 , , 由于 ( )在区间 上恰有唯一极值点,故满足 ,解得 , 故选:C 2.(2022·江苏扬州·高三阶段练习)定义在[0,π]上的函数 (ω> 0)存在极值点,且值域 ,则ω的范围是( ) A.[ ,2] B. C. D.[ ] 【答案】B【详解】定义在[0,π]上的函数 , , 因为函数存在极值点,所以 ,即 . 又因为值域 ,所以 , 即有: , 综上: . 故选:B 3.(2022·湖北武汉·模拟预测)已知偶函数 ( , )在 上 恰有2个极大值点,则实数 的取值范围为( ) A. B. C. D. 【答案】D 【详解】解: , 因为 ,则 ,故 , 又函数 为偶函数,故 ,解得 , 故 , 因为函数 在 上恰有2个极大值,故当 时, , 即 . 故选:D. 突破四:三角函数的实际应用 1.(2022·江苏南通·高三期中)如图,由于建筑物AB的底部B是不可能到达的,A为建筑物的最高点, 需要测量AB,先采取如下方法,选择一条水平基线HG,使得H,G,B三点在一条直线上在G,H两点用 测角仪测得A的仰角为 , , ,测角仪器的高度是h,则建筑物AB的高度为( )A. B. C. D. 【答案】C 【详解】由题意,可得 , , , , , , , 故选:C. 2.(2022·江西·高三开学考试(理))天文计算的需要,促进了三角学和几何学的发展.10世纪的科学家 比鲁尼的著作《马苏德规律》一书中记录了在三角学方面的一些创造性的工作.比鲁尼给出了一种测量地 球半径的方法:先用边长带有刻度的正方形ABCD测得一座山的高 (如图①),再于山顶T处悬一 直径为SP且可以转动的圆环(如图②),从山顶T处观测地平线上的一点I,测得 .由此可以 算得地球的半径 ( ) A. B. C. D. 【答案】A 【详解】由图可知, ,故 ,解得 , 故选:A. 3.(2022·四川绵阳·一模(理))某游乐场中的摩天轮作匀速圆周运动,其中心距地面20.5米,半径为20米.假设从小军同学在最低点处登上摩天轮开始计时,第6分钟第一次到达最高点.则第10分钟小军同学 离地面的高度为______米. 【答案】10.5 【详解】以摩天轮的圆心为坐标原点,平行地面的直径所在的直线为 轴, 建立直角坐标系,设 时刻的坐标为 ,转过的角度为 , 根据三角函数的定义有 , 地面与坐标系交线方程为 , 则第10分钟时他距离地面的高度大约为 米. 故答案为: 4.(2022·广东·深圳市第七高级中学高三阶段练习)如图的曲线就像横放的葫芦的轴截面的边缘线,我们 叫葫芦曲线(也像湖面上高低起伏的小岛在水中的倒影与自身形成的图形,也可以形象地称它为倒影曲 线),它对应的方程为 (其中记 为不超过 的最大整数),且过点 ,若葫芦曲线上一点 到 轴的距离为 ,则点 到 轴的距离为_______. 【答案】 【详解】解:因为 过点 , 所以 ,则 ,即 , 所以 ,即 , 因为葫芦曲线上一点 到 轴的距离为 , 所以 , 所以 , , 故答案为: . 5.(2022·全国·高三专题练习(文))2019年,公安部交通管理局下发《关于治理酒驾醉驾违法犯罪行为 的指导意见》,对治理酒驾醉驾违法犯罪行为提出了新规定,根据国家质量监督检验检疫总局下发的标 准,车辆驾驶人员饮酒后或者醉酒后驾车血液中的酒精含量阈值见下表.经过反复试验,一般情况下,某人 喝一瓶啤酒后酒精在人体血液中的变化规律的“散点图"见图. 车辆驾驶人员血液酒精含量阈值 驾驶行为类别 阈值 饮酒驾车 醉酒驾车 且如图所示的函数模型为 .假设该人喝一瓶啤酒后至少经过 小时 才可以驾车,则n的值为___________.(参考数据: ) 【答案】6【详解】由散点图可知,该人喝一瓶啤酒后的2个小时内,其酒精含量阈值大于20, 所以有 ,解得 ,解得 . 因为 ,所以n的最小值为6. 故答案为:6 突破五:利用正余弦解决三角形问题 1.(2022·山东菏泽·高三期中)在 中,角A,B,C的对边分别为a,b,c,若 ,则 外接圆面积与 面积之比的最小值为( ). A. B. C. D. 【答案】B 【详解】由 可得: , 所以 , 因为 ,所以 ,所以 , 所以 或 ,则 或 (舍去), 设 外接圆半径为 , 则 外接圆面积为: , 面积为 所以 , 而 , 因为 ,所以 , ,当 时,即 时, . 故选:B. 2.(2022·重庆·西南大学附中高三阶段练习)已知 是三角形 的外心,若 ,且 ,则实数 的最大值为( ) A.6 B. C. D.3 【答案】D 【详解】如图所示:设 . 由题意可得, ,化简可得 ,由 是三角形 的外心可得, 是三边中垂线交点, 则 ,代入上式得, ,即 依据题意, 为外接圆半径,根据正弦定理可得, 代入 得 ,则 结合不等式可得 , 的最大值为3 故选:D 3.(2022·河南·模拟预测(理))已知在 中,a,b,c分别为角A,B,C的对边,a=4,c=2b- 2,则 的最小值为( ) A. B. C. D. 【答案】C【详解】由a=4,c=2b-2得, . 由余弦定理知, . 令b-1=m,则 ,b=m+1, 所以 ,(当且仅当 ,即 , , 时取等号). 故选:C. 4.(2022·贵州遵义·高三期中(理))已知锐角 的内角A,B,C所对的边分别为a,b,c,若 ,则 的取值范围为( ) A. B. C. D. 【答案】A 【详解】因为 , ,故三角形外接圆直径为 , 所以 ,所以 , , 故 , 因为三角形为锐角三角形,故 ,故 , 故 ,故 , 所以故 的取值范围为 , 故选:A. 5.(2022·湖北·高三期中)在 中,角 , , ,所对的边分别为 , , , , 点 为 上一点且 , ,则 的最小值为( ) A. B. C. D. 【答案】B 【详解】在 中,设 ,由于 ,则 , , 因为 ,故 , 在 中,由正弦定理得 , 即 ; 在 中,由正弦定理得 , 即 ; 故, 因为 ,所以 ,则 , 故当 ,即 时, 取到最小值 , 即 的最小值为 , 故选:B. 6.(2022·江西南昌·高三阶段练习(文))钝角 的内角 的对边分别是 ,已知 ,且 ,则 的周长为( ) A.9 B. C.6 D. 或9 【答案】A 【详解】解:因为 , 所以,根据正弦定理边化角得 , 因为 , 所以 ,即 所以,当 为钝角时, ,即 ,解得 , ,周长 为 ; 当 为钝角时, ,即 ,解得 , ,此时与 为钝角时 矛盾,故不成立; 综上, 的周长为 . 故选:A 7.(2022·江苏江苏·高三阶段练习)在 中,点D在边BC上,且 , , 记 中点分别为 ,且 ,则 ( ) A. B. C. D. 【答案】A【详解】 在 中, , 因为 ,所以 , 所以 ,可整理得 即 , 所以 整理得 , 因为 , 中点分别为 , 所以 , 所以在 中, , 因为 ,且 即 , 所以 , 所以 , 故选:A 8.(2022·安徽省亳州市第一中学高三阶段练习)在 中, , , 为 边上的中点, 且 的长度为 ,则 ( ) A. B. C. D. 【答案】A【详解】 在 中, ; 在 中, ; , ,又 , , 整理可得: ,即 , , ; 在 中, , ,解得: (舍)或 , . 故选:A. 9.(2022·辽宁·沈阳二中高三期中)在 中, 为 的中点,若 , , ,则 ______. 【答案】 【详解】由 得 在 中,利用正弦定理 得 , 在 中利用余弦定理得故答案为: . 10.(2022·安徽·合肥一六八中学高三阶段练习)在锐角 中,角A,B,C所对的边分别为a,b,c, 且满足 .若 的外接圆的面积为 ,则三角形面积的取值范围是____________. 【答案】 【详解】由 ∴ 得 , 所以 , 因为 所以 ,所以 , 而 ,所以 . 又由 的外接圆的面积为 ,所以外接圆直径 , 所以 , 因为 为锐角三角形,所以 , 的面积取值范围为 . 故答案为: . 突破六:解三角形的实际应用 1.(2022·全国·模拟预测(文))某学习小组的学习实践活动是测量图示塔 的高度.他们选取与塔底 在同一水平面内的两个测量基点 , ,测得 , ,且基点 , 间的距离为 ,同时在点 处测得塔顶 的仰角为 ,则塔高 为( )A. B. C. D. 【答案】A 【详解】解:设 则 . 由题得 . . 在△ 中,由正弦定理得 . 所以塔高 m. 故选:A 2.(2022·四川省宜宾市第四中学校模拟预测(文))如图所示,为了测量A,B处岛屿的距离,小明在D 处观测,A,B分别在D处的北偏西15°、北偏东45°方向,再往正东方向行驶40海里至C处,观测B在C 处的正北方向,A在C处的北偏西60°方向,则A,B两处岛屿间的距离为 ( ) A. 海里 B. 海里 C. 海里 D.40海里 【答案】A 【详解】由题意可知 , 所以 , 在 中,由正弦定理得 ,得 ,在 中,因为 , 所以 , 在 中,由余弦定理得 , 故选:A 3.(2022·河南郑州·三模(理))位于登封市告成镇的观星台相当于一个测量日影的圭表.圭表是我国古 代一种通过测量正午日影长度来推定节气的天文仪器,它包括一根直立的标竿(称为“表”)和一把呈南 北方向水平固定摆放的与标竿垂直的长尺(称为“圭”).当正午太阳照射在表上时,日影便会投影在圭 面上,圭面上日影长度最长的那一天定为冬至,日影长度最短的那一天定为夏至.如图是一个根据郑州市 的地理位置设计的圭表的示意图,已知郑州市冬至正午太阳高度角(即 )约为32.5°,夏至正午太 阳高度角(即 )约为79.5°,圭面上冬至线与夏至线之间的距离(即 的长)为14米,则表高 (即 的长)约为( )(其中 , ) A.9.27米 B.9.33米 C.9.45米 D.9.51米 【答案】C 【详解】解:如图, , 设表高 ,则由题知, , 所以 , 因为 , , , 所以 ,解得 , 所以,表高(即 的长)约为 米. 故选:C4.(2022·黑龙江·哈尔滨三中三模(理))如图为某小区七人足球场的平面示意图, 为球门,在某次 小区居民友谊比赛中,队员甲在中线上距离边线 米的 点处接球,此时 ,假设甲沿着平行 边线的方向向前带球,并准备在点 处射门,为获得最佳的射门角度(即 最大),则射门时甲离上 方端线的距离为( ) A. B. C. D. 【答案】B 【详解】设 ,并根据题意作如下示意图,由图和题意得: , , 所以 ,且 , 所以 , 又 ,所以 ,解得 ,即 , 设 , ,则 , ,所以在 中, 有 ,令 ,所以 , 所以 , 因为 ,所以 ,则要使 最大, 即 要取得最小值,即 取得最大值, 即 在 取得最大值, 令 , , 所以 的对称轴为: ,所以 在 单调递增,在 单调递减, 所以当 时, 取得最大值,即 最大,此时 ,即 , 所以 ,所以 ,即为获得最佳的射门角度(即 最大), 则射门时甲离上方端线的距离为: . 故选:B. 5.(2022·全国·模拟预测(理))如图甲,首钢滑雪大跳台是冬奥历史上第一座与工业遗产再利用直接结 合的竞赛场馆,大跳台的设计中融入了世界文化遗产敦煌壁画中“飞天”的元素.如图乙,某研究性学习小 组为了估算赛道造型最高点A距离地面的高度 ( 与地面垂直),在赛道一侧找到一座建筑物 , 测得 的高度为h,并从C点测得A点的仰角为30°;在赛道与建筑物 之间的地面上的点E处测得A 点,C点的仰角分别为75°和30°(其中B,E,D三点共线).该学习小组利用这些数据估算得 约为60 米,则 的高h约为( )米(参考数据: , , ) A.11 B.20.8 C.25.4 D.31.8 【答案】C 【详解】解:由题意可得 , 则 , 在 中, , 在 中,因为 , 所以 , 所以 , 又 , 所以 (米). 故选:C. 6.(2022·黑龙江·哈尔滨七十三中高三阶段练习)如图,某湿地为拓展旅游业务,现准备在湿地内建造一 个观景台 ,已知射线 , 为湿地两边夹角为 的公路(长度均超过4千米),在两条公路 , 上分别设立游客接送点 , ,且 千米,若要求观景台 与两接送点所成角 与 互补且观景台 在 的右侧,并在观景台 与接送点 , 之间建造两条观光线路 与 , 则观光线路之和最长是_________(千米). 【答案】2【详解】在 中,因为 , , 所以 , 又 与 互补,所以 , 在 中,由余弦定理得: , 即 ,即 , 因为 , 所以 , 所以 ,当且仅当 时,取等号, 所以观光线路之和最长是2. 故答案为:2 7.(2022·全国·高三专题练习)神舟十三号飞船于2022年4月16日首次实施快速返回技术成功着陆.若 由搜救地面指挥中心的提供信息可知:在东风着陆场搜索区域内,A处的返回舱垂直返回地面.空中分队 和地面分队分别在B处和C处,如图为其示意图,若A,B,C在同一水平面上的投影分别为A,B,C, 1 1 且在C点测得B的仰角为26.6°,在C点测得A的仰角为45°,在B点测得A的仰角为26.6°,BB=7 km, 1 ∠BAC=120°.则CA 的长为________km.(参考数据: ) 1 1 1 【答案】10 【详解】解:如图: 设 ,过点 作 的垂线,垂足为 ,由题意得 , , ,则 , 平面 , 平面 , , 又 , 平面 , , , 因为 , 所以 , 四边形 为平行四边形, , , 在 中 , , 平面 , 平面 , , , 在△ 中, , 由余弦定理得 , 化简得 , 或 (舍去). 的长为 . 故答案为:10. 8.(2022·云南民族大学附属中学模拟预测(理))某景区为拓展旅游业务,拟建一个观景台 如图所示 ,其中 , 为两条公路, , , 为公路上的两个景点,测得 , ,为了获得最佳观景效果,要求 对的视角 现需要从观景台 到 , 建造两条 观光路线 , ,且要求观光路线最长.若建造观光路线的宽为 米,每平方造价为 元,则该景区预 算需投入___万元可完成改造【答案】 【详解】在 中,由余弦定理得: , 解得 (千米); 设 , , , 在 中,由正弦定理,得 , , , , 又因为 , 所以 所以 ,即观光线路 长的最大值为 , 该景区预算需投入 元 万元. 故答案为:265. 9.(2022·宁夏·石嘴山市第三中学模拟预测(文))国庆阅兵式上举行升国旗仪式,在坡度为15°的观礼 台上,某一列座位与旗杆在同一个垂直于地面的平面上,某同学在该列的第一排和最后一排测得旗杆顶端 的仰角分别为60°和30°,第一排和最后一排的距离为24.5米,则旗杆的高度为_______米. (参考值: ) 【答案】29.4 【详解】设旗杆高为 米,最后一排为点 ,第一排为点 ,旗杆顶端为点 ,则 ,在 中, , , ,即 , 由正弦定理可得 , 所以 ,解得: 故答案为:29.4 10.(2022·江西·赣州市第三中学模拟预测(文))《九章算术》是中国古代第一部数学专著.《九章算 术》中的“邪田”意为直角梯形,上、下底称为“畔”,高称为“正广”,非高腰边称为“邪”.如图所 示,邪长为 ,东畔长为 ,在A处测得C,D两点处的俯角分别为49°和19°,则正广长约为______.(注: ) 【答案】 【详解】由题可得, ,在 中,由余弦定理可得 ,代入得 ,即 ,因为 ,故 ,故 故答案为: 第二部分:冲刺重难点特训 一、单选题 1.(2022·吉林·东北师大附中模拟预测)若 ,则 的值为( ) A. B. C. D. 【答案】C 【详解】 , 所以 ,解得: . 故选:C 2.(2022·广西北海·一模(理))已知函数 ,将 的图象上所有点的横 坐标缩短为原来的 ,纵坐标不变,得到函数 的图象,已知 在 上恰有5个零点,则 的取 值范围是( ) A. B. C. D. 【答案】D【详解】 ,令 ,由题意 在 上恰有5个零点,即 在 上恰有5个不相等的实根,由 的性质可得 ,解得 . 故选:D. 3.(2022·广西北海·一模(理))如图所示,阴影部分由四个全等的三角形组成,每个三角形是腰长等于 圆的半径,顶角为 的等腰三角形.如果在圆内随机取一点,那么该点落到阴影部分内的概率 为 ,则 ( ) A. B. C. D. 【答案】A 【详解】解:设圆的半径为 ,则圆的面积为 , 所以,四个三角形的面积为 , 因为,在圆内随机取一点,那么该点落到阴影部分内的概率为 所以, ,解得 , 因为 ,所以 . 故选:A 4.(2022·河南河南·一模(文))把函数 的图象向左平移 个单位,再将得到的曲线上所有 点的横坐标变为原来的 倍, 纵坐标不变, 得到函数 的图象. 若函数 在 上恰有 3 个零点, 则正数 的取值范围是( ) A. B. C. D. 【答案】B【详解】把函数 的图象向左平移 个单位,得到 , 再将得到的曲线上所有点的横坐标变为原来的 倍,纵坐标不变,得到 , ∵ , ,则 , 令 则 , , 若函数 的图象在 上恰有3个交点,则 . 故正数 的取值范围是 . 故选:B. 5.(2022·河南省淮阳中学模拟预测(理))已知 中,内角A,B,C的对边分別为a,b,c,若点A 到直线BC的距离为 ,且 ,则 ( ) A. B. C. D. 【答案】A 【详解】因为点A到直线BC的距离为 ,所以 的面积 ,又 ,所以 ,故 ,又 ,所以 ;由 及正弦定理可得 ,故 ,故 . 故选:A. 6.(2022·全国·武功县普集高级中学模拟预测(理))在△ABC中,角A,B,C所对的边分别为a,b, c,若 ,且 ,则 ( ) A.1 B. C.2 D.【答案】B 【详解】 ,化简得 . 由正弦定理、余弦定理,得 ,化简得 , 由 ,展开整理得 , 则 ,即 , 所以 , 故选:B. 7.(2022·广西南宁·三模(理))函数 ,则 的图象在 内的零点之和为 ( ) A.2 B.4 C.6 D.8 【答案】B 【详解】由 可得 , 则函数 与函数 的图象在 内交点的横坐标即为函数 的零点, 又函数 与函数 的图象都关于点 对称, 作出函数 与函数 的大致图象, 由图象可知 在 内有四个零点,则零点之和为4.故选:B. 8.(2022·全国·模拟预测(理))如图所示,在△ABC中, , ,记△ABC外接圆的面积 为 ,取△ABC三边的中点分别为D,E,F,记△DEF外接圆的面积为 ,再取△DEF三边的中点分别 为P,Q,R,记△PQR外接圆的面积为 ,依次类推,若△ABC的内切圆半径为 ,则 ( ) A. B. C. D. 【答案】D 【详解】 如图连接 , 因为 , 为 的中点, 所以 平分 , , 的内切圆圆心在 上,设为 , 因为 ,所以 , 因为△ABC的内切圆半径为 , 所以 , 所以 , 设△ABC的外接圆半径为 ,则由正弦定理得 , ,解得 , 所以 因为 分别为 的中点,所以 ∥ , , 所以△DEF外接圆的半径为1, 所以 , 同理可得△PQR外接圆的半径为 ,则 , , , 故选:D 二、多选题 9.(2022·全国·模拟预测)已知函数 的图象过点 ,下列说法中正 确的有( ) A.若 ,则 在 上单调递减 B.若把 的图象向左平移 个单位后得到的函数为偶函数,则 的最小值为2 C.若 在 上有且仅有4个零点,则 D.若 ,且 在区间 上有最小值无最大值,则 【答案】BC 【详解】依题意, ,即 ,而 ,则 , , 对于A,当 时, ,由 ,得 ,则 在 上不单调,A 不正确; 对于B, 的图象向左平移 个单位后得函数 , 依题意, ,解得: ,因此 的最小值为2,B正确; 对于C,当 时, ,因 在 上有且仅有4个零点, 则 ,解得: ,C正确; 对于D,因 ,且 在区间 上有最小值无最大值,则直线 是 图象的对称 轴,且 在 处取得最小值, ,因此, ,且 , 即 ,且 ,所以 或 ,D不正确. 故选:BC 10.(2022·辽宁·东北育才双语学校一模) 的内角A, , 的对边分别为a,b,c,下列说法正确 的是 ( ) A.若 ,则 B.若 ,则此三角形为等腰三角形 C.若 , , ,则解此三角形必有两解 D.若 是锐角三角形,则 【答案】AD 【详解】由正弦定理可知 ,又 ,所以 ,可得 ,因为 ,所以 ,A正确; 因为 ,且角2A,2 最多有一个大于 ,所以由 可知, 或 ,即 或 , 所以 为等腰三角形或直角三角形,故B错误; 由正弦定理可得 ,因为 ,所以 ,故此三角形有唯一解,C错误; 因为 是锐角三角形,所以 ,即 ,又 在 上单调递增,所以 ,同理 , 所以 ,D正确. 故选:AD 三、填空题 11.(2022·辽宁·鞍山一中二模)若 ,且 ,则 ______. 【答案】 【详解】解:因为 ,且 ,所以 , 所以 故答案为: 12.(2022·河南濮阳·模拟预测(理))已知a,b,c分别为 的三个内角A,B,C的对边,且 ,则 的最小值为______. 【答案】 【详解】由正弦定理得 所以 ,所以 . 因为 所以 ,所以 . 所以 . 所以 的最小值为 故答案为: 13.(2022·上海普陀·二模)若 ,则等式 成立的一个 的值可以是 ________. 【答案】 ## 【详解】 可得 , 即 ,所以 (舍去)或 ,解得 , , 当 时, , 故答案为: 14.(2022·全国·模拟预测(理))如图,在平面四边形ABCD中, , , , ,则四边形ABCD面积的最大值为______. 【答案】 【详解】在 中, , ; ; 在 中, , 化简得: ,即: , ; 四边形的面积最大为: ; 故答案为: .