当前位置:首页>文档>考点28正弦定理、余弦定理(3种核心题型+基础保分练+综合提升练+拓展冲刺练)解析版_2.2025数学总复习_2025年新高考资料_一轮复习_2025年高考数学一轮复习核心题型讲与练(完结)

考点28正弦定理、余弦定理(3种核心题型+基础保分练+综合提升练+拓展冲刺练)解析版_2.2025数学总复习_2025年新高考资料_一轮复习_2025年高考数学一轮复习核心题型讲与练(完结)

  • 2026-04-02 19:57:01 2026-03-27 12:06:14

文档预览

考点28正弦定理、余弦定理(3种核心题型+基础保分练+综合提升练+拓展冲刺练)解析版_2.2025数学总复习_2025年新高考资料_一轮复习_2025年高考数学一轮复习核心题型讲与练(完结)
考点28正弦定理、余弦定理(3种核心题型+基础保分练+综合提升练+拓展冲刺练)解析版_2.2025数学总复习_2025年新高考资料_一轮复习_2025年高考数学一轮复习核心题型讲与练(完结)
考点28正弦定理、余弦定理(3种核心题型+基础保分练+综合提升练+拓展冲刺练)解析版_2.2025数学总复习_2025年新高考资料_一轮复习_2025年高考数学一轮复习核心题型讲与练(完结)
考点28正弦定理、余弦定理(3种核心题型+基础保分练+综合提升练+拓展冲刺练)解析版_2.2025数学总复习_2025年新高考资料_一轮复习_2025年高考数学一轮复习核心题型讲与练(完结)
考点28正弦定理、余弦定理(3种核心题型+基础保分练+综合提升练+拓展冲刺练)解析版_2.2025数学总复习_2025年新高考资料_一轮复习_2025年高考数学一轮复习核心题型讲与练(完结)
考点28正弦定理、余弦定理(3种核心题型+基础保分练+综合提升练+拓展冲刺练)解析版_2.2025数学总复习_2025年新高考资料_一轮复习_2025年高考数学一轮复习核心题型讲与练(完结)
考点28正弦定理、余弦定理(3种核心题型+基础保分练+综合提升练+拓展冲刺练)解析版_2.2025数学总复习_2025年新高考资料_一轮复习_2025年高考数学一轮复习核心题型讲与练(完结)
考点28正弦定理、余弦定理(3种核心题型+基础保分练+综合提升练+拓展冲刺练)解析版_2.2025数学总复习_2025年新高考资料_一轮复习_2025年高考数学一轮复习核心题型讲与练(完结)
考点28正弦定理、余弦定理(3种核心题型+基础保分练+综合提升练+拓展冲刺练)解析版_2.2025数学总复习_2025年新高考资料_一轮复习_2025年高考数学一轮复习核心题型讲与练(完结)
考点28正弦定理、余弦定理(3种核心题型+基础保分练+综合提升练+拓展冲刺练)解析版_2.2025数学总复习_2025年新高考资料_一轮复习_2025年高考数学一轮复习核心题型讲与练(完结)
考点28正弦定理、余弦定理(3种核心题型+基础保分练+综合提升练+拓展冲刺练)解析版_2.2025数学总复习_2025年新高考资料_一轮复习_2025年高考数学一轮复习核心题型讲与练(完结)
考点28正弦定理、余弦定理(3种核心题型+基础保分练+综合提升练+拓展冲刺练)解析版_2.2025数学总复习_2025年新高考资料_一轮复习_2025年高考数学一轮复习核心题型讲与练(完结)
考点28正弦定理、余弦定理(3种核心题型+基础保分练+综合提升练+拓展冲刺练)解析版_2.2025数学总复习_2025年新高考资料_一轮复习_2025年高考数学一轮复习核心题型讲与练(完结)
考点28正弦定理、余弦定理(3种核心题型+基础保分练+综合提升练+拓展冲刺练)解析版_2.2025数学总复习_2025年新高考资料_一轮复习_2025年高考数学一轮复习核心题型讲与练(完结)
考点28正弦定理、余弦定理(3种核心题型+基础保分练+综合提升练+拓展冲刺练)解析版_2.2025数学总复习_2025年新高考资料_一轮复习_2025年高考数学一轮复习核心题型讲与练(完结)
考点28正弦定理、余弦定理(3种核心题型+基础保分练+综合提升练+拓展冲刺练)解析版_2.2025数学总复习_2025年新高考资料_一轮复习_2025年高考数学一轮复习核心题型讲与练(完结)
考点28正弦定理、余弦定理(3种核心题型+基础保分练+综合提升练+拓展冲刺练)解析版_2.2025数学总复习_2025年新高考资料_一轮复习_2025年高考数学一轮复习核心题型讲与练(完结)
考点28正弦定理、余弦定理(3种核心题型+基础保分练+综合提升练+拓展冲刺练)解析版_2.2025数学总复习_2025年新高考资料_一轮复习_2025年高考数学一轮复习核心题型讲与练(完结)
考点28正弦定理、余弦定理(3种核心题型+基础保分练+综合提升练+拓展冲刺练)解析版_2.2025数学总复习_2025年新高考资料_一轮复习_2025年高考数学一轮复习核心题型讲与练(完结)
考点28正弦定理、余弦定理(3种核心题型+基础保分练+综合提升练+拓展冲刺练)解析版_2.2025数学总复习_2025年新高考资料_一轮复习_2025年高考数学一轮复习核心题型讲与练(完结)
考点28正弦定理、余弦定理(3种核心题型+基础保分练+综合提升练+拓展冲刺练)解析版_2.2025数学总复习_2025年新高考资料_一轮复习_2025年高考数学一轮复习核心题型讲与练(完结)
考点28正弦定理、余弦定理(3种核心题型+基础保分练+综合提升练+拓展冲刺练)解析版_2.2025数学总复习_2025年新高考资料_一轮复习_2025年高考数学一轮复习核心题型讲与练(完结)
考点28正弦定理、余弦定理(3种核心题型+基础保分练+综合提升练+拓展冲刺练)解析版_2.2025数学总复习_2025年新高考资料_一轮复习_2025年高考数学一轮复习核心题型讲与练(完结)
考点28正弦定理、余弦定理(3种核心题型+基础保分练+综合提升练+拓展冲刺练)解析版_2.2025数学总复习_2025年新高考资料_一轮复习_2025年高考数学一轮复习核心题型讲与练(完结)
考点28正弦定理、余弦定理(3种核心题型+基础保分练+综合提升练+拓展冲刺练)解析版_2.2025数学总复习_2025年新高考资料_一轮复习_2025年高考数学一轮复习核心题型讲与练(完结)
考点28正弦定理、余弦定理(3种核心题型+基础保分练+综合提升练+拓展冲刺练)解析版_2.2025数学总复习_2025年新高考资料_一轮复习_2025年高考数学一轮复习核心题型讲与练(完结)
考点28正弦定理、余弦定理(3种核心题型+基础保分练+综合提升练+拓展冲刺练)解析版_2.2025数学总复习_2025年新高考资料_一轮复习_2025年高考数学一轮复习核心题型讲与练(完结)
考点28正弦定理、余弦定理(3种核心题型+基础保分练+综合提升练+拓展冲刺练)解析版_2.2025数学总复习_2025年新高考资料_一轮复习_2025年高考数学一轮复习核心题型讲与练(完结)
考点28正弦定理、余弦定理(3种核心题型+基础保分练+综合提升练+拓展冲刺练)解析版_2.2025数学总复习_2025年新高考资料_一轮复习_2025年高考数学一轮复习核心题型讲与练(完结)
考点28正弦定理、余弦定理(3种核心题型+基础保分练+综合提升练+拓展冲刺练)解析版_2.2025数学总复习_2025年新高考资料_一轮复习_2025年高考数学一轮复习核心题型讲与练(完结)
考点28正弦定理、余弦定理(3种核心题型+基础保分练+综合提升练+拓展冲刺练)解析版_2.2025数学总复习_2025年新高考资料_一轮复习_2025年高考数学一轮复习核心题型讲与练(完结)
考点28正弦定理、余弦定理(3种核心题型+基础保分练+综合提升练+拓展冲刺练)解析版_2.2025数学总复习_2025年新高考资料_一轮复习_2025年高考数学一轮复习核心题型讲与练(完结)
考点28正弦定理、余弦定理(3种核心题型+基础保分练+综合提升练+拓展冲刺练)解析版_2.2025数学总复习_2025年新高考资料_一轮复习_2025年高考数学一轮复习核心题型讲与练(完结)
考点28正弦定理、余弦定理(3种核心题型+基础保分练+综合提升练+拓展冲刺练)解析版_2.2025数学总复习_2025年新高考资料_一轮复习_2025年高考数学一轮复习核心题型讲与练(完结)
考点28正弦定理、余弦定理(3种核心题型+基础保分练+综合提升练+拓展冲刺练)解析版_2.2025数学总复习_2025年新高考资料_一轮复习_2025年高考数学一轮复习核心题型讲与练(完结)
考点28正弦定理、余弦定理(3种核心题型+基础保分练+综合提升练+拓展冲刺练)解析版_2.2025数学总复习_2025年新高考资料_一轮复习_2025年高考数学一轮复习核心题型讲与练(完结)
考点28正弦定理、余弦定理(3种核心题型+基础保分练+综合提升练+拓展冲刺练)解析版_2.2025数学总复习_2025年新高考资料_一轮复习_2025年高考数学一轮复习核心题型讲与练(完结)
考点28正弦定理、余弦定理(3种核心题型+基础保分练+综合提升练+拓展冲刺练)解析版_2.2025数学总复习_2025年新高考资料_一轮复习_2025年高考数学一轮复习核心题型讲与练(完结)
考点28正弦定理、余弦定理(3种核心题型+基础保分练+综合提升练+拓展冲刺练)解析版_2.2025数学总复习_2025年新高考资料_一轮复习_2025年高考数学一轮复习核心题型讲与练(完结)
考点28正弦定理、余弦定理(3种核心题型+基础保分练+综合提升练+拓展冲刺练)解析版_2.2025数学总复习_2025年新高考资料_一轮复习_2025年高考数学一轮复习核心题型讲与练(完结)
考点28正弦定理、余弦定理(3种核心题型+基础保分练+综合提升练+拓展冲刺练)解析版_2.2025数学总复习_2025年新高考资料_一轮复习_2025年高考数学一轮复习核心题型讲与练(完结)
考点28正弦定理、余弦定理(3种核心题型+基础保分练+综合提升练+拓展冲刺练)解析版_2.2025数学总复习_2025年新高考资料_一轮复习_2025年高考数学一轮复习核心题型讲与练(完结)
考点28正弦定理、余弦定理(3种核心题型+基础保分练+综合提升练+拓展冲刺练)解析版_2.2025数学总复习_2025年新高考资料_一轮复习_2025年高考数学一轮复习核心题型讲与练(完结)
考点28正弦定理、余弦定理(3种核心题型+基础保分练+综合提升练+拓展冲刺练)解析版_2.2025数学总复习_2025年新高考资料_一轮复习_2025年高考数学一轮复习核心题型讲与练(完结)
考点28正弦定理、余弦定理(3种核心题型+基础保分练+综合提升练+拓展冲刺练)解析版_2.2025数学总复习_2025年新高考资料_一轮复习_2025年高考数学一轮复习核心题型讲与练(完结)
考点28正弦定理、余弦定理(3种核心题型+基础保分练+综合提升练+拓展冲刺练)解析版_2.2025数学总复习_2025年新高考资料_一轮复习_2025年高考数学一轮复习核心题型讲与练(完结)
考点28正弦定理、余弦定理(3种核心题型+基础保分练+综合提升练+拓展冲刺练)解析版_2.2025数学总复习_2025年新高考资料_一轮复习_2025年高考数学一轮复习核心题型讲与练(完结)
考点28正弦定理、余弦定理(3种核心题型+基础保分练+综合提升练+拓展冲刺练)解析版_2.2025数学总复习_2025年新高考资料_一轮复习_2025年高考数学一轮复习核心题型讲与练(完结)
考点28正弦定理、余弦定理(3种核心题型+基础保分练+综合提升练+拓展冲刺练)解析版_2.2025数学总复习_2025年新高考资料_一轮复习_2025年高考数学一轮复习核心题型讲与练(完结)
考点28正弦定理、余弦定理(3种核心题型+基础保分练+综合提升练+拓展冲刺练)解析版_2.2025数学总复习_2025年新高考资料_一轮复习_2025年高考数学一轮复习核心题型讲与练(完结)
考点28正弦定理、余弦定理(3种核心题型+基础保分练+综合提升练+拓展冲刺练)解析版_2.2025数学总复习_2025年新高考资料_一轮复习_2025年高考数学一轮复习核心题型讲与练(完结)
考点28正弦定理、余弦定理(3种核心题型+基础保分练+综合提升练+拓展冲刺练)解析版_2.2025数学总复习_2025年新高考资料_一轮复习_2025年高考数学一轮复习核心题型讲与练(完结)
考点28正弦定理、余弦定理(3种核心题型+基础保分练+综合提升练+拓展冲刺练)解析版_2.2025数学总复习_2025年新高考资料_一轮复习_2025年高考数学一轮复习核心题型讲与练(完结)
考点28正弦定理、余弦定理(3种核心题型+基础保分练+综合提升练+拓展冲刺练)解析版_2.2025数学总复习_2025年新高考资料_一轮复习_2025年高考数学一轮复习核心题型讲与练(完结)
考点28正弦定理、余弦定理(3种核心题型+基础保分练+综合提升练+拓展冲刺练)解析版_2.2025数学总复习_2025年新高考资料_一轮复习_2025年高考数学一轮复习核心题型讲与练(完结)
考点28正弦定理、余弦定理(3种核心题型+基础保分练+综合提升练+拓展冲刺练)解析版_2.2025数学总复习_2025年新高考资料_一轮复习_2025年高考数学一轮复习核心题型讲与练(完结)
考点28正弦定理、余弦定理(3种核心题型+基础保分练+综合提升练+拓展冲刺练)解析版_2.2025数学总复习_2025年新高考资料_一轮复习_2025年高考数学一轮复习核心题型讲与练(完结)
考点28正弦定理、余弦定理(3种核心题型+基础保分练+综合提升练+拓展冲刺练)解析版_2.2025数学总复习_2025年新高考资料_一轮复习_2025年高考数学一轮复习核心题型讲与练(完结)
考点28正弦定理、余弦定理(3种核心题型+基础保分练+综合提升练+拓展冲刺练)解析版_2.2025数学总复习_2025年新高考资料_一轮复习_2025年高考数学一轮复习核心题型讲与练(完结)
考点28正弦定理、余弦定理(3种核心题型+基础保分练+综合提升练+拓展冲刺练)解析版_2.2025数学总复习_2025年新高考资料_一轮复习_2025年高考数学一轮复习核心题型讲与练(完结)
考点28正弦定理、余弦定理(3种核心题型+基础保分练+综合提升练+拓展冲刺练)解析版_2.2025数学总复习_2025年新高考资料_一轮复习_2025年高考数学一轮复习核心题型讲与练(完结)
考点28正弦定理、余弦定理(3种核心题型+基础保分练+综合提升练+拓展冲刺练)解析版_2.2025数学总复习_2025年新高考资料_一轮复习_2025年高考数学一轮复习核心题型讲与练(完结)
考点28正弦定理、余弦定理(3种核心题型+基础保分练+综合提升练+拓展冲刺练)解析版_2.2025数学总复习_2025年新高考资料_一轮复习_2025年高考数学一轮复习核心题型讲与练(完结)
考点28正弦定理、余弦定理(3种核心题型+基础保分练+综合提升练+拓展冲刺练)解析版_2.2025数学总复习_2025年新高考资料_一轮复习_2025年高考数学一轮复习核心题型讲与练(完结)
考点28正弦定理、余弦定理(3种核心题型+基础保分练+综合提升练+拓展冲刺练)解析版_2.2025数学总复习_2025年新高考资料_一轮复习_2025年高考数学一轮复习核心题型讲与练(完结)
考点28正弦定理、余弦定理(3种核心题型+基础保分练+综合提升练+拓展冲刺练)解析版_2.2025数学总复习_2025年新高考资料_一轮复习_2025年高考数学一轮复习核心题型讲与练(完结)
考点28正弦定理、余弦定理(3种核心题型+基础保分练+综合提升练+拓展冲刺练)解析版_2.2025数学总复习_2025年新高考资料_一轮复习_2025年高考数学一轮复习核心题型讲与练(完结)
考点28正弦定理、余弦定理(3种核心题型+基础保分练+综合提升练+拓展冲刺练)解析版_2.2025数学总复习_2025年新高考资料_一轮复习_2025年高考数学一轮复习核心题型讲与练(完结)

文档信息

文档格式
docx
文档大小
3.091 MB
文档页数
64 页
上传时间
2026-03-27 12:06:14

文档内容

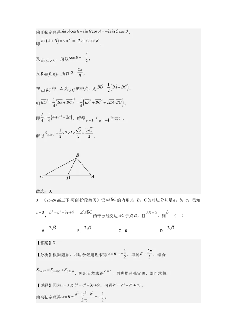
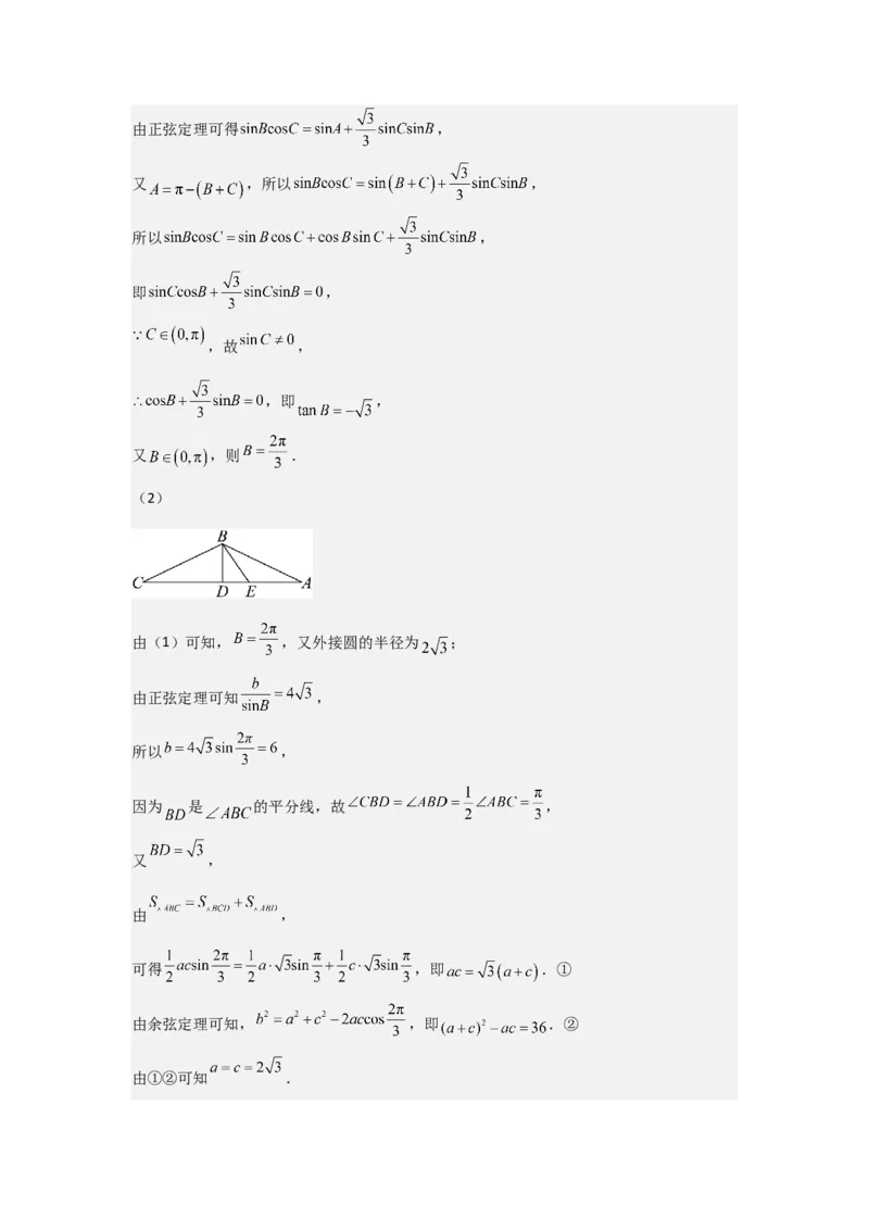
考点 28 正弦定理、余弦定理(2 种核心题型+基础保分练 +综合提升练+拓展冲刺练) 【考试提醒】 1.掌握正弦定理、余弦定理及其变形. 2.理解三角形的面积公式并能应用. 3.能利用正弦定理、余弦定理解决一些简单的三角形度量问题. 【知识点】 1.正弦定理、余弦定理 在△ABC中,若角A,B,C所对的边分别是a,b,c,R为△ABC外接圆半径,则 定理 正弦定理 余弦定理 a2= b 2 + c 2 - 2 bc cos A ; 内容 ===2R b2= c 2 + a 2 - 2 ca cos B ; c2= a 2 + b 2 - 2 ab cos C (1)a=2Rsin A, b= 2 R sin B , c= 2 R sin C ; cos A=; 变形 (2)sin A=, cos B=; sin B=,sin C=; cos C= (3)a∶b∶c = sin A ∶ sin B ∶ sin C 2.三角形解的判断 A为锐角 A为钝角或直角 图形 关系式 a=bsin A bsin A< ab 解的个数 一解 两解 一解 一解3.三角形中常用的面积公式 (1)S=ah(h 表示边a上的高); a a (2)S=absin C=acsin B=bcsin A; (3)S=r(a+b+c)(r为三角形的内切圆半径). 常用结论 在△ABC中,常有以下结论: (1)∠A+∠B+∠C=π. (2)任意两边之和大于第三边,任意两边之差小于第三边. (3)a>b⇔A>B⇔sin A>sin B,cos A0,φ>0)个单位长度而 非φ个单位长度. (2)如果平移前后两个图象对应的函数的名称不一致,那么应先利用诱导公式化为同名函数, ω为负时应先变成正值 【例题1】(2024·广东江门·二模) 是 内一点, ,则 ( ) A. B. C. D. 【答案】D 【分析】在 中,分别使用正弦定理,结合 化简整理即可得解 【详解】因为 , 所以 , 设 ,因为 ,所以 .在 中,由正弦定理可得 , 则 ,即 , 即 , 解得 . 故选:D 【变式1】(2024·河北沧州·模拟预测)记 的内角 的对边分别为 ,若 ,且 ,则 . 【答案】 / 【分析】根据三角恒等变换的化简计算可得 ,由同角的平方关系可得 , 结合正弦定理计算即可求解. 【详解】 , , .又 , 所以 ,所以 . 因为 ,由正弦定理知 , 所以 ,又 ,所以 .故答案为: 【变式2】(2024·山东日照·二模) 的内角 的对边分别为 .分别以 为边长的正三角形的面积依次为 ,且 . (1)求角 ; (2)若 , ,求 . 【答案】(1) (2) 【分析】(1)根据题意,化简得到 ,利用余弦定理求得 ,即可 求解; (2)设 ,在 和 中,利用正弦定理化简得到 ,结合 三角函数基本关系式,联立方程组,求得 的值. 【详解】(1)解:由分别以 为边长的正三角形的面积依次为 , 则 ,可得 , 由余弦定理得 , 因为 ,所以 . (2)解:设 (其中 为锐角),在 和 中,由正弦定理可得 且 , 于是 , 又因为 ,所以 , 化简得 , 根据同角三角函数的基本关系式,可得 , 因为 ,联立方程组,解得 ,即 【变式3】(2024·辽宁沈阳·模拟预测)在 中,内角A,B,C所对的边分别为a, b,c,且 . (1)求角A的大小; (2)若 为锐角三角形,点F为 的垂心, ,求 的取值范围. 【答案】(1) (2) 【分析】(1)由正弦定理及余弦定理可得 的值,再由角 的范围,可得角 的大小; (2)设 ,分别在两个三角形中,由正弦定理可得 , 的表达式,由辅助角 公式可得 的取值范围. 【详解】(1)因为 , 所以 , 所以 , 由正弦定理可得 ,由余弦定理可得 , , 可得 ; (2)延长 交 于 ,延长 交 于 ,延长 交 于 , , 根据题意可得 , ,因为 ,所以 , 设 , ,在 中,由正弦定理可得 , 即 ,可得 , 同理在 中,可得 , 所以 , 因为 ,所以 , , 所以 , , 所以 , . 题型二 正弦定理、余弦定理的简单应用 命题点1 三角形的形状判断 判断三角形形状的两种思路 (1)化边:通过因式分解、配方等得出边的相应关系,从而判断三角形的形状. (2)化角:通过三角恒等变换,得出内角的关系,从而判断三角形的形状.此时要注意应用 A+B+C=π这个结论.【例题2】(2024·陕西渭南·三模)已知 中,角A,B,C所对的边分别是a,b,c, 若 ,且 ,则 是( ) A.锐角三角形 B.钝角三角形 C.等边三角形 D.等腰直角三角形 【答案】D 【分析】由正弦定理和 得到 , ,求出 ,得到答案. 【详解】 , 即 ,故 , , 因为 ,所以 ,故 , 因为 ,所以 , 故 为等腰直角三角形. 故选:D 【变式1】(2024·湖南衡阳·模拟预测)在 中,角 的对边分别为 ,若 ,则 的形状为 . 【答案】等腰三角形或直角三角形. 【分析】根据题意,结合正弦定理和余弦定理,得到 ,化 简得到 ,进而得到答案. 【详解】因为 ,可得 , 由正弦定理和余弦定理,可得 , 整理得 ,即 , 即 ,可得 , 所以 或 ,所以 是等腰三角形或直角三角形.故答案为:等腰三角形或直角三角形. 【变式2】(2024·安徽淮北·二模)记 的内角 的对边分别为 ,已知 (1)试判断 的形状; (2)若 ,求 周长的最大值. 【答案】(1) 是直角三角形 (2) 【分析】(1)根据题意,求得 ,利用余弦定理列出方程,得到 ,即可 求解; (2)由(1)和 ,得到 ,则 周长为 ,结合三角 函数的性质,即可求解. 【详解】(1)解:由 ,可得 ,所以 , 即 ,所以 , 又由余弦定理得 ,可得 ,所以 , 所以 是直角三角形 (2)解:由(1)知, 是直角三角形,且 ,可得 , 所以 周长为 , 因为 ,可得 , 所以,当 时,即 为等腰直角三角形,周长有最大值为 . 【变式3】(2024·内蒙古·三模)在 中,内角 的对边分别为 ,且. (1)求 的值; (2)若 ,证明: 为直角三角形. 【答案】(1) (2)证明见解析 【分析】(1)由正弦定理和逆用正弦和角公式得到 ,求出答案; (2)由(1)得到 ,结合 ,得到 ,化简得到 , ,得到答案. 【详解】(1)由 , 可得 , 所以 , 所以 , 则 ,即 . (2)证明:由(1)可得 . 又 ,所以 , 即 , 故 , 所以 ,即 , 因为 ,所以 为锐角, 解得 (负值舍去),即 , 所以 为直角三角形. 命题点2 三角形的面积 三角形面积公式的应用原则 (1)对于面积公式S=absin C=acsin B=bcsin A,一般是已知哪一个角就使用哪一个公式. (2)与面积有关的问题,一般要用到正弦定理或余弦定理进行边和角的转化. 【例题3】(2024·云南昆明·三模)已知 中, , , ,则 的面积等于( ) A.3 B. C.5 D. 【答案】B 【分析】由余弦定理及同角三角函数的平方关系得出 ,再根据三角形面积公式计算即 可. 【详解】由余弦定理得, ,因为 为三角形 内角, 则 , 所以 , 故选:B. 【变式1】(2024·安徽·三模)在 中,a,b,c分别为内角A,B,C所对的边,且满 足 , ,则 的面积是 .【答案】 / 【分析】先化角为边结合余弦定理得出 ,利用 可得 ,利用面积公 式可得答案. 【详解】因为 , 由正弦定理可得 ,整理得 , , 因为 ,所以 ; 由 得 ,即 , 因为 , 所以 ,即 ,所以三角形是正三角形, 因为 ,所以 的面积是 . 故答案为: 【变式2】(2024·浙江绍兴·二模)在三角形 中,内角 对应边分别为 且 . (1)求 的大小; (2)如图所示, 为 外一点, , , , ,求 及 的面积.【答案】(1) (2) , 【分析】(1)利用正弦定理边化角可得 ,根据式 子特点,变换 ,从而可以化简三角恒等式为 ,最后利 用辅助角公式求出 ; (2)设 ,可知用 表示 , ,利用正弦定理可得公共边 的式子, 最后可得一个关于角 的三角方程求解出角 的大小,然后求出求出 和 ,最后利用面积公式即可求出面积. 【详解】(1) ,由正弦定理边化角得: ,由三角形内角和为 可得: , 即 , 即 , 又 , 即 ,又 , ,即 . (2)设 ,在 中, , , ,, 在 中, , , , , 即 , , ,又 , ,解得 , , 又由 , 于是 【变式3】(2024·全国·模拟预测)在 中,已知 . (1)求证: ; (2)若D为AB的中点,且 , ,求 的面积. 【答案】(1)证明见解析; (2) 【分析】(1)由 ,利用两角和与差的正弦函数化简求解;(2)由D为AB的中点,得到 ,再两边平方得到CA,CB的一个关系式, 由 ,利用余弦定理得到再得到得到CA,CB的一个关系式,然后利用(1)的结论 求解. 【详解】(1)因为 , 所以 , 即 , 因为 ,所以 ; (2)因为D为AB的中点,且 , , 所以 , 两边平方得 , , 即 , 又 , 即 , 由(1)知 , 解得 ,又 ,且 , 所以 ,则 . 命题点3 与平面几何有关的问题 在平面几何图形中研究或求与角有关的长度、角度、面积的最值、优化设计等问题时,通 常是转化到三角形中,利用正、余弦定理通过运算的方法加以解决.在解决某些具体问题 时,常先引入变量,如边长、角度等,然后把要解三角形的边或角用所设变量表示出来,再利用正、余弦定理列出方程,再解方程即可.若研究最值,常使用函数思想 【例题4】(2024·山东聊城·二模)如图,在平面四边形 中, ,记 与 的面积分别为 ,则 的值为 ( ) A.2 B. C.1 D. 【答案】B 【分析】根据余弦定理得 、 ,两式相减可得 , 由三角形的面积公式得 ,即可求解. 【详解】在 中,由余弦定理得 , 即 ,得 ①, 在 中,由余弦定理得 , 即 ,得 ②, 又 , 所以 ③, 由② ①,得 ,由 , 得 ,代入③得 . 故选:B【变式1】(22-23高三上·江苏扬州·期末)如图,在 中, , , 、 分别在边 、 上, , 且 .则 值是 ; 的面积是 . 【答案】 / 【分析】分析可得 , ,在 中,利用正弦定理结合二倍角的 正弦公式可求得 的值;求出 的长,利用两角和的正弦公式求出 的值,利 用三角形的面积公式可求得 的面积. 【详解】因为 ,则 ,故 , 因为 ,则 为 的中点,且 , 在 中,由正弦定理可得 ,即 , 易知 为锐角,故 ,可得 , 所以, ,则 , , ,故在 中, 为锐角,故 , 所以, ,因此, . 故答案为: ; . 【变式2】(2024·广东梅州·二模)在 中,角A,B,C所对应的边分别为a,b,c, , , (1)求A的大小: (2)点D在BC上, (Ⅰ)当 ,且 时,求AC的长; (Ⅱ)当 ,且 时,求 的面积 . 【答案】(1) (2) ; 【分析】(1)利用正弦定理,三角函数恒等变换的应用化简已知等式可得 的值,结 合 即可求解 的值; (2)(Ⅰ)根据锐角三角函数和差角公式可得 正弦定理即可求解. (Ⅱ)采用面积分割的方法以及正弦定理即可解决. 【详解】(1)因为 , 所以由正弦定理可得 , 又 ,所以 , 因为 为三角形内角, , 所以 ,可得 , 因为 ,所以 ; (2)(Ⅰ)此时 , , 所以 ,所以 , 在 中,由正弦定理可得 ; (Ⅱ)设 ,由 , 可得 ,化简可得 有 , 由于 ,所以 , 所以 , 则 . 【变式3】(23-24高三下·山东·开学考试)如图所示,圆 的半径为2,直线 与圆 相 切于点 ,圆 上的点 从点 处逆时针转动到最高点 处,记. (1)当 时,求 的面积; (2)试确定 的值,使得 的面积等于 的面积的2倍. 【答案】(1)6 (2) 【分析】(1)过点 作 ,利用圆的性质求得 ,代入面积公式直接求解即可; (2)设 的面积为 的面积为 ,结合三角形面积公式建立方程,利用辅助 角公式化简求解即可. 【详解】(1)过点 作 交 于点 ,如图: 因为圆 的半径为2,由题意 , 又 ,所以 的面积为 . (2)连接 ,设 的面积为 的面积为 , 又 , ,由题意知 ,所以 ,即 ,所以 , 因为 ,所以 ,所以 ,所以 , 所以当 时,使得 的面积等于 的面积的2倍. 【课后强化】 【基础保分练】 一、单选题 1.(2024·河南新乡·二模)在 中,内角 , , 的对边分别为 , , ,且 , , ,则( ) A. 为锐角三角形 B. 为直角三角形 C. 为钝角三角形 D. 的形状无法确定 【答案】C 【分析】根据余弦定理求解最大角的余弦值即可求解. 【详解】由于 , 故 为钝角,进而三角形为钝角三角形 故选:C 2.(2024·贵州遵义·三模)在 中,角 的对边分别为 ,D为 的中点, 已知 , ,且 ,则 的面积为( ) A. B. C. D. 【答案】D 【分析】先利用正弦定理化边为角求出角 ,在向量化求出边 ,再根据三角形的面积公 式即可得解. 【详解】因为 ,由正弦定理得 , 即 , 又 ,所以 , 又 ,所以 , 在 中,D为 的中点,则 , 则 , 即 ,解得 ( 舍去), 所以 . 故选:D. 3.(23-24高三下·河南·阶段练习)记 的内角A,B,C的对边分别是a,b,c,已知 , , 的平分线交边AC于点D,且 ,则 ( ) A. B. C.6 D. 【答案】D 【分析】根据题意,利用余弦定理求得 ,得到 ,结合 ,列出方程求得 ,再利用余弦定理,即可求解. 【详解】因为 及 ,可得 , 由余弦定理得 ,又由 ,所以 , 因为 ,即 ,解得 , 由余弦定理得 ,即 . 故选:D. 4.(2024·山东枣庄·模拟预测)在 中, , 为 内一 点, , ,则 ( ) A. B. C. D. 【答案】B 【分析】在 中,设 , ,即可表示出 , ,在 中利用 正弦定理得到 ,再由两角差的正弦公式及同角三角函数的基本关系将弦化 切,即可得解. 【详解】在 中,设 ,令 , 则 , , 在 中,可得 , , 由正弦定理 ,得 , 所以 , 可得 ,即 . 故选:B. 【点睛】关键点点睛:本题解答关键是找到角之间的关系,从而通过设元、转化到 中利用正弦定理得到关系式. 二、多选题 5.(2024·江西·二模)已知 中, 为 的角平分 线,交 于点 为 中点,下列结论正确的是( ) A. B. C. 的面积为 D. 在 的外接圆上,则 的最大值为 【答案】ACD 【分析】对每一个选项逐一判断,由余弦定理求出 ,再由角平分线定理可知 ,利用三角形面积公式求出 ,再设 ,将 表示为 的三角函数求最值即可判断.【详解】在 中,由余弦定理得 , 由角平分线定理得: ,所以A正确; 由 得 ,解得 ,所以B错误; ,所以C正确; 在 中, 设 ,则 ,由正弦定理得: ,其中 ,所以 D正确. 故选:ACD. 6.(2024·重庆·模拟预测)已知 的三个内角A、B、C所对的边分别为a、b、c,则 下列说法正确的有( ) A.若 ,则 B.若 ,则 C.若 ,则 为钝角三角形D.若 ,则 为锐角三角形 【答案】AC 【分析】由正弦定理可判断A;余弦函数的单调性可判断B;由余弦定理可判断C,D. 【详解】对于A,在 中, ,由正弦定理可得: ,故A正确; 对于B, 即 , 因为 在 上单调递减,所以 , ,故B错误; 对于C, , 因为 ,所以 , 所以角 为钝角,故C正确; 对于 , , , 因为 ,所以 , 则只能判断角 为锐角, 两角可能有钝角,故 错误. 故选:AC. 三、填空题 7.(2024·北京昌平·二模)已知 中, ,则 . 【答案】 【分析】由余弦定理求出 ,由同角三角函数的平方关系求出 ,最后由三角形的面 积公式即可求出答案. 【详解】由余弦定理可得: , 解得: ,所以 , 又因为 ,所以 , 所以 .故答案为: . 8.(2024·江苏·二模)设钝角 三个内角A,B,C所对应的边分别为a,b,c,若 , , ,则 . 【答案】 【分析】利用余弦定理表示出 ,再利用同角三角函数的平方关系,得到 ,建立方程,求出b的值,然后利用钝角三角形,排除一个答案. 【详解】由余弦定理得, , 而由 ,得 , 因为 是钝角三角形,且 ,故A为锐角,所以 , 所以 ,解得 或 , 当 时,即 , ,由大边对大角得:最大角为C, ,故C为锐角,不符合题意; 当 时,即 , ,由大边对大角得:最大角为B, ,故B是钝角,符合题意, 故答案为: 9.(2024·河南·三模)如图,在 中,角 所对的边分别为 ,已知, 的平分线 交边 于点 边上的高为 边上的 高为 , ,则 ; . 【答案】 【分析】根据题意结合角度关系分析可知: , ,即可得结果;根 据题意利用正项定理可得 , ,根据图形分别求 ,即可得结 果. 【详解】在 中,可知 , 因为 ,且 为 的平分线,可知 , 则 , 在 中,可得 , 在 中,可得 , 所以 ; 因为 , , 在 中,由正弦定理 可得 , 则 ,解得 ,由正弦定理 可得 , 且 为 的平分线,则 ,可得 , 在 中,由正弦定理 可得 , 在 中,可知 ,则 , 在 中,可知 , 在 中,可知 , 所以 . 故答案为: ; . 四、解答题 10.(2024·上海宝山·二模)在 中,角 、 、 的对边分别为 、 、 ,已知 . (1)求角 的大小; (2)若 的面积为 ,求 的最小值,并判断此时 的形状. 【答案】(1) (2)4, 为等边三角形 【分析】(1)由正弦定理角化边可得 ,进而根据余弦定理可求 ; (2)由三角表面积可求得 ,根据均值不等式可求得 的最小值,根据取得最小值 可判断三角形的形状. 【详解】(1)由正弦定理得 , 又由余弦定理得 ,因为 是三角形内角,所以 ; (2)由三角形面积公式得: , 解得 , 因为 ,当且仅当 时取等号, 所以 的最小值为 ,此时 为等边三角形. 11.(2024·江西·模拟预测)在 中,内角 所对的边分别为 ,其外接圆的 半径为 ,且 . (1)求角 ; (2)若 的角平分线交 于点 ,点 在线段 上, ,求 的 面积. 【答案】(1) ; (2) . 【分析】(1)利用正弦定理以及两角和的正弦公式化简可求得 ,结合角的取 值范围可求得角 的值; (2)利用正弦定理可求得 的值,利用 可得 ,余弦定理 可得 ,两式联立可得 ,然后利用三角形的面积公式可求得 的面积. 【详解】(1)因为 ,由正弦定理可得 , 又 ,所以 , 所以 , 即 , ,故 , ,即 , 又 ,则 . (2) 由(1)可知, ,又外接圆的半径为 ; 由正弦定理可知 , 所以 , 因为 是 的平分线,故 , 又 , 由 , 可得 ,即 .① 由余弦定理可知, ,即 .② 由①②可知 .所以 , 又 ,则 , 所以 . 【综合提升练】 一、单选题 1.(2024·浙江金华·三模)在 中,角 的对边分别为 , , .若 , , ,则 为( ) A.1 B.2 C.3 D.1或3 【答案】C 【分析】根据余弦定理直接求解即可. 【详解】由余弦定理得 , 即 ,即 ,解得 或 (舍). 故选:C. 2.(2024·青海西宁·二模)在 中,内角 的对边分别为 ,若 ,且 ,则 的值为( ) A. B. C. D. 【答案】B 【分析】由已知可得 ,利用余弦函数的单调性可得 ,进而可 得 ,由正弦定理得 ,计算可求 .【详解】因为 , 所以 , 即 ,因为 ,则 , 且余弦函数 在 上单调递减,所以 , 所以 ,又 ,所以 , 由正弦定理得 ,即 , 所以 . 故选:B. 3.(2024·山东·模拟预测)在 中,角 的对边分别是 ,且 ,则 ( ) A. B. C. D. 【答案】A 【分析】根据题意,利用正弦定理化简得 ,结合余弦定理,即可求解. 【详解】因为 , 由正弦定理得 ,即 , 又由余弦定理得 . 故选:C. 4.(2024·四川成都·模拟预测)在 中,角A,B,C所对的边分别为a,b,c,给出 以下4个命题:(1)若 ,则 ; (2)若 ,则 一定为直角三角形; (3)若 , , ,则 外接圆半径为 ; (4)若 ,则 一定是等边三角形. 则其中真命题的个数为( ) A.1 B.2 C.3 D.4 【答案】C 【分析】利用正弦定理得到 和 的大小关系,再利用倍角公式可以比较 和 ,进而判断(1);利用正弦定理边化角,再利用两角和的正弦公式求角,判断 (2);利用余弦定理求出 ,再利用同角三角函数关系得 ,由正弦定理可以得到 外接圆半径;根据三角形内角的范围和余弦值的范围可以对(4)进行判断. 【详解】(1)若 ,则 ,则 , 则 ,即 ,故(1)是真命题; (2)若 ,由正弦定理得 , 又因为 ,所以 , 即 整理可得 , 因为 ,所以 ,所以 ,因为 ,故 , 所以 一定为直角三角形,故(2)是真命题; (3)若 , , ,由余弦定理得 ,则 , 由正弦定理得 ,故外接圆半径 ,故(3)是假命题;(4)若 ,则 , 则 ,从而 ,则 一定是等边三角形,故(4)是真命 题; 综上,真命题有3个. 故选:C. 5.(2024·内蒙古赤峰·一模)已知 的三个内角A,B,C所对的边分别为a,b,c, 满足 ,且 ,则 的形状为( ) A.等边三角形 B.顶角为 的等腰三角形 C.顶角为 的等腰三角形 D.等腰直角三角形 【答案】B 【分析】由正弦定理和两角和的正弦公式化简 ,可得 ,即 , 再由两角差的正弦公式化简 ,可得 ,即可得出答案. 【详解】由正弦定理可得 , 因为 ,所以 , 所以 ,即 , 即 ,因为 ,所以 , 所以 ,因为 ,所以 ,所以 , 因为 ,所以 , 所以 ,即 , 即 ,因为 ,所以 ,所以 , 因为 .所以 , 所以 的形状为顶角为 的等腰三角形.故选:B. 6.(2024·吉林长春·模拟预测) 的内角 所对的边分别为 ,则 ( ) A.2 B. C. D.1 【答案】A 【分析】由已知可得 ,结合三角恒等变换,正弦定理可得 ,由此 可求 ,再结合勾股定理求 即可. 【详解】因为 , 所以 ,故 , 由正弦定理可得 , 所以 ,又 , 所以 ,又 , 所以 , , 故 由勾股定理可得 , 所以 , 故选:A. 7.(2024·河北秦皇岛·三模)在 中,内角 , , 的对边分别为 , , ,且 , ,则( ) A. 为直角三角形 B. 为锐角三角形 C. 为钝角三角形 D. 的形状无法确定 【答案】A 【分析】由正弦定理得 ,利用正余弦的二倍角公式、两角和与差的正弦展开式化简可得 ,解方程可得答案. 【详解】由 ,可得 , 则 , , , 即 , 由 ,故 只能为锐角,可得 , 因为 ,所以 , . 故选:A. 8.(2024·重庆·三模)若圆内接四边形 满足 , ,则四边 形 的面积为( ) A. B. C.3 D. 【答案】B 【分析】由正弦定理结合圆的性质分别得到 和 , 再利用三角形的面积公式和两角和与差的正弦展开式求解. 【详解】 设 ,则 , , , 在 和 中,由正弦定理可得 ;同理 , 所以四边形 的面积 , 故选:B. 【点睛】关键点点睛:本题关键在于利用三角形面积公式 表示出四边形面积, 再结合正弦定理求解. 二、多选题 9.(2024·全国·模拟预测)若 的三个内角为 ,则下列说法正确的有( ) A. 一定能构成三角形的三条边 B. 一定能构成三角形的三条边 C. 一定能构成三角形的三条边 D. 一定能构成三角形的三条边 【答案】AD 【分析】根据题意,利用正弦定理和特例,结合构成三角形的条件,逐项判定,即可求解. 【详解】对于A中,由正弦定理得 ,所以 作为三条线段的长一定能构成三角形,所以A正确; 对于B中,例如:设 中, , 可得 ,可得 , 显然 作为三条线段不一定构成三角形,所以B错误; 对于C中,例如:设 中, , 可得 ,所以 , 此时 ,所以 作为三条线段不能构成三角形,所以 C错误; 对于D中,由正弦定理得 , 不妨设 ,则 ,且 , 又由 ,即 , 所以D正确. 故选:AD. 10.(2024·广东广州·二模)在梯形 中, ,则( ) A. B. C. D. 【答案】ABD 【分析】在 中由正弦定理求解 判断A;利用两角和差公式求解 判断 B;利用向量数量积计算 判断C;利用数量积计算 判断D.【详解】在 中, , 则 , 由正弦定理知 , 即 ,故A正确; , , ,故B正确; ,故C错误; ,故 ,即 ,故D正确. 故选:ABD 11.(2024·浙江·三模)已知 的内角 的对边分别为 ,且 ,下列结论正确的是( ) A. B.若 ,则 有两解 C.当 时, 为直角三角形 D.若 为锐角三角形,则 的取值范围是 【答案】ACD 【分析】通过正弦定理、诱导公式、二倍角公式及辅助角公式即可判断A;通过余弦定理 即可判断B;通过余弦定理及 可得 或 ,即可判断C;通过求 的取 值范围 ,并将 即可判断D. 【详解】对于A,因为 , 所以由 及正弦定理得, , 由诱导公式得, , 因为 ,故 ,所以 , 化解得 ,即 , 所以 或 ,即 (舍)或 ,故A正确;对于B,由余弦定理得 ,即 ,得 , 由 ,所以 (负值舍),即 有一解,故B错误; 对于C,因为 ,两边平方得 , 由余弦定理得 , 由两式消 得, ,解得 或 , 由 解得 , 由 解得 ; 故 为直角三角形,故C正确; 对于D,因为 为锐角三角形,且 , 所以 , 即 , 所以 ,所以 ,故D正确. 故选:ACD. 三、填空题 12.(2024·全国·模拟预测)已知在 中,点 在线段 上,且 ,则 . 【答案】 【分析】由题意,根据正弦定理、余弦定理计算即可求解. 【详解】在 中,由余弦定理,得 ,则 ,即 , 在 中, , 由正弦定理得 ,解得 . 故答案为: 13.(2024·湖南长沙·二模)在 中,若 , , ,则 . 【答案】 【分析】由同角三角函数关系求解 ,再由正弦定理可得解. 【详解】由已知 , , 则 , , 又 , 所以 , , 又根据正弦定理 , 则 , 故答案为: . 14.(2024·福建厦门·三模)记锐角 的内角A,B,C的对边分别为a,b,c.若,则 的取值范围是 . 【答案】 【分析】由题意及余弦定理可得 的关系,由余弦定理可得 ,再由 为锐角三角形可得 ,即可求出 的取值范围. 【详解】因为 ,所以 , 由余弦定理可得: , 可得 ,在锐角 中,由余弦定理可得: , 因为 ,即 ,即 , 所以 , 所以 ,所以 . 故答案为: . 四、解答题 15.(2024·陕西西安·模拟预测)设 的内角 所对的边分别是 且向量 满足 . (1)求A;(2)若 ,求BC边上的高 . 【答案】(1) (2) 【分析】(1)根据向量平行关系得到方程,结合正弦定理得到 ,求出 ; (2)由余弦定理得到 ,根据三角形面积得到方程,求出答案. 【详解】(1)因为 ,所以 , 由正弦定理得 , 因为 ,所以 ,所以 , 又 ,解得 ; (2)因为 ,所以 , 即 化简得 ,解得 或 (舍去), 由 的面积 ,又 , 故 ,解得 . 16.(2024·陕西西安·模拟预测)如图,在平面四边形 中, , , 的角平分线与 相交于点 ,且 .(1)求 的大小; (2)求 的值. 【答案】(1) (2) 【分析】(1)在 中利用正弦定理结合已知条件求出 ,即可得解; (2)依题意可得 ,由 求出 ,再在 中利用余弦定理 计算可得. 【详解】(1)在 中,由正弦定理得 , 所以 , 又 , 所以 ,因为 , 所以 . 因为 ,所以 . (2)因为 ,所以 . 因为 平分 ,所以 . 因为 , 所以 , 又 , ,所以 ,解得 , 因为 ,所以 , 所以 . 17.(2023·黑龙江·模拟预测)某校高中“数学建模”实践小组欲测量某景区位于:“观光 湖”内两处景点A,C之间的距离,如图,B处为码头入口,D处为码头,BD为通往码头 的栈道,且 ,在B处测得 ,在D处测得 .(A,B,C,D均处于同一测量的水平面内) (1)求A,C两处景点之间的距离; (2)栈道BD所在直线与A,C两处景点的连线是否垂直?请说明理由. 【答案】(1) (2)不垂直,理由见解析 【分析】(1)根据已知条件利用正弦余弦定理求解即可; (2)在 和 中利用正弦余弦定理求解,然后计算 是否为零即可. 【详解】(1)由已知在 中, , , , 所以 ,则 为等腰三角形, 则 ,在 中, , , , 则 , 由正弦定理 ,即 ,解得 , 在 中, , , 由余弦定理 , 即A,C两处景点之间的距离为 ; (2)在 中, , 在 中,因为 , 所以 , 由正弦定理 , 即 ,得 , 所以 , 即栈道BD所在直线与A,C两处景点的连线不垂直.18.(2024·湖南·模拟预测)在 中,内角 的对边分别为 ,且 . (1)证明: 是锐角三角形; (2)若 ,求 的面积. 【答案】(1)证明见解析; (2) . 【分析】(1)由正弦定理和余弦定理求解即可; (2)由两角和的正弦公式求出 ,再由正弦定理和三角形的面积公式求解即可. 【详解】(1)证明:因为 , 所以由正弦定理得 ,整理得 . 则 ,因为 ,所以 , 因为 ,所以 ,因为 , 所以 ,所以 是锐角三角形. (2)因为 ,所以 , 所以 . 在 中,由正弦定理得 ,即 ,所以 , 所以 的面积为 . 19.(2023·辽宁鞍山·二模)请从① ;②;③ 这三个条件中任选一个,补充在下面 问题中,并加以解答(如未作出选择,则按照选择①评分.选择的编号请填写到答题卡对应 位置上) 在 ABC中,a,b,c分别是角A,B,C的对边,若___________, (1)△求角B的大小; (2)若 ABC为锐角三角形, ,求 的取值范围. △ 【答案】(1) (2) 【分析】(1)选①,利用正弦定理结合 得到 ,求出答案; 选②,由正弦定理得到 ,利用余弦定理得到 ,求出答案; 选③,由正弦定理得到 ,由辅助角公式得到 ,求出答案; (2)利用正弦定理和余弦定理得到 ,结合 ABC为锐角三角 △ 形,求出 ,求出答案. 【详解】(1)若选① 因为 , 由正弦定理得 , 即 , 所以 ,由 ,得 ,所以 ,即 , 因为 ,所以 . 若选② 由 ,化简得 . 由正弦定理得: ,即 ,所以 . 因为 ,所以 . 若选③ 由正弦定理得 ,即 , 因为 ,所以 , 所以 ,所以 , 又因为 ,所以 . (2)在 中,由正弦定理 ,得 , 由(1)知: ,又с=1代入上式得: 因为 为锐角三角形,所以 ,解得 ,所以 , , 所以 . 【点睛】解三角形中最值或范围问题,通常涉及与边长,周长有关的范围问题,与面积有 关的范围问题,或与角度有关的范围问题, 常用处理思路:①余弦定理结合基本不等式构造不等关系求出答案; ②采用正弦定理边化角,利用三角函数的范围求出最值或范围,如果三角形为锐角三角形, 或其他的限制,通常采用这种方法; ③巧妙利用三角换元,实现边化角,进而转化为正弦或余弦函数求出最值 【拓展冲刺练】 一、单选题 1.(2024·山东·二模)在 中,设内角 的对边分别为 ,设甲: ,设乙: 是直角三角形,则( ) A.甲是乙的充分条件但不是必要条件 B.甲是乙的必要条件但不是充分条件 C.甲是乙的充要条件 D.甲既不是乙的充分条件也不是乙的必要条件 【答案】D 【分析】利用正弦定理定理、和角的正弦公式化简命题甲,再利用充分条件、必要条件的 定义判断即得. 【详解】在 中,由正弦定理及 ,得 , 即 ,整理得 , 由正弦定理得 ,则 或 ,即 或 , 因此甲: 或 ,显然甲不能推乙; 乙: 是直角三角形,当角 或 是直角时,乙不能推甲, 所以甲既不是乙的充分条件也不是乙的必要条件. 故选:D2.(2024·安徽·模拟预测)在 中,内角A,B,C的对边分别为a,b,c,若 , 且 ,则 ( ) A. B. C. D. 【答案】D 【分析】由已知等式结合正弦定理可得 ,再由余弦定理可得 ,最后结合同角的三角函数关系和特殊三角函数值得 到结果即可 【详解】由 及正弦定理得 ,即 , 由 及余弦定理可得 , ∴ ,∴ ,∴ . 又 ,∴ . 故选:D. 3.(2024·陕西咸阳·三模)为了进一步提升城市形象,满足群众就近健身和休闲的需求, 2023年某市政府在市区多地规划建设了“口袋公园”.如图,在扇形“口袋公园” 中, 准备修一条三角形健身步道 ,已知扇形的半径 ,圆心角 , 是扇形 弧上的动点, 是半径 上的动点, ,则 面积的最大值为( )A. B. C. D. 【答案】A 【分析】设 ,在 中利用正弦定理及三角形面积公式列出函数关系,再求出 函数最大值即得. 【详解】设 ,由 ,得 , 在 中,由正弦定理得 ,即 , 则 的面积 ,显然 ,因此当 ,即 时, , 所以 面积的最大值为 . 故选:A 4.(2024·辽宁·模拟预测)三棱锥P﹣ABC所有棱长都等于2,动点M在三棱锥P﹣ABC 的外接球上,且 的最大值为s,最小值为t,则 ( ) A.2 B. C. D.3 【答案】C 【分析】根据题意确定 点的轨迹,结合余弦定理求 的取值范围. 【详解】如图:过 作 平面 于 ,则正四面体的外接球球心(也是内切球球心)在线段 上, 设为 ,设内切球半径为 ,外接球半径为 . 则 , , 而 ,所以 , . 因为 在 的外接球上,且 , 所以 在以 为直径的球面上,取 中点为 , 则 在圆 上,圆 所在的平面与 垂直. 在 中, , , , 过 作 于G,则 为正 的中心,且 , 所以在 中, ,所以 . 设 ,则当点 共面时, 取得最值,即 所以 . 在 中,由余弦定理: . 所以 , 所以 , , .故选:C 【点睛】关键点点睛:本题的关键点是弄清楚 点的轨迹.因为 点满足 , 所以 点在以 为直径的球面上,又 点在正四面体 的外接球上,故 点的 轨迹上两球的交线,即如图所示的圆 上. 二、多选题 5.(2024·湖北·模拟预测)在 中, 所对的边为 ,设 边上的中点为 , 的面积为 ,其中 , ,下列选项正确的是( ) A.若 ,则 B. 的最大值为 C. D.角 的最小值为 【答案】ABC 【分析】由余弦定理、三角形面积公式结合均值不等式判断ABD三个选项,利用向量的模 的计算公式判断C选项. 【详解】选项A,若 ,由余弦定理 ,得 ,所以 , 则三角形面积 ,A正确; 选项B,由基本不等式可得 ,即 , 当且仅当 时,等号成立, 由余弦定理可得 , 则 ,B正确; 选项C,因为 边上的中点为 ,所以 , 而 ,即 ,则 , 所以,故C正确; 选项D,因为 ,即 , 所以由余弦定理得 , 又 ,且函数 在 上单调递减,所以 ,D错误. 故选:ABC. 6.(23-24高一下·河北石家庄·阶段练习)已知 的内角A,B,C所对的边分别为a, b,c,下列说法中正确的是( ) A.若 ,则 一定是等腰三角形 B.若 ,则 一定是等边三角形 C.若 ,则 一定是等腰三角形 D.若 ,则 一定是钝角三角形 【答案】BCD 【分析】对于A:利用正弦定理得到 或 ,即可判断;对于B:由余弦函数的 有界性求出 ,即可判断;对于C:由余弦定理求出 ,即可判断;对于 D:利用三角公式判断出 或 ,即可得到答案. 【详解】对于A:因为 ,由正弦定理得: , 所以 . 因为 , 为 的内角,所以 或 , 所以 或 .所以 是等腰三角形或直角三角形.错误; 对于B:由余弦函数的有界性可知:若 . 因为 ,所以 或 .当 时,有 且 ,所以 , 所以 是等边三角形. 当 时,有 且 ,不符合题意. 所以 一定是等边三角形.正确; 对于C:因为 ,由余弦定理得: , 所以 ,所以 ,则 一定是等腰三角形.正确; 对于D:在 中, ,所以 . 所以 , 所以 ,即 ,所以 或 . 所以 一定是钝角三角形,正确. 故选:BCD 三、填空题 7.(2024·全国·三模)在 中, , .若 ,则 的面积为 . 【答案】 【分析】结合复数模的运算,根据数量积的定义求得 ,利用同角三角函数基本关 系求得 ,然后利用三角形面积公式求解即可. 【详解】 , ,则 ,所以 , 所以 . 所以 . 故答案为: 8.(2024·陕西铜川·三模)已知 的内角 所对的边分别是 ,点 是 的 中点.若 ,且 ,则 . 【答案】 【分析】根据题意,利用正弦定理和三角恒等变换,求得 ,再由 ,列出方程求得 ,结合余弦定理,即可求解. 【详解】因为 ,由正弦定理得 , 又因为 , 所以 , 因为 ,可得 ,所以 又因为 为 的一条中线,可得 , 所以 , 即 ,解得 或 (舍).由余弦定理得 . 故答案为: . 9.(2024·广西·模拟预测)在锐角 中,角A,B,C的对边分别为a,b,c,且 的面积 ,则 的取值范围为 . 【答案】 【分析】由已知求得 , ,由余弦定理得 ,令 , 由锐角三角形及两角和正弦公式求 的取值范围即可. 【详解】由三角形面积公式 ,结合 ,且 为锐角三角形, 可知 ,即 , 又由平方关系 ,所以 , 即 , 解得 或 (舍去), 由余弦定理有 , 所以 , 令 ,所以 , 故只需求出t的范围即可, 由正弦定理边化角得, 注意到在锐角 中,有 ,简单说明如下: 若 ,则 , 即B不是锐角,但这与 是锐角三角形矛盾, 所以在锐角 中,有 , 所以在锐角 中,有 , 因为正切函数 在 上单调递增,所以 , 从而 , 而函数 在 单调递减,在 单调递增, 所以 . 综上所述: 的取值范围为 . 故答案为: . 【点睛】思路点睛:本题可以从以下方面解题 (1)通过三角形的面积公式及平方和关系求出三角函数值; (2)利用余弦定理将目标式子进行变形,并通过正弦定理确定 的取值范围;(3)根据基本不等式解 的取值范围即可. 四、解答题 10.(2024·河南·三模)已知 是 内一点, . (1)若 ,求 ; (2)若 ,求 . 【答案】(1) (2) . 【分析】(1)在等腰 中可得 ,进而得 ,在 中运用正弦定理可 求得 的值. (2)求出 的值,设 ,则 ,在 、 中,由正弦定 理可得 、 ,结合 求解即可. 【详解】(1)如图所示, 在 中, ,所以 . 所以 . 在 中,由正弦定理得 ,即 ,解得 .(2)如图所示, 当 时, . 设 ,则 . 在 中,由正弦定理得 . 在 中,由正弦定理得 . 因为 ,所以 ,即 , 整理得 ,即 ,解得 ,即 . 11.(2024·黑龙江大庆·模拟预测)某公园计划改造一块四边形区域ABCD铺设草坪,其中 百米, 百米, , ,草坪内需要规划4条人行道DM、DN、 EM、EN以及两条排水沟AC、BD,其中M、N、E分别为边BC、AB、AC的中点.(1)若 ,求排水沟BD的长; (2)若 ,试用 表示4条人行道的总长度. 【答案】(1) 百米; (2) 百米. 【分析】(1)在 中,求出 , ,利用和差公式求 ,再由余弦定理可得; (2)设 ,利用正弦定理求得 , , 由 和 可得 , ,分别在 , 中求出 ,然后可得答案. 【详解】(1)因为 , 百米, 百米, 所以 百米,所以 , 又 , ,所以 为等腰直角三角形, 所以 百米, 因为 , 所以在 中,由余弦定理得 百米. (2)因为M、N、E分别为边BC、AB、AC的中点, 所以 百米, 百米, 设 ,其中 ,在 中,由余弦定理可得 , 在 中,由正弦定理可得 , 连接 ,则 , 在 中, , , 由余弦定理得 , 在 中, , , 由余弦定理得 , 所以4条人行道的总长度为 百米.