当前位置:首页>文档>素养拓展28立体几何中的建系设点问题(精讲+精练)一轮复习讲义2024年高考数学高频考点题型归纳与方法总结(新高考通用)原卷版_2.2025数学总复习_2024年新高考资料_1.2024一轮复习

素养拓展28立体几何中的建系设点问题(精讲+精练)一轮复习讲义2024年高考数学高频考点题型归纳与方法总结(新高考通用)原卷版_2.2025数学总复习_2024年新高考资料_1.2024一轮复习

  • 2026-04-29 15:33:22 2026-03-27 00:26:30

文档预览

素养拓展28立体几何中的建系设点问题(精讲+精练)一轮复习讲义2024年高考数学高频考点题型归纳与方法总结(新高考通用)原卷版_2.2025数学总复习_2024年新高考资料_1.2024一轮复习
素养拓展28立体几何中的建系设点问题(精讲+精练)一轮复习讲义2024年高考数学高频考点题型归纳与方法总结(新高考通用)原卷版_2.2025数学总复习_2024年新高考资料_1.2024一轮复习
素养拓展28立体几何中的建系设点问题(精讲+精练)一轮复习讲义2024年高考数学高频考点题型归纳与方法总结(新高考通用)原卷版_2.2025数学总复习_2024年新高考资料_1.2024一轮复习
素养拓展28立体几何中的建系设点问题(精讲+精练)一轮复习讲义2024年高考数学高频考点题型归纳与方法总结(新高考通用)原卷版_2.2025数学总复习_2024年新高考资料_1.2024一轮复习
素养拓展28立体几何中的建系设点问题(精讲+精练)一轮复习讲义2024年高考数学高频考点题型归纳与方法总结(新高考通用)原卷版_2.2025数学总复习_2024年新高考资料_1.2024一轮复习
素养拓展28立体几何中的建系设点问题(精讲+精练)一轮复习讲义2024年高考数学高频考点题型归纳与方法总结(新高考通用)原卷版_2.2025数学总复习_2024年新高考资料_1.2024一轮复习
素养拓展28立体几何中的建系设点问题(精讲+精练)一轮复习讲义2024年高考数学高频考点题型归纳与方法总结(新高考通用)原卷版_2.2025数学总复习_2024年新高考资料_1.2024一轮复习
素养拓展28立体几何中的建系设点问题(精讲+精练)一轮复习讲义2024年高考数学高频考点题型归纳与方法总结(新高考通用)原卷版_2.2025数学总复习_2024年新高考资料_1.2024一轮复习
素养拓展28立体几何中的建系设点问题(精讲+精练)一轮复习讲义2024年高考数学高频考点题型归纳与方法总结(新高考通用)原卷版_2.2025数学总复习_2024年新高考资料_1.2024一轮复习
素养拓展28立体几何中的建系设点问题(精讲+精练)一轮复习讲义2024年高考数学高频考点题型归纳与方法总结(新高考通用)原卷版_2.2025数学总复习_2024年新高考资料_1.2024一轮复习
素养拓展28立体几何中的建系设点问题(精讲+精练)一轮复习讲义2024年高考数学高频考点题型归纳与方法总结(新高考通用)原卷版_2.2025数学总复习_2024年新高考资料_1.2024一轮复习
素养拓展28立体几何中的建系设点问题(精讲+精练)一轮复习讲义2024年高考数学高频考点题型归纳与方法总结(新高考通用)原卷版_2.2025数学总复习_2024年新高考资料_1.2024一轮复习
素养拓展28立体几何中的建系设点问题(精讲+精练)一轮复习讲义2024年高考数学高频考点题型归纳与方法总结(新高考通用)原卷版_2.2025数学总复习_2024年新高考资料_1.2024一轮复习
素养拓展28立体几何中的建系设点问题(精讲+精练)一轮复习讲义2024年高考数学高频考点题型归纳与方法总结(新高考通用)原卷版_2.2025数学总复习_2024年新高考资料_1.2024一轮复习
素养拓展28立体几何中的建系设点问题(精讲+精练)一轮复习讲义2024年高考数学高频考点题型归纳与方法总结(新高考通用)原卷版_2.2025数学总复习_2024年新高考资料_1.2024一轮复习
素养拓展28立体几何中的建系设点问题(精讲+精练)一轮复习讲义2024年高考数学高频考点题型归纳与方法总结(新高考通用)原卷版_2.2025数学总复习_2024年新高考资料_1.2024一轮复习
素养拓展28立体几何中的建系设点问题(精讲+精练)一轮复习讲义2024年高考数学高频考点题型归纳与方法总结(新高考通用)原卷版_2.2025数学总复习_2024年新高考资料_1.2024一轮复习
素养拓展28立体几何中的建系设点问题(精讲+精练)一轮复习讲义2024年高考数学高频考点题型归纳与方法总结(新高考通用)原卷版_2.2025数学总复习_2024年新高考资料_1.2024一轮复习
素养拓展28立体几何中的建系设点问题(精讲+精练)一轮复习讲义2024年高考数学高频考点题型归纳与方法总结(新高考通用)原卷版_2.2025数学总复习_2024年新高考资料_1.2024一轮复习
素养拓展28立体几何中的建系设点问题(精讲+精练)一轮复习讲义2024年高考数学高频考点题型归纳与方法总结(新高考通用)原卷版_2.2025数学总复习_2024年新高考资料_1.2024一轮复习

文档信息

文档格式
docx
文档大小
1.366 MB
文档页数
16 页
上传时间
2026-03-27 00:26:30

文档内容

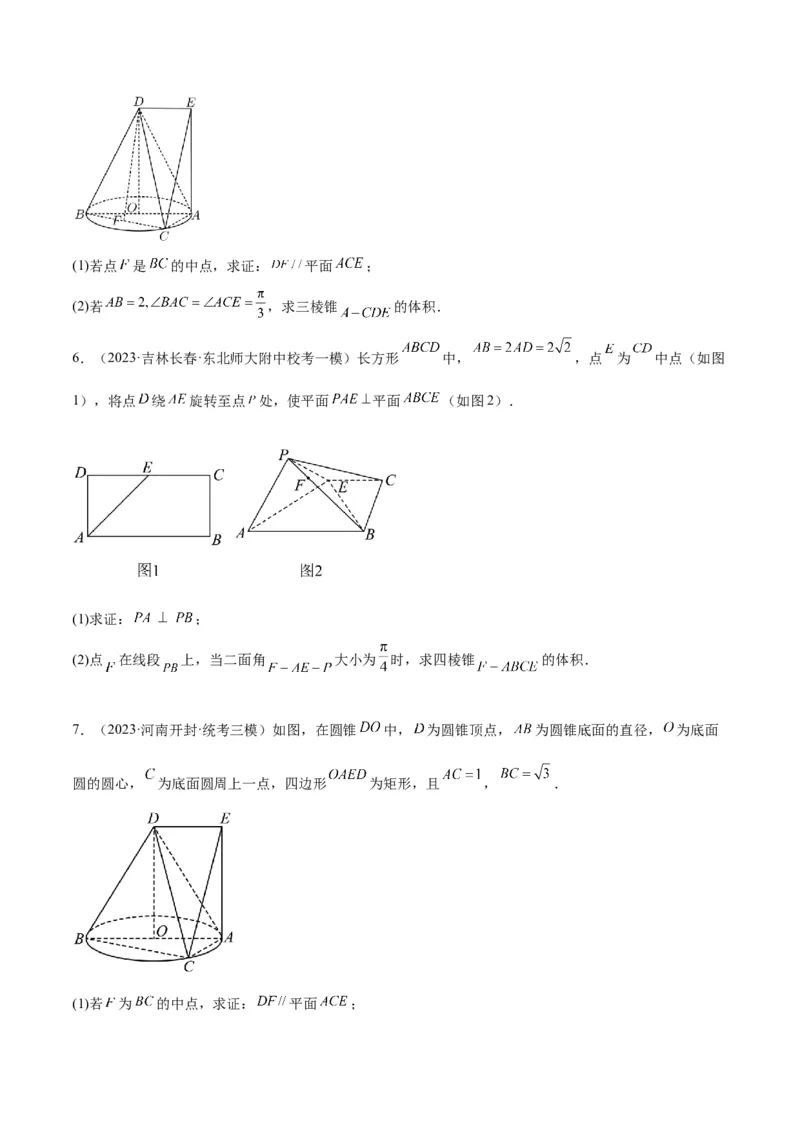
【一轮复习讲义】2024年高考数学高频考点题型归纳与方法总结(新高考通用) 素养拓展 28 立体几何中的建系设点问题(精讲+精练) 一、知识点梳理 一、建系设点有关的基础储备 与垂直相关的定理与结论 (1)线面垂直 ① 如果一条直线与一个平面上的两条相交直线垂直,则这条直线与该平面垂直 ② 两条平行线,如果其中一条与平面垂直,那么另外一条也与这个平面垂直 ③ 两个平面垂直,则其中一个平面上垂直交线的直线与另一个平面垂直 ④ 直棱柱:侧棱与底面垂直; ⑤有一条侧棱垂直于底面的椎体。 ⑥正三棱柱、正四棱柱:顶点在底面的投影为底面的中心。 ⑦侧面与底面所成角均相等或侧棱长均相等可得顶点在底面的投影为底面的中心。 (2)线线垂直(相交垂直) ① 正方形,矩形,直角梯形 ② 等腰三角形底边上的中线与底边垂直(三线合一) ③ 菱形的对角线相互垂直 ④ 勾股定理逆定理:若 ,则 二、建立直角坐标系的原则 1. 轴的选取往往是比较容易的,依据的是线面垂直,即 轴要与坐标平面 垂直,在几何体中也是很 直观的,垂直底面高高向上的即是,而坐标原点即为 轴与底面的交点 2. 轴的选取:此为坐标是否易于写出的关键,有这么几个原则值得参考: (1)尽可能的让底面上更多的点位于 轴上 (2)找角: 轴要相互垂直,所以要利用好底面中的垂直条件 (3)找对称关系:寻找底面上的点能否存在轴对称特点 3.常用的空间直角坐标系满足 轴成右手系,所以在标 轴时要注意。 4.同一个几何体可以有不同的建系方法,其坐标也会对应不同。但是通过坐标所得到的结论(位置关系, 角)是一致的。5.解答题中,在建立空间直角坐标系之前,要先证明所用坐标轴为两两垂直(即一个线面垂直 底面两条 线垂直),这个过程不能省略。 三、坐标的书写 1.能够直接写出坐标的点 (1) 坐标轴上的点,例如在正方体(长度为1)中的 点,坐标特点如下: 轴: 轴: 轴: (2)底面上的点:坐标均为 ,即竖坐标 ,由于底面在作立体图时往往失真,所以要快速正 确写出坐标,强烈建议在旁边作出底面的平面图进行参考:以下图为例: O C I A H B 则可快速写出 点的坐标,位置关系清晰明了 2.空间中在底面投影为特殊位置的点 如果 在底面的投影为 ,那么 (即点与投影点的横纵坐标相同) 这条规律出发,在写空间中的点时,可看下在底面的投影点,坐标是否好写。如果可以则直接确定了横纵 坐标,而竖坐标为该点到底面的距离。例如:正方体中的 点,其投影为 ,而 所以 ,而其到底面的距离为 ,故坐标为 以上两个类型已经可以囊括大多数几何体中的点,但总还有一些特殊点,那么就要用到第三个方法: 3.需要计算的点 ①中点坐标公式: ,则 中点 ②利用向量关系进行计算(先设再求):向量坐标化后,向量的关系也可转化为坐标的关系,进而可以求出一些位置不好的点的坐标,方法通常是先设出所求点的坐标,再选取向量,利用向量关系解出变量的 值,例如:求 点的坐标,如果使用向量计算,则设 ,可直接写出 ,观察向量 ,而 , 四、空间直角坐标系建立的模型 (1)墙角模型:已知条件中有过一点两两垂直的三条直线,就是墙角模型. 建系:以该点为原点,分别以两两垂直的三条直线为x轴,y轴,z轴,建立空间直角坐标系Oxyz,当然条 件不明显时,要先证明过一点的三条直线两两垂直(即一个线面垂直 面内两条线垂直),这个过程不能省 略.然后建系. z D A B z 1 1 A 1 D z 1 C 1 B 1 C 1 x F y A D A B O y F E B E C C x x y (2)垂面模型:已知条件中有一条直线垂直于一个平面,就是墙角模型. 情形1 垂下(上)模型:直线竖直,平面水平,大部分题目都是这种类型.如图,此情形包括垂足在平面 图形的顶点处、垂足在平面图形的边上(中点多)和垂足在平面图形的内部三种情况. 第一种建系方法为以垂足为坐标原点,垂线的向上方向为z轴,平面图形的一边为x轴或y轴,在平面图 形中,过原点作x轴或y轴的垂线为y轴或x轴(其中很多题目是连接垂足与平面图形的另一顶点)建立空间 直角坐标系.如图1-1 第二种建系方法为以垂足为坐标原点,垂线的向上方向为z轴,垂足所在的一边为x轴或y轴,在平面图 形中,过原点作x轴或y轴的垂线为y轴或x轴(其中很多题目是连接垂足与平面图形的另一顶点)建立空间 直角坐标系.如图1-2 第三种建系方法为以垂足为坐标原点,垂线的向上方向为z轴,连接垂足与平面图形的一顶点所在直线为 为x轴或y轴,在平面图形中,过原点作x轴或y轴的垂线为y轴或x轴(其中很多题目是连接垂足与平面图 形的另一顶点)建立空间直角坐标系.如图1-3图1-1 z A E F B O D y M x C 图1-2 图1-3 情形2 垂左(右)模型:直线水平,平面竖直,这种类型的题目很少.各种情况如图,建系方法可类比情形 1. 图2-1 图2-2 图2-3 情形3 垂后(前)模型:直线水平,平面竖直,这种类型的题目很少.各种情况如图,建系方法可类比情形 1. 图3-1 图3-2 图3-3二、题型精讲精练 【典例1】如图,在等腰梯形 中, , , 平面 ,且 ,建立适当的直角坐标系并确定各点坐标。 方案一:(选择 为轴),连结 可知 在 中 由 可解得 平面 ,以 为坐标轴如图建系: B C D A 方案二(以 为轴):过 作 的垂线 平面 , 以 为坐标轴如图建系:(同方案一)计算可得:D C A B 【典例2】如图:已知 平面 ,点 在 上,且 ,四边形 为直角梯形, ,建立适当的坐标系并求出各点坐标 O 解: 平面 , 平面 两两垂直,如图建系: 中: 为等边三角形为等边三角形 在底面 投影为 且 综上所述: 【题型训练-刷模拟】 一、解答题 1.(2023·重庆九龙坡·重庆市育才中学校考模拟预测)如图所示,在三棱柱 中,点G、M分 别是线段AD、BF的中点. (1)求证: 平面BEG; (2)若三棱柱 的侧面ABCD和ADEF都是边长为2的正方形,平面 平面ADEF,求二面 角 的余弦值; 2.(2023·海南省直辖县级单位·嘉积中学校考三模)如图所示, 为等边三角形, 平面 , , , , 为线段 上一动点.(1)若 为线段 的中点,证明: . (2)若 ,求二面角 的余弦值. 3.(2023·河北秦皇岛·统考模拟预测)如图,在多面体 中,四边形 是边长为4的菱形, 与 交于点 平面 . (1)求证:平面 平面 ; (2)若 ,点 为 的中点,求二面角 的余弦值. 4.(2023·广西柳州·统考模拟预测)如图,三棱柱 的底面 是正三角形,侧面 是 菱形,平面 平面 , 分别是棱 的中点. (1)证明: 平面 ; (2)若 ,求直线 与平面 所成角的正弦值. 5.(2023·四川南充·模拟预测)如图所示,在圆锥 中, 为圆锥的顶点, 为底面圆圆心, 是圆 的直径, 为底面圆周上一点,四边形 是矩形.(1)若点 是 的中点,求证: 平面 ; (2)若 ,求三棱锥 的体积. 6.(2023·吉林长春·东北师大附中校考一模)长方形 中, ,点 为 中点(如图 1),将点 绕 旋转至点 处,使平面 平面 (如图2). (1)求证: ; (2)点 在线段 上,当二面角 大小为 时,求四棱锥 的体积. 7.(2023·河南开封·统考三模)如图,在圆锥 中, 为圆锥顶点, 为圆锥底面的直径, 为底面 圆的圆心, 为底面圆周上一点,四边形 为矩形,且 , . (1)若 为 的中点,求证: 平面 ;(2)若 与平面 所成角为 ,求二面角 的余弦值. 8.(2023·新疆·统考一模)如图,在平面四边形ABCD中, , ,且 , 以BD为折痕把 和 向上折起,使点A到达点E的位置,点C到达点F的位置,且E,F不重 合. (1)求证: ; (2)若点G为 的重心(三条中线的交点), 平面ABD,求直线 与平面 所成角的余弦值. 9.(2023·广西玉林·统考模拟预测)如图,在三棱柱 中,侧面 是菱形,且 , 侧面 是边长为 的正方形,侧面 侧面 , 为 的中点. (1)求证: 平面 ; (2)求平面 与平面 所成的锐二面角的余弦值.10.(2023·福建·校联考模拟预测)如图所示,三棱柱 的所有棱长均为1, , 为直角. (1)证明:平面 平面 ; (2)设点 是棱 的中点,求直线 与平面 所成角 的正弦值. 11.(2023·广西南宁·南宁二中校联考模拟预测)如图所示,在多面体 中,底面 为直角梯 形, , ,侧面 为菱形,平面 平面 ,M为棱 的中点. (1)若点N为 的中点,求证: 平面 ; (2)若 , ,求平面 与平面 夹角的余弦值. 12.(2023·陕西咸阳·武功县普集高级中学校考模拟预测)在图1中,四边形ABCD为梯形, , , , ,过点A作 ,交BC于E.现沿AE将 ABE折起,使得 △ ,得到如图2所示的四棱锥 ,在图2中解答下列两问:(1)求四棱锥 的体积; (2)若F在侧棱BC上, ,求二面角 的大小. 13.(2023·陕西宝鸡·校考一模)如图,在矩形 中, , , 分别为 , 的中点,且沿 , 分别将 与 折起来,使其顶点 与 重合于点 ,若所得三棱锥 的顶点 在 底面 内的射影 恰为 的中点. (1)求三棱锥 的体积; (2)求折起前的 与侧面 所成二面角的大小. 14.(2023·新疆·统考三模)如图,在圆柱体 中, , ,劣弧 的长为 ,AB为圆O 的直径.(1)在弧 上是否存在点C(C, 在平面 同侧),使 ,若存在,确定其位置,若不存在, 说明理由; (2)求二面角 的余弦值. 15.(2023·河南·校联考模拟预测)如图,在矩形 中,点 在边 上,且满足 ,将 沿 向上翻折,使点 到点 的位置,构成四棱锥 . (1)若点 在线段 上,且 平面 ,试确定点 的位置; (2)若 ,求锐二面角 的大小. 16.(2023·山东潍坊·三模)如图, 为圆锥的顶点, 是圆锥底面的圆心, 为底面直径, 为 底面圆 的内接正三角形,且边长为 ,点 在母线 上,且 .(1)求证:直线 平面 ; (2)求证:平面 平面 ; (3)若点 为线段 上的动点.当直线 与平面 所成角的正弦值最大时,求此时点 到平面 的距离. 17.(2023·河南新乡·新乡市第一中学校考模拟预测)如图,在多面体 中,侧面 为菱形, 侧面 为直角梯形, 分别为 的中点,且 . (1)证明: 平面 ; (2)若平面 平面 ,多面体 的体积为 ,求直线 与平面 所成角的正弦值. 18.(2023·河南·校联考模拟预测)如图,在四棱锥 中, , , , 分别为 , 的中点,点 在 上,且 为三角形 的重心.(1)证明: 平面 ; (2)若 , ,四棱锥 的体积为 ,求直线 与平面 所成角的正弦值. 19.(2023·全国·模拟预测)已知菱形ABCD中, ,四边形BDEF为正方形,满足 , 连接AE,AF,CE,CF. (1)证明: ; (2)求直线AE与平面BDEF所成角的正弦值. 20.(2023·黑龙江大庆·大庆实验中学校考模拟预测)已知三棱柱 , , , , 在平面ABC上的射影为B,二面角 的大小为 ,(1)求 与BC所成角的余弦值; (2)在棱 上是否存在一点E,使得二面角 为 ,若存在,求出 的值,若不存在,说明理 由.