当前位置:首页>文档>专题突破卷09水溶液中的离子反应与平衡(解析版)_05高考化学_新高考复习资料_2024年新高考资料_一轮复习资料_完2024年高考化学一轮复习考点通关卷(新高考通用)_专题突破卷

专题突破卷09水溶液中的离子反应与平衡(解析版)_05高考化学_新高考复习资料_2024年新高考资料_一轮复习资料_完2024年高考化学一轮复习考点通关卷(新高考通用)_专题突破卷

  • 2026-05-14 04:44:24 2026-03-28 03:03:14

文档预览

专题突破卷09水溶液中的离子反应与平衡(解析版)_05高考化学_新高考复习资料_2024年新高考资料_一轮复习资料_完2024年高考化学一轮复习考点通关卷(新高考通用)_专题突破卷
专题突破卷09水溶液中的离子反应与平衡(解析版)_05高考化学_新高考复习资料_2024年新高考资料_一轮复习资料_完2024年高考化学一轮复习考点通关卷(新高考通用)_专题突破卷
专题突破卷09水溶液中的离子反应与平衡(解析版)_05高考化学_新高考复习资料_2024年新高考资料_一轮复习资料_完2024年高考化学一轮复习考点通关卷(新高考通用)_专题突破卷
专题突破卷09水溶液中的离子反应与平衡(解析版)_05高考化学_新高考复习资料_2024年新高考资料_一轮复习资料_完2024年高考化学一轮复习考点通关卷(新高考通用)_专题突破卷
专题突破卷09水溶液中的离子反应与平衡(解析版)_05高考化学_新高考复习资料_2024年新高考资料_一轮复习资料_完2024年高考化学一轮复习考点通关卷(新高考通用)_专题突破卷
专题突破卷09水溶液中的离子反应与平衡(解析版)_05高考化学_新高考复习资料_2024年新高考资料_一轮复习资料_完2024年高考化学一轮复习考点通关卷(新高考通用)_专题突破卷
专题突破卷09水溶液中的离子反应与平衡(解析版)_05高考化学_新高考复习资料_2024年新高考资料_一轮复习资料_完2024年高考化学一轮复习考点通关卷(新高考通用)_专题突破卷
专题突破卷09水溶液中的离子反应与平衡(解析版)_05高考化学_新高考复习资料_2024年新高考资料_一轮复习资料_完2024年高考化学一轮复习考点通关卷(新高考通用)_专题突破卷
专题突破卷09水溶液中的离子反应与平衡(解析版)_05高考化学_新高考复习资料_2024年新高考资料_一轮复习资料_完2024年高考化学一轮复习考点通关卷(新高考通用)_专题突破卷
专题突破卷09水溶液中的离子反应与平衡(解析版)_05高考化学_新高考复习资料_2024年新高考资料_一轮复习资料_完2024年高考化学一轮复习考点通关卷(新高考通用)_专题突破卷
专题突破卷09水溶液中的离子反应与平衡(解析版)_05高考化学_新高考复习资料_2024年新高考资料_一轮复习资料_完2024年高考化学一轮复习考点通关卷(新高考通用)_专题突破卷
专题突破卷09水溶液中的离子反应与平衡(解析版)_05高考化学_新高考复习资料_2024年新高考资料_一轮复习资料_完2024年高考化学一轮复习考点通关卷(新高考通用)_专题突破卷
专题突破卷09水溶液中的离子反应与平衡(解析版)_05高考化学_新高考复习资料_2024年新高考资料_一轮复习资料_完2024年高考化学一轮复习考点通关卷(新高考通用)_专题突破卷
专题突破卷09水溶液中的离子反应与平衡(解析版)_05高考化学_新高考复习资料_2024年新高考资料_一轮复习资料_完2024年高考化学一轮复习考点通关卷(新高考通用)_专题突破卷
专题突破卷09水溶液中的离子反应与平衡(解析版)_05高考化学_新高考复习资料_2024年新高考资料_一轮复习资料_完2024年高考化学一轮复习考点通关卷(新高考通用)_专题突破卷
专题突破卷09水溶液中的离子反应与平衡(解析版)_05高考化学_新高考复习资料_2024年新高考资料_一轮复习资料_完2024年高考化学一轮复习考点通关卷(新高考通用)_专题突破卷
专题突破卷09水溶液中的离子反应与平衡(解析版)_05高考化学_新高考复习资料_2024年新高考资料_一轮复习资料_完2024年高考化学一轮复习考点通关卷(新高考通用)_专题突破卷
专题突破卷09水溶液中的离子反应与平衡(解析版)_05高考化学_新高考复习资料_2024年新高考资料_一轮复习资料_完2024年高考化学一轮复习考点通关卷(新高考通用)_专题突破卷
专题突破卷09水溶液中的离子反应与平衡(解析版)_05高考化学_新高考复习资料_2024年新高考资料_一轮复习资料_完2024年高考化学一轮复习考点通关卷(新高考通用)_专题突破卷
专题突破卷09水溶液中的离子反应与平衡(解析版)_05高考化学_新高考复习资料_2024年新高考资料_一轮复习资料_完2024年高考化学一轮复习考点通关卷(新高考通用)_专题突破卷
专题突破卷09水溶液中的离子反应与平衡(解析版)_05高考化学_新高考复习资料_2024年新高考资料_一轮复习资料_完2024年高考化学一轮复习考点通关卷(新高考通用)_专题突破卷
专题突破卷09水溶液中的离子反应与平衡(解析版)_05高考化学_新高考复习资料_2024年新高考资料_一轮复习资料_完2024年高考化学一轮复习考点通关卷(新高考通用)_专题突破卷

文档信息

文档格式
docx
文档大小
0.629 MB
文档页数
18 页
上传时间
2026-03-28 03:03:14

文档内容

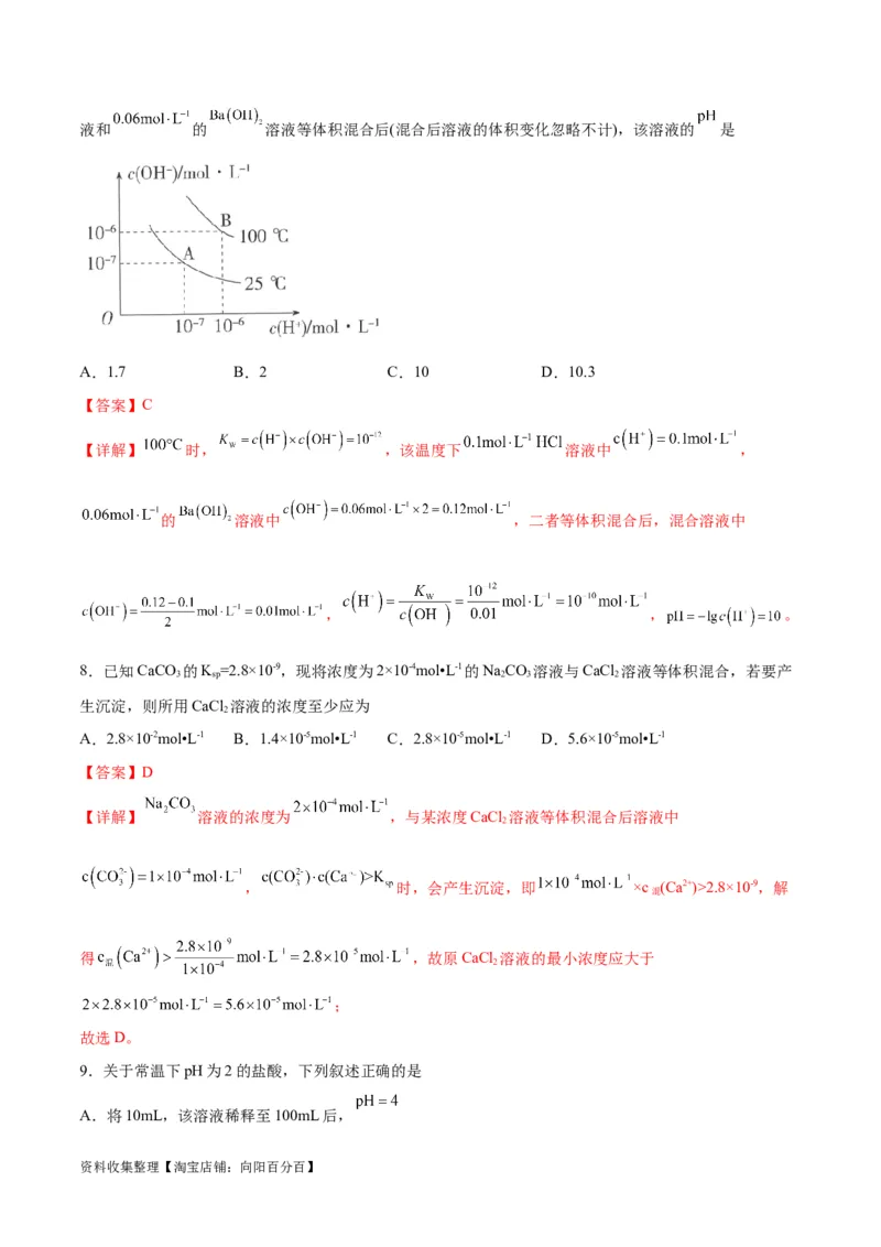
专题突破卷 09 水溶液中的离子反应与平衡 (考试时间:75分钟 试卷满分:100分) 一、选择题(本题共15小题,每小题3分,共45分。每小题只有一项是符合题目要求的) 1.下列有关电解质溶液的说法正确的是 A.加水稀释,NaS溶液中离子浓度均减小 2 B.0.1 mol/L NaOH溶液中滴加等体积等浓度醋酸溶液,溶液的导电性增强 C.pH相同的①CHCOONa②NaHCO ③NaClO三种溶液的c(Na+):①>②>③ 3 3 D.向0.1 mol·L-1的氨水中加入少量硫酸铵固体,则溶液中c(OH﹣)/c(NH·H O)增大 3 2 【答案】C 【详解】A.NaS溶液呈碱性,加水稀释,NaS溶液中氢离子浓度增大,故A错误; 2 2 B.0.1 mol/L NaOH溶液中滴加等体积等浓度醋酸溶液,产物为0.05mol/L的CHCOONa溶液,离子浓度 3 减小,溶液的导电性减小,故B错误; C.CHCOO-、 、ClO-水解程度依次增强,pH相同的①CHCOONa②NaHCO ③NaClO三种溶液的浓 3 3 3 度c(CHCOONa)>c(NaHCO )>c(NaClO),所以c(Na+):①>②>③,故C正确; 3 3 D.向0.1 mol·L-1的氨水中加入少量硫酸铵固体,铵根离子浓度增大,氨水电离平衡逆向移动,c(OH﹣)减 小、c(NH ·H O)增大,所以溶液中c(OH﹣)/c(NH·H O)减小,故D错误; 3 2 3 2 选C。 2.MOH强碱溶液和等体积、等浓度的HA弱酸溶液混合后,溶液中有关离子的浓度应满足的关系是 A.c(M+)>c(OH-)>c(A-)>c(H+) B.c(M+)>c(A-)>c(H+)>c(OH-) C.c(M+)>c(A-)>c(OH-)>c(H+) D.c(M+)>c(H+)>c(A-)>c(OH-) 【答案】C 【详解】MOH是强碱,HA是等体积、等浓度的弱酸,混合之后恰好完全反应生成MA,这是一种强碱弱 酸盐,溶液显碱性,即c(OH-)>c(H+);由电荷守恒知c(M+)+c(H+)=c(A-)+c(OH-),则c(M+)>c(A-),故溶 液中有关离子浓度满足的关系是c(M+)>c(A-)>c(OH-)>c(H+),选择C。 3.根据表中信息,判断0.10mol/L的下列各物质的溶液pH最大的是 酸 电离常数(常温下) , 资料收集整理【淘宝店铺:向阳百分百】, A. B. C. D. 【答案】D 【详解】根据题干表格中的酸的电离平衡常数可知,酸性的强弱顺序为:CHCOOH>H CO>H S> 3 2 3 2 >HS-,根据越弱越水解的规律可知,水解能力强弱顺序为:S2-> >HS-> >CH COO-,故0.10 3 mol/L的下列各溶液pH最大的是NaS; 2 故选D。 4.25℃时, 和 的沉淀溶解平衡曲线如图( 代表 或 )所示。下列说法不正确的是 A.a点可表示 的饱和溶液 B.c点可表示 的过饱和溶液,达新平衡时可到达b点 C.d点时溶液中存在 (忽略单位) D.用 溶液浸泡足量 ,会有部分 转化为 【答案】B 【详解】A.a点在CaCO 沉淀溶解平衡曲线上,可表示CaCO 的饱和溶液,A正确; 3 3 B.c点表示的是 的过饱和溶液,溶液中存在 ,平衡逆向移动, 资料收集整理【淘宝店铺:向阳百分百】、 同时减小,达到新平衡后,无法到达b点,B错误; C.d点在MnCO 的沉淀溶解平衡曲线上,根据图可知,c(Mn2+)·c( )=4×10-6×4×10-6=1.6×10-11,C正确; 3 D.虽然MnCO 的溶度积常数小于CaCO ,但是仍会发生反应 ,用 3 3 0.10mol⋅L−1CaCl 溶液浸泡足量MnCO ,相当于增大反应物浓度,平衡正向移动,会有部分碳酸锰转化为 2 3 碳酸钙,D正确; 故答案选B。 5.已知在100 ℃时水的离子积K =1×10-12,下列溶液的温度均为100 ℃。其中说法正确的是 w A.0.005 mol·L-1的HSO 溶液,pH=2 2 4 B.0.001 mol·L-1的NaOH溶液,pH=11 C.0.005 mol·L-1的HSO 溶液与0.01 mol·L-1的NaOH溶液等体积混合,混合溶液的pH为6,溶液显酸性 2 4 D.完全中和pH=3的HSO 溶液50 mL,需要pH=9的NaOH溶液100 mL 2 4 【答案】A 【详解】A.0.005 mol·L-1的 溶液中, =0.005 mol·L-1×2=0.01 mol·L-1, ,A正确; B.0.001 mol·L-1的 溶液中, =0.001 mol·L-1, , ,B错误; C.0.005 mol·L-1的 溶液与0.01 mol·L-1的 溶液等体积混合,溶液呈中性, ,C错误; D. 的HSO 溶液 =10-3 mol·L-1,pH=9的NaOH溶液,c(OH-)=10-3 mol·L-1,二者完全中和,需 2 4 要溶液的体积相等,D错误; 故选A。 6.一定温度下, 体系中, 和 的关系如图所示。下列说法不正 确的是 资料收集整理【淘宝店铺:向阳百分百】A.AgCl溶于水形成的饱和溶液中: B.b点溶液中加入少量 固体,会析出白色沉淀 C.d点溶液中加入少量AgCl固体, 和 均增大 D.a、b、c三点对应的AgCl的 不相等 【答案】D 【详解】A.AgCl溶于水形成的饱和溶液中存在 ,所以 ,A 正确; B.b点溶液为AgCl的饱和溶液,加入少量 固体,则 增大,溶解平衡 逆向移动,会析出白色沉淀,B正确; C.d点溶液为AgCl的不饱和溶液,加入少量AgCl固体会继续溶解,则溶液中 和 均增大, C正确; D.a、b、c三点都在溶解平衡曲线上,三点溶液均为AgCl的饱和溶液,AgCl的 只与温度有关,温度 不变, 不变,则a、b、c三点对应的AgCl的 相等,D错误; 故选D。 7.在不同温度下,水达到电离平衡时 与 的关系如图所示。 时,将 的 溶 资料收集整理【淘宝店铺:向阳百分百】液和 的 溶液等体积混合后(混合后溶液的体积变化忽略不计),该溶液的 是 A.1.7 B.2 C.10 D.10.3 【答案】C 【详解】 时, ,该温度下 溶液中 , 的 溶液中 ,二者等体积混合后,混合溶液中 , , 。 8.已知CaCO 的K =2.8×10-9,现将浓度为2×10-4mol•L-1的NaCO 溶液与CaCl 溶液等体积混合,若要产 3 sp 2 3 2 生沉淀,则所用CaCl 溶液的浓度至少应为 2 A.2.8×10-2mol•L-1 B.1.4×10-5mol•L-1 C.2.8×10-5mol•L-1 D.5.6×10-5mol•L-1 【答案】D 【详解】 溶液的浓度为 ,与某浓度CaCl 溶液等体积混合后溶液中 2 , 时,会产生沉淀,即 ×c (Ca2+)>2.8×10-9,解 混 得 ,故原CaCl 溶液的最小浓度应大于 2 ; 故选D。 9.关于常温下pH为2的盐酸,下列叙述正确的是 A.将10mL,该溶液稀释至100mL后, 资料收集整理【淘宝店铺:向阳百分百】B.向该溶液中加入等体积pH为12的氨水恰好完全中和 C.该溶液中盐酸电离出的c(H+)与水电离出的c(H+)之比为 D.该溶液中由水电离出的 (H+) 【答案】C 【详解】A.将 的盐酸稀释至 后, ,pH=3,故 A错误; B.向该溶液中加入等体积pH为12的氨水,由于一水合氨部分电离,氨水过量,HCl完全反应后溶液中 仍含有大量的 ,故B错误; C.该溶液中水电离出的 ,则盐酸电离出的 与水电 离出的 之比为 ,故C正确; D.该溶液中由水电离出的 ,故D错误。 综上所述,答案为C。 10.下列有关中和滴定的说法正确的是 A.用25 mL滴定管进行中和滴定时,用去标准液的体积为21.7 mL B.用标准KOH溶液滴定未知浓度的盐酸,配制标准溶液的KOH固体中有NaOH杂质,则结果偏高 C.用c mol/L酸性高锰酸钾溶液滴定V mL未知浓度的HC O 溶液至滴定终点,用去酸性高锰酸钾溶液 1 2 2 2 4 体积为V mL,则HC O 溶液的浓度为 mol/L 1 2 2 4 D.用未知浓度的盐酸滴定已知浓度的NaOH溶液时,若读数时,滴定前仰视,滴定到终点后俯视,会导 致测定结果偏高 【答案】D 【详解】A.滴定管的精度为0.01 mL,故A错误; B.若配制标准溶液的KOH固体中有NaOH杂质,使OH-浓度偏高,滴定未知浓度的盐酸时,消耗标准液 的体积偏小,使测得的盐酸浓度偏低,故B错误; 资料收集整理【淘宝店铺:向阳百分百】C.用酸性高锰酸钾溶液滴定未知浓度的HC O 溶液,发生反应:2KMnO +5HC O+3HSO ===KSO + 2 2 4 4 2 2 4 2 4 2 4 2MnSO +10CO↑+8HO,n(KMnO)∶n(H C O)=2∶5,则HC O 溶液的浓度为 mol/L,故C错误; 4 2 2 4 2 2 4 2 2 4 D.用未知浓度的盐酸滴定已知浓度的NaOH溶液时,若读数时,滴定前仰视,滴定到终点后俯视,使测得 的盐酸溶液体积偏小,导致测定结果偏高,故D正确; 故选:D。 11.室温下,向10mL 0.10mol•L-1的HX溶液中逐滴滴入0.20mol•L-1的YOH溶液,混合溶液的pH变化情 况如图所示(忽略溶液温度和体积变化)。下列说法正确的是 A.HX是弱酸 B.M点对应的溶液中,c(Y+)>c(X-) C.N点对应的溶液中,粒子浓度关系存在:c(Y+)+c(YOH)=2c(X-) D.常温下,pH=5的YX溶液中,由水电离的c(H+)=1.0×10-9mol•L-1 【答案】C 【详解】向HX溶液中滴加YOH溶液时,溶液中发生反应:HX+YOH=YX+H O。 2 A.0.10mo1•L-1的HX溶液pH=1,溶液中c(H+)=0.1mol/L,说明HX完全电离,因此HX为强酸,故A错 误; B.M点溶液中溶质为YX、YOH,溶液中电荷守恒为c(H+)+c(Y+)=c(X-)+c(OH-),此时溶液pH=7,说明溶 液中c(H+)=c(OH-),因此c(Y+)=c(X-),故B错误; C.N点溶液中溶质为等浓度的YX、YOH,由M点所加YOH的体积为6mL可知Y+会发生水解,根据物 料守恒可知N点微粒浓度关系为c(Y+)+c(YOH)=2c(X-),故C正确; D.常温下,YX在溶液中电离出Y+和X-,Y+发生水解:Y++H O YOH+H+,此时水的电离受到促进作用, 2 溶液中H+来源于水的电离,因此pH=5的YX溶液中,由水电离的c(H+)=1.0×10-5mol/L,故D错误; 综上所述,答案为C。 12.有25mL0.1mol•L-1的三种溶液①NaCO 溶液;②CHCOONa溶液;③NaOH溶液,下列说法正确的 2 3 3 是 资料收集整理【淘宝店铺:向阳百分百】电离平衡常数 K K a1 a2 HCO 4.5×10-7 4.7×10-11 2 3 CHCOOH 1.75×10-5 —— 3 A.3种溶液pH的大小顺序是③>②>① B.若将3种溶液稀释相同倍数,pH变化最大的是② C.若分别加入25mL0.1mol•L-1盐酸后,pH最大的是① D.若3种溶液的pH均为9,则物质的量浓度的大小顺序是③>②>① 【答案】C 【详解】A.NaOH在水溶液中发生完全电离,K (H CO)<K(CHCOOH),则NaCO 水解程度比 a2 2 3 a 3 2 3 CHCOONa大,所以3种溶液pH的大小顺序是③>①>②,A不正确; 3 B.若将3种溶液稀释相同倍数,强碱溶液c(OH-)减小最多,则pH变化最大的是③,B 不正确; C.若分别加入25mL0.1mol•L-1盐酸后,①、②、③分别转化为NaHCO 和NaCl、CHCOOH和NaCl、 3 3 NaCl,只有NaHCO 呈碱性,则pH最大的是①,C正确; 3 D.NaCO 和CHCOONa水解使溶液显碱性,NaOH完全电离使溶液显碱性,且NaCO 水解程度比 2 3 3 2 3 CHCOONa大,若3种溶液的pH均为9,则物质的量浓度的大小顺序是②>①>③,D不正确; 3 故选C。 13.室温下向10mL0.1 mol·L-1NaOH溶液中加入0.1 mol·L-1的一元酸HA,溶液pH的变化曲线如图所示。 下列说法正确的是 A.a点所示溶液中c(Na+)>c(A-)>c(H+)>c(HA) B.a、b两点所示溶液中水的电离程度相同 C.pH=7时,c(Na+)=c(A-)+c(HA) D.b点所示溶液中c(A-)>c(HA) 资料收集整理【淘宝店铺:向阳百分百】【答案】D 【详解】A.a点NaOH与HA恰好完全反应,溶液的pH为8.7,呈碱性,说明HA为弱酸,NaA发生了水 解反应,则溶液中c(Na+)>c(A-)>c(OH-)>c(HA)>c(H+),A错误; B.a点NaOH与HA恰好完全反应生成NaA,NaA发生了水解,促进了水的电离,b点溶液中溶质为等物 质的量NaA和HA,主要由于HA的电离而使溶液呈酸性,抑制了水的电离,所以a点水的电离程度大于b 点水的电离程度,B错误; C.根据电荷守恒:c(Na+)+c(H+)=c(A-)+c(OH-),pH=7,则c(H+)=c(OH-),可得c(Na+)=c(A-),C 错误; D.b点溶液中溶质为等物质的量NaA和HA,溶液呈酸性,说明HA的电离程度大于NaA的水解程度, 所以c(A-)>c(HA),D正确; 答案选D。 14.常温下浓度均为0.1mol/L的四种盐溶液,其pH如表所示,下列说法正确的是 序号 ① ② ③ ④ 溶液 CHCOONa NaHCO NaCO NaClO 3 3 2 3 pH 8.8 9.7 11.6 10.3 A.等浓度的CHCOOH和HClO溶液,pH小的是HClO 3 B.NaCO 和NaHCO 溶液中粒子种类不同 2 3 3 C.四种溶液中水的电离程度:①>②>④>③ D.NaHCO 溶液中:c(Na+)=c(CO )+c(HCO )+c(H CO) 3 2 3 【答案】D 【详解】A.盐溶液的pH越大,酸根离子水解程度越大,对应酸的酸性越弱,故等浓度的 和 HClO溶液, 的酸性强, 溶液的pH较小,A错误; B. 溶液中存在的平衡有: , , , 溶液中存在的平衡有: , , ,所以两种溶液中粒子均为 、 、 资料收集整理【淘宝店铺:向阳百分百】HCO、H+、OH-、HO,粒子种类相同,B错误; 2 3 2 C.能水解的盐能促进水的电离,盐的水解程度越大,水的电离程度越大,则四种溶液中,水的电离程度 ③>④>②>①,C错误; D.由物料守恒可知, 溶液中存在 ,D正确; 故选D。 15.常温下,将 溶液分别滴加到等体积、等浓度的HA、HB两种弱酸溶液中,两溶液的 pH与粒子浓度比值的对数关系如图所示。下列说法错误的是 A. B.加入 溶液的体积:b”“<”或“=”)7,溶液中离子的电荷守恒关系式是 。 (2)溶液②呈 (填“酸”“碱”或“中”)性。其原因是 (用离子方程式说明)。 (3)下列有关①和②两种溶液的说法正确的是 (填字母)。 a. 两种溶液中c(CHCOO-) 都小于0.1 mol·L-1 3 b. 两种溶液中c(CHCOO-) 都等于0.1 mol·L-1 3 c. CHCOOH溶液中c(CHCOO-) 小于CHCOONa溶液中c(CHCOO-) 3 3 3 3 (4)NaHCO 溶液的pH>7,NaHSO 溶液的pH<7,则,NaHCO 溶液中c(HCO) (填“>”“<”或“=”, 3 3 3 2 3 下同)c( ),NaHSO 溶液中c(HSO ) c( ) 3 2 3 【答案】(1) < c(H+)=c(CH COO-)+c(OH-) 3 (2) 碱 CHCOO-+H O CHCOOH+OH- 3 2 3 资料收集整理【淘宝店铺:向阳百分百】(3)ac (4) > < 【详解】(1)醋酸属于弱酸,发生部分电离使溶液显酸性,所以溶液①的pH小于7,满足电荷守恒,即 c(H+)=c(CH COO-)+c(OH-)。 3 (2)CHCOONa为强碱弱酸盐,水解生成氢氧根离子,使溶液呈碱性,离子方程式为CHCOO-+H O 3 3 2 CHCOOH+OH-。 3 (3)a.醋酸是弱电解质,部分电离,醋酸钠溶液中存在醋酸根离子的水解,两种溶液中醋酸根离子的浓 度都小于0.1mol/L,故a正确; b.由a分析可知,b错误; c.醋酸为弱电解质,部分电离出醋酸根离子,醋酸钠为强电解质,完全电离出醋酸根离子,存在醋酸根 离子的水解,但醋酸根离子的水解程度很小,所以CHCOOH溶液中c(CHCOO-)小于CHCOONa溶液中 3 3 3 c(CHCOO-),故c正确; 3 故选ac; (4)NaHCO 溶液的pH>7,则 的水解程度大于电离程度,故c( )c(H SO )。 2 3 17.(14分)NH Al(SO ) 常作食品加工中的食品添加剂,用于焙烤食品;NH HSO 在分析试剂、医药、 4 4 2 4 4 电子工业中用途广泛。请回答下列问题: (1)NH Al(SO ) 可作净水剂,其原理是 (用离子方程式说明)。 4 4 2 (2)相同条件下,0.1mol∙L-1NH Al(SO ) 溶液中的c( ) (填“等于”“大于”或“小 4 4 2 于”)0.1mol∙L-1NH HSO 溶液中的c( )。 4 4 (3)几种均为0.1mol∙L-1的电解质溶液的pH随温度变化的曲线如图所示。 ①其中符合0.1mol∙L-1NH Al(SO ) 溶液的pH随温度变化的曲线是 (填罗马数字),导致NH Al(SO ) 4 4 2 4 4 2 资料收集整理【淘宝店铺:向阳百分百】溶液的pH随温度变化的原因是 。 ②20℃时,0.1mol∙L-1NH Al(SO ) 溶液中2c c 3cAl3= molL1。 4 4 2 (4)室温时,向100mL0.1mol∙L-1NH HSO 溶液中滴加0.1mol∙L-1NaOH溶液,溶液pH与加入NaOH溶液体积 4 4 的关系曲线如图乙所示。 试分析图中a、b、c、d四个点,水的电离程度最大的是 点;在b点,溶液中各离子浓度由大到小 的排列顺序是 。 【答案】(1)Al3++3HO Al(OH) (胶体)+3H+ 2 3 (2)小于 (3) Ⅰ NH Al(SO ) 溶于水电离出的铵根离子和铝离子水解使溶液呈酸性,水解反应是吸热反应, 4 4 2 升高温度,铵根离子和铝离子的水解程度增大,溶液中氢离子浓度增大,溶液pH减小 10—3− c(OH—) (4) a c(Na+)>c(SO )>c(NH )>c(H+)=c(OH—) 【详解】(1)硫酸铝铵是强酸弱碱盐,在溶液中电离出的铝离子发生水解反应生成氢氧化铝胶体,表面 积很大的氢氧化铝胶体能吸附水中悬浮颗粒产生沉降,从而达到净化水的目的,水解的离子方程式为 Al3++3HO Al(OH) (胶体)+3H+,故答案为:Al3++3HO Al(OH) (胶体)+3H+; 2 3 2 3 (2)硫酸铝铵和硫酸氢铵在溶液中电离出的铵根离子在溶液中均发生水解反应,硫酸铝铵溶液中铝离子 水解生成的氢离子会抑制铵根离子水解,硫酸氢铵在溶液中电离出的氢离子抑制铵根离子的水解,等浓度 的硫酸氢铵在溶液中电离出的氢离子浓度大于硫酸铝铵在溶液中水解生成的氢离子浓度,抑制铵根离子的 水解程度大于硫酸铝铵,所以铵根离子浓度大于硫酸铝铵溶液,故答案为:小于; (3)①硫酸铝铵是强酸弱碱盐,在溶液中电离出的铵根离子和铝离子在溶液中水解使溶液呈酸性,水解 反应是吸热反应,升高温度,铵根离子和铝离子的水解程度增大,溶液中氢离子浓度增大,溶液pH减小, 则符合硫酸铝铵溶液的pH随温度变化的曲线是Ⅰ,故答案为:Ⅰ;NH Al(SO ) 溶于水电离出的铵根离子 4 4 2 和铝离子水解使溶液呈酸性,水解反应是吸热反应,升高温度,铵根离子和铝离子的水解程度增大,溶液 中氢离子浓度增大,溶液pH减小; 资料收集整理【淘宝店铺:向阳百分百】②由图可知,20 ℃时,0.1mol/L硫酸铝铵溶液的pH为3,由电荷守恒可知,溶液中2c(SO )—c(NH )—3 c(Al3+)= c(H+)—c(OH—)=[10—3− c(OH—)] mol/L,故答案为:10—3− c(OH—); (4)硫酸铵是强酸弱碱盐,在溶液中水解促进水的电离,一水合氨是弱碱,在溶液中电离出的氢氧根离 子抑制水的电离。加入100mLNaOH溶液时,硫酸氢铵溶液中的H+恰好被中和,溶液中的溶质为硫酸铵和 硫酸钠。a→d的过程中,随着NaOH溶液的加入,铵根离子浓度依次减小,一水合氨浓度依次增大,促进 水电离的程度减小,抑制水电离的程度增大,所以a点水的电离程度最大;b点加入的NaOH溶液大于 100mL,所以c(Na+)>c( ),溶质为硫酸铵、硫酸钠和一水合氨的混合溶液,溶液呈中性,由物料守恒 和电荷守恒可知,溶液中离子的浓度大小顺序为c(Na+)>c(SO )>c(NH )>c(H+)=c(OH—),故答案为: a;c(Na+)>c(SO )>c(NH )>c(H+)=c(OH—)。 18.(14分)I.我国《生活饮用水卫生标准》中规定生活用水中镉的排放量不超过 。处理含 镉废水可采用化学沉淀法。 (1)写出磷酸镉[ ]沉淀溶解平衡常数的表达式: 。 (2)一定温度下, 的 , 的 ,该温度下 [填“ ”或 “ ”]的饱和溶液中 浓度较大。 (3)向某含镉废水中加入 ,当 浓度达到 时,废水中 的浓度为 [已知: ],此时 (填“符合”或“不符合”)《生活饮用水卫生标准》。 II.根据题目提供的溶度积数据进行计算并回答下列问题: (4)已知25℃时, ;酸碱指示剂百里酚蓝变色的pH范围如下: pH 8.0~9.6 颜 黄色 绿色 蓝色 色 资料收集整理【淘宝店铺:向阳百分百】25℃时,向 饱和溶液中滴加2滴百里酚蓝指示剂,溶液所呈现的颜色为 。 (5)常温下,向50mL 的 溶液中加入50mL 的盐酸,生成沉淀。已知该温度 下, ,忽略溶液体积的变化。 ①反应后,溶液中 。 ②反应后,溶液的 。 ③如果向反应后的溶液中继续加入50mL 的盐酸, (填“有”或“无”)白色沉淀生成。 【答案】(1) (2) (3) 符合 (4)蓝色 (5) 2 无 【详解】(1)磷酸镉[ ]沉淀溶解平衡常数的表达式: 。 (2)当 达到沉淀溶解平衡时有 ,则该温度下 饱和溶液中 ,当 达到沉淀溶解平衡时有 ,则该温度下 饱和溶液中 ,则 的饱和溶液中 浓度较 大。 (3)当 时, 资料收集整理【淘宝店铺:向阳百分百】,符合《生活饮用水卫生标准》。 (4)25℃时, ,设 饱和溶液中 , 则 ,解得 ; , ,所以溶液呈蓝色。 (5)①常温下,向50mL 的 溶液中加入50mL 的盐酸,反应后溶液中 ,则溶液中 ; ②反应后,溶液中 ,则溶液的 ; ③再向反应后的溶液中加入50mL 盐酸,溶液中 、 , ,故无沉淀产生。 19.(14分)按要求回答下列问题 (1)一定温度下,现有a.盐酸,b.硫酸,c.醋酸三种酸 ①当三种酸体积相同,物质的量浓度相同时,使其恰好完全中和所需NaOH的物质的量由大到小的顺序 是 (用a、b、c表示) ②当三者c(H+)相同且体积也相同时,分别放入足量的锌,相同状况下产生气体的体积由大到小的顺序 是 (用a、b、c表示) ③当c(H+)相同、体积相同时,同时加入形状、密度、质量完全相同的锌,若产生相同体积的H(相同状况), 2 则开始时反应速率的大小关系为 (用a、b、c表示) (2)现用中和滴定法测定某烧碱溶液的浓度,有关数据记录如表: 资料收集整理【淘宝店铺:向阳百分百】所消耗盐酸标准液的体积 滴定序号 待测液体积 滴定前 滴定后 消耗的体积 1 2 3 ①用 式滴定管盛装0.2500mol/L盐酸标准液。如图表示第二次滴定前后50mL滴定管中液面的位置。 该次滴定所用标准盐酸体积为 mL。 ②现实验室中有石蕊和酚酞两种指示剂,该实验应选用 作指示剂。 ③根据所给数据,该烧碱样品的物质的量浓度为 。 ④若操作过程中滴加盐酸速度过快,未充分振荡,刚看到溶液变色,就立刻停止滴定,则会造成测定结果 (填“偏低”“偏高”或“无影响”)。 【答案】(1) b>a=c c>a=b a=b=c (2) 酸 24.60 酚酞 0.2632mol/L 偏低 【详解】(1)①三种酸体积相同、物质的量浓度也相同即物质的量相同,盐酸和醋酸都是一元酸,和 NaOH完全中和时,需要的NaOH的物质的量和一元酸的物质的量相等,所以盐酸和醋酸消耗的氢氧化钠 的物质的量相等;硫酸是二元酸,和NaOH完全中和时,需要的NaOH的物质的量是硫酸的物质的量的2 倍,所以三种酸和NaOH恰好完全中和所需NaOH的物质的量由大到小的顺序是b>a=c; ②三者c(H+)相同时 ,由于醋酸是弱酸,醋酸的浓度要大于盐酸的浓度,所以当盐酸和醋酸体积相同时, 醋酸的物质的量大于盐酸的物质的量,和足量的锌反应时,醋酸生成氢气的物质的量大于盐酸生成氢气的 物质的量。盐酸和硫酸都是强酸,完全电离,H+的物质的量相等,和足量的锌反应,生成氢气的物质的量 相等。相同状况下,气体体积和气体的物质的量成正比,所以相同状况下产生气体的体积由大到小的顺序 资料收集整理【淘宝店铺:向阳百分百】是c>a=b; ③形状、密度、质量完全相同的锌和三种酸反应,反应的实质是锌和H+反应,反应速率由c(H+)决定,所 以三种酸溶液中c(H+)相同时,开始时反应速率相等,即a=b=c; (2)①盐酸要用酸式滴定管盛装。从滴定管液面可以看出,滴定前液面在0.30mL处,滴定后液面在 24.90mL处,所以该次滴定所用标准盐酸体积为用24.60mL; ②石蕊颜色变化不明显,通常不用做酸碱中和滴定的指示剂,应选用酚酞作指示剂; ③分析三组数据,消耗盐酸的体积的第二组数据和其他两组差别较大,舍去,第一组和第三组消耗盐酸的 体积的平均值为26.32mL,盐酸和NaOH等物质的量反应,所以有0.2500mol/ L×0.02632L=c(NaOH)×0.02500L,可计算出c(NaOH)=0.2632mol/L; ④滴定操作开始时滴加盐酸的速度可以快一些,当快达到滴定终点时,一定要逐滴滴入,直到指示剂颜色 改变且摇动半分钟颜色不恢复,才可以停止滴定,等液面稳定之后再读数。若操作过程中滴加盐酸速度过 快,未充分振荡,刚看到溶液变色,就立刻停止滴定,则滴入的盐酸的体积偏小,会造成测定结果偏低。 资料收集整理【淘宝店铺:向阳百分百】