当前位置:首页>文档>素养拓展31圆锥曲线中焦半径和焦点弦公式的应用(精讲+精练)一轮复习讲义2024年高考数学高频考点题型归纳与方法总结(新高考通用)原卷版_2.2025数学总复习_2024年新高考资料

素养拓展31圆锥曲线中焦半径和焦点弦公式的应用(精讲+精练)一轮复习讲义2024年高考数学高频考点题型归纳与方法总结(新高考通用)原卷版_2.2025数学总复习_2024年新高考资料

  • 2026-04-03 03:22:18 2026-03-27 00:59:28

文档预览

素养拓展31圆锥曲线中焦半径和焦点弦公式的应用(精讲+精练)一轮复习讲义2024年高考数学高频考点题型归纳与方法总结(新高考通用)原卷版_2.2025数学总复习_2024年新高考资料
素养拓展31圆锥曲线中焦半径和焦点弦公式的应用(精讲+精练)一轮复习讲义2024年高考数学高频考点题型归纳与方法总结(新高考通用)原卷版_2.2025数学总复习_2024年新高考资料
素养拓展31圆锥曲线中焦半径和焦点弦公式的应用(精讲+精练)一轮复习讲义2024年高考数学高频考点题型归纳与方法总结(新高考通用)原卷版_2.2025数学总复习_2024年新高考资料
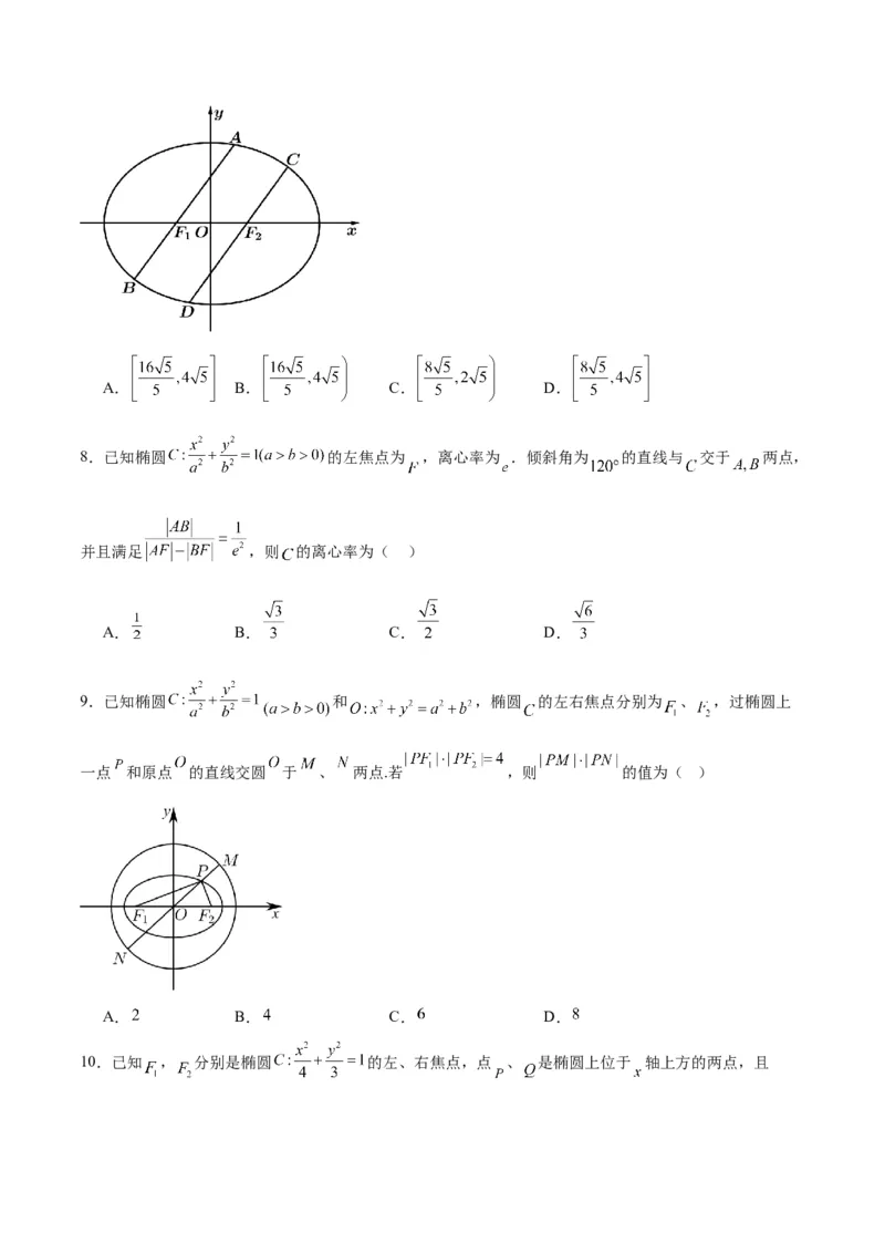
素养拓展31圆锥曲线中焦半径和焦点弦公式的应用(精讲+精练)一轮复习讲义2024年高考数学高频考点题型归纳与方法总结(新高考通用)原卷版_2.2025数学总复习_2024年新高考资料
素养拓展31圆锥曲线中焦半径和焦点弦公式的应用(精讲+精练)一轮复习讲义2024年高考数学高频考点题型归纳与方法总结(新高考通用)原卷版_2.2025数学总复习_2024年新高考资料
素养拓展31圆锥曲线中焦半径和焦点弦公式的应用(精讲+精练)一轮复习讲义2024年高考数学高频考点题型归纳与方法总结(新高考通用)原卷版_2.2025数学总复习_2024年新高考资料
素养拓展31圆锥曲线中焦半径和焦点弦公式的应用(精讲+精练)一轮复习讲义2024年高考数学高频考点题型归纳与方法总结(新高考通用)原卷版_2.2025数学总复习_2024年新高考资料
素养拓展31圆锥曲线中焦半径和焦点弦公式的应用(精讲+精练)一轮复习讲义2024年高考数学高频考点题型归纳与方法总结(新高考通用)原卷版_2.2025数学总复习_2024年新高考资料
素养拓展31圆锥曲线中焦半径和焦点弦公式的应用(精讲+精练)一轮复习讲义2024年高考数学高频考点题型归纳与方法总结(新高考通用)原卷版_2.2025数学总复习_2024年新高考资料
素养拓展31圆锥曲线中焦半径和焦点弦公式的应用(精讲+精练)一轮复习讲义2024年高考数学高频考点题型归纳与方法总结(新高考通用)原卷版_2.2025数学总复习_2024年新高考资料
素养拓展31圆锥曲线中焦半径和焦点弦公式的应用(精讲+精练)一轮复习讲义2024年高考数学高频考点题型归纳与方法总结(新高考通用)原卷版_2.2025数学总复习_2024年新高考资料
素养拓展31圆锥曲线中焦半径和焦点弦公式的应用(精讲+精练)一轮复习讲义2024年高考数学高频考点题型归纳与方法总结(新高考通用)原卷版_2.2025数学总复习_2024年新高考资料
素养拓展31圆锥曲线中焦半径和焦点弦公式的应用(精讲+精练)一轮复习讲义2024年高考数学高频考点题型归纳与方法总结(新高考通用)原卷版_2.2025数学总复习_2024年新高考资料
素养拓展31圆锥曲线中焦半径和焦点弦公式的应用(精讲+精练)一轮复习讲义2024年高考数学高频考点题型归纳与方法总结(新高考通用)原卷版_2.2025数学总复习_2024年新高考资料
素养拓展31圆锥曲线中焦半径和焦点弦公式的应用(精讲+精练)一轮复习讲义2024年高考数学高频考点题型归纳与方法总结(新高考通用)原卷版_2.2025数学总复习_2024年新高考资料

文档信息

文档格式
docx
文档大小
1.039 MB
文档页数
11 页
上传时间
2026-03-27 00:59:28

文档内容

【一轮复习讲义】2024年高考数学高频考点题型归纳与方法总结(新高考通用) 素养拓展 31 圆锥曲线中焦半径和焦点弦公式的应用(精讲+精练) 一、知识点梳理 一、椭圆的焦半径和焦点弦公式 【焦半径形式1】椭圆 的左、右焦点分别为 、 ,点 为椭圆上任意点, 则椭圆的焦半径 和 可按下面的公式计算: (1) ;(2) (记忆:左加右减) 【焦半径形式2】椭圆 的一个焦点为F,P为椭圆上任意一点,设 ,则椭圆 的焦半径 ,若延长 交椭圆于另一点Q,则椭圆的焦点弦 . 二、双曲线的焦半径和焦点弦公式 【焦半径形式1】双曲线 的左、右焦点分别为 、 ,点 为双曲线任意 一点,则双曲线的焦半径 和 可按下面的公式计算: (1) ;(2) (记忆:左加右减)【焦半径形式2】双曲线 的一个焦点为F,P为双曲线上任意一点,设 , 则双曲线的焦半径 ,若直线 交双曲线于另一点Q,则双曲线的焦点弦 .(焦半径公式中取“+”还是取“-”由P和F是否位于y轴同侧决定,同正异负) 三、抛物线的焦半径和焦点弦公式 【焦半径形式1】设点 在抛物线上, 、 , 是抛物线的焦点弦,则抛物线的 坐标版焦半径、焦点弦公式如下表: 标准方程 图形 焦半径公式 焦点弦公式 【焦半径形式2】直线AB过抛物线 的焦点,交抛物线于A(x,y),B(x,y)两点,设α 1 1 2 2 为AB的倾斜角(1)弦长AB= (2)|AB|=x+x+p,x+x≥ =p,即当x=x 时,弦长最短为:(通径)2p. 1 2 1 2 1 2 (3) , , +为定值. 二、题型精讲精练 【典例 1】椭圆 的左、右焦点分别为 、 ,点P在椭圆上,则 的取值范围为 _______. 【解析】由题意, , , ,设 ,其中 , 则 , ,所以 【典例2】双曲线 的左、右焦点分别为 、 ,双曲线上的一点P满足 ,则点 P的坐标为_______. 【解析】由题意, , , , ,由焦半径公式, , , 因为 ,所以 ,解得: 或 (舍去) 代入双曲线的方程可求得 ,所以P的坐标为 . 【典例3】过抛物线 焦点F的直线l与抛物线C交于A、B两点,若 ,则 _____. 【解析】设 ,则 ,所以 ,故 .【典例4】抛物线 的焦点为F,过F且倾斜角为60°的直线l被抛物线C截得的弦长为______. 【解析】解法1:由题意, ,设 ,代入 整理得: , 设两根为 和 ,则 ,故直线l被抛物线C截得的弦长 . 解法2:直线l被抛物线C截得的弦长 . 【题型训练-刷模拟】 1 . 椭圆的焦半径和焦点弦公式 一、单选题 1.已知 , 是椭圆 的两个焦点,点M在椭圆C上,当 取最大值时,三角形 面积为( ) A. B. C.2 D.4 2.已知动点 在椭圆 : 上, 为椭圆 的右焦点,若点 满足 ,且 ,则 的最小值为( ) A.3 B.2 C. D.13.已知椭圆 的右焦点为 ,若过 的直线 与椭圆 交于 两点,则 的取值范围是 ( ) A. B. C. D. 4.已知 为椭圆 上任意一点,EF为圆 的任意一条直径,则 的取值范 围是( ) A. B. C. D. 5.已知 为坐标原点,椭圆 的左、右焦点分别为 、 , 为第一象限内 上一点.若 ,则直线 的斜率为( ) A. B. C. D. 6.已知椭圆 : 的右焦点为 ,点 , 为第一象限内椭圆上的两个点,且 , ,则椭圆 的离心率为( ) A. B. C. D.2 7.如图,椭圆 的左、右焦点分别为 , ,过点 , 分别作弦 , .若 ,则 的取值范围为( )A. B. C. D. 8.已知椭圆 的左焦点为 ,离心率为 .倾斜角为 的直线与 交于 两点, 并且满足 ,则 的离心率为( ) A. B. C. D. 9.已知椭圆 和 ,椭圆 的左右焦点分别为 、 ,过椭圆上 一点 和原点 的直线交圆 于 、 两点.若 ,则 的值为( ) A. B. C. D. 10.已知 , 分别是椭圆 的左、右焦点,点 、 是椭圆上位于 轴上方的两点,且,则 的取值范围为( ) A. B. C. D. 二、填空题 11.已知椭圆C的离心率 ,左右焦点分别为 ,P为椭圆C上一动点,则 的取值范围为 . 12.已知椭圆 ,线段 的两个端点 在椭圆上移动,且 是 的中点,则 的最大值是 . 13.设 、 分别为椭圆 : 的左、右两个焦点,过 作斜率为1的直线,交 于 、 两点, 则 14.已知椭圆 的左、右焦点分别为 、 ,上顶点为 ,且 ,若第一象限的 点 、 在 上, , , ,则直线 的斜率为 . 15.若直线 : (其中 )与圆 相切,与椭圆 : 交于点 , , 为其右焦点,则 的周长为 . 16.已知椭圆 的左、右焦点分别为 ,离心率为 ,点 在椭圆上,连接 并 延长交 于点 ,连接 ,若存在点 使 成立,则 的取值范围为 . 2 . 双曲线的焦半径和焦点弦公式 一、单选题 1.已知双曲线 上的点到焦点的最小距离为 ,且 与直线 无交点,则 的取值范围是( )A. B. C. D. 2.已知双曲线 的右支上的点 , 满足 , 分别是双曲线的左右焦 点),则 为双曲线 的半焦距)的取值范围是( ) A. , B. , C. , D. , 3.已知双曲线 的左、右焦点分别为 , ,过点 作一条倾斜角为30°的直线 与双曲线C在第一象限交于点M,且 ,则双曲线C的离心率为( ) A. B. C. D. 4.已知动点P在双曲线C: 上,双曲线C的左、右焦点分别为 , ,则下列结论: ①C的离心率为2; ②C的焦点弦最短为6; ③动点P到两条渐近线的距离之积为定值; ④当动点P在双曲线C的左支上时, 的最大值为 . 其中正确的个数是( ) A.1个 B.2个 C.3个 D.4个 二、填空题 5.已知 是双曲线 .左,右焦点,若 上存在一点 ,使得 成立,其中 是坐标原点,则 的离心率的取值范围是 . 6.设 , 分别是双曲线 的左、右焦点,过 的直线 与双曲线 的右支交于 , 两 点,且满足 ( 是坐标原点),则直线 的斜率为 .3 . 抛物线的焦半径和焦点弦公式 一、单选题 1.过抛物线 的焦点 的直线 与抛物线交于 两点,且 ,则直线 的斜 率可能为( ) A. B. C. D. 2.已知斜率为 的直线 过抛物线 的焦点 ,与抛物线 交于 , 两点,过 , 作 轴的垂线,垂足分别为 , ,若 ,则直线 的斜率 等于( ) A.1 B. C. D. 3.过抛物线 的焦点F的直线l交抛物线于A,B两点,且 ,则直线l的斜率是 ( ) A. B. C. D. 4.过抛物线 的焦点F的直线与抛物线在第一象限,第四象限分别交于A,B两点,若 ,则直线AB的倾斜角为( ) A. B. C. D. 5.已知抛物线 : ( )的焦点为 ,直线 的斜率为 且经过点 ,与抛物线 交于 , 两点(点 在第一象限),与抛物线 的准线交于点 ,若 ,则下列说法正确的是( ) ① ;② 为 的中点;③ ;④ .A.①② B.②③ C.③④ D.①②③ 6.已知过抛物线 的焦点F的直线与抛物线交于A、B两点,且 ,抛物线的准线l 与x轴交于点C, 于点 ,若四边形 的面积为 ,则准线l的方程为( ) A. B. C. D. 7.已知抛物线 的焦点为 ,准线为 ,过 的直线与 交于 两点(点 在第一象 限),与 交于点 ,若 , ,则 ( ) A. B.3 C.6 D.12 8.过抛物线 的焦点F作直线交C于A,B,过A和原点的直线交 于D,则 面积的 最小值为( ) A. B.2 C. D. 二、填空题 9.已知 是抛物线 : 的焦点, 是 上一点, 的延长线交 轴于点 ,若 为线 段 的中点,且 ,则 . 10.已知抛物线 ,过焦点P的直线交抛物线C于A,B两点,且线段 的长是焦半径 长的3倍,则直线 的斜率为 . 11.已知O为坐标原点,抛物线 的焦点为 ,过 的直线与 交于A,B两点(A位于第一象 限),且 ,则直线OA的斜率为 . 12.已知抛物线 的焦点 和准线 ,过点 的直线交 于点 ,与抛物线的一个交点为 ,且,则 13.已知抛物线 ,过焦点F的弦交抛物线于A,B两点,且有 ,准线与x轴交于 点C,作A到准线的垂线,垂足为 ,则当四边形 的面积为 时,p的值为 . 14.已知双曲线 : 与抛物线 : 的焦点 重合,过点 作直线 与抛物线 交于 、 两点( 点在 轴上方)且满足 ,若直线 只与双曲线右支相交于两点, 则双曲线 的离心率 的取值范围是 . 15.已知抛物线 的焦点为 ,过 的直线 与抛物线 交于 两点( 在第一象限),若 ,则直线 的斜率为 . 16.焦点为 的抛物线 上有不同的两点 ,且满足 ,若线段 的中点 到抛 物线的准线的距离为 ,则 .