当前位置:首页>文档>考向33双曲线(重点)-备战2023年高考数学一轮复习考点微专题(全国通用)(学生版)_2.2025数学总复习_赠品通用版(老高考)复习资料_一轮复习

考向33双曲线(重点)-备战2023年高考数学一轮复习考点微专题(全国通用)(学生版)_2.2025数学总复习_赠品通用版(老高考)复习资料_一轮复习

  • 2026-04-30 07:43:26 2026-03-27 06:14:38

文档预览

考向33双曲线(重点)-备战2023年高考数学一轮复习考点微专题(全国通用)(学生版)_2.2025数学总复习_赠品通用版(老高考)复习资料_一轮复习
考向33双曲线(重点)-备战2023年高考数学一轮复习考点微专题(全国通用)(学生版)_2.2025数学总复习_赠品通用版(老高考)复习资料_一轮复习
考向33双曲线(重点)-备战2023年高考数学一轮复习考点微专题(全国通用)(学生版)_2.2025数学总复习_赠品通用版(老高考)复习资料_一轮复习
考向33双曲线(重点)-备战2023年高考数学一轮复习考点微专题(全国通用)(学生版)_2.2025数学总复习_赠品通用版(老高考)复习资料_一轮复习
考向33双曲线(重点)-备战2023年高考数学一轮复习考点微专题(全国通用)(学生版)_2.2025数学总复习_赠品通用版(老高考)复习资料_一轮复习
考向33双曲线(重点)-备战2023年高考数学一轮复习考点微专题(全国通用)(学生版)_2.2025数学总复习_赠品通用版(老高考)复习资料_一轮复习
考向33双曲线(重点)-备战2023年高考数学一轮复习考点微专题(全国通用)(学生版)_2.2025数学总复习_赠品通用版(老高考)复习资料_一轮复习
考向33双曲线(重点)-备战2023年高考数学一轮复习考点微专题(全国通用)(学生版)_2.2025数学总复习_赠品通用版(老高考)复习资料_一轮复习
考向33双曲线(重点)-备战2023年高考数学一轮复习考点微专题(全国通用)(学生版)_2.2025数学总复习_赠品通用版(老高考)复习资料_一轮复习
考向33双曲线(重点)-备战2023年高考数学一轮复习考点微专题(全国通用)(学生版)_2.2025数学总复习_赠品通用版(老高考)复习资料_一轮复习
考向33双曲线(重点)-备战2023年高考数学一轮复习考点微专题(全国通用)(学生版)_2.2025数学总复习_赠品通用版(老高考)复习资料_一轮复习
考向33双曲线(重点)-备战2023年高考数学一轮复习考点微专题(全国通用)(学生版)_2.2025数学总复习_赠品通用版(老高考)复习资料_一轮复习
考向33双曲线(重点)-备战2023年高考数学一轮复习考点微专题(全国通用)(学生版)_2.2025数学总复习_赠品通用版(老高考)复习资料_一轮复习
考向33双曲线(重点)-备战2023年高考数学一轮复习考点微专题(全国通用)(学生版)_2.2025数学总复习_赠品通用版(老高考)复习资料_一轮复习
考向33双曲线(重点)-备战2023年高考数学一轮复习考点微专题(全国通用)(学生版)_2.2025数学总复习_赠品通用版(老高考)复习资料_一轮复习
考向33双曲线(重点)-备战2023年高考数学一轮复习考点微专题(全国通用)(学生版)_2.2025数学总复习_赠品通用版(老高考)复习资料_一轮复习
考向33双曲线(重点)-备战2023年高考数学一轮复习考点微专题(全国通用)(学生版)_2.2025数学总复习_赠品通用版(老高考)复习资料_一轮复习
考向33双曲线(重点)-备战2023年高考数学一轮复习考点微专题(全国通用)(学生版)_2.2025数学总复习_赠品通用版(老高考)复习资料_一轮复习
考向33双曲线(重点)-备战2023年高考数学一轮复习考点微专题(全国通用)(学生版)_2.2025数学总复习_赠品通用版(老高考)复习资料_一轮复习
考向33双曲线(重点)-备战2023年高考数学一轮复习考点微专题(全国通用)(学生版)_2.2025数学总复习_赠品通用版(老高考)复习资料_一轮复习
考向33双曲线(重点)-备战2023年高考数学一轮复习考点微专题(全国通用)(学生版)_2.2025数学总复习_赠品通用版(老高考)复习资料_一轮复习
考向33双曲线(重点)-备战2023年高考数学一轮复习考点微专题(全国通用)(学生版)_2.2025数学总复习_赠品通用版(老高考)复习资料_一轮复习
考向33双曲线(重点)-备战2023年高考数学一轮复习考点微专题(全国通用)(学生版)_2.2025数学总复习_赠品通用版(老高考)复习资料_一轮复习
考向33双曲线(重点)-备战2023年高考数学一轮复习考点微专题(全国通用)(学生版)_2.2025数学总复习_赠品通用版(老高考)复习资料_一轮复习
考向33双曲线(重点)-备战2023年高考数学一轮复习考点微专题(全国通用)(学生版)_2.2025数学总复习_赠品通用版(老高考)复习资料_一轮复习
考向33双曲线(重点)-备战2023年高考数学一轮复习考点微专题(全国通用)(学生版)_2.2025数学总复习_赠品通用版(老高考)复习资料_一轮复习
考向33双曲线(重点)-备战2023年高考数学一轮复习考点微专题(全国通用)(学生版)_2.2025数学总复习_赠品通用版(老高考)复习资料_一轮复习
考向33双曲线(重点)-备战2023年高考数学一轮复习考点微专题(全国通用)(学生版)_2.2025数学总复习_赠品通用版(老高考)复习资料_一轮复习
考向33双曲线(重点)-备战2023年高考数学一轮复习考点微专题(全国通用)(学生版)_2.2025数学总复习_赠品通用版(老高考)复习资料_一轮复习
考向33双曲线(重点)-备战2023年高考数学一轮复习考点微专题(全国通用)(学生版)_2.2025数学总复习_赠品通用版(老高考)复习资料_一轮复习
考向33双曲线(重点)-备战2023年高考数学一轮复习考点微专题(全国通用)(学生版)_2.2025数学总复习_赠品通用版(老高考)复习资料_一轮复习
考向33双曲线(重点)-备战2023年高考数学一轮复习考点微专题(全国通用)(学生版)_2.2025数学总复习_赠品通用版(老高考)复习资料_一轮复习
考向33双曲线(重点)-备战2023年高考数学一轮复习考点微专题(全国通用)(学生版)_2.2025数学总复习_赠品通用版(老高考)复习资料_一轮复习
考向33双曲线(重点)-备战2023年高考数学一轮复习考点微专题(全国通用)(学生版)_2.2025数学总复习_赠品通用版(老高考)复习资料_一轮复习
考向33双曲线(重点)-备战2023年高考数学一轮复习考点微专题(全国通用)(学生版)_2.2025数学总复习_赠品通用版(老高考)复习资料_一轮复习
考向33双曲线(重点)-备战2023年高考数学一轮复习考点微专题(全国通用)(学生版)_2.2025数学总复习_赠品通用版(老高考)复习资料_一轮复习
考向33双曲线(重点)-备战2023年高考数学一轮复习考点微专题(全国通用)(学生版)_2.2025数学总复习_赠品通用版(老高考)复习资料_一轮复习
考向33双曲线(重点)-备战2023年高考数学一轮复习考点微专题(全国通用)(学生版)_2.2025数学总复习_赠品通用版(老高考)复习资料_一轮复习
考向33双曲线(重点)-备战2023年高考数学一轮复习考点微专题(全国通用)(学生版)_2.2025数学总复习_赠品通用版(老高考)复习资料_一轮复习
考向33双曲线(重点)-备战2023年高考数学一轮复习考点微专题(全国通用)(学生版)_2.2025数学总复习_赠品通用版(老高考)复习资料_一轮复习
考向33双曲线(重点)-备战2023年高考数学一轮复习考点微专题(全国通用)(学生版)_2.2025数学总复习_赠品通用版(老高考)复习资料_一轮复习
考向33双曲线(重点)-备战2023年高考数学一轮复习考点微专题(全国通用)(学生版)_2.2025数学总复习_赠品通用版(老高考)复习资料_一轮复习
考向33双曲线(重点)-备战2023年高考数学一轮复习考点微专题(全国通用)(学生版)_2.2025数学总复习_赠品通用版(老高考)复习资料_一轮复习
考向33双曲线(重点)-备战2023年高考数学一轮复习考点微专题(全国通用)(学生版)_2.2025数学总复习_赠品通用版(老高考)复习资料_一轮复习
考向33双曲线(重点)-备战2023年高考数学一轮复习考点微专题(全国通用)(学生版)_2.2025数学总复习_赠品通用版(老高考)复习资料_一轮复习
考向33双曲线(重点)-备战2023年高考数学一轮复习考点微专题(全国通用)(学生版)_2.2025数学总复习_赠品通用版(老高考)复习资料_一轮复习
考向33双曲线(重点)-备战2023年高考数学一轮复习考点微专题(全国通用)(学生版)_2.2025数学总复习_赠品通用版(老高考)复习资料_一轮复习

文档信息

文档格式
docx
文档大小
2.384 MB
文档页数
43 页
上传时间
2026-03-27 06:14:38

文档内容

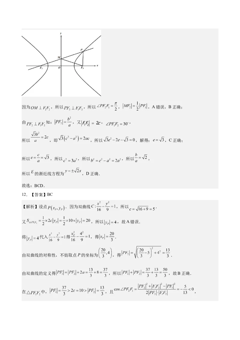
考向 33 双曲线 1.(2022·全国乙(理)T11)11. 双曲线C的两个焦点为 ,以C的实轴为直径的圆记为D,过 作D 的切线与C的两支交于M,N两点,且 ,则C的离心率为( ) A. B. C. D. 【答案】C 【解析】依题意不妨设双曲线焦点在 轴,设过 作圆 的切线切点为 , 所以 ,因为 ,所以 在双曲线的右支, 所以 , , ,设 , , 由 ,即 ,则 , , , 在 中, , 由正弦定理得 , 所以 ,又 , 所以 ,即 , 所以双曲线的离心率 2.(2022·全国甲(文)T15) 记双曲线 的离心率为e,写出满足条件“直线 与C无公共点”的e的一个值______________. 【答案】2(满足 皆可) 【解析】 ,所以C的渐近线方程为 , 结合渐近线的特点,只需 ,即 , 可满足条件“直线 与C无公共点”,所以 , 又因为 ,所以 ,,故答案为:2(满足 皆可)3.(2022·全国甲(理)T14). 若双曲线 的渐近线与圆 相切,则 _________. 【答案】 【解析】双曲线 的渐近线为 ,即 , 不妨取 ,圆 ,即 ,所以圆心为 ,半径 , 依题意圆心 到渐近线 的距离 , 解得 或 (舍去). 故答案为: . 4.(2022·北京卷T12)已知双曲线 的渐近线方程为 ,则 __________. 【答案】 【解析】对于双曲线 ,所以 ,即双曲线的标准方程为 , 则 , ,又双曲线 的渐近线方程为 , 所以 ,即 ,解得 ; 5.(2022·浙江卷T16) 已知双曲线 的左焦点为F,过F且斜率为 的直线交双曲线于点 ,交双曲线的渐近线于点 且 .若 ,则双曲线的离心率 是_________. 【答案】 【解析】过 且斜率为 的直线 ,渐近线 , 联立 ,得 ,由 ,得 而点 在双曲线上,于是 ,解得: ,所以离心率 . 6.(2022·新高考Ⅰ卷T21) 已知点 在双曲线 上,直线l交C于P,Q两点, 直线 的斜率之和为0. (1)求l的斜率; (2)若 ,求 的面积. 【答案】(1) ; (2) . 【解析】(1)因为点 在双曲线 上,所以 ,解得 ,即双曲线 易知直线l的斜率存在,设 , , 联立 可得, , 所以, , . 所以由 可得, , 即 , 即 , 所以 , 化简得, ,即 , 所以 或 , 当 时,直线 过点 ,与题意不符,舍去, 故 . (2)不妨设直线 的倾斜角为 ,因为 ,所以 , 因为 ,所以 ,即 , 即 ,解得 , 于是,直线 ,直线 ,联立 可得, , 因为方程有一个根为 ,所以 , , 同理可得, , . 所以 , , 点 到直线 的距离 , 故 的面积为 . 7.(2022·新高考Ⅱ卷T21) 设双曲线 的右焦点为 ,渐近线方程为 . (1)求C的方程; (2)过F的直线与C的两条渐近线分别交于A,B两点,点 在C上,且 .过P且斜率为 的直线与过Q且斜率为 的直线交于点M,请从下面①②③中选 取两个作为条件,证明另外一个条件成立: ①M在 上;② ;③ . 注:若选择不同的组合分别解答,则按第一个解答计分.【答案】(1) (2)见解析 【解析】(1)右焦点为 ,∴ ,∵渐近线方程为 ,∴ ,∴ ,∴ ,∴ ,∴ . ∴C的方程为: ; (2)由已知得直线 的斜率存在且不为零,直线 的斜率不为零, 若选由①②推③或选由②③推①:由②成立可知直线 的斜率存在且不为零; 若选①③推②,则 为线段 的中点,假若直线 的斜率不存在,则由双曲线的对称性可知 在 轴 上,即为焦点 ,此时由对称性可知 、 关于 轴对称,与从而 ,已知不符; 总之,直线 的斜率存在且不为零. 设直线 的斜率为 ,直线 方程为 , 则条件① 在 上,等价于 ; 两渐近线的方程合并为 , 联立消去y并化简整理得: 设 ,线段中点为 ,则 , 设 , 则条件③ 等价于 , 移项并利用平方差公式整理得: ,,即 , 即 ; 由题意知直线 的斜率为 , 直线 的斜率为 , ∴由 , ∴ , 所以直线 的斜率 , 直线 ,即 , 代入双曲线的方程 ,即 中, 得: , 解得 的横坐标: , 同理: , ∴ ∴ , ∴条件② 等价于 , 综上所述: 条件① 在 上,等价于 ;条件② 等价于 ; 条件③ 等价于 ; 选①②推③: 由①②解得: ,∴③成立; 选①③推②: 由①③解得: , , ∴ ,∴②成立; 选②③推①: 由②③解得: , ,∴ , ∴ ,∴①成立. 1.“焦点三角形”中常用到的知识点及技巧 (1)常用知识点:在“焦点三角形”中,正弦定理、余弦定理、双曲线的定义经常使用. (2)技巧:经常结合||PF|-|PF||=2a,运用平方的方法,建立它与|PF||PF|的联系. 1 2 1 2 2.用待定系数法求双曲线方程的步骤: (1)作判断:根据条件判断双曲线的焦点在x轴上,还是在y轴上,还是两个坐标轴都有可能; (2)设方程:根据上述判断设方程-=1(a>0,b>0)或-=1(a>0,b>0); (3)找关系:根据已知条件,建立关于a,b,c的方程组; (4)得方程,解方程组,将解代入所设方程,即为所求. 3.双曲线+=1(mn<0)的渐近线方程为+=0;以mx+ny=0为渐近线的双曲线方程可设为(mx)2-(ny)2=λ(λ≠0). 4.求双曲线的离心率时,将提供的双曲线的几何关系转化为关于双曲线基本量 a,b,c的方程或不等式, 利用b2=c2-a2和e=转化为关于e的方程或不等式,通过解方程或不等式求得离心率的值或取值范围. 1.双曲线中的几个常用结论 (1)双曲线的焦点到其渐近线的距离为b. (2)若P是双曲线右支上一点,F,F 分别为双曲线的左、右焦点,则|PF| =a+c,|PF| =c-a. 1 2 1min 2min (3)同支的焦点弦中最短的为通径(过焦点且垂直于长轴的弦),其长为,异支的弦中最短的为实轴,其长为 2a. (4)设P,A,B是双曲线上的三个不同的点,其中A,B关于原点对称,直线PA,PB斜率存在且不为0,则 直线PA与PB的斜率之积为. (5)过双曲线焦点F 的弦AB与双曲线交在同支上,则AB与另一个焦点F 构成的△ABF 的周长为4a+2| 1 2 2 AB|. 2.巧设双曲线方程 (1)与双曲线-=1(a>0,b>0)有共同渐近线的方程可表示为-=t(t≠0). (2)过已知两个点的双曲线方程可设为mx2+ny2=1(mn<0). 3.双曲线的几何性质中重点是渐近线方程和离心率,在双曲线-=1(a>0,b>0)中,离心率e与双曲线的渐 近线的斜率k=±满足关系式e2=1+k2; 1.集合P={M|||MF |-|MF ||=2a},|FF|=2c,其中a,c为常数且a>0,c>0. 1 2 1 2 (1)当2a<|FF|时,P点的轨迹是双曲线. 1 2 (2)当2a=|FF|时,P点的轨迹是两条射线. 1 2 (3)当2a>|FF|时,P点不存在. 1 2 2.双曲线的标准方程的两种形式的区分要结合x2,y2前的系数的正负. 3.关于双曲线离心率的取值范围问题,不要忘记双曲线离心率的取值范围是(1,+∞). 4.已知双曲线的标准方程求双曲线的渐近线方程时,只要令双曲线的标准方程中“1”为“0”就得到两渐近线方程,即方程-=0就是双曲线-=1 (a>0,b>0)的两条渐近线方程. 一、单选题 1.已知双曲线的一个顶点是 ,其渐近线方程为 ,则双曲线的标准方程是( ) A. B. C. D. 2.设 , 是双曲线 的两个焦点, 是双曲线上的一点,且 ,则 的面积 等于( ) A.24 B. C. D.30 3.已知点F是双曲线 的右焦点,点P是双曲线上在第一象限内的一点,且PF与x轴垂直,点 Q是双曲线渐近线上的动点,则 的最小值为( ) A. B. C. D. 4.已知双曲线 : 的离心率为2,则 的渐近线方程为( ) A. B. C. D. 5.若双曲线 的一个焦点到渐近线的距离为 ,则该双曲线的离心率为( )A. B. C.2 D. 6.已知双曲线C经过点 ,且对称轴都在坐标轴上,其渐近线方程为 ,测双曲线C的标准方程 为( ) A. B. C. D. 7.已知双曲线 满足 ,且与椭圆 有公共焦点,则双曲线 的方程 为( ) A. B. C. D. 8.设双曲线C: 的左、右焦点分别为 、 ,过 且斜率为 的直线与双曲线C 的右支交于点A.若 ,则双曲线C的离心率为( ) A. B.2 C. D.3 二、多选题 9.已知双曲线 经过点 ,则( ) A. 的实轴长为 B. 的焦距为 C. 的离心率为 D. 的渐近线方程是 10.已知 为双曲线 的两个焦点, 为双曲线 上任意一点,则( )A. B.双曲线 的渐近线方程为 C.双曲线 的离心率为 D. 11.已知 , 是双曲线 的左、右焦点,过 作倾斜角为 的直线分别交 轴 与双曲线右支于点 , ,下列判断正确的是( ) A. , B. C. 的离心率等于 D. 的渐近线方程为 12.(多选)已知点P在双曲线C: 上, , 分别是双曲线C的左、右焦点,若 的面 积为20,则( ) A.点P到x轴的距离为 B. C. 为钝角三角形 D. 三、填空题 13.已知双曲线 的左右焦点分别为 , ,过 的直线与双曲线的左右两支分别交于 , 两点.若 ,且 ,则该双曲线的离心率为___________. 14.已知双曲线 的实轴为 ,对于实轴 上的任意点 ,在实轴 上都存 在点 ,使得 ,则双曲线 的两条渐近线夹角的最大值为___________;15.已知 , 分别是双曲线C: 的左右焦点,双曲线C的右支上一点Q满足 ,O 为坐标原点,直线 与该双曲线的左支交于P点,且 ,则双曲线C的渐近线方程为______. 16.已知F是椭圆 : ( )的右焦点,A为椭圆 的下顶点,双曲线 : ( , )与椭圆 共焦点,若直线 与双曲线 的一条渐近线平行, , 的离心率分别为 , ,则 的最小值为______. 一、单选题 1.(2022·河南洛阳·三模(文))设 , , 满足 ,且 , 则 的面积为( ) A.3 B. C.9 D. 2.(2022·四川凉山·三模(理))如果一双曲线的实轴及虚轴分别是另一双曲线的虚轴及实轴,则称此两 双曲线互为共轭双曲线.已知双曲线 , 互为共轭双曲线, 的焦点分别为 , ,顶点分别为 , , 的焦点分别为 , ,顶点分别为 , ,过四个焦点的圆的面积为 ,四边形 的面积 为 ,则 的最大值为( ) A. B. C. D.3.(2021·广东惠州·一模)古希腊数学家欧几里得在《几何原本》中描述了圆锥曲线的共性,并给出了圆 锥曲线的统一定义,只可惜对这一定义欧几里得没有给出证明.经过了500年,到了3世纪,希腊数学家帕 普斯在他的著作《数学汇篇》中,完善了欧几里得关于圆锥曲线的统一定义,并对这一定义进行了证明.他 指出,到定点的距离与到定直线的距离的比是常数 的点的轨迹叫做圆锥曲线;当 时,轨迹为椭圆; 当 时,轨迹为抛物线;当 时,轨迹为双曲线.现有方程 表示的曲线 是双曲线,则 的取值范围为( ) A. B. C. D. 4.(2021·安徽合肥·三模(理))图上半部分为一个油桃园.每年油桃成熟时,园主都要雇佣人工采摘, 然后沿两条路径将采摘好的油桃迅速地运送到水果集散地C处销售.路径1:先将油桃集中到A处,再沿 公路 运送;路径2:先将油桃集中到B处,再沿公路 运送.已知 , .为了减少 运送时间,园主在油桃园中画定了一条界线,使得位于界线一侧的采摘工按路径1运送路程较近,另一侧 的采摘工按路径2运送路程较近若这条界线是曲线E的一部分,则曲线E为( ) A.圆 B.椭圆 C.双曲线 D.抛物线 5.(2021·江西南昌·二模(理))将双曲线绕其对称中心旋转,会得到我们熟悉的函数图象,例如将双曲 线 的图象绕原点逆时针旋转 后,能得到反比例函数 的图象(其渐近线分别为 轴和 轴);同样的,如图所示,常见的“对勾函数” 也能由双曲线的图象绕原点旋转得 到(其渐近线分别为 和 轴).设 , ,则此“对勾函数”所对应的双曲线的实轴长 为( )A. B.4 C. D. 6.(2022·福建省福州格致中学模拟预测)已知 为焦点在 轴上的双曲线,其离心率为 , 为 上一 动点(除顶点),过点 的直线 , 分别经过双曲线的两个顶点,已知直线 的斜率 ,则直线 的斜率 的取值范围为( ) A. B. C. D. 7.(2021·辽宁·抚顺市第二中学模拟预测)在抚顺二中运动会开幕式中,某班级的“蝴蝶振翅”节目获得 一致称赞,其形状近似于双曲线,在“振翅”过程中,双曲线的渐近线与对称轴的夹角 为某一范围内变 动, ,则该双曲线的离心率取值范围是( ) A. B. C. D. 8.(2021·新疆·布尔津县高级中学三模(理))已知 分别为双曲线 的左右顶点, 为双曲 线的右焦点,动点 到 的距离是到 的距离的3倍,若点 的轨迹与双曲线的渐近线的公共点为 , 则 的面积是( )A. B.1 C. D.2 二、多选题 9.(2021·广东·模拟预测)已知方程 ,则( ) A.存在实数 ,该方程对应的图形是圆,且圆的面积为 B.存在实数 ,该方程对应的图形是平行于 轴的两条直线 C.存在实数 ,该方程对应的图形是焦点在 轴上的双曲线,且双曲线的离心率为 D.存在实数 ,该方程对应的图形是焦点在 轴上的椭圆,且椭圆的离心率为 10.(2022·广东茂名·模拟预测)双曲线具有如下光学性质:如图 , 是双曲线的左、右焦点,从右焦 点 发出的光线m交双曲线右支于点P,经双曲线反射后,反射光线n的反向延长线过左焦点 .若双曲 线C的方程为 ,下列结论正确的是( ) A.若 ,则 B.当n过 时,光由 所经过的路程为13 C.射线n所在直线的斜率为k,则D.若 ,直线PT与C相切,则 11.(2021·湖北湖北·模拟预测)初中学习过反比例函数 ,( ),了解其图像是关于原点 中心对 称的双曲线.下列关于双曲线 ,( )的几何性质正确的是( ) A.实轴和虚轴长都为 B.焦点坐标为 , C.离心率 D.渐近线方程为 ,对称轴方程为 12.(2021·湖南湘潭·一模)已知双曲线 ( , )的左,右焦点为 , ,右顶点 为 ,则下列结论中,正确的有( ) A.若 ,则 的离心率为 B.若以 为圆心, 为半径作圆 ,则圆 与 的渐近线相切 C.若 为 上不与顶点重合的一点,则 的内切圆圆心的横坐标 D.若 为直线 ( )上纵坐标不为0的一点,则当 的纵坐标为 时, 外接圆的面积最小 三、填空题 13.(2021·全国·模拟预测)已知△ABC为等边三角形,点O为△ABC的中心,若以A、O为双曲线E的 两顶点,且双曲线E过点B,则双曲线E的离心率为 _____________. 14.(2021·江西·临川一中实验学校模拟预测(文))已知圆 上有一动点 , 轴上有一定点 ,直线 垂直平分线段 ,且直线 和直线 交于点 ,设点 的运动轨迹为曲线 ,则曲线 的离心率为___________.15.(2022·辽宁丹东·一模)设双曲线 的中心在坐标原点 ,焦点在 轴上, 的顶点 在 轴上, 顶点 在 的左支上,直线 分别与 的右支交于 两点,若 ,且 ,则 的 渐近线方程为___________. 16.(2022·广东广州·二模)写出一个同时满足下列性质①②③的双曲线方程__________. ①中心在原点,焦点在y轴上;②一条渐近线方程为 ﹔③焦距大于10 1.(2021年高考全国甲卷理科)已知 是双曲线C的两个焦点,P为C上一点,且 ,则C的离心率为 ( ) A. B. C. D. 2.(2020年高考数学课标Ⅱ卷理科)设 为坐标原点,直线 与双曲线 的两 条渐近线分别交于 两点,若 的面积为8,则 的焦距的最小值为( ) A.4 B.8 C.16 D.32 3.(2020年高考数学课标Ⅲ卷理科)设双曲线C: (a>0,b>0) 的左、右焦点分别为F 1 ,F 2 ,离 心率为 .P是C上一点,且FP⊥FP.若△PFF 的面积为4,则a= ( ) 1 2 1 2 A.1 B.2 C.4 D.8 4.(2019年高考数学课标Ⅲ卷理科)双曲线C: =1的右焦点为F,点P在C的一条渐近线上,O 为坐标原点,若 ,则△PFO的面积为 ( )A. B. C. D. 5.(2019年高考数学课标全国Ⅱ卷理科)设 为双曲线 的右焦点, 为坐标 ( ) 原点,以 为直径的圆与圆 交于 , 两点,若 ,则 的离心率为 ( ) A. 2 B. 3 C. D. 5 6.(2018年高考数学课标Ⅲ卷(理))设 是双曲线 的左、右焦点, 是坐标原点,过 作 的一条渐近线的垂线,垂足为 ,若 ,则 的离心率为( ) A. B. C. D. 7.(2018年高考数学课标Ⅱ卷(理))双曲线 的离心率为 ,则其渐近线方程为( ) A. B. C. D. 8.(2018年高考数学课标卷Ⅰ(理))已知双曲线 , 为坐标原点, 为 的右焦点,过 的直线与 的两条渐近线的交点分别为 .若 为直角三角形,则 ( ) A. B. C. D. x2 y2 C:  1a0,b0 a2 b2 9.(2017 年高考数学课标Ⅲ卷理科)已知双曲线 的一条渐近线方程为 5 x2 y2 y  x  1 2 ,且与椭圆 12 3 有公共焦点,则 C 的方程为 ( ) x2 y2 x2 y2 x2 y2 x2 y2  1  1  1  1 8 10 4 5 5 4 4 3 A. B. C. D.x2 y2  1 C: a2 b2 a0 b0 10.(2017 年高考数学课标Ⅱ卷理科)若双曲线 ( , )的一条渐近线被圆 x22  y2 4 C 所截得的弦长为2,则 的离心率为 ( ) 2 3 A.2 B. 3 C. 2 D. 3 11.(2016高考数学课标Ⅱ卷理科)已知 是双曲线 的左,右焦点,点 在 上, 与 轴垂直, ,则 的离心率为 ( ) A. B. C. D.2 12.(2016高考数学课标Ⅰ卷理科)已知方程 表示双曲线,且该双曲线两焦点间的距离 为4,则 的取值范围是 ( ) A. B. C. D. 1.【答案】C 【解析】由题意得: 双曲线的一个顶点是 , 焦点在 轴上,设双曲线方程为 , 渐近线方程为 , , , 该双曲线的标准方程为 .故选:C 2.【答案】A 【解析】由 ,可得 又 是是双曲线 上的一点,则 , 则 , ,又 则 ,则 则 的面积等于 故选:A 3.【答案】B 【解析】由双曲线方程可得,点F坐标为 ,将 代入双曲线方程,得 , 由于点P在第一象限,所以点P坐标为 , 双曲线的渐近线方程为 ,点P到双曲线的渐近线的距离为 . Q是双曲线渐近线上的动点,所以 的最小值为 . 故选:B. 4.【答案】D 【解析】由已知可得 ,∴ ,渐近线方程为 . 故选:D. 5.【答案】C 【解析】依题意得,双曲线的一条渐近线为 ,一个焦点为 ,根据点到直线的距离公式: ,于是 ,离心率 .故选:C 6.【答案】B 【解析】依题意设双曲线方程为 ,又双曲线过点 , 所以 ,解得 , 所以双曲线方程为 ; 故选:B 7.【答案】A 【解析】由椭圆的标准方程为 ,可得 ,即 , 因为双曲线 的焦点与椭圆 的焦点相同,所以双曲线 中,半焦距 , 又因为双曲线 满足 ,即 , 又由 ,即 ,解得 ,可得 , 所以双曲线 的方程为 . 故选:A. 8.【答案】D 【解析】由题意可知 , 由双曲线的定义可得 , 设 ,则 ,进而有 , 由余弦定理可得, , 则有 , 化简得 即 ,因为 ,所以 , 所以 , 故选:D 9.【答案】BC 【解析】由题意得 ,得 即双曲线方程为 . 所以,双曲线的实轴长是 ,焦距是 ,离心率为 ,渐近线方程是 故BC正确,AD错误, 故选:BC 10.【答案】CD 【解析】双曲线 : 焦点在 轴上, , , 对于A选项, ,而 点在哪支上并不确定,故A错误 对于B选项,焦点在 轴上的双曲线渐近线方程为 ,故B错误 对于C选项, ,故C正确,对于D选项, 设 ,则 ( 时取等号) 因为 为 的中点,所以 ,故D正确 故选:CD 11.【答案】BCD 【解析】如下图所示,因为 ,即 为 中点, 为 中点,所以 ,因为 ,所以 ,所以 , ,A错误,B正确; 由 知: ,又 , , 所以 ,即 ,所以 ,解得: ,C正确; 所以 ,所以 ,所以 ,所以 , 所以 的渐近线方程为 ,D正确. 故选:BCD. 12.【答案】BC 【解析】设点 .因为双曲线 ,所以 . 又 ,所以 ,故A错误. 将 代入 得 ,得 . 由双曲线的对称性,不妨取点P的坐标为 ,得 . 由双曲线的定义得 ,所以 ,故B正确. 在 中, ,且 ,则 为钝角,所以 为钝角三角形,故C正确. 由余弦定理得 ,所以 ,故D错误. 故选:BC. 13.【答案】 【解析】因为 在双曲线的左右支上,所以 , ① ②得, ,即 ,又 ,所以 ,得 ,又 , 所以离心率 . 故答案为: . 14.【答案】 【解析】对于实轴 上的任意点 ,在实轴 上都存在点 ,使得 , 当点 位于原点时,则要 ,才能满足要求, 所以 ,设渐近线与x轴的夹角为 ,则 , 因为 ,则双曲线 的两条渐近线夹角为 , 故答案为: 15.【答案】【解析】 设 ,则 , .由双曲线的定义知, , ,∴ , .又 ,∴ .在 中,有 ,∴ ①.在 中,有 ,∴ ②,由②化简可得 ,将其代入①中,得 ,即 , ∴双曲线的渐近线方程为 . 故答案为: . 16.【答案】 【解析】设 的半焦距为c( ),则 ,又 , 所以 ,又直线 与 的一条渐近线平行, 所以 ,所以 ,所以 ,所以 ,所以 , 又 ,当且仅当 ,即 , 时等号成立,即 的最小值为 . 故答案为: 一、单选题 1.【答案】A 【解析】依题意 , ,所以 , 又 ,即 ,所以 , 所以 ; 故选:A 2.【答案】A 【解析】不妨设 , , , , 则 , , , , ,当且仅当 时等号成立 故选:A. 3.【答案】C 【解析】已知方程可以变形为 ,即 , ∴ 其表示双曲线上一点 到定点 与定直线 之比为常数 ,又由 ,可得 , 故选:C. 4.【答案】C 【解析】由题意可知,假设曲线E上一点为P, 则满足 时,由P点到C点的两条路径一样长, 即 ,即点P的轨迹为双曲线的左支, 当在双曲线左边时,按路径1运送,当在双曲线右边时,按路径2运送, 结合题意曲线E应为双曲线左支与油桃园的交集部分, 故选:C. 5.【答案】C 【解析】旋转后两条渐近线分别为 和 ,夹角为 , 旋转前后两条渐近线的夹角不变,实轴所在直线是两条渐近线所夹角的平分线, 所以旋转后,双曲线的实轴所在直线的倾斜角为 ,斜率为 ,方程为 , 联立 ,解得 或 , 所以旋转后的双曲线的两个顶点为 或 , 所以实轴长为 . 故选:C 6.【答案】C 【解析】设双曲线的方程为 为 上一动点,上顶点 下顶点 离心率为 ,即 可得 直线 为直线PA, 直线 为直线PB,则 , ,又 , ,可得 , 故选:C 7.【答案】C 【解析】双曲线的渐近线为 ,由题可知双曲线的渐进线方程倾斜角的范围是 , , ,即 , 故选:C 8.【答案】C 【解析】双曲线 的左顶点 ,右顶点 ,右焦点 ,渐近线方程为 , 设 ,由 得: , 所以点M的轨迹方程为 , 由 得 ,即点 , ,点 到直线CD: 的距离 , 的面积是 . 故选:C 9.【答案】CD 【解析】对于A:若存在,只需 ,即 ,得 ,可取 , 方程即为: ,圆的半径满足 ,故圆面积为: ,故A错;对于B:令 ,则必有 ,方程化为: ,显然不成立,故B错误; 对于C:取 ,得 ,取 ,则方程为: ,为等轴双曲线的方程,故离 心率为 ,故C正确; 对于D:将方程化为标准形式: ,故 , ,则由已知得 ,整理得 ,解得 ,该方程显然有解,故 D正确. 故选:CD. 10.【答案】CD 【解析】对于A:若 ,则 . 因为P在双曲线右支上,所以 .由勾股定理得: 二者联立解得: .故A错误; 对于B:光由 所经过的路程为 .故B错误; 对于C:双曲线 的方程为 .设左、右顶点分别为A、B.如图示: 当 与 同向共线时, 的方向为 ,此时k=0,最小. 因为P在双曲线右支上,所以n所在直线的斜率为 .即 . 故C正确. 对于D:设直线PT的方程为 . ,消去y可得: . 其中 ,即 ,解得 代入 ,有 ,解得:x=9. 由P在双曲线右支上,即 ,解得: ( 舍去),所以 .所以 . 故D正确 故选:CD 11.【答案】CD 【解析】反比例图象为特殊双曲线,其渐近线为两坐标轴,即a=b,即为等轴双曲线, 不妨令 ,则实轴为 , 对于A:当 时, 与 的交点为 , ,即为实轴两个端点, 所以实轴 ,所以实轴和虚轴长都为 ,故A错误; 对于B: ,解得 , 设焦点坐标 ,则 ,解得 , 所以焦点坐标为 , ,故B错误; 对于C:因为a=b,所以离心率 ,故C正确; 对于D:渐近线方程为x=0和y=0,即 ,对称轴为 ,故D正确. 故选:CD 12.【答案】ABD 【解析】对于A中,因为 ,所以 ,故 的离心率 ,所以A正确; 对于B中,因为 到渐近线 的距离为 ,所以B正确;对于C中,设内切圆与 的边 分别切于点 ,设切点 , 当点 在双曲线的右支上时,可得 ,解得 , 当点 在双曲线的左支上时,可得 , 所以 的内切圆圆心的横坐标 ,所以C不正确; 对于D中,由正弦定理,可知 外接圆的半径为 , 所以当 最大时, 最小, 因为 ,所以 为锐角,故 最大,只需 最大. 由对称性,不妨设 ( ),设直线 与 轴的交点为 , 在直角 中,可得 , 在直角 中,可得 , 又由 , 当且仅当 ,即 时, 取最大值,由双曲线的对称性可知,当 时, 也取得最大值,所以D正确. 故选:ABD. 13.【答案】 【解析】如图,不妨设 为 的中点,则 = , 以 的中点 为原点, 方向为x轴, 的中垂线为 轴建立直角坐标系如图所示, ∵ ,∴ ,即双曲线的半实轴 ,∴双曲线的方程可以设为: , 将 的坐标 ,代入解得 , ∴ , ∴ , 故答案为: . 14.【答案】2 【解析】由题可知, 为线段 垂直平分线上的点,所以 , 所以 ,R的轨迹为双曲线, , 且 , ,离心率为 . 故答案为:2. 15.【答案】【解析】设 的斜率分别为 , 当 时, ,可得 , 从而直线 的斜率之积 . 设 ,则 , 所以 , . 所以 , 所以 . 所以 的渐近线方程为 . 故答案为: 16.【答案】 (答案不唯一,写出一个即可) 【解析】由①中心在原点,焦点在y轴上知,可设双曲线方程为: 由②一条渐近线方程为 知, ,即 由③知, ,即 , 则可取 (此处也可取大于 的其他数) 又 , ,则同时满足下列性质①②③的一个双曲线方程为: 故答案为: (答案不唯一, 写出一个即可). 1.【答案】A 【解析】因为 ,由双曲线的定义可得 , 所以 , ; 因为 ,由余弦定理可得 , 整理可得 ,所以 ,即 . 故选:A 2.【答案】B 【解析】 双曲线的渐近线方程是 直线 与双曲线 的两条渐近线分别交于 , 两点 不妨设 为在第一象限, 在第四象限 联立 ,解得 故联立 ,解得 ,故 , 面积为: 双曲线 其焦距为 当且仅当 取等号 的焦距的最小值: 3.【答案】A 【解析】 , ,根据双曲线的定义可得 , ,即 , , , ,即 ,解得 , 4.【答案】A 【解析】由 , 又P在C的一条渐近线上,不妨设为在 上,则 . ,故选A. 5.【答案】A 【解析】设 与 轴交于点 ,由对称性可知 轴,又∵ ,∴ , PQ x A PQ xc 为以 为直径的圆的半径,∴ 为圆心|OA| .∴ ,又 点在圆 上, OF 2 x2  y2 a2 ∴ ,即 ,∴ ,∴ ,故选A. 6.【答案】C 【解析】法一:根据双曲线的对称性,不妨设过点 作渐近线 的垂线,该垂线的方程为 ,联立方程 ,解得 由 整理可得 即 即 即 ,所以 ,所以 ,故选C. 法二:由双曲线的性质易知 , ,所以 在 中, 在 中,由余弦定理可得所以 ,整理可得 ,即 所以 ,所以 ,故选C. 7.【答案】A 【解析】因为 ,所以 ,所以 ,渐进线的方程为 ,故选A. 8.【答案】B 【解析】双曲线 的渐近线方程为: ,渐近线的夹角为: ,不妨设过 的直线为: ,则 解得 ; 解得: ,则 ,故选B. 9.【答案】 B 5 x2 y2 y  x   【解析】由渐近线的方程 2 ,可设双曲线的方程为 4 5 x2 y2  1 3,0 12 3 又椭圆 的焦点坐标为 x2 y2  1 0 4532 1 C 4 5 所以 ,且 ,故所求双曲线 的方程为: ,故选B. 10.【答案】 A 【解析】解法一:常规解法 b y x 根据双曲线的标准方程可求得渐近线方程为 a ,根据直线与圆的位置关系可求得圆心到 b b 2 2 a a  3 b 2 b 2 1  1  渐进线的距离为 3,∴ 圆心到渐近线的距离为 a ,即 a ,解得e2. 解法二:待定系数法设渐进线的方程为 ykx ,根据直线与圆的位置关系可求得圆心到渐进线的距离为 3, 2k 2k  3 ∴ 圆心到渐近线的距离为 1k2 ,即 1k2 ,解得k2 3;由于渐近线的斜率与离心率 关系为k2 e2 1,解得e2. 解法三:几何法  从题意可知: OAOO 1 O 1 A2 , OO 1 A 为等边三角形,所以一条渐近线的倾斜较为 3 由于k tan,可得k  3, 渐近线的斜率与离心率关系为k2 e2 1,解得e2. 解法四:坐标系转化法 根据圆的直角坐标系方程: x22  y2 4 ,可得极坐标方程 4cos ,由4cos2可得极   角 3 ,从上图可知:渐近线的倾斜角与圆的极坐标方程中的极角相等,所以k  3, 渐近线的斜率与离心率关系为k2 e2 1,解得e2. 解法五:参数法之直线参数方程 b y x 2cos,2sin 如上图,根据双曲线的标准方程可求得渐近线方程为 a ,可以表示点A的坐标为 , a b 2a 2b cos sin  ,  ∵ c , c ∴ 点A的坐标为 c c ,代入圆方程中,解得e2. 【知识拓展】双曲线已成为高考必考的圆锥曲线内容(理科),一般与三角形﹑直线与圆﹑向量 相结合,属于中档偏上的题,但随着二卷回归基础的趋势,圆锥曲线小题虽然处于中档题偏上 位置,但难度逐年下降. 11.【答案】A 【解析 1】由题可令 ,则 所以 , ,所以 ,所以 故选A. 【解析2】离心率 ,由正弦定理得 .故选A. 12.【答案】A 【解析】 表示双曲线,则 ,∴ 由双曲线性质知: ,其中 是半焦距 ∴焦距 ,解得 ∴ 故选A.