当前位置:首页>文档>解密18空间向量在立体几何中的应用(角和距离)(解析版)_2.2025数学总复习_2023年新高考资料_二轮复习_考点2023年高考数学二轮复习讲义+训练(新高考专用)

解密18空间向量在立体几何中的应用(角和距离)(解析版)_2.2025数学总复习_2023年新高考资料_二轮复习_考点2023年高考数学二轮复习讲义+训练(新高考专用)

  • 2026-03-31 17:11:07 2026-03-27 17:06:26

文档预览

解密18空间向量在立体几何中的应用(角和距离)(解析版)_2.2025数学总复习_2023年新高考资料_二轮复习_考点2023年高考数学二轮复习讲义+训练(新高考专用)
解密18空间向量在立体几何中的应用(角和距离)(解析版)_2.2025数学总复习_2023年新高考资料_二轮复习_考点2023年高考数学二轮复习讲义+训练(新高考专用)
解密18空间向量在立体几何中的应用(角和距离)(解析版)_2.2025数学总复习_2023年新高考资料_二轮复习_考点2023年高考数学二轮复习讲义+训练(新高考专用)
解密18空间向量在立体几何中的应用(角和距离)(解析版)_2.2025数学总复习_2023年新高考资料_二轮复习_考点2023年高考数学二轮复习讲义+训练(新高考专用)
解密18空间向量在立体几何中的应用(角和距离)(解析版)_2.2025数学总复习_2023年新高考资料_二轮复习_考点2023年高考数学二轮复习讲义+训练(新高考专用)
解密18空间向量在立体几何中的应用(角和距离)(解析版)_2.2025数学总复习_2023年新高考资料_二轮复习_考点2023年高考数学二轮复习讲义+训练(新高考专用)
解密18空间向量在立体几何中的应用(角和距离)(解析版)_2.2025数学总复习_2023年新高考资料_二轮复习_考点2023年高考数学二轮复习讲义+训练(新高考专用)
解密18空间向量在立体几何中的应用(角和距离)(解析版)_2.2025数学总复习_2023年新高考资料_二轮复习_考点2023年高考数学二轮复习讲义+训练(新高考专用)
解密18空间向量在立体几何中的应用(角和距离)(解析版)_2.2025数学总复习_2023年新高考资料_二轮复习_考点2023年高考数学二轮复习讲义+训练(新高考专用)
解密18空间向量在立体几何中的应用(角和距离)(解析版)_2.2025数学总复习_2023年新高考资料_二轮复习_考点2023年高考数学二轮复习讲义+训练(新高考专用)
解密18空间向量在立体几何中的应用(角和距离)(解析版)_2.2025数学总复习_2023年新高考资料_二轮复习_考点2023年高考数学二轮复习讲义+训练(新高考专用)
解密18空间向量在立体几何中的应用(角和距离)(解析版)_2.2025数学总复习_2023年新高考资料_二轮复习_考点2023年高考数学二轮复习讲义+训练(新高考专用)
解密18空间向量在立体几何中的应用(角和距离)(解析版)_2.2025数学总复习_2023年新高考资料_二轮复习_考点2023年高考数学二轮复习讲义+训练(新高考专用)
解密18空间向量在立体几何中的应用(角和距离)(解析版)_2.2025数学总复习_2023年新高考资料_二轮复习_考点2023年高考数学二轮复习讲义+训练(新高考专用)
解密18空间向量在立体几何中的应用(角和距离)(解析版)_2.2025数学总复习_2023年新高考资料_二轮复习_考点2023年高考数学二轮复习讲义+训练(新高考专用)
解密18空间向量在立体几何中的应用(角和距离)(解析版)_2.2025数学总复习_2023年新高考资料_二轮复习_考点2023年高考数学二轮复习讲义+训练(新高考专用)
解密18空间向量在立体几何中的应用(角和距离)(解析版)_2.2025数学总复习_2023年新高考资料_二轮复习_考点2023年高考数学二轮复习讲义+训练(新高考专用)
解密18空间向量在立体几何中的应用(角和距离)(解析版)_2.2025数学总复习_2023年新高考资料_二轮复习_考点2023年高考数学二轮复习讲义+训练(新高考专用)
解密18空间向量在立体几何中的应用(角和距离)(解析版)_2.2025数学总复习_2023年新高考资料_二轮复习_考点2023年高考数学二轮复习讲义+训练(新高考专用)
解密18空间向量在立体几何中的应用(角和距离)(解析版)_2.2025数学总复习_2023年新高考资料_二轮复习_考点2023年高考数学二轮复习讲义+训练(新高考专用)
解密18空间向量在立体几何中的应用(角和距离)(解析版)_2.2025数学总复习_2023年新高考资料_二轮复习_考点2023年高考数学二轮复习讲义+训练(新高考专用)
解密18空间向量在立体几何中的应用(角和距离)(解析版)_2.2025数学总复习_2023年新高考资料_二轮复习_考点2023年高考数学二轮复习讲义+训练(新高考专用)
解密18空间向量在立体几何中的应用(角和距离)(解析版)_2.2025数学总复习_2023年新高考资料_二轮复习_考点2023年高考数学二轮复习讲义+训练(新高考专用)
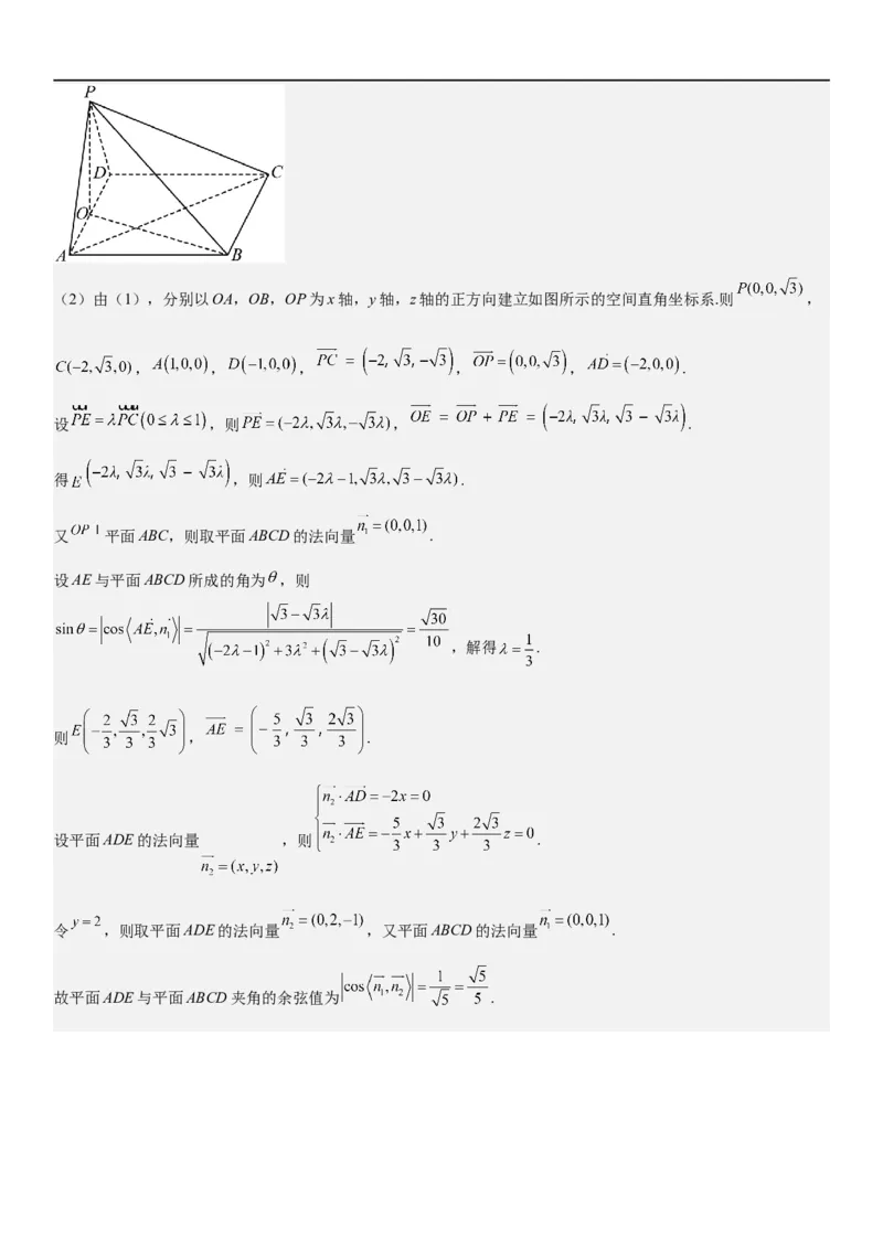
解密18空间向量在立体几何中的应用(角和距离)(解析版)_2.2025数学总复习_2023年新高考资料_二轮复习_考点2023年高考数学二轮复习讲义+训练(新高考专用)
解密18空间向量在立体几何中的应用(角和距离)(解析版)_2.2025数学总复习_2023年新高考资料_二轮复习_考点2023年高考数学二轮复习讲义+训练(新高考专用)
解密18空间向量在立体几何中的应用(角和距离)(解析版)_2.2025数学总复习_2023年新高考资料_二轮复习_考点2023年高考数学二轮复习讲义+训练(新高考专用)
解密18空间向量在立体几何中的应用(角和距离)(解析版)_2.2025数学总复习_2023年新高考资料_二轮复习_考点2023年高考数学二轮复习讲义+训练(新高考专用)
解密18空间向量在立体几何中的应用(角和距离)(解析版)_2.2025数学总复习_2023年新高考资料_二轮复习_考点2023年高考数学二轮复习讲义+训练(新高考专用)
解密18空间向量在立体几何中的应用(角和距离)(解析版)_2.2025数学总复习_2023年新高考资料_二轮复习_考点2023年高考数学二轮复习讲义+训练(新高考专用)
解密18空间向量在立体几何中的应用(角和距离)(解析版)_2.2025数学总复习_2023年新高考资料_二轮复习_考点2023年高考数学二轮复习讲义+训练(新高考专用)
解密18空间向量在立体几何中的应用(角和距离)(解析版)_2.2025数学总复习_2023年新高考资料_二轮复习_考点2023年高考数学二轮复习讲义+训练(新高考专用)
解密18空间向量在立体几何中的应用(角和距离)(解析版)_2.2025数学总复习_2023年新高考资料_二轮复习_考点2023年高考数学二轮复习讲义+训练(新高考专用)
解密18空间向量在立体几何中的应用(角和距离)(解析版)_2.2025数学总复习_2023年新高考资料_二轮复习_考点2023年高考数学二轮复习讲义+训练(新高考专用)
解密18空间向量在立体几何中的应用(角和距离)(解析版)_2.2025数学总复习_2023年新高考资料_二轮复习_考点2023年高考数学二轮复习讲义+训练(新高考专用)
解密18空间向量在立体几何中的应用(角和距离)(解析版)_2.2025数学总复习_2023年新高考资料_二轮复习_考点2023年高考数学二轮复习讲义+训练(新高考专用)
解密18空间向量在立体几何中的应用(角和距离)(解析版)_2.2025数学总复习_2023年新高考资料_二轮复习_考点2023年高考数学二轮复习讲义+训练(新高考专用)
解密18空间向量在立体几何中的应用(角和距离)(解析版)_2.2025数学总复习_2023年新高考资料_二轮复习_考点2023年高考数学二轮复习讲义+训练(新高考专用)
解密18空间向量在立体几何中的应用(角和距离)(解析版)_2.2025数学总复习_2023年新高考资料_二轮复习_考点2023年高考数学二轮复习讲义+训练(新高考专用)
解密18空间向量在立体几何中的应用(角和距离)(解析版)_2.2025数学总复习_2023年新高考资料_二轮复习_考点2023年高考数学二轮复习讲义+训练(新高考专用)
解密18空间向量在立体几何中的应用(角和距离)(解析版)_2.2025数学总复习_2023年新高考资料_二轮复习_考点2023年高考数学二轮复习讲义+训练(新高考专用)
解密18空间向量在立体几何中的应用(角和距离)(解析版)_2.2025数学总复习_2023年新高考资料_二轮复习_考点2023年高考数学二轮复习讲义+训练(新高考专用)
解密18空间向量在立体几何中的应用(角和距离)(解析版)_2.2025数学总复习_2023年新高考资料_二轮复习_考点2023年高考数学二轮复习讲义+训练(新高考专用)
解密18空间向量在立体几何中的应用(角和距离)(解析版)_2.2025数学总复习_2023年新高考资料_二轮复习_考点2023年高考数学二轮复习讲义+训练(新高考专用)
解密18空间向量在立体几何中的应用(角和距离)(解析版)_2.2025数学总复习_2023年新高考资料_二轮复习_考点2023年高考数学二轮复习讲义+训练(新高考专用)
解密18空间向量在立体几何中的应用(角和距离)(解析版)_2.2025数学总复习_2023年新高考资料_二轮复习_考点2023年高考数学二轮复习讲义+训练(新高考专用)
解密18空间向量在立体几何中的应用(角和距离)(解析版)_2.2025数学总复习_2023年新高考资料_二轮复习_考点2023年高考数学二轮复习讲义+训练(新高考专用)
解密18空间向量在立体几何中的应用(角和距离)(解析版)_2.2025数学总复习_2023年新高考资料_二轮复习_考点2023年高考数学二轮复习讲义+训练(新高考专用)
解密18空间向量在立体几何中的应用(角和距离)(解析版)_2.2025数学总复习_2023年新高考资料_二轮复习_考点2023年高考数学二轮复习讲义+训练(新高考专用)
解密18空间向量在立体几何中的应用(角和距离)(解析版)_2.2025数学总复习_2023年新高考资料_二轮复习_考点2023年高考数学二轮复习讲义+训练(新高考专用)
解密18空间向量在立体几何中的应用(角和距离)(解析版)_2.2025数学总复习_2023年新高考资料_二轮复习_考点2023年高考数学二轮复习讲义+训练(新高考专用)
解密18空间向量在立体几何中的应用(角和距离)(解析版)_2.2025数学总复习_2023年新高考资料_二轮复习_考点2023年高考数学二轮复习讲义+训练(新高考专用)
解密18空间向量在立体几何中的应用(角和距离)(解析版)_2.2025数学总复习_2023年新高考资料_二轮复习_考点2023年高考数学二轮复习讲义+训练(新高考专用)
解密18空间向量在立体几何中的应用(角和距离)(解析版)_2.2025数学总复习_2023年新高考资料_二轮复习_考点2023年高考数学二轮复习讲义+训练(新高考专用)
解密18空间向量在立体几何中的应用(角和距离)(解析版)_2.2025数学总复习_2023年新高考资料_二轮复习_考点2023年高考数学二轮复习讲义+训练(新高考专用)
解密18空间向量在立体几何中的应用(角和距离)(解析版)_2.2025数学总复习_2023年新高考资料_二轮复习_考点2023年高考数学二轮复习讲义+训练(新高考专用)
解密18空间向量在立体几何中的应用(角和距离)(解析版)_2.2025数学总复习_2023年新高考资料_二轮复习_考点2023年高考数学二轮复习讲义+训练(新高考专用)
解密18空间向量在立体几何中的应用(角和距离)(解析版)_2.2025数学总复习_2023年新高考资料_二轮复习_考点2023年高考数学二轮复习讲义+训练(新高考专用)
解密18空间向量在立体几何中的应用(角和距离)(解析版)_2.2025数学总复习_2023年新高考资料_二轮复习_考点2023年高考数学二轮复习讲义+训练(新高考专用)
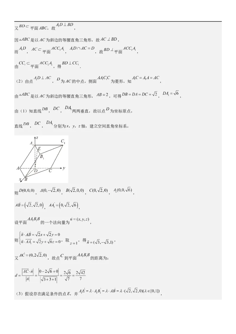
解密18空间向量在立体几何中的应用(角和距离)(解析版)_2.2025数学总复习_2023年新高考资料_二轮复习_考点2023年高考数学二轮复习讲义+训练(新高考专用)
解密18空间向量在立体几何中的应用(角和距离)(解析版)_2.2025数学总复习_2023年新高考资料_二轮复习_考点2023年高考数学二轮复习讲义+训练(新高考专用)
解密18空间向量在立体几何中的应用(角和距离)(解析版)_2.2025数学总复习_2023年新高考资料_二轮复习_考点2023年高考数学二轮复习讲义+训练(新高考专用)

文档信息

文档格式
docx
文档大小
4.736 MB
文档页数
57 页
上传时间
2026-03-27 17:06:26

文档内容

解密18 空间向量在立体几何中的应用(角/距离) 【考点解密】 考点一:空间角的向量法解法 角的分类 向量求法 范围 两条异面直 设两异面直线 l,l 所成的角为θ,其方向向 1 2 线所成的角 量分别为u,v,则cos θ=|cos〈u,v〉|= 设直线AB与平面α所成的角为θ,直线AB的 直线与平面 方向向量为u,平面α的法向量为n,则sin θ 所成的角 =|cos 〈u,n〉|= 设平面α与平面β的夹角为θ,平面α,β的法 两个平面的 向量分别为n,n,则cos θ=|cos 〈n,n〉| 1 2 1 2 夹角 = 考点二:点P到直线 l 的距离 已知直线l的单位方向向量为u,A是直线l上的定点,P是直线l外一点,设向量AP在直线l上的投影向量为AQ= a,则点P到直线l的距离为 (如图). 考点三:点P到平面α的距离 设平面α的法向量为n,A是平面α内的定点,P是平面α外一点,则点P到平面α的距离为(如图). 【核心题型】 题型一:空间向量求线面角/面面角 1.(2023·湖南邵阳·统考二模)如图所示,在矩形 中, , , 平面 ,且 , 点 为线段 (除端点外)上的动点,沿直线 将 翻折到 ,则下列说法中正确的是( )A.当点 固定在线段 的某位置时,点 的运动轨迹为球面 B.存在点 ,使 平面 C.点 到平面 的距离为 D.异面直线 与 所成角的余弦值的取值范围是 【答案】D 【分析】当点 固定在线段 的某位置时,线段 的长度为定值, ,过 作 于点 , 为定点, 的长度为定值,由此可判断A;无论 在 (端点除外)的哪个位置, 均不与 垂直,即可 判断B;以 , , 为x,y,z的正方向建立空间直角坐标系,求出平面 的法向量为 ,由点 到平面 的距离公式 求解,即可判断C;设 , ,利用向量夹角公式求解,即可判断D. 【详解】选项A:当点 固定在线段 的某位置时,线段 的长度为定值, ,过 作 于点 , 为定点, 的长度为定值,且 在过点 与 垂直的平面内,故 的轨迹是以 为圆心, 为半径的圆, 故A错; 选项B:无论 在 (端点除外)的哪个位置, 均不与 垂直,故 不与平面 垂直,故B错; 选项C:以 , , 为x,y,z的正方向建立空间直角坐标系,则 , , , . , 设平面 的法向量为 ,取 , 则点 到平面 的距离为 ,故C错; 选项D:设 , , , ,设 与 所成的角为 ,则 ,故D正确. 故选:D. 2.(2023春·湖北·高二校联考阶段练习)如图,在三棱柱 中, 是边长为 的等边三角形, , ,平面 平面 , 为线段 的中点. (1)求证: ; (2)求直线 与平面 所成角的正弦值. 【答案】(1)证明见解析(2) 【分析】(1)取 中点 ,由面面垂直和线面垂直的性质和勾股定理可证得 , ,由此可得 平面 ,由线面垂直性质可证得结论; (2)作 , ,根据垂直关系,以 为坐标原点可建立空间直角坐标系,利用线面角的向量求法 可求得结果. 【详解】(1)取 中点 ,连接 , 为等边三角形, , 又平面 平面 , 平面 ,平面 平面 , 平面 , 平面 , ; , , , , , 又 分别为 中点, , , , 平面 , 平面 , 平面 , . (2)作 ,垂足为 ,作 ,交 于点 , 平面 平面 ,平面 平面 , 平面 , 平面 ; 由(1)知: 平面 , 平面 , 以 为坐标原点, 正方向为 轴,可建立如图所示空间直角坐标系,, , , , , , , , , , , , 设平面 的法向量 , 则 ,令 ,解得: , , , , 即直线 与平面 所成角的正弦值为 . 3.(2023春·重庆沙坪坝·高三重庆八中校考阶段练习)如图,在三棱锥 中, , , ,平面 平面 ,点 是线段 上的动点. (1)证明:平面 平面 ; (2)若点 在线段 上, ,且异面直线 与 成30°角,求平面 和平面 夹角的余弦值. 【答案】(1)证明见解析 (2) 【分析】(1)要证明面面垂直,需证明线面垂直,利用垂直关系转化为证明 平面 ,即可证明;(2)首先建立空间直角坐标系,利用向量公式求点 的坐标,并分别求平面 和平面 的法向量,利用二 面角的向量公式,即可求解. 【详解】(1)证明:∵平面 平面 ,且平面 平面 , ,且 平面 , ∴ 平面 , 平面 ,∴ , ∵ , ∵ 平面 , 平面 , ∴ 平面 , ∵ 平面 ,∴平面 平面 ; (2)因为 ,过点 作 垂直于平面 , 以 为原点, 为 轴正方向, 为 轴正方向, 为 轴正方向建立空间直角坐标系, 所以 设 , , , , , 因为异面直线 与 所成30°角, , , 由题意知,平面 的一个法向量为 , , 设平面 的一个法向量为 ,则 , 所以 ,所以 , 平面 和平面 夹角的余弦值为 . 题型二:空间向量求空间距离 4.(2023·宁夏银川·校联考一模)如图,圆锥SO的侧面展开图是半径为2的半圆,AB,CD为底面圆的两条直径, P为SB的中点. (1)求证: 平面PCD; (2)当 体积最大时,求S到平面PCD的距离. 【答案】(1)证明见解析 (2) 【分析】(1)连接OP,利用中位线定理可证OP∥SA,由线面平行的判定定理证明即可; (2)由题意 ,建立空间直角坐标系,利用向量求解点到平面距离. 【详解】(1)证明:连接OP,如图所示, 因为O为AB的中点,P为SB的中点, 则 ,又 平面 , 平面 , 所以 平面 . (2)记底面圆半径为r,侧面展开图半径为R,则R=2,又 ,所以 , , 当 体积最大时, , 以O为原点,OD,OB,OS为x,y,z轴建立如图所示的空间直角坐标系, 所以 , , , , , , , 设平面PCD的法向量为 , 因为 ,令 , , , 所以 , , 所以点S到平面PCD的距离 5.(2023·全国·校联考模拟预测)如图,在三棱锥 中,平面 平面ABC, , , , ,D是棱PC的中点.(1)求证: ; (2)若 ,求直线BC与平面ADB所成角的正弦值. 【答案】(1)证明见解析 (2) 【分析】(1)根据题意,由线面垂直的判定定理证得 平面ABC,再得到 平面PBC,从而即可得证; (2)根据题意,以C为坐标原点, , , 方向分别为x轴,y轴,z轴的正A方向,建立空间直角坐标系, 再由空间向量的坐标运算结合线面角的计算公式,即可得到结果. 【详解】(1)证明:在 中, , , ,所以 , 所以 , 又平面 平面ABC,平面 平面 , 平面PAB, 所以 平面ABC, 又 平面ABC,所以 , 又 , ,PB, 平面PBC,所以 平面PBC, 又 平面PBC,所以 . (2) 在 中, , , ,所以 .以C为坐标原点, , , 方向分别为x轴,y轴,z轴的正A方向,建立如图所示的空间直角坐标系, 则 , , , , 所以 , , , , 设平面ADB的一个法向量为 ,则 取 ,则 ,所以 . 设直线BC与平面ADB所成的角为 ,则 , 所以直线BC与平面ADB所成角的正弦值是 . 6.(2023秋·天津河北·高三统考期末)如图, 垂直于梯形 所在平面, , 为 的中点, , ,四边形 为矩形. (1)求证: 平面 ; (2)求平面 与平面 的夹角的大小; (3)求点 到平面 的距离. 【答案】(1)证明见解析 (2)(3) 【分析】(1)设 ,由三角形中位线性质可得 ,由线面平行判定定理可得结论; (2)以 为坐标原点可建立空间直角坐标系,利用面面角的向量求法可求得结果; (3)利用点到平面距离的向量求法可求得结果. 【详解】(1)设 ,连接 , 四边形 为矩形, 为 中点,又 为 中点, , 又 平面 , 平面 , 平面 . (2)以 为坐标原点, 正方向为 轴,可建立如图所示空间直角坐标系, 则 , , , , , 设平面 的法向量 , ,令 ,解得: , , ; 轴 平面 , 平面 的一个法向量 ,,则平面 与平面 的夹角为 . (3)由(2)知: , , , 由平面 的法向量 , 点 到平面 的距离 . 题型三:空间线段点存在问题 7.(2023·河南焦作·统考模拟预测)如图1,在 中, , , 为 的中点, 为 上 一点,且 .现将 沿 翻折到 ,如图2. (1)证明: . (2)已知二面角 为 ,在棱 上是否存在点 ,使得直线 与平面 所成角的正弦值为 ?若 存在,确定 的位置;若不存在,请说明理由. 【答案】(1)证明见解析 (2)存在, 【分析】(1)翻折前,在 中, ,翻折后,有 , ,利用线面垂直的判定和性质 可证得结论成立; (2)由二面角的定义可得 ,然后以点 为坐标原点, 、 所在直线为 、 轴,过点 且垂直于 平面 的直线为 轴建立空间直角坐标系,设 ,其中 ,利用空间向量法可得出关于 的等式,解出 的值,即可得出结论. 【详解】(1)证明:翻折前,在 中, ,翻折后,有 , , 又 , 、 平面 ,所以 平面 , 因为 平面 ,所以 . (2)解:因为二面角 为 , , , 所以,二面角 的平面角为 , 以点 为坐标原点, 、 所在直线为 、 轴,过点 且垂直于平面 的直线为 轴建立如下图所示的空 间直角坐标系, 不妨设 ,则 、 、 、 、 . , , , . 设 , ,其中 , 设平面 的法向量为 , 由 得 , 取 ,可得 , ,解得 ,合乎题意, 故当 时,直线 与平面 所成角的正弦值为 .8.(2023·全国·高三专题练习)如图,在三棱柱 中,底面ABC是以AC为斜边的等腰直角三角形, 侧面 为菱形,点 在底面上的投影为AC的中点 ,且 . (1)求证: ; (2)求点 到侧面 的距离; (3)在线段 上是否存在点 ,使得直线DE与侧面 所成角的正弦值为 ?若存在,请求出 的长;若 不存在,请说明理由. 【答案】(1)证明见解析 (2) (3)存在满足条件的点 ,1 【分析】(1)由已知条件可证 平面 ,即可得到 ; (2)以点 为坐标原点,直线 , , 分别为x,y,z轴,建立空间直角坐标系,求出平面 的一 个法向量,利用点到平面的距离公式即可求解; (3)假设存在满足条件的点E,并 ,利用向量的加减运算,求出 ,利用线面夹角公式得出 ,求得 ,即可求出 的长. 【详解】(1)证明:由点 在底面ABC上的投影为AC的中点 ,知 平面ABC,又 平面ABC,故 , 因 是以AC为斜边的等腰直角三角形,故 , 而 , 平面 , ,故 平面 , 由 平面 ,得 . (2)由点 , 为AC的中点,侧面 为菱形,知 , 由 是以AC为斜边的等腰直角三角形, ,可得 , , 由(1)知直线 , , 两两垂直,故以点 为坐标原点, 直线 , , 分别为x,y,z轴,建立空间直角坐标系, 则 , , , , , , , 设平面 的一个法向量为 , 则 ,取 ,得 , 又 ,故点 到平面 的距离为: (3)假设存在满足条件的点E,并 ,则 , 于是,由直线DE与侧面 所成角的正弦值为 , 可得 , 即 ,解得 . 又 ,故 . 因此存在满足条件的点 ,且 . 9.(2021·天津静海·静海一中校考二模)如图,在四棱锥 中,底面 为直角梯形,其中 , 平面 ,且 ,点 在棱 上(不包括端点),点 为 中点. (1)若 ,求证:直线 平面 ; (2)求平面 与平面 的夹角的余弦值; (3)是否存在点 ,使 与平面 所成角的正弦值为 ?若存在,求出 的值;若不存在,说明理由. 【答案】(1)证明过程见详解 (2) (3)存在, ,理由见详解.【分析】(1) 取 的一个靠近点 的三等分点 ,连接 ,利用平行的传递性得到 ,进而得到四 边形 为平行四边形,则 ,再利用线面平行的判定定理即可求解; (2)根据题意,建立空间直角坐标系,分别求出平面 与平面 的法向量,代入向量的夹角公式即可求解; (3)假设存在点 ,设 ,根据(2)中平面 的法向量以及题中 与平面 所成角的正弦值为 , 求出 即可求解. 【详解】(1)取 的一个靠近点 的三等分点 ,连接 , 因为 ,所以 且 , 又因为 ,且 ,点 为 中点, 所以 且 ,则四边形 为平行四边形, 所以 , 平面 , 平面 ,所以直线 平面 . (2)如图所示,以点 为坐标原点,以 所在直线为 轴,以 所在直线为 轴,以 所在直线为 轴建立 空间直角坐标系, 则 ,又 为 的中点,则 , 所以 , ,设平面 的法向量为 ,则 , 令 ,则 , 设平面 的法向量为 ,则 , 令 ,则 , 所以 , 所以平面 与平面 的夹角的余弦值为 . (3)存在, . 假设存在点 (不包括端点),设 ,即 , , 由(2)得 ,且平面 的法向量 , ,则 , 所以 ,因为 与平面 所成角的正弦值为 , 则 , 整理得: ,解得: 或 (舍去), 故存在点 ,使 与平面 所成角的正弦值为 ,此时 . 【高考必刷】 一、单选题10.(2023·河南开封·开封高中校考模拟预测)在正方体 中, 为 的中点, 为线段 上的 点,且 ,则( ) A.平面 平面 B.平面 平面 C. 四点共面 D. 与 所成角的余弦值为 【答案】D 【分析】根据题意,建立如图所示的空间直角坐标系,利用坐标法依次讨论各选项即可得答案. 【详解】解:如图,建立空间直角坐标系,设正方体的棱长为 , 因为 为 的中点, 为线段 上的点,且 , 所以 , , , , , , , , , 对于A选项,设平面 的一个法向量为 , , , 则 ,即 ,令 得 设平面 的一个法向量为 , , 则 ,即 ,令 得 , 所以 ,即平面 平面 不满足,错误; 对于B选项,设平面 的一个法向量为 , , 则 ,即 ,令 得 , 所以, ,即平面 平面 不满足,错误; 对于C选项,由 ,若 四点共面,则存在实数 ,使得 , 即 ,显然方程组无解, 故不存在实数 ,使得 成立, 所以 四点不共面,错误; 对于D选项, , , 所以 , 所以, 与 所成角的余弦值为 ,正确; 故选:D 11.(2023·全国·模拟预测)如图,已知圆柱 的轴截面 为矩形, ,P,Q分别为圆柱上、下 底面圆周上一点, , ,则异面直线PQ与AB所成角的余弦值为( )A. B. C. D. 【答案】C 【分析】建立空间直角坐标系,设 ,根据已知得出 , ,即可根据异面直 线夹角的向量求法得出答案. 【详解】如图,以A为坐标原点建立空间直角坐标系, 设 ,则 , ,结合 , 可得 , , 所以 , , 所以异面直线PQ与AB所成角的余弦值为 , 故选:C. 12.(2023·全国·模拟预测)如图,在直三棱柱ABC-ABC 中, , ,直线AC 与平面 1 1 1 1 ABC 所成角的正弦值为 ,则异面直线BA 与BC所成角的余弦值为( ) 1 1 1 1 1A. B. C. D. 【答案】A 【分析】建立空间直角坐标系,由直线AC 与平面ABC 所成的角的正弦值得 ,计算 ,得异面直 1 1 1 1 线BA 与BC所成角的余弦值. 1 1 【详解】取AC的中点O,连接BO,则BO⊥AC,以O为坐标原点,OB,OC所在直线分别为x,y轴,过点O且 平行于AA 的直线为z轴建立空间直角坐标系. 1 设a=1,则 ,易知AA⊥平面ABC ,则直线AC 与平面ABC 所成的角为 ,得 1 1 1 1 1 1 1 1 ,得 ,则 , . 则 , , , , 所以 , , 则 ,故异面直线BA 与BC所成角的余弦值为 . 1 1 故选:A. 13.(2023·福建莆田·统考二模)在正方体 中,点M,N分别是 上的动点,当线段 的 长最小时,直线 与平面 所成角的正弦值为( )A. B. C. D. 【答案】A 【分析】建立空间直角坐标系,作出辅助线,找到 为 的公垂线,即线段 的长最小,进而表达出 的坐标,从而利用线面角的夹角公式进行求解. 【详解】以 为坐标原点, 所在直线分别为 轴,建立空间直角坐标系, 因为 平面 , 平面 , 所以 , 因为正方形 中, ,且 , 平面 , 所以 ⊥平面 , 因为点M ,N分别是 上的动点, 当点 为 交点时, ⊥ ,过点 作 于点 , 此时 为 的公垂线,即线段 的长最小, 设正方体边长为 ,则 , , 因为 ,所以 ,故 , 解得: , , 过点 作 于点 ,故 ,即 , 解得: , ,故 ,,平面 的法向量为 , 设 与平面 所成角大小为 , 则 . 故选:A 14.(2023·四川·校联考一模)在长方体 中,已知异面直线 与 , 与AB所成角的大小 分别为 和 ,则直线 和平面 所成的角的余弦值为( ) A. B. C. D. 【答案】A 【分析】设 ,结合题意可求得 ,以 为原点,分别以 所在直线为 轴,建立空间直角坐标系,求出平面 的法向量,结合空间向量夹角公式可得答案. 【详解】设 ,则 ,由于 ,所以异面直线 与 所成角为 ,从而 , 由于 ,所以异面直线 与 所成角为 ,从而 , 所以 , 以 为原点,分别以 所在直线为 轴,建立空间直角坐标系, 则 , , 设平面 的法向量为 , 则 ,取 所以,直线 和平面 所成的角的正弦值为 , 从而直线 和平面 所成的角的余弦值为 . 故选:A. 15.(2023·山东菏泽·统考一模)如图,八面体的每一个面都是正三角形,并且 四个顶点在同一平面内, 下列结论:① 平面 ;②平面 平面 ;③ ;④平面 平面 ,正确命题的个 数为( )A.1 B.2 C.3 D.4 【答案】D 【分析】根据题意,以正八面体的中心 为原点, 分别为 轴,建立如图所示空间直角坐标系,由 空间向量的坐标运算以及法向量,对选项逐一判断,即可得到结果. 【详解】 以正八面体的中心 为原点, 分别为 轴,建立如图所示空间直角坐标系, 设正八面体的边长为 ,则 所以, , 设面 的法向量为 ,则 ,解得 ,取 ,即 又 ,所以 , 面 ,即 面 ,①正确; 因为 ,所以 , 又 , 面 , 面 ,则 面 , 由 , 平面 ,所以平面 平面 ,②正确; 因为 ,则 ,所以 ,③正确;易知平面 的一个法向量为 ,平面 的一个法向量为 , 因为 ,所以平面 平面 ,④正确; 故选:D 16.(2023春·云南昆明·高三校考阶段练习)如图,在棱长为1的正方体 中,P为棱 的中点, Q为正方形 内一动点(含边界),则下列说法中不正确的是( ) A.若 平面 ,则动点Q的轨迹是一条线段 B.存在Q点,使得 平面 C.当且仅当Q点落在棱 上某点处时,三棱锥 的体积最大 D.若 ,那么Q点的轨迹长度为 【答案】B 【分析】取 中点 ,证明 平面 ,得动点轨迹判断A,建立如图所示的空间直角坐标系, 求出平面 的一个法向量,由 与此法向量平行确定 点位置,判断B,利用空间向量法求得 到到平面 距离的最大值,确定 点位置判断C,利用勾股定理确定 点轨迹,得轨迹长度判断D. 【详解】选项A,分别取 中点 ,连接 , ,由 与 , 平行且相等得平行四 边形 ,所以 ,平面 , 平面 ,所以 平面 , 连接 , , ,所以 ,同理 平面 , , 平面 ,所以平面 平面 , 当 时, 平面 ,所以 平面 ,即 点轨迹是线段 ,A正确; 选项B,以 为原点, 所在直线分别为 轴建立如图所示的空间直角坐标系,则 , , ,设 ( ), , , , 设 是平面 的一个法向量, 则 ,取 ,则 , 若 平面 ,则 ,所以存在 ,使得 , ,解得 ,因此正方形 内(含边界)不存在点 ,使得 平面 ,B错;选项C, 面积为定值,当且仅当点 到平面 的距离最大时,三棱锥 的体积最大, , 到平面 的距离为 , , 时, ,当 时,d有最大值1, 时, , 时,d有最大值 , 综上, 时,d取得最大值1,故 与 重合时,d取得最大值,三棱锥 的体积最大,C正确; 选项D, 平面 , 平面 , , 所以 ,所以 点轨迹是以 为圆心, 为半径的圆弧,圆心角是 ,轨迹长度为 ,D正确. 故选:B. 【点睛】关键点点睛:本题考查空间点的轨迹问题,解题关键是勾画出过 且与平面 平行的平面 ,由 体积公式,在正方形 内的点 到平面 的距离最大,则三棱锥 体积最大. 17.(2023·甘肃兰州·校考模拟预测)在直三棱柱 中, , , , , ,分别是 , , 的中点,则下面说法中正确的有( )A. 平面 B. C.直线 与平面 所成角的余弦值为 D.点 到平面 的距离为 【答案】A 【分析】建立如图所示空间直角坐标系 ,由向量法即可证线面平行、线线垂直;求线面角、点面距离. 【详解】直三棱柱 中, ,故可建立如图所示空间直角坐标系 , 则有 , .对A,平面 的其中一个法向量为 ,由 , 平面 ,故 平面 , A错; 对B,由 得BD与EF不垂直,B错; 对C,平面 的其中一个法向量为 ,则 , 则直线 与平面 所成角的余弦值为 ,C错; 对D, ,设平面 的法向量为 ,则有 ,令 得 , 故 到平面 的距离为 ,D错. 故选:A 18.(2022·陕西安康·统考一模)如图,在多面体 中,底面 为菱形, 平面 , , ,点M在棱 上,且 ,平面 与平面 的夹角为 , 则下列说法错误的是( ) A.平面 平面 B. C.点M到平面 的距离为 D.多面体 的体积为 【答案】D【分析】A选项,作出辅助线,证明出 , ⊥平面 ,故 平面 ,从而证明面面垂直; B选项,建立空间直角坐标系,利用空间向量求解出平面的法向量,根据平面夹角列出方程,求出 ; C选项,在第一问的基础上,求出平面 的法向量,从而利用点到平面距离公式求出答案. D选项,求出 ,相加得到答案. 【详解】对于A选项,取 的中点G,连接 交 于N,连接 , 因为四边形 是菱形,所以 ⊥ ,且N是 的中点, 所以 且 ,又 , 所以 且 , 所以四边形 是平行四边形, 所以 , 又 平面 平面 , 所以 , 又因为 平面 , 所以 ⊥平面 , 所以 平面 , 又 平面 , 所以平面 平面 ,故A正确; 对于B,取 的中点H,由四边形 是菱形, ,则 , 所以 是正三角形, 所以 ,所以 , 又 平面 , 以A为原点, 为坐标轴建立空间直角坐标系,则 , , 所以 , 所以 , , 当 时, 重合,此时平面 与平面 的夹角为 ,不合题意,舍去; 当 时,设平面 的一个法向量 , 则 , 两式相减得: , 令 ,得 ,故 , 平面 的法向量可取 , 所以 ,解得 ,故B正确; 对于C,结合B,所以 ,则 , 设平面 的一个法向量 ,则 , 解得: ,取 ,得 ,故 , 所以点M到平面 的距离 ,故C正确;对于D, , 故 , 梯形 的面积为 , , 故 ,故D错误. 故选:D. 二、多选题 19.(2023春·全国·高三校联考阶段练习)在正方体 中,点P满足 ,则 ( ) A.若 ,则AP与BD所成角为 B.若 ,则 C. 平面 D. 【答案】BCD 【分析】 与BD所成角为 与 所成角,为 ,A错误,建系得到 ,B正确,故面 面 ,C正确, ,D正确,得到答案. 【详解】对选项A: 时P与 重合, 与BD所成角为 与 所成角, 为等边三角形,则AP与 BD所成角为 ,错误;对选项B:如图建立空间直角坐标系,令 , , , , , , ,正确; 对选项C: , 平面 , 平面 ,故 平面 ,同理可得 平面 , ,故面 面 , 平面 , 平面 ,正确; 对选项D: , , ,正确. 故选:BCD 20.(2023·河北石家庄·统考一模)已知正方体 的棱长为2,M,N分别是 , 的中点,则 ( ) A. B. C.平面 截此正方体所得截面的周长为 D.三棱锥 的体积为3 【答案】BC【分析】建立坐标系,利用空间向量坐标的关系判定A,B选项的正误,把截面作出来,根据截面形状可求周长, 利用等体积进行转化可求三棱锥 的体积. 【详解】如图,以 为坐标原点, 所在直线分别为 轴,建立空间直角坐标系, 则 ; , ; 因为 ,所以 与 不平行,A不正确; 因为 ,所以 ,B正确; 如图,取 的中点 ,取 的中点 ,连接 , 由正方体的性质可知, ; 因为 分别为 的中点,所以 ,所以 ; 平面 截正方体所得截面为梯形 , 因为正方体的棱长为2,所以 , , 所以平面 截此正方体所得截面的周长为 ,C正确;由上面分析可知, , 平面 , 平面 , 所以 平面 ,即点 到平面 的距离等于点 到平面 的距离; , 而 ,所以三棱锥 的体积为1,D不正确. 故选:BC. 21.(2023·安徽·统考一模)在平行六面体 中,已知 , ,则( ) A.直线 与 所成的角为B.线段 的长度为 C.直线 与 所成的角为 D.直线 与平面 所成角的正弦值为 【答案】AC 【分析】设 ,将 分别用 表示,再根据向量数量积的运算律即可判断 ABC;对于D,先证明平面 平面 ,从而可得 与平面 所成的角为 ,再解 即可. 【详解】设 ,则 ,且 , 对于A, , , 所以直线 与 所成的角为 ,故A正确; 对于B,因为 , 所以 ,故B错误; 对于C,因为 , 所以 ,故C正确; 对于D,连接 ,交 于点 ,则 为 的中点, 因为 , , 所以 , 又因 平面 ,所以 平面 , 又 平面 ,所以平面 平面 ,作 ,垂足为 , 因为平面 平面 ,平面 平面 , 平面 , 所以 平面 , 则 与平面 所成的角为 , 在 中, ,所以 , 即直线 与平面 所成角的正弦值为 ,故D错误. 故选:AC. 22.(2023春·四川遂宁·高三校考阶段练习)如图,在平行六面体 中, 分别是 的中点, 以 为顶点的三条棱长都是 ,则下列说法正确的是( ) A. 平面 B. 平面 C.D. 与 夹角的余弦值为 【答案】ABD 【分析】根据线面平行、线面垂直、空间距离、线线角等知识对选项进行分析,从而确定正确答案. 【详解】A选项,连接 , 由于 分别是 的中点,所以 , 根据棱柱的性质可知 ,所以 , 由于 平面 , 平面 , 所以 平面 ,所以A选项正确. B选项, , , , 所以 , 由于 平面 ,所以 平面 ,B选项正确., 所以 ,即 ,所以C选项错误. D选项, , , , , 所以 与 夹角为 , 则 . 故选:ABD 三、填空题 23.(2022春·河南南阳·高三南阳中学校考阶段练习)如图,在四面体 中, , , 、 分别是 、 的中点.若用一个与直线 垂直,且与四面体的每个面都相交的平面 去 截该四面体,由此得到一个多边形截面,则下面的说法中正确的有___________.① , ②四面体外接球的表面积为 . ③异面直线 与 所成角的正弦值为 ④多边形截面面积的最大值为 . 【答案】①②④ 【分析】连接 ,进而根据线面垂直得线线垂直可判断①;将其补成长方体,转为为求长方体的外 接球表面积可判断②;结合②建立空间直角坐标系,利用坐标法求解即可判断③;根据题意,证明截面 为 平行四边形,且 ,由 可判断④. 【详解】解:对于①,连接 ,因为 , 、 分别是 、 的中点,所以 , ,因为 ,所以 平面 , 平面 ,所以 , ,故正确; 对于②,该几何体可以在如图2的长方体中截出,设长方体的长宽高分别为 ,则 ,所以 ,即长方体的体对角线的长度为 , 所以四面体的外接球即为该长方体的外接球,半径满足 , 所以四面体外接球的表面积为 ,故正确; 对于③,由②得 ,如图3,以 点为坐标原点,建立空间直角坐标系,则 , , , ,故 ,所以异面直线 与 所成角的余弦值为 , 故错误;对于④,如图4,设平面 与 分别交于 , , ,则由线面平行的性质可得 ,则 , 同理, ,所以截面 为平行四边形, 可得 , 则 , 设异面直线 和 所成角为 ,由③的讨论可得异面直线 和 所成角为 , 所以 , 则可得 ,当且仅当 时等号成立,故正确.故答案为:①②④ 【点睛】本题考查空间几何体的截面问题,内接外接球问题,线面垂直,线线垂直等位置关系,考查运算求解能 力,直观想象能力,是难题.本题解题的关键在于将该几何体放置于长方体中,利用长方体的几何性质求解. 24.(2022·全国·高三专题练习)如图,在三棱柱 中, 平面 , , , , 分别是 , 的中点. (1)直线 与平面 所成角的正切值为___________; (2)直线 到平面 的距离为___________; (3)已知点 在棱 上,平面 与平面 所成二面角为60°则线段 的长为___________. 【答案】 【分析】建立空间直角坐标系,利用空间向量法求出线面角的正弦值,二面角的余弦值以及点到平面的距离; 【详解】解:如图建立空间直角坐标系 ,则 , , , , ,, . , , , , . 设平面 的法向量为 ,则 ,即 令 ,则 . 所以 . 设直线 与平面 所成角为 , 所以直线 与平面 所成角的正弦值为 ,即 ,所以 ,所以 ,所以直线 与平面 所成角的正切值 . 因为 , 平面平面 ,所以 平面 ,所以 到平面 的距离,即点 到平面 的距离,所以 ,故直线 到平面 的距离为 ; 假设在棱 上存在一点 ,使得平面 与平面 所成二面角为 ,设 , . 则 ,设平面 的法向量为 , 则 ,即 , 取 ,则 , 又平面 的法向量为 . 所以 ,解得 , 故在棱 上存在一点 ,使得平面 与平面 所成二面角为 , 点的坐标为 ,即 . 故答案为: ; ; ; 25.(2022秋·湖南怀化·高三校考阶段练习)如图,多面体ABCDEF中,面ABCD为正方形,DE⊥平面ABCD, CF∥DE,且AB=DE=2,CF=1,G为棱BC的中点,H为棱DE上的动点,有下列结论: ①当H为DE的中点时,GH∥平面ABE; ②存在点H,使得GH⊥AE; ③三棱锥B−GHF的体积为定值; ④三棱锥E−BCF的外接球的表面积为 . 其中正确的结论序号为________.(填写所有正确结论的序号) 【答案】①③④ 【分析】根据线面平行的判定定理,以及线线垂直的判定,结合棱锥体积的计算公式,以及棱锥外接球半径的求 解,对每一项进行逐一求解和分析即可. 【详解】对①:当H为DE的中点时,取 中点为 ,连接 ,如下所示:因为 分别为 的中点,故可得 // , , 根据已知条件可知: // ,故 // , 故四边形 为平行四边形,则 // ,又 面 面 , 故 //面 ,故①正确; 对②:因为 面 面 ,故 , 又四边形 为矩形,故 ,则 两两垂直, 以 为坐标原点,建立空间直角坐标系如下所示: 则 ,设 , , 若GH⊥AE,则 , 即 ,解得 ,不满足题意,故②错误; 对③: ,因为 均为定点,故 为定值, 又 // 面 面 ,故 //面 , 又点 在 上运动,故点 到面 的距离是定值, 故三棱锥 的体积为定值,则③正确; 对④:取△ 的外心为 ,过 作平面 的垂线 ,则三棱锥 的外接球的球心 一定在 上 因为 面 , 面 面 ,则 ,又 , 面 ,故 面 ,又 面 , 则 // ,故 在同一个平面, 则过 作 ,连接 如图所示. 在△ 中,容易知 , 则由余弦定理可得 ,故 , 则由正弦定理可得 ; 设三棱锥 的外接球半径为 ,则 , 在△ 中, , , 又 , 故由勾股定理可知: ,即 , 解得: ,则该棱锥外接球的表面积 ,故④正确. 故答案为:①③④. 【点睛】本题考查线面平行的证明,线线垂直的判定,以及三棱锥体积的计算和外接球半径的求解,属综合困难 题.26.(2022·新疆·统考模拟预测)已知正方体 的棱长为1, 、 分别为棱 、 的中点, 为棱 上的动点, 为线段 的中点.则下列结论中正确序号为______. ① ;② 平面 ;③ 的余弦值的取值范围是 ;④△ 周长的最小值为 【答案】①④ 【分析】①连接 ,根据正方体性质有 ,结合 在面 上的投影为 即可判断;②③构 建空间直角坐标系,求面 的法向量及方向向量 ,利用空间向量夹角的坐标表示判断线面关系,同理求线 线角的关于参数m的余弦值,结合导数求最值,即可判断余弦值的范围;④将问题转化为求 的最小值, 展开正方体侧面研究最小情况即可判断. 【详解】①连接 ,即 ,又 、 分别为 、 的中点,则 , 所以 ,而 在面 上的投影为 ,又 ,即 , 所以 ,正确; ②如下图示, , , ,则 , , 若 是面 的一个法向量,则 ,令 即 ,而 , ,则 , 所以 ,仅当 时 ,即 平面 ,故错误; ③如下图, , , ,故 , , 所以 ,且 , ,则 , 令 ,则 ,而 , , 所以,存在 ,则 上 , 递增; 上 , 递减; 所以 上有 , 由 时 , 时 ,故 时 ,故错误;④由△ 周长为 ,而 ,要使周长最小只需 最小, 将 与 展开成一个平面,如下图示: 当 共线时, 最小为 , 所以周长的最小值为 ,正确. 故答案为:①④ 【点睛】关键点点睛:②③构建空间直角坐标系,利用向量法判断线面关系、求线线角余弦值关于参数的表达式, 进而应用导数判断最值. 四、解答题 27.(2023·黑龙江哈尔滨·哈尔滨三中校考一模)如图,在四棱锥 中,底面ABCD是边长为2的菱形, PAD为等边三角形,平面 平面ABCD, . △ (1)求点A到平面PBC的距离; (2)E为线段PC上一点,若直线AE与平面ABCD所成的角的正弦值为 ,求平面ADE与平面ABCD夹角的余弦 值.【答案】(1) (2) 【分析】(1)取AD中点O,连接OB,OP.通过证明 ,可得 , .后由等体 积法可求得点A到平面PBC的距离; (2)由(1),如图建立以O为原点的空间直角坐标系,由直线AE与平面ABCD所成的角的正弦值为 ,可 得 .求得平面ADE的法向量后,利用空间向量可得平面ADE与平面ABCD夹角的余弦值. 【详解】(1)取AD中点O,连接OB,OP. ∵ 为等边三角形,∴ ,OA=1, . 又∵平面 平面ABCD,平面 平面ABCD=AD, 平面PAD,∴ 平面ABC. 又∵ 平面ABCD,∴ . ∵ ,∴ ,∴ . 又∵ , 平面POB, 平面POB, ,∴ 平面POB. 又∵ 平面POB,∴ . ∴ , 设点A到平面PBC的距离为h, 则 即 ,∴ ;(2)由(1),分别以OA,OB,OP为x轴,y轴,z轴的正方向建立如图所示的空间直角坐标系.则 , , , , , , . 设 ,则 , . 得 ,则 . 又 平面ABC,则取平面ABCD的法向量 . 设AE与平面ABCD所成的角为 ,则 ,解得 . 则 , . 设平面ADE的法向量 ,则 . 令 ,则取平面ADE的法向量 ,又平面ABCD的法向量 . 故平面ADE与平面ABCD夹角的余弦值为 .28.(2023·重庆·统考二模)如图,在四棱锥 中,侧棱 矩形 ,且 ,过棱 的中点 ,作 交 于点 ,连接 (1)证明: ; (2)若 ,平面 与平面 所成二面角的大小为 ,求 的值. 【答案】(1)证明见解析 (2) 【分析】(1)先证 平面 ,得 ,再证 平面 ,得 ,然后证明 平面 , 得证 ; (2)以 为原点,射线 分别为 轴的正半轴,建立空间直角坐标系,由空间向量法求二面角得 的长,然后利用棱锥体积公式计算. 【详解】(1)证明:因为 平面 , 平面 ,所以 , 由底面 为矩形,有 ,而 , 平面 , 所以 平面 ,又 平面 ,所以 . 又因为 ,点 是 的中点,所以 . 而 , 平面 ,所以 平面 , 平面 , 所以 ,又 , , 平面 , 所以 平面 ,而 平面 , 所以 得证. (2)如图,以 为原点,射线 分别为 轴的正半轴,建立空间直角坐标系. 因为 ,设 ,( ), 则 , ,点 是 的中点,所以 , 由 ,所以 是平面 的一个法向量; 由(1)知, ,所以 是平面 的一个法向量. 因为平面 与平面 所成二面角的大小为 , 则 ,解得 (负值舍去). 所以 , .