当前位置:首页>文档>专题18旋转模型之费马点型(解析版)_初中数学人教版_9上-初中数学人教版_06习题试卷_5专项练习

专题18旋转模型之费马点型(解析版)_初中数学人教版_9上-初中数学人教版_06习题试卷_5专项练习

  • 2026-04-03 07:09:19 2026-03-27 11:48:08

文档预览

专题18旋转模型之费马点型(解析版)_初中数学人教版_9上-初中数学人教版_06习题试卷_5专项练习
专题18旋转模型之费马点型(解析版)_初中数学人教版_9上-初中数学人教版_06习题试卷_5专项练习
专题18旋转模型之费马点型(解析版)_初中数学人教版_9上-初中数学人教版_06习题试卷_5专项练习
专题18旋转模型之费马点型(解析版)_初中数学人教版_9上-初中数学人教版_06习题试卷_5专项练习
专题18旋转模型之费马点型(解析版)_初中数学人教版_9上-初中数学人教版_06习题试卷_5专项练习
专题18旋转模型之费马点型(解析版)_初中数学人教版_9上-初中数学人教版_06习题试卷_5专项练习
专题18旋转模型之费马点型(解析版)_初中数学人教版_9上-初中数学人教版_06习题试卷_5专项练习
专题18旋转模型之费马点型(解析版)_初中数学人教版_9上-初中数学人教版_06习题试卷_5专项练习
专题18旋转模型之费马点型(解析版)_初中数学人教版_9上-初中数学人教版_06习题试卷_5专项练习
专题18旋转模型之费马点型(解析版)_初中数学人教版_9上-初中数学人教版_06习题试卷_5专项练习
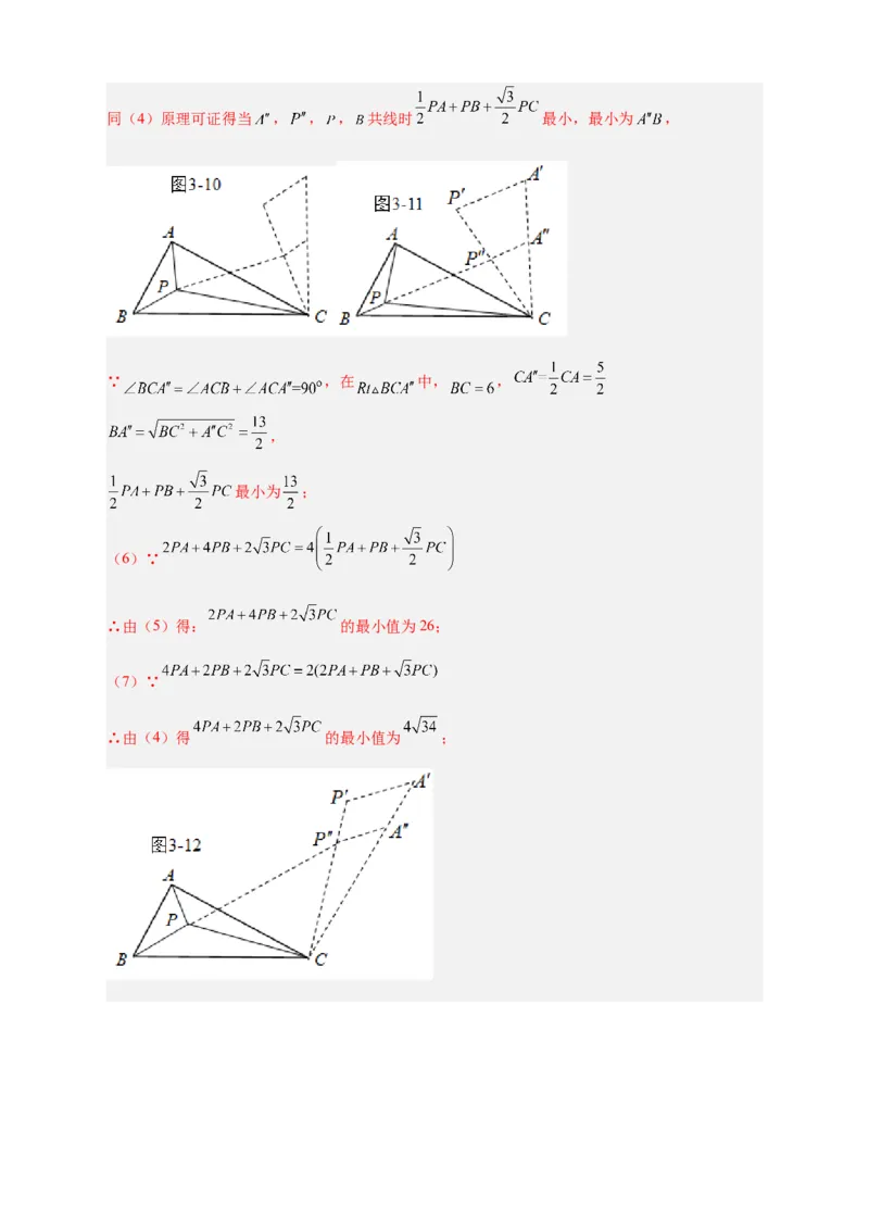
专题18旋转模型之费马点型(解析版)_初中数学人教版_9上-初中数学人教版_06习题试卷_5专项练习
专题18旋转模型之费马点型(解析版)_初中数学人教版_9上-初中数学人教版_06习题试卷_5专项练习
专题18旋转模型之费马点型(解析版)_初中数学人教版_9上-初中数学人教版_06习题试卷_5专项练习
专题18旋转模型之费马点型(解析版)_初中数学人教版_9上-初中数学人教版_06习题试卷_5专项练习
专题18旋转模型之费马点型(解析版)_初中数学人教版_9上-初中数学人教版_06习题试卷_5专项练习
专题18旋转模型之费马点型(解析版)_初中数学人教版_9上-初中数学人教版_06习题试卷_5专项练习
专题18旋转模型之费马点型(解析版)_初中数学人教版_9上-初中数学人教版_06习题试卷_5专项练习
专题18旋转模型之费马点型(解析版)_初中数学人教版_9上-初中数学人教版_06习题试卷_5专项练习
专题18旋转模型之费马点型(解析版)_初中数学人教版_9上-初中数学人教版_06习题试卷_5专项练习
专题18旋转模型之费马点型(解析版)_初中数学人教版_9上-初中数学人教版_06习题试卷_5专项练习
专题18旋转模型之费马点型(解析版)_初中数学人教版_9上-初中数学人教版_06习题试卷_5专项练习
专题18旋转模型之费马点型(解析版)_初中数学人教版_9上-初中数学人教版_06习题试卷_5专项练习
专题18旋转模型之费马点型(解析版)_初中数学人教版_9上-初中数学人教版_06习题试卷_5专项练习
专题18旋转模型之费马点型(解析版)_初中数学人教版_9上-初中数学人教版_06习题试卷_5专项练习
专题18旋转模型之费马点型(解析版)_初中数学人教版_9上-初中数学人教版_06习题试卷_5专项练习
专题18旋转模型之费马点型(解析版)_初中数学人教版_9上-初中数学人教版_06习题试卷_5专项练习
专题18旋转模型之费马点型(解析版)_初中数学人教版_9上-初中数学人教版_06习题试卷_5专项练习
专题18旋转模型之费马点型(解析版)_初中数学人教版_9上-初中数学人教版_06习题试卷_5专项练习
专题18旋转模型之费马点型(解析版)_初中数学人教版_9上-初中数学人教版_06习题试卷_5专项练习
专题18旋转模型之费马点型(解析版)_初中数学人教版_9上-初中数学人教版_06习题试卷_5专项练习
专题18旋转模型之费马点型(解析版)_初中数学人教版_9上-初中数学人教版_06习题试卷_5专项练习
专题18旋转模型之费马点型(解析版)_初中数学人教版_9上-初中数学人教版_06习题试卷_5专项练习
专题18旋转模型之费马点型(解析版)_初中数学人教版_9上-初中数学人教版_06习题试卷_5专项练习
专题18旋转模型之费马点型(解析版)_初中数学人教版_9上-初中数学人教版_06习题试卷_5专项练习
专题18旋转模型之费马点型(解析版)_初中数学人教版_9上-初中数学人教版_06习题试卷_5专项练习
专题18旋转模型之费马点型(解析版)_初中数学人教版_9上-初中数学人教版_06习题试卷_5专项练习
专题18旋转模型之费马点型(解析版)_初中数学人教版_9上-初中数学人教版_06习题试卷_5专项练习
专题18旋转模型之费马点型(解析版)_初中数学人教版_9上-初中数学人教版_06习题试卷_5专项练习
专题18旋转模型之费马点型(解析版)_初中数学人教版_9上-初中数学人教版_06习题试卷_5专项练习
专题18旋转模型之费马点型(解析版)_初中数学人教版_9上-初中数学人教版_06习题试卷_5专项练习
专题18旋转模型之费马点型(解析版)_初中数学人教版_9上-初中数学人教版_06习题试卷_5专项练习

文档信息

文档格式
docx
文档大小
1.800 MB
文档页数
37 页
上传时间
2026-03-27 11:48:08

文档内容

专题18 旋转模型之费马点型 1.若一个三角形的最大内角小于120°,则在其内部有一点所对三角形三边的张角均为120°,此时 该点叫做这个三角形的费马点.如图1,当△ABC三个内角均小于120°时,费马点P在△ABC内 部,此时 , 的值最小. (1)如图2,等边三角形ABC内有一点P,若点P到顶点A,B,C的距离分别为3,4,5,求 的度数.为了解决本题,小林利用“转化”思想,将△ABP绕顶点A旋转到 处,连 接 ,此时 ,这样就可以通过旋转变换,将三条线段PA,PB,PC转化到一个三 角形中,从而求出 ______. (2)如图3,在图1的基础上延长BP,在射线BP上取点D,E,连接AE,AD.使 , ,求证: . (3)如图4,在直角三角形ABC中 , , , ,点P为直角三角形ABC 的费马点,连接AP,BP,CP,请直接写出 的值. 【答案】(1)150° (2)见解析 (3) 【分析】(1)由全等三角形的性质得到AP′=AP=3、CP′=BP=4,∠AP′C=∠APB,再根据旋转性质,证明△APP′为等边三角形,△PP′C为直角三角形,最后由∠APB=∠AP′C=∠AP′P+ ∠PP′C解答; (2)由费马点的性质得到 , ,再证明 (ASA),由全等三 角形对应边相等的性质解得 ,最后根据线段的和差解答; (3)将△APB绕点B顺时针旋转60°至△A′P′B处,连接PP′,由勾股定理解得 ,由旋转 的性质,可证明△BPP′是等边三角形,再证明C、P、A′、P′四点共线,最后由勾股定理解答. (1) 解:∵ , ∴AP′=AP=3、CP′=BP=4,∠AP′C=∠APB, 由题意知旋转角∠PAP′=60°, ∴△APP′为等边三角形, PP′=AP=3,∠AP′P=60°, 由旋转的性质可得:AP′=AP=PP′=3,CP′=4,PC=5, ∵32+42=52 ∴△PP′C为直角三角形,且∠PP′C=90°, ∴∠APB=∠AP′C=∠AP′P+∠PP′C=60°+90°=150°; 故答案为:150°; (2) 证明:∵点P为△ABC的费马点, ∴ , ∴ , 又∵ , ∴APD为等边三角形 ∴ , , ∴ , ∴ , 在△APC和△ADE中, ∴ (ASA); ∴ , ∵ ,∴BE=PA+PB+PC; (3) 解:如图,将△APB绕点B顺时针旋转60°至△A′P′B处,连接PP′, ∵在Rt ABC中,∠C=90°,AC=1,∠ABC=30°, ∴AB=△2, ∴ , 把△APB绕点B顺时针方向旋转60°得到△A′P′B, ∴∠A′BC=∠ABC+60°=30°+60°=90°, ∵∠C=90°,AC=1,∠ABC=30°, ∴AB=2AC=2, ∵△APB绕点B顺时针方向旋转60°,得到△A′P′B, ∴A′B=AB=2,BP=BP′,A′P′=AP, ∴△BPP′是等边三角形, ∴BP=PP′,∠BPP′=∠BP′P=60°, ∵∠APC=∠CPB=∠BPA=120°, ∴∠CPB+∠BPP′=∠BP′A′+∠BP′P=120°+60°=180°, ∴C、P、A′、P′四点共线, 在Rt A′BC中, , △ ∴PA+PB+PC=A′P′+PP′+PC=A′C= . 【点睛】本题考查全等三角形的判定与性质、等边三角形的判定与性质、勾股定理、旋转的性质、费马点等知识,是重要考点,有难度,掌握相关知识,正确做出辅助线是解题关键. 2.如图,四边形ABCD是菱形,AB=4,且∠ABC=∠ABE=60°,G为对角线BD(不含B点)上 任意一点,将 ABG绕点B逆时针旋转60°得到 EBF,当AG+BG+CG取最小值时EF的长 ( ) △ △ A. B. C. D. 【答案】D 【分析】根据“两点之间线段最短”,当G点位于BD与CE的交点处时,AG+BG+CG的值最小, 即等于EC的长. 【详解】解:如图, ∵将 ABG绕点B逆时针旋转60°得到 EBF, ∴BE△=AB=BC,BF=BG,EF=AG, △ ∴△BFG是等边三角形. ∴BF=BG=FG,. ∴AG+BG+CG=FE+GF+CG. 根据“两点之间线段最短”, ∴当G点位于BD与CE的交点处时,AG+BG+CG的值最小,即等于EC的长, 过E点作EF⊥BC交CB的延长线于F, ∴∠EBF=180°-120°=60°, ∵BC=4, ∴BF=2,EF=2 ,在Rt EFC中, △ ∵EF2+FC2=EC2, ∴EC=4 . ∵∠CBE=120°,∴∠BEF=30°, ∵∠EBF=∠ABG=30°, ∴EF=BF=FG, ∴EF= CE= , 故选:D. 【点睛】本题考查了旋转的性质,菱形的性质,等边三角形的性质,轴对称最短路线问题,正确 的作出辅助线是解题的关键. 3.如图,已知矩形ABCD,AB=4,BC=6,点M为矩形内一点,点E为BC边上任意一点,则 MA+MD+ME的最小值为______. 【答案】 【详解】【分析】依然构造60°旋转,将三条折线段转化为一条直线段. 分别以AD、AM为边构造等边△ADF、等边△AMG,连接FG, 易证△AMD≌△AGF,∴MD=GF ∴ME+MA+MD=ME+EG+GF 过F作FH⊥BC交BC于H点,线段FH的长即为所求的最小值.4.问题背景:如图,将 绕点 逆时针旋转60°得到 , 与 交于点 ,可推出结 论: 问题解决:如图,在 中, , , .点 是 内一点,则点 到 三个顶点的距离和的最小值是___________ 【答案】 【分析】如图,将△MOG绕点M逆时针旋转60°,得到△MPQ,易知△MOP为等边三角形,继 而得到点O到三顶点的距离为:ON+OM+OG=ON+OP+PQ,由此可以发现当点N、O、P、Q 在同一条直线上时,有ON+OM+OG最小,此时,∠NMQ=75°+60°=135°,过Q作QA⊥NM 交NM的延长线于A,利用勾股定理进行求解即可得. 【详解】如图,将△MOG绕点M逆时针旋转60°,得到△MPQ, 显然△MOP为等边三角形, ∴,OM+OG=OP+PQ, ∴点O到三顶点的距离为:ON+OM+OG=ON+OP+PQ, ∴当点N、O、P、Q在同一条直线上时,有ON+OM+OG最小, 此时,∠NMQ=75°+60°=135°, 过Q作QA⊥NM交NM的延长线于A,则∠MAQ=90°,∴∠AMQ=180°-∠NMQ=45°, ∵MQ=MG=4 , ∴AQ=AM=MQ•cos45°=4, ∴NQ= , 故答案为 . 【点睛】本题考查了旋转的性质,最短路径问题,勾股定理,解直角三角形等知识,综合性较强, 有一定的难度,正确添加辅助线是解题的关键. 5.如图,△ABC中,∠BAC=30°且AB=AC,P是底边上的高AH上一点.若AP+BP+CP的最小 值为2 ,则BC=_____. 【答案】 【分析】如图将 ABP绕点A顺时针旋转60°得到 AMG.连接PG,CM.首先证明当M,G, P,C共线时,PA△+PB+PC的值最小,最小值为线段△CM的长,想办法求出AC的长即可解决问题. 【详解】如图将 ABP绕点A顺时针旋转60°得到 AMG.连接PG,CM. △ △∵AB=AC,AH⊥BC, ∴∠BAP=∠CAP, ∵PA=PA, ∴△BAP≌△CAP(SAS), ∴PC=PB, ∵MG=PB,AG=AP,∠GAP=60°, ∴△GAP是等边三角形, ∴PA=PG, ∴PA+PB+PC=CP+PG+GM, ∴当M,G,P,C共线时,PA+PB+PC的值最小,最小值为线段CM的长, ∵AP+BP+CP的最小值为2 , ∴CM=2 , ∵∠BAM=60°,∠BAC=30°, ∴∠MAC=90°, ∴AM=AC=2, 作BN⊥AC于N.则BN= AB=1,AN= ,CN=2- , ∴BC= . 故答案为 . 【点睛】本题考查轴对称-最短问题,等腰三角形的性质,等边三角形的判定和性质,解直角三角 形等知识,解题的关键是学会添加常用辅助线,构造全等三角形解决问题,学会利用两点之间线 段最短解决问题 6.如图,四边形 是菱形, B=6,且∠ABC=60° ,M是菱形内任一点,连接AM,BM, CM,则AM+BM+CM 的最小值为________.【答案】 【分析】以BM为边作等边△BMN,以BC为边作等边△BCE,如图,则△BCM≌△BEN,由全等 三角形的对应边相等得到CM=NE,进而得到AM+MB+CM=AM+MN+NE.当A、M、N、E四点共 线时取最小值AE.根据等腰三角形“三线合一”的性质得到BH⊥AE,AH=EH,根据30°直角三 角形三边的关系即可得出结论. 【详解】以BM为边作等边△BMN,以BC为边作等边△BCE,则BM=BN=MN,BC=BE=CE, ∠MBN=∠CBE=60°,∴∠MBC=∠NBE,∴△BCM≌△BEN,∴CM=NE, ∴AM+MB+CM=AM+MN+NE.当A、M、N、E四点共线时取最小值AE. ∵AB=BC=BE=6,∠ABH=∠EBH=60°,∴BH⊥AE,AH=EH,∠BAH=30°,∴BH= AB=3,AH= BH= ,∴AE=2AH= . 故答案为 . 【点睛】本题考查了菱形的性质,全等三角形的判定与性质,等边三角形的性质.难度比较大. 作出恰当的辅助线是解答本题的关键. 7.【问题背景】17世纪有着“业余数学家之王”美誉的法国律师皮耶·德·费马,提出一个问题:求作三角形内的一个点,使它到三角形三个顶点的距离之和最小后来这点被称之为“费马点”. 如图,点 是 内的一点,将 绕点 逆时针旋转60°到 ,则可以构造出等边 ,得 , ,所以 的值转化为 的值,当 , , , 四点共线时,线段 的长为所求的最小值,即点 为 的“费马点”. (1)【拓展应用】 如图1,点 是等边 内的一点,连接 , , ,将 绕点 逆时针旋转60°得到 . ①若 ,则点 与点 之间的距离是______; ②当 , , 时,求 的大小; (2)如图2,点 是 内的一点,且 , , ,求 的最小 值.【答案】(1)①3;②150°; (2) 【分析】(1)①根据旋转的性质即可求出 的值; ②先证△ABP≌ ,利用全等的性子求出对应的边长,通过勾股定理的逆定理得到 ,即可求出 的大小; (2)将△APC绕C点顺时针旋转60°得到 ,先求出 ,然后证明 为等边 三角形,当B、P、 、 四点共线时, 和最小,用勾股定理求出 的值即可. (1) ①如图,将 绕A逆时针旋转60°, 则 , , ∴ 为等边三角形, ; ②∵△ABC为等边三角形, ∴AB=AC,∠BAP+∠PAC=60°, 又∵ 是等边三角形, ∴∠PAC+ =60°, ∴∠BAP= ,在△ABP与 中, , ∴△ABP≌ (SAS), ∴ ∴ , , , 又∵旋转,∴ ; (2) 如图,将△APC绕C点顺时针旋转60°得到 , 则 , 在 中, , , , 又∵ , , , 过 作 ⊥BC交BC的延长线于点D, 则 , , (30°所对的直角边等于斜边的一半), ,, 为等边三角形, 当B、P、 、 四点共线时, 和最小, 在 中, , , ∴ 的最小值为 . 【点睛】本题考查了旋转变换,全等三角形的判定和性质,解题的关键在于能够添加辅助线构造 全等三角形解决问题. 8.背景资料:在已知 所在平面上求一点P,使它到三角形的三个顶点的距离之和最小.这个 问题是法国数学家费马1640年前后向意大利物理学家托里拆利提出的,所求的点被人们称为“费 马点”.如图1,当 三个内角均小于120°时,费马点P在 内部,当 时,则 取得最小值. (1)如图2,等边 内有一点P,若点P到顶点A、B、C的距离分别为3,4,5,求 的度 数,为了解决本题,我们可以将 绕顶点A旋转到 处,此时 这样就可以利用旋转变换,将三条线段 、 、 转化到一个三角形中,从而求出 _______; 知识生成:怎样找三个内角均小于120°的三角形的费马点呢?为此我们只要以三角形一边在外侧 作等边三角形并连接等边三角形的顶点与 的另一顶点,则连线通过三角形内部的费马点. 请同学们探索以下问题. (2)如图3, 三个内角均小于120°,在 外侧作等边三角形 ,连接 ,求证: 过 的费马点. (3)如图4,在 中, , , ,点P为 的费马点,连接 、 、 ,求 的值. (4)如图5,在正方形 中,点E为内部任意一点,连接 、 、 ,且边长 ;求 的最小值. 【答案】(1)150°; (2)见详解; (3) ; (4) . 【分析】(1)根据旋转性质得出 ≌ ,得出∠BAP=∠CAP′,∠APB=∠AP′C, AP=AP′=3,BP=CP′=4,根据△ABC为等边三角形,得出∠BAC=60°,可证△APP′为等边三角形, PP′=AP=3,∠AP′P=60°,根据勾股定理逆定理 ,得出 PP′C是直 △ 角三角形,∠PP′C=90°,可求∠AP′C=∠APP+∠PPC=60°+90°=150°即可; (2)将 APB逆时针旋转60°,得到 AB′P′,连结PP′,根据 APB≌ AB′P′,AP=AP′, PB=PB′,△AB=AB′,根据∠PAP′=∠BA△B′=60°, APP′和 ABB′均△为等边△三角形,得出PP′=AP,根 据 ,根据两点之△间线段最△短得出点C,点P,点P′,点B′四点共线 时, =CB′,点P在CB′上即可; 最小 (3)将 APB逆时针旋转60°,得到 AP′B′,连结BB′,PP′,得出 APB≌△AP′B′,可证 APP′ 和 ABB△′均为等边三角形,得出PP′=△AP,BB′=AB,∠ABB′=60°,根△据 △ △ ,可得点C,点P,点P′,点B′四点共线时, 最小 =CB′,利用30°直角三角形性质得出AB=2AC=2,根据勾股定理BC= , 可求BB′=AB=2,根据∠CBB′=∠ABC+∠ABB′=30°+60°=90°,在Rt CBB′中,B′C= △即可; (4)将 BCE逆时针旋转60°得到 CE′B′,连结EE′,BB′,过点B′作B′F⊥AB,交AB延长线于 F,得出△BCE≌ CE′B′,BE=B′E′,△CE=CE′,CB=CB′,可证 ECE′与 BCB′均为等边三角形,得 出EE′=E△C,BB′=△BC,∠B′BC=60°, △ ,得△出点C,点E,点E′,点 B′四点共线时, =AB′,根据四边形ABCD为正方形,得出 最小 AB=BC=2,∠ABC=90°,可求∠FBB′=180°-∠ABC-∠CBB′=180°-90°-60°=30°,根据30°直角三角形 性质得出BF= ,勾股定理BF= ,可求AF=AB+BF=2+ ,再根据勾股定理AB′= 即可. (1) 解:连结PP′, ∵ ≌ , ∴∠BAP=∠CAP′,∠APB=∠AP′C,AP=AP′=3,BP=CP′=4, ∵△ABC为等边三角形, ∴∠BAC=60° ∴∠PAP′=∠PAC+∠CAP′=∠PAC+∠BAP=60°, ∴△APP′为等边三角形, ,∴PP′=AP=3,∠AP′P=60°, 在 P′PC中,PC=5, △ , ∴△PP′C是直角三角形,∠PP′C=90°, ∴∠AP′C=∠APP+∠PPC=60°+90°=150°, ∴∠APB=∠AP′C=150°, 故答案为150°;(2) 证明:将 APB逆时针旋转60°,得到 AB′P′,连结PP′, ∵△APB≌△ AB′P′, △ ∴AP=AP′,△PB=PB′,AB=AB′, ∵∠PAP′=∠BAB′=60°, ∴△APP′和 ABB′均为等边三角形, ∴PP′=AP,△ ∵ , ∴点C,点P,点P′,点B′四点共线时, =CB′, 最小 ∴点P在CB′上, ∴ 过 的费马点. (3) 解:将△APB逆时针旋转60°,得到△AP′B′,连结BB′,PP′, ∴△APB≌△AP′B′, ∴AP′=AP,AB′=AB, ∵∠PAP′=∠BAB′=60°, ∴△APP′和△ABB′均为等边三角形, ∴PP′=AP,BB′=AB,∠ABB′=60°, ∵ ∴点C,点P,点P′,点B′四点共线时, =CB′, 最小 ∵ , , , ∴AB=2AC=2,根据勾股定理BC= ∴BB′=AB=2, ∵∠CBB′=∠ABC+∠ABB′=30°+60°=90°, ∴在Rt CBB′中,B′C= △∴ =CB′= ; 最小 (4) 解:将△BCE逆时针旋转60°得到△CE′B′,连结EE′,BB′,过点B′作B′F⊥AB,交AB延长线于 F, ∴△BCE≌△CE′B′, ∴BE=B′E′,CE=CE′,CB=CB′, ∵∠ECE′=∠BCB′=60°, ∴△ECE′与△BCB′均为等边三角形, ∴EE′=EC,BB′=BC,∠B′BC=60°, ∵ , ∴点C,点E,点E′,点B′四点共线时, =AB′, 最小 ∵四边形ABCD为正方形, ∴AB=BC=2,∠ABC=90°, ∴∠FBB′=180°-∠ABC-∠CBB′=180°-90°-60°=30°, ∵B′F⊥AF, ∴BF= ,BF= , ∴AF=AB+BF=2+ , ∴AB′= , ∴ =AB′= . 最小【点睛】本题考查图形旋转性质,等边三角形判定与性质,勾股定理,直角三角形判定与性质, 两点之间线段最短,四点共线,正方形性质,30°直角三角形性质,掌握图形旋转性质,等边三角 形判定与性质,勾股定理,直角三角形判定与性质,两点之间线段最短,四点共线,正方形性质, 30°直角三角形性质是解题关键. 9.如图,在△ABC中,∠BAC=90°,AB=AC=1,P是△ABC内一点,求PA+PB+PC的最小值. 【答案】 + 【分析】以点A为旋转中心,将 ABP顺时针旋转60°得到 AMN,连接BN.根据 PAM、 ABN都是等边三角形,可得PA△+PB+PC=CP+PM+MN;根△据当C、P、M、N四点共△线时,由 △CA=CB,NA=NB可得CN垂直平分AB,进而求得PA+PB+PC的最小值. 【详解】证明:如图所示,以点A为旋转中心,将 ABP顺时针旋转60°得到 AMN,连接BN. △ △由旋转可得, AMN≌△ABP, ∴MN=BP,PA△=AM,∠PAM=60°=∠BAN,AB=AN, ∴△PAM、 ABN都是等边三角形, ∴PA=PM,△ ∴PA+PB+PC=PM+MN+PC; (3)当AC=BC=1时,AB=2 , 当C、P、M、N四点共线时,由CA=CB,NA=NB可得CN垂直平分AB, ∴AQ= AB= =CQ,NQ= , 此时CN=CP+PM+MN=PA+PB+PC= + 10.【问题提出】 (1)如图1,四边形 是正方形, 是等边三角形,M为对角线 (不含B点)上任 意一点,将 绕点B逆时针旋转 得到 ,连接 、 , .若连接 ,则 的形状是________. (2)如图2,在 中, , ,求 的最小值. 【问题解决】 (3)如图3,某高新技术开发区有一个平行四边形的公园 , 千米, ,公园内有一个儿童游乐场E,分别从A、B、C向游乐场E修三条 ,求三条路的长度和 (即 )最小时,平行四边形公园 的面积. 【答案】(1)等边三角形;(2)BC的最小值为 ;(3)平行四边形公园ABCD的面积为 (平方米). 【分析】(1)由旋转得BN=BM,∠MBN=60°,可判断出 BMN是等边三角形即可; △ (2)设AB=a,则AC=10-a,进而根据勾股定理得出 即可得出结论; (3)先判断出点A',E',E,C在同一条线上,设BF=x,进而依次得出AB=2x,BC=6-2x,CF=6- x,再利用勾股定理得出 ,得出x= 是A'C最小,进而求出A'F,BC,利用平 行四边形面积公式计算即可. 【详解】(1)证明: 的形状是等边三角形,理由如下; 由旋转知,BN=BM,∠MBN=60° ∴ BMN为等边三角形 故△答案为:等边三角形; (2)解:设AB=a, ∵AB+AC=10, ∴AC=10-AB= , 在Rt ABC中,根据勾股定理得, △ , ∵ ,∴ ,即 , ∴ , 即BC的最小值为 ; (3)解:如图3, 将 ABE绕点B逆时针旋转60°得到 A'BE', ∴△△ABE≌△A'BE', △ ∴∠A'E'B=∠AEB,AB=A'B,A'E'=AE,BE'=BE,∠EBE'=60°, ∴△EBE'为等边三角形, ∴∠BE'E=∠BEE'=60°,EE'=BE, ∴AE+BE+CE=A'E'+EE'+CE, 要AE+BE+CE最小,即点A',E',E,C在同一条线上,即最小值为A'C, 过点A'作A'F⊥CB,交CB的延长线于F, 在Rt A'FB中,∠A'BF=180°-∠ABA'-∠ABC=60°, 设BF△=x,则A'B=2x, 根据勾股定理得,A'F= , ∵AB=A'B, ∴AB=2x, ∵AB+BC=6, ∴BC=6-AB=6-2x, ∴CF=BF+BC=6-x, 在Rt A'FC中,根据勾股定理得, △ , ∴当x= ,即AB=2x=3时, 最小,此时,BC=6-3=3,A'F= , ∴平行四边形公园ABCD的面积为 (平方千米). 【点睛】本题是四边形综合题,主要考查了等边三角形的判定和性质,旋转的性质,勾股定理, 用代数式表示线段,利用配方法确定极值问题,判断出AB=BC时,AE+BE+CE最小是解本题的关 键. 11.在正方形ABCD中,点E为对角线AC(不含点A)上任意一点,AB= ; (1)如图1,将 ADE绕点D逆时针旋转90°得到 DCF,连接EF; ①把图形补充完整△(无需写画法); ②求 的取△值范围; (2)如图2,求BE+AE+DE的最小值. 【答案】(1)①补图见解析;② ;(2) 【分析】(1)①根据要求画出图形即可; ②首先证明∠ECF=90°,设AE=CF=x,EF2=y,则EC=4−x,在Rt ECF中,利用勾股定理即 可解决问题; △ (2)如图2中,将△ABE绕点A顺时针旋转60°得到△AFG,连接EG,DF.作FH⊥AD于H. 根据两点之间线段最短可得DF≤FG+EG+DE,BE=FG,推出AE+BE+DE的最小值为线段DF 的长; 【详解】(1)①如图△DCF即为所求;②∵四边形ABCD是正方形, ∴BC=AB=2 ,∠B=90°,∠DAE=∠ADC=45°, ∴AC= = AB=4, ∵△ADE绕点D逆时针旋转90°得到△DCF, ∴∠DCF=∠DAE=45°,AE=CF, ∴∠ECF=∠ACD+∠DCF=90°, 设AE=CF=x,EF2=y,则EC=4−x, ∴y=(4−x)2+x2=2x2−8x+160(0<x≤4). 即y=2(x−2)2+8, ∵2>0, ∴x=2时,y有最小值,最小值为8, 当x=4时,y最大值=16, ∴8≤EF2≤16. (2)如图中,将△ABE绕点A顺时针旋转60°得到△AFG,连接EG,DF.作FH⊥AD于H. 由旋转的性质可知,△AEG是等边三角形, ∴AE=EG, ∵DF≤FG+EG+DE,BE=FG, ∴AE+BE+DE的最小值为线段DF的长. 在Rt AFH中,∠FAH=30°,AB= =AF, △ ∴FH= AF= ,AH= = , 在Rt DFH中,DF= = , △ ∴BE+AE+ED的最小值为 . 【点睛】本题考查作图−旋转变换,正方形的性质,勾股定理,两点之间线段最短等知识,解题的关键是学会构建二次函数解决最值问题,学会利用旋转法添加辅助线,学会用转化的思想思考问 题,属于中考常考题型. 12.如图1,点M为锐角三角形 内任意一点,连接 .以 为一边向外作等边 三角形 ,将 绕点B逆时针旋转 得到 ,连接 . (1)求证: ; (2)若 的值最小,则称点M为 的费马点.若点M为 的费马点,求此 时 的度数; (3)受以上启发,你能想出作锐角三角形的费马点的一个方法吗?请利用图2画出草图,并说明 作法以及理由. 【答案】(1)见解析;(2) : ; ;(3)见解析 【分析】(1)结合等边三角形的性质,根据SAS可证△AMB≌△ENB (2)连接MN,由(1)的结论证明ΔBMN为等边三角形,所以BM=MN,即 AM+BM+CM=EN+MN+CM,所以当E、N、M、C四点共线时,AM+BM+CM的值最小,从而可 求此时∠AMB、∠BMC、ΔCMA的度数; (3)根据(2)中费马点的定义,又△ABC的费马点在线段EC上,同理也在线段BF上,因此线 段EC和BF的交点即为△ABC的费马点. 【详解】解:(1)证明:∵ 为等边三角形, ∴ . 而 , ∴ . 在 与 中,∴ . (2)连接 .由(1)知, . ∵ , ∴ 为等边三角形. ∴ . ∴ . ∴当E、N、M、C四点共线时, 的值最小. 此时, : ; . (3)如图2,分别以 的 , 为一边向外作等边 和等边 ,连接 , 相交于M,则点M即为 的费马点,由(2)知, 的费马点在线段 上,同理也在线 段 上.因此线段 与 的交点即为 的费马点. (方法不唯一,正确即可) 【点睛】本题考查了等边三角形的性质,三角形全等的判定与性质,掌握三角形全等的判定和性质 是解题的关键. 13.若点P为△ABC所在平面上一点,且∠APB=∠BPC=∠CPA=120°,则点P叫做△ABC的费马点.当三角形的最大角小于120°时,可以证明费马点就是“到三角形的三个顶点的距离之和最 小的点“.即PA+PB+PC最小. (1)如图1,向△ABC外作等边三角形△ABD,△AEC.连接BE,DC相交于点P,连接AP. ①证明:点P就是△ABC费马点; ②证明:PA+PB+PC=BE=DC; (2)如图2,在△MNG中,MN=4 ,∠M=75°,MG=3.点O是△MNG内一点,则点O到 △MNG三个顶点的距离和的最小值是 . 【答案】(1)①证详见解析;②详见解析;(2) . 【分析】(1)①如图1﹣1中,作AM⊥CD于M,AN⊥BE于N设AB交 CD于O.证明 △ADC≌△ABE(SAS)即可解决问题. ②在线段PDA上取一点T,使得PA=PT,连接AT.证明△DAT≌△BAP(SAS),推出PD= PA+PB即可解决问题. (2)以MG为边作等边三角形△MGD,以OM为边作等边△OME.连接ND,可证 △GMO≌△DME,可得GO=DE,则MO+NO+GO=NO+OE+DE,即当D、E、O、N四点共线时, MO+NO+GO值最小,最小值为ND的长度,根据勾股定理先求得MF、DF,然后求ND的长度, 即可求MO+NO+GO的最小值. 【详解】(1)①如图1﹣1中,作AM⊥CD于M,AN⊥BE于N设AB交 CD于O. ∵△ADB,△ACE都是等边三角形, ∴AD=AB,AC=AE,∠DAB=∠CAE=60°, ∴∠DAB=∠BAE,∴△ADC≌△ABE(SAS), ∴CD=BE,S =S ,∠ADC=∠ABE, DAC ABE △ △ ∵AM⊥CD,AN⊥BE, ∴ •CD•AM= •BE•AN, ∴AM=AN, ∴∠APM=∠APN, ∵∠AOD=∠POB, ∴∠OPB=∠DAO=60°, ∴∠APN=∠APM=60°, ∴∠APC=∠BPC=∠APC=120°, ∴点P是就是△ABC费马点. ②在线段PDA上取一点T,使得PA=PT,连接AT. ∵∠APT=60°,PT=PA, ∴△APT是等边三角形, ∴∠PAT=60°,AT=AP, ∵∠DAB=∠TAP=60°, ∴∠DAT=∠BAP,∵AD=AB, ∴△DAT≌△BAP(SAS), ∴PB=DT, ∴PD=DT+PT=PA+PB, ∴PA+PB+PC=PD+PC=CD=BE. (2)如图2:以MG为边作等边三角形△MGD,以OM为边作等边△OME.连接ND,作 DF⊥NM,交NM的延长线于F.∵△MGD和△OME是等边三角形 ∴OE=OM=ME,∠DMG=∠OME=60°,MG=MD, ∴∠GMO=∠DME 在△GMO和△DME中, , ∴△GMO≌△DME(SAS), ∴OG=DE ∴NO+GO+MO=DE+OE+NO ∴当D、E、O、M四点共线时,NO+GO+MO值最小, ∵∠NMG=75°,∠GMD=60°, ∴∠NMD=135°, ∴∠DMF=45°, ∵MG=3 ∴MF=DF= , ∴NF=MN+MF=4 = , ∴ND= = = , ∴MO+NO+GO最小值为 , 故答案为 , 【点睛】本题属于三角形综合题,考查了旋转的性质,等边三角形的性质,勾股定理,最短路径问题,构造等边三角形是解答本题的关键. 14.如图,在 中, ,在 内部有一点P,连接 、 、 .(加权费马点)求: (1) 的最小值; (2) 的最小值 (3) 的最小值; (4) 的最小值 (5) 的最小值; (6) 的最小值 (7) 的最小值; (8) 的最小值 【答案】(1) ;(2) ;(3) ;(4) ;(5) ;(6)26;(7) ;(8) 【分析】(1)将 绕点B顺时针旋转 得到 ,则 , , ,可以推出 为等边三角形,得到 ,则 , 即可得到A、P、 、 四点共线时, 最小,最小值为 ,然后证明 ,由此利用勾股定理求解即可; (2)将 绕点C逆时针旋转 得到 ,则可证明 ,从而得到 ,则当A、P、 、 四点共线时 最小,最小值为,过点A再作 的垂线,垂足为E,利用勾股定理求出 , ,由此即可得到答案; (3)将 绕点C逆时针旋转 得到 ,则可证明 ,则 ,故当A、P、 、 四点共线时 最小,最小值 为 ,过点A再作 的垂线,垂足为E,利用勾股定理求出 , ,由此即可得到答案; (4)将 绕点C顺时针旋转 ,得到 ,再将 以点C为位似中心放大2倍,得 到 ,连接 ,先证明 ,则可以得到 ,故 当 , , , 共线时 最小,最小为 ,然后证明 ,即可利用勾股定理求解; (5)将 绕点C顺时针旋转 ,得到 ,再将 以点C为位似中心缩小2倍,得 到 ,同(4)原理可证得当 , , , 共线时 最小,最小为 , 然后证明 ,由此求解即可; (6)由 可由(5)得: 的最小值 为26; (7)由 可由(4)得 的最小值为; (8)将 绕点C顺时针旋转 ,得到 ,再将 以点C为位似中心缩小 倍,得 到 ,同理可以证得当A、P、 、 ,共线时 的值最小.在 中, , ,过点 作 交BC延长线于E,然后 求出 , 的长,由此即可求解. 【详解】解:(1)如图3-2,将 绕点B顺时针旋转 得到 , ∴ , , , ∴ 为等边三角形, ∴ , ∴ , ∴A、P、 、 四点共线时, 最小,最小值为 同理可证 为等边三角形, ∴ , , ∴ , ∴ ; ∴ 的最小值为 ; (2)如图3-4,将 绕点C逆时针旋转 得到 , ∴ , , , , ,∴ , ∴ , ∴当A、P、 、 四点共线时, 最小,最小值为 ∵∠ACB=30°, ∴ ∴ , 过点A再作 的垂线,垂足为E, ∴∠AEC=90°,∠ACE=60°, ∴∠CAE=30°, ∴ ∴ , , ∴ , ∴ 的最小值为 ; (3)如图3-6,将 绕点C逆时针旋转 得到 , ∴ , , , , , ∴ , 过点C作 于E,∴ , , ∴ , ∴ , ∴ , ∴当A、P、 、 四点共线时, 最小,最小值为 ∵∠ACB=30°, ∴ ∴ , 过点A再作 的垂线,垂足为E, ∴∠AEC=90°,∠ACE=3°, ∴ ∴ , ∴ ∴ , ∴ 的最小值为 ;(4)如图3-8,将 绕点C顺时针旋转 ,得到 ,再将 以点C为位似中心放 大2倍,得到 ,连接 由旋转的性质得 , , , , ∴ , , , 是等边三角形, ∴ , , ∴ , ∴ , ∴ , ∴ , ∴当 , , , 共线时 最小,最小为 , ∵ , ∴ , ∴ 的最小值为 ; (5)如图3-10,将 绕点C顺时针旋转 ,得到 ,再将 以点C为位似中心 缩小2倍,得到 ,同(4)原理可证得当 , , , 共线时 最小,最小为 , ∵ ,在 中, , , 最小为 ; (6)∵ ∴由(5)得: 的最小值为26; (7)∵ ∴由(4)得 的最小值为 ;(8)如图3-12,将 绕点C顺时针旋转 ,得到 ,再将 以点C为位似中心缩 小 倍,得到 , 同理可以证得当A、P、 、 ,共线时 的值最小. 在 中, , , 过点 作 交BC延长线于E, ∴ , ∴ , ∴ , ∴ , , ∴ , 的最小值为 . 【点睛】本题主要考查了旋转的性质,勾股定理,位似,含30度角的直角三角形的性质,等边三 角形的性质与判定,等腰三角形的性质与判定等等,解题的关键在于能够作出辅助线,找到P点 在什么位置时,线段的和最小.