当前位置:首页>文档>难点特训(一)和勾股定理有关的压轴大题(解析版)_初中数学人教版_八年级数学下册_保存转存之后查看(1)_8下-初中数学人教版(2026春新版持续更新)_旧版-可参考_06习题试卷

难点特训(一)和勾股定理有关的压轴大题(解析版)_初中数学人教版_八年级数学下册_保存转存之后查看(1)_8下-初中数学人教版(2026春新版持续更新)_旧版-可参考_06习题试卷

  • 2026-04-26 00:26:11 2026-03-28 19:51:23

文档预览

难点特训(一)和勾股定理有关的压轴大题(解析版)_初中数学人教版_八年级数学下册_保存转存之后查看(1)_8下-初中数学人教版(2026春新版持续更新)_旧版-可参考_06习题试卷
难点特训(一)和勾股定理有关的压轴大题(解析版)_初中数学人教版_八年级数学下册_保存转存之后查看(1)_8下-初中数学人教版(2026春新版持续更新)_旧版-可参考_06习题试卷
难点特训(一)和勾股定理有关的压轴大题(解析版)_初中数学人教版_八年级数学下册_保存转存之后查看(1)_8下-初中数学人教版(2026春新版持续更新)_旧版-可参考_06习题试卷
难点特训(一)和勾股定理有关的压轴大题(解析版)_初中数学人教版_八年级数学下册_保存转存之后查看(1)_8下-初中数学人教版(2026春新版持续更新)_旧版-可参考_06习题试卷
难点特训(一)和勾股定理有关的压轴大题(解析版)_初中数学人教版_八年级数学下册_保存转存之后查看(1)_8下-初中数学人教版(2026春新版持续更新)_旧版-可参考_06习题试卷
难点特训(一)和勾股定理有关的压轴大题(解析版)_初中数学人教版_八年级数学下册_保存转存之后查看(1)_8下-初中数学人教版(2026春新版持续更新)_旧版-可参考_06习题试卷
难点特训(一)和勾股定理有关的压轴大题(解析版)_初中数学人教版_八年级数学下册_保存转存之后查看(1)_8下-初中数学人教版(2026春新版持续更新)_旧版-可参考_06习题试卷
难点特训(一)和勾股定理有关的压轴大题(解析版)_初中数学人教版_八年级数学下册_保存转存之后查看(1)_8下-初中数学人教版(2026春新版持续更新)_旧版-可参考_06习题试卷
难点特训(一)和勾股定理有关的压轴大题(解析版)_初中数学人教版_八年级数学下册_保存转存之后查看(1)_8下-初中数学人教版(2026春新版持续更新)_旧版-可参考_06习题试卷
难点特训(一)和勾股定理有关的压轴大题(解析版)_初中数学人教版_八年级数学下册_保存转存之后查看(1)_8下-初中数学人教版(2026春新版持续更新)_旧版-可参考_06习题试卷
难点特训(一)和勾股定理有关的压轴大题(解析版)_初中数学人教版_八年级数学下册_保存转存之后查看(1)_8下-初中数学人教版(2026春新版持续更新)_旧版-可参考_06习题试卷
难点特训(一)和勾股定理有关的压轴大题(解析版)_初中数学人教版_八年级数学下册_保存转存之后查看(1)_8下-初中数学人教版(2026春新版持续更新)_旧版-可参考_06习题试卷
难点特训(一)和勾股定理有关的压轴大题(解析版)_初中数学人教版_八年级数学下册_保存转存之后查看(1)_8下-初中数学人教版(2026春新版持续更新)_旧版-可参考_06习题试卷
难点特训(一)和勾股定理有关的压轴大题(解析版)_初中数学人教版_八年级数学下册_保存转存之后查看(1)_8下-初中数学人教版(2026春新版持续更新)_旧版-可参考_06习题试卷
难点特训(一)和勾股定理有关的压轴大题(解析版)_初中数学人教版_八年级数学下册_保存转存之后查看(1)_8下-初中数学人教版(2026春新版持续更新)_旧版-可参考_06习题试卷
难点特训(一)和勾股定理有关的压轴大题(解析版)_初中数学人教版_八年级数学下册_保存转存之后查看(1)_8下-初中数学人教版(2026春新版持续更新)_旧版-可参考_06习题试卷
难点特训(一)和勾股定理有关的压轴大题(解析版)_初中数学人教版_八年级数学下册_保存转存之后查看(1)_8下-初中数学人教版(2026春新版持续更新)_旧版-可参考_06习题试卷
难点特训(一)和勾股定理有关的压轴大题(解析版)_初中数学人教版_八年级数学下册_保存转存之后查看(1)_8下-初中数学人教版(2026春新版持续更新)_旧版-可参考_06习题试卷
难点特训(一)和勾股定理有关的压轴大题(解析版)_初中数学人教版_八年级数学下册_保存转存之后查看(1)_8下-初中数学人教版(2026春新版持续更新)_旧版-可参考_06习题试卷
难点特训(一)和勾股定理有关的压轴大题(解析版)_初中数学人教版_八年级数学下册_保存转存之后查看(1)_8下-初中数学人教版(2026春新版持续更新)_旧版-可参考_06习题试卷
难点特训(一)和勾股定理有关的压轴大题(解析版)_初中数学人教版_八年级数学下册_保存转存之后查看(1)_8下-初中数学人教版(2026春新版持续更新)_旧版-可参考_06习题试卷
难点特训(一)和勾股定理有关的压轴大题(解析版)_初中数学人教版_八年级数学下册_保存转存之后查看(1)_8下-初中数学人教版(2026春新版持续更新)_旧版-可参考_06习题试卷
难点特训(一)和勾股定理有关的压轴大题(解析版)_初中数学人教版_八年级数学下册_保存转存之后查看(1)_8下-初中数学人教版(2026春新版持续更新)_旧版-可参考_06习题试卷
难点特训(一)和勾股定理有关的压轴大题(解析版)_初中数学人教版_八年级数学下册_保存转存之后查看(1)_8下-初中数学人教版(2026春新版持续更新)_旧版-可参考_06习题试卷
难点特训(一)和勾股定理有关的压轴大题(解析版)_初中数学人教版_八年级数学下册_保存转存之后查看(1)_8下-初中数学人教版(2026春新版持续更新)_旧版-可参考_06习题试卷
难点特训(一)和勾股定理有关的压轴大题(解析版)_初中数学人教版_八年级数学下册_保存转存之后查看(1)_8下-初中数学人教版(2026春新版持续更新)_旧版-可参考_06习题试卷
难点特训(一)和勾股定理有关的压轴大题(解析版)_初中数学人教版_八年级数学下册_保存转存之后查看(1)_8下-初中数学人教版(2026春新版持续更新)_旧版-可参考_06习题试卷
难点特训(一)和勾股定理有关的压轴大题(解析版)_初中数学人教版_八年级数学下册_保存转存之后查看(1)_8下-初中数学人教版(2026春新版持续更新)_旧版-可参考_06习题试卷
难点特训(一)和勾股定理有关的压轴大题(解析版)_初中数学人教版_八年级数学下册_保存转存之后查看(1)_8下-初中数学人教版(2026春新版持续更新)_旧版-可参考_06习题试卷
难点特训(一)和勾股定理有关的压轴大题(解析版)_初中数学人教版_八年级数学下册_保存转存之后查看(1)_8下-初中数学人教版(2026春新版持续更新)_旧版-可参考_06习题试卷
难点特训(一)和勾股定理有关的压轴大题(解析版)_初中数学人教版_八年级数学下册_保存转存之后查看(1)_8下-初中数学人教版(2026春新版持续更新)_旧版-可参考_06习题试卷
难点特训(一)和勾股定理有关的压轴大题(解析版)_初中数学人教版_八年级数学下册_保存转存之后查看(1)_8下-初中数学人教版(2026春新版持续更新)_旧版-可参考_06习题试卷
难点特训(一)和勾股定理有关的压轴大题(解析版)_初中数学人教版_八年级数学下册_保存转存之后查看(1)_8下-初中数学人教版(2026春新版持续更新)_旧版-可参考_06习题试卷
难点特训(一)和勾股定理有关的压轴大题(解析版)_初中数学人教版_八年级数学下册_保存转存之后查看(1)_8下-初中数学人教版(2026春新版持续更新)_旧版-可参考_06习题试卷
难点特训(一)和勾股定理有关的压轴大题(解析版)_初中数学人教版_八年级数学下册_保存转存之后查看(1)_8下-初中数学人教版(2026春新版持续更新)_旧版-可参考_06习题试卷
难点特训(一)和勾股定理有关的压轴大题(解析版)_初中数学人教版_八年级数学下册_保存转存之后查看(1)_8下-初中数学人教版(2026春新版持续更新)_旧版-可参考_06习题试卷
难点特训(一)和勾股定理有关的压轴大题(解析版)_初中数学人教版_八年级数学下册_保存转存之后查看(1)_8下-初中数学人教版(2026春新版持续更新)_旧版-可参考_06习题试卷
难点特训(一)和勾股定理有关的压轴大题(解析版)_初中数学人教版_八年级数学下册_保存转存之后查看(1)_8下-初中数学人教版(2026春新版持续更新)_旧版-可参考_06习题试卷
难点特训(一)和勾股定理有关的压轴大题(解析版)_初中数学人教版_八年级数学下册_保存转存之后查看(1)_8下-初中数学人教版(2026春新版持续更新)_旧版-可参考_06习题试卷
难点特训(一)和勾股定理有关的压轴大题(解析版)_初中数学人教版_八年级数学下册_保存转存之后查看(1)_8下-初中数学人教版(2026春新版持续更新)_旧版-可参考_06习题试卷
难点特训(一)和勾股定理有关的压轴大题(解析版)_初中数学人教版_八年级数学下册_保存转存之后查看(1)_8下-初中数学人教版(2026春新版持续更新)_旧版-可参考_06习题试卷
难点特训(一)和勾股定理有关的压轴大题(解析版)_初中数学人教版_八年级数学下册_保存转存之后查看(1)_8下-初中数学人教版(2026春新版持续更新)_旧版-可参考_06习题试卷
难点特训(一)和勾股定理有关的压轴大题(解析版)_初中数学人教版_八年级数学下册_保存转存之后查看(1)_8下-初中数学人教版(2026春新版持续更新)_旧版-可参考_06习题试卷
难点特训(一)和勾股定理有关的压轴大题(解析版)_初中数学人教版_八年级数学下册_保存转存之后查看(1)_8下-初中数学人教版(2026春新版持续更新)_旧版-可参考_06习题试卷
难点特训(一)和勾股定理有关的压轴大题(解析版)_初中数学人教版_八年级数学下册_保存转存之后查看(1)_8下-初中数学人教版(2026春新版持续更新)_旧版-可参考_06习题试卷
难点特训(一)和勾股定理有关的压轴大题(解析版)_初中数学人教版_八年级数学下册_保存转存之后查看(1)_8下-初中数学人教版(2026春新版持续更新)_旧版-可参考_06习题试卷
难点特训(一)和勾股定理有关的压轴大题(解析版)_初中数学人教版_八年级数学下册_保存转存之后查看(1)_8下-初中数学人教版(2026春新版持续更新)_旧版-可参考_06习题试卷
难点特训(一)和勾股定理有关的压轴大题(解析版)_初中数学人教版_八年级数学下册_保存转存之后查看(1)_8下-初中数学人教版(2026春新版持续更新)_旧版-可参考_06习题试卷
难点特训(一)和勾股定理有关的压轴大题(解析版)_初中数学人教版_八年级数学下册_保存转存之后查看(1)_8下-初中数学人教版(2026春新版持续更新)_旧版-可参考_06习题试卷
难点特训(一)和勾股定理有关的压轴大题(解析版)_初中数学人教版_八年级数学下册_保存转存之后查看(1)_8下-初中数学人教版(2026春新版持续更新)_旧版-可参考_06习题试卷
难点特训(一)和勾股定理有关的压轴大题(解析版)_初中数学人教版_八年级数学下册_保存转存之后查看(1)_8下-初中数学人教版(2026春新版持续更新)_旧版-可参考_06习题试卷
难点特训(一)和勾股定理有关的压轴大题(解析版)_初中数学人教版_八年级数学下册_保存转存之后查看(1)_8下-初中数学人教版(2026春新版持续更新)_旧版-可参考_06习题试卷
难点特训(一)和勾股定理有关的压轴大题(解析版)_初中数学人教版_八年级数学下册_保存转存之后查看(1)_8下-初中数学人教版(2026春新版持续更新)_旧版-可参考_06习题试卷
难点特训(一)和勾股定理有关的压轴大题(解析版)_初中数学人教版_八年级数学下册_保存转存之后查看(1)_8下-初中数学人教版(2026春新版持续更新)_旧版-可参考_06习题试卷

文档信息

文档格式
docx
文档大小
1.803 MB
文档页数
50 页
上传时间
2026-03-28 19:51:23

文档内容

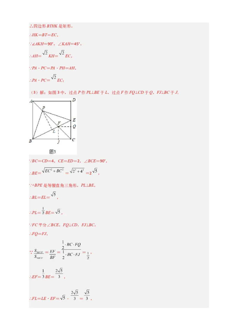
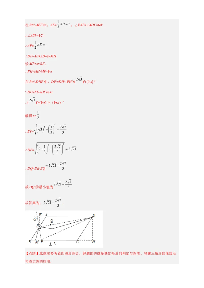
难点特训(一)和勾股定理有关的压轴大题 1.正方形 中, , 分别为 , 上一点, , , 交于点 , 为 的中点. (1)求证: ≌ ; (2)求证: ; (3)求证: 【答案】(1)见解析 (2)见解析 (3)见解析 【分析】(1)根据四边形ABCD是正方形,判定 (2)根据全等的性质可得 ,再根据 ,得出 ,进 而得到 即 (3)连接OC,在 取点H,使得 ,连接OH,证明 为等腰直角三角形,进而得 出 再判定 得出 根据 即可得到 (1) 证明:∵ 四边形 是正方形 , 在 和 中,(2) 证明: , 又 ,即 (3) 证明:如图,连接OC, 在 取点H,使得 ,连接OH ∵ O为BD的中点,即O为正方形的对称中心, ∴ 是等腰直角三角形, 由(1)知 在 和 中, 又 是等腰直角三角形 在 和 中,【点睛】本题主要考查了正方形的性质,全等三角形的判定与性质以及等腰直角三角形性质的综 合应用,解决问题的关键是证出 是等腰直角三角形,依据全等三角形的对应边相等进行求 解. 2.在平面直角坐标系xOy中,点B、C的坐标分别为(0,0)、(12,0),点A在第一象限,且 △ABC是等边三角形.点D的坐标为(4,0),E是边AB上一动点,连接DE,以DE为边在DE 右侧作等边△DEF. (1)求出A点坐标; (2)当点F落在边AC上时,△CDF与△BED全等吗?若全等,请给予证明;若不全等,请说明理 由; (3)连接CF,当△CDF是等腰三角形时, ______. 【答案】(1)A(6, ); (2)△CDF≌△BED,证明见解析; (3)10+2 或6或2+2 . 【分析】(1)如图1中,过点A作AH⊥BCA于点H.解直角三角形求出BH,AH,可得结论;(2)如图2中,结论:△CDF≌△BED.根据AAS证明三角形全等即可; (3)分三种情形:如图3−1中,当CD=CF时,过点C作CJ⊥DF于点J,过点D作DK⊥BE于点 K.如图3−2中,当FD=FC时,过点F作FT⊥CD于点T.如图3−3中,当DF=DC=8时,DE =DF=8,分别求出KE,BK可得结论. (1) 解:如图1中,过点A作AH⊥BC于点H. ∵C(6,0), ∴BC=6, ∵△ABC是等边三角形,AH⊥BC, ∴∠ABH=60°,BH=HC=6, ∴ , ∴A(6, ); (2) 如图2中,结论:△CDF≌△BED. 理由:∵△DEF是等边三角形,△ABC是等边三角形, ∴∠EDF=∠ABC=60°,DE=DF, ∵∠EDC=∠ABC+∠DEB=∠EDF+∠FDC,∴∠DEB=∠CDF, 在△CDF和△BED中, , ∴△CDF≌△BED(AAS); (3) 如图3−1中,当CD=CF时,过点C作CJ⊥DF于点J,过点D作DK⊥BE于点K,过点F作 FP⊥CD于点P. 设DE=DF=x, ∵D(4,0), ∴OD=4, ∵∠DKB=90°,∠DOK=60°, ∴∠BDK=30°, ∴BK= OD=2, . ∵CD=CF,CJ⊥DF, ∴DJ=FJ= x, ∵∠DKE=∠FPD=90°,∠DEK=∠FDP,DE=FD, ∴△DKE≌△FPD(AAS), ∴EK=DP,DK=FP= , ∵S CDF= •CD•FP= •DF•CJ, △∴ , 解得, 或 (舍去), ∴ ∴ ∴EK= , ∴BE=BK+EK= ; 如图3−2中,当FD=FC时,过点F作FT⊥CD于点T. ∵FD=FC,FT⊥CD, ∴DT=TC=4, ∵∠DKE=∠DTF=90°,∠DEK=∠FDT,DE=DF, ∴△EKD≌△DTF(AAS), ∴EK=DT=4, ∴BE=BK+EK=2+4=6; 如图3−3中,当DF=DC=8时,DE=DF=8,∴ , ∴BE=BK+EK=2+2 , 综上所述,满足条件的BE的值为10+2 或6或2+2 , 故答案为:10+2 或6或2+2 . 【点睛】本题属三角形综合题,考查了等边三角形的性质,勾股定理,全等三角形的判定和性质 等知识,解题的关键是学会添加常用辅助线,构造全等三角形解决问题,学会用分类讨论的思想 思考问题,属于中考压轴题. 3.在□ABCD中,连接BD,若 ,点E为边AD上一点,连接CE. (1)如图1,点G在BD上,连接CG,过G作 于点H,连接DH并延长交AB于点M.求 证: ; (2)如图1,在(1)的前提下,若 , .求证: ; (3)如图2, , ,点N在BC边上, ,若CE是 的角平分线, 线段PQ(点P在点Q的左侧)在线段CE上运动, ,连接BP,NQ,求 的最小值. 【答案】(1)见解析 (2)见解析 (3) 【分析】(1)设CH与DG相交于K,根据直角三角形的性质和对顶角相等求解即可;(2)过点D作DF⊥DM,交CE于F,先证明△DCF≌△DGH(ASA),得到△FDH是等腰直角三 角形,求得HF= DH,再证明△DMB≌△CGH(AAS)证得CF=BM,DB=CH即可证得结论; (3)在图2中,过B作BF∥PQ,且BF= ,连接QF、GF、DF,根据平行四边形的判定 和性质以及角平分线的对称性可得BP=FQ,点N关于CE的对称点G在CD上,连接QG,则 QG=QN,CG=CN, 由BP+PQ+QN=FQ+QG+PQ≥FG+ ,(当F、Q、G共线时取等号),知BP+PQ+QN的最小值 是FG的长,过点F作FM⊥BD于M,过点G作GH⊥DF于H,利用平行四边形的性质和含30°的 直角三角形的三边关系以及勾股定理及其逆定理分别求得FH、HG即可解答. (1) 证明:设CH与DG相交于K, ∵BD⊥CD,GH⊥CE, ∴∠CDK=∠GHK=90°, ∴∠HGD+∠GKH=∠DCE+∠DKC=90°, ∵∠GKH=∠DKC, ∴∠HGD=∠DCE; (2) 证明:在图1中,过点D作DF⊥DM,交CE于F, ∵BD⊥CD,DF⊥DM, ∴∠CDG=∠FDH=90°, ∴∠CDF=∠GDH, 在△DCF和△DGH中,, ∴△DCF≌△DGH(ASA), ∴DF=DH,CF=HG, ∴△FDH是等腰直角三角形, ∴∠DHF=∠DFH=45°,HF= DH, ∵DC=DG,∠CDG=90°, ∴∠DGC=∠DCG=45°, ∴∠DGC=∠DHF, ∵∠DGC+∠GCH+∠CKG=∠DHF+∠BDM+∠DKH=180°,∠CKG=∠DKH, ∴∠GCH=∠BDM, ∵四边形ABCD是平行四边形, ∴AB∥CD, ∴∠MBD=∠CDG=90°,则∠MBD=∠GHC=90°, 在△DMB和△CGH, , ∴△DMB≌△CGH(AAS), ∴DB=CH, ∵CF=HG,BM=HG, ∴CF=BM, ∵CF+HF=CH, ∴BM+ DH=DB; (3) 解:在图2中,过B作BF∥PQ,且BF= ,连接QF、DF,则四边形PBFQ是平行四边形, ∴BP=FQ, ∵CE是∠DCB的平分线,∴点N关于CE的对称点G在CD上,连接QG,GF、则QG=QN,CG=CN, ∴BP+PQ+QN=FQ+QG+PQ≥FG+ ,(当F、Q、G共线时取等号), ∴BP+PQ+QN的最小值是FG的长, 过点F作FM⊥BD于M,过点G作GH⊥DF于H, ∵四边形ABCD是平行四边形,∠ABC=120°, ∴∠DCB=60°,CD=AB= ,又∠CDB=90°, ∴∠DBC=30°,则BC=2CD=2 ,BD= CD= , ∵CE平分DCB, ∴∠DCE=∠BCE= ∠DCB=30°,又BF∥CE, ∴∠CBF=∠BCE=30°,则∠MBF=60°, ∵FM⊥BD, ∴∠BFM=30°,则BM= BF= ,FM= BM= , ∴DM=BD-BM= ,则DF= , ∴BD2=DF2+BF2, ∴∠BFD=90°即BF⊥DF,又BF∥CE, ∴CE⊥DF,又GH⊥DF, ∴GH∥CE,∠DHG=90°, ∴∠DGH=∠DCE=30°, ∵BC=4CN=2 , ∴CN= =CG, ∴DG=CD-CG= , 在Rt△DHG中,DH= DG= ,HG= DH= ,∴FH=DF-DH= , 在Rt△FHG中,FG= , ∴BP+PQ+QN的最小值是 . 【点睛】本题是四边形的综合题,主要考查平行四边形的判定与性质、含30°直角三角形的边角关 系、平行线的判定与性质、勾股定理及其逆定理、角平分线的性质、等腰直角三角形的判定与性 质、全等三角形的判定与性质、最短路径问题等知识,涉及知识点较多,难度较难,熟练掌握相 关知识的联系与运用,添加辅助线解决问题是解答的关键. 4.如图,在矩形ABCD中,AB=8,BC=16,点P从点D出发向点A运动,运动到点A停止,同 时,点Q从点B出发向点C运动,运动到点C即停止,点P、Q的速度都是每秒1个单位,连接 PQ、AQ、CP,设点P、Q运动的时间为t秒. (1)当t= 时,四边形ABQP是矩形; (2)当t=6时,判断四边形AQCP的形状,并说明理由; (3)直接写出以PQ为对角线的正方形面积为96时t的值; (4)整个运动当中,线段PQ扫过的面积是 . 【答案】(1)8,(2)菱形,理由见解析,(3)8﹣4 或8+4 ;(4)64. 【分析】(1)由矩形性质得出BC=AD=16,AB=CD=8,由已知可得,BQ=DP=t,AP=CQ =16﹣t,当BQ=AP时,四边形ABQP为矩形,得出方程,解方程即可; (2)t=6时,BQ=6,DP=6,得出CQ=16﹣6=10,AP=16﹣6=10,AP=CQ,AP∥CQ,四边形AQCP为平行四边形,在Rt△ABQ中,由勾股定理求出AQ=10,得出AQ=CQ,即可得出结 论; (3)分两种情况:求出正方形的边长为4 ,则对角线PQ为8 ,由勾股定理求出QM的长, 由题意得出方程,解方程即可; (4)连接AC、BD,AC、BC相交于点E,线段PQ扫过的面积=△AED的面积+△BEC的面积, 即可得出结果. 【详解】解:(1)∵在矩形ABCD中,AB=8,BC=16, ∴BC=AD=16,AB=CD=8, 由已知可得,BQ=DP=t,AP=CQ=16﹣t, 在矩形ABCD中,∠B=90°,AD∥BC, 当BQ=AP时,四边形ABQP为矩形, ∴t=16﹣t, 解得:t=8, ∴当t=8s时,四边形ABQP为矩形; 故答案为:8 (2)四边形AQCP为菱形;理由如下: ∵t=6, ∴BQ=6,DP=6, ∴CQ=16﹣6=10,AP=16﹣6=10, ∴AP=CQ,AP∥CQ, ∴四边形AQCP为平行四边形, 在Rt△ABQ中,AQ= = =10, ∴AQ=CQ, ∴平行四边形AQCP为菱形, ∴当t=6时,四边形AQCP为菱形; (3)∵正方形面积为96, ,∴正方形的边长为:4 ,∴PQ= ×4 =8 ; 分两种情况: ①如图1所示:作PM⊥BC于M, 则PM=AB=8,DP=BQ=t,AP=BM=16﹣t,由勾股定理得:QM= =8 , BM=BQ+QM, ∴t+8 =16﹣t, 解得:t=8﹣4 ; ②如图2所示:DP=BQ=t,AP=BM=16﹣t, ∵BQ=BM+QM, ∴16﹣t+8 =t, 解得:t=8+4 ; 综上所述,以PQ为对角线的正方形面积为96时t的值为:8﹣4 或8+4 ; (4)连接AC、BD,AC、BC相交于点E, 则整个运动当中,线段PQ扫过的面积是:△AED的面积+△BEC的面积,如图3所示: ∵△AED的面积+△BEC的面积= 矩形ABCD的面积, ∴整个运动当中,线段PQ扫过的面积= 矩形ABCD的面积= ×AB×BC= ×8×16=64. 故答案为:64.【点睛】本题考查了正方形的判定与性质、矩形的判定与性质、菱形的判定、勾股定理、平行四 边形的判定、三角形面积公式以及分类讨论等知识;熟练掌握正方形的判定与性质和勾股定理是 解题关键. 5.已知,如图,在 ABC中,AB=AC=20cm,BD⊥AC于D,且BD=16cm.点M从点A出发,沿 AC方向匀速运动,速△度为4cm/s;同时点P由B点出发,沿BA方向匀速运动,速度为lcm/s,过 点P的动直线PQ∥AC,交BC于点Q,连结PM,设运动时间为t(s)(0<t<5),解答下列问题: (1)线段AD=___cm; (2)求证:PB=PQ; (3)当t为何值时,以P、Q、D、M为顶点的四边形为平行四边形. 【答案】(1)AD=12cm;(2)证明见解析;(3)t= s或4s 【分析】(1)由勾股定理求出AD即可; (2)由等腰三角形的性质和平行线的性质得出∠PBQ=∠PQB,再由等腰三角形的判定定理即可得 出结论; (3)分两种情况:①当点M在点D的上方时,根据题意得:PQ=BP=t,AM=4t,AD=12,得出 MD=AD-AM=12-4t,由PQ∥MD,当PQ=MD时,四边形PQDM是平行四边形,得出方程,解方程 即可; ②当点M在点D的下方时,根据题意得:PQ=BP=t,AM=4t,AD=12,得出MD=AM-AD=4t-12,由PQ∥MD,当PQ=MD时,四边形PQDM是平行四边形,得出方程,解方程即可. 【详解】(1)解:∵BD⊥AC, ∴∠ADB=90°, ∴AD= , 故答案为:12; (2)证明:∵AB=AC, ∴∠ABC=∠C,即∠PBQ=∠C, ∵PQ∥AC, ∴∠PQB=∠C, ∴∠PBQ=∠PQB, ∴PB=PQ; (3)分两种情况: ①当点M在点D的上方时,如图所示 根据题意得:PQ=BP=t,AM=4t,AD=12, ∴MD=AD-AM=12-4t, ∵PQ∥AC, ∴PQ∥MD, 当PQ=MD时,四边形PQDM是平行四边形, ∴t=12-4t, 解得:t= (s); ②当点M在点D的下方时,如图所示:根据题意得:PQ=BP=t,AM=4t,AD=12, ∴MD=AM-AD=4t-12, ∵PQ∥AC, ∴PQ∥MD, 当PQ=MD时,四边形PQDM是平行四边形, ∴t=4t-12, 解得:t=4(s); 综上所述,当t= s或t=4s时,以P、Q、D、M为顶点的四边形为平行四边形. 【点睛】本题是四边形综合题目,考查了平行四边形的判定、等腰三角形的判定与性质、勾股定 理、相似三角形的判定与性质、三角形面积公式以及分类讨论等知识;本题综合性强,熟练掌握 平行四边形的判定方法,进行分类讨论是解决问题(3)的关键. 6.平面直角坐标系中,矩形AOBC的顶点C的坐标为(m,n),m、n满足m﹣8 . (1)m=______,n=_______; (2)如图1,连接AB、OC交于点D,过点D作DM⊥DB交x轴于点M,求点M的坐标;(3)如图2,E、F分别为OB、BC上的动点,以AE、EF为边作矩形AEFQ,连接EQ、CQ,当EQ =2CQ时,求点Q的纵坐标. 【答案】(1)4;8; (2)M(3,0) (3) 【分析】(1)根据由二次根式的性质可得n=4,m=8; (2)连接 ,首先利用勾股定理求出AB的长,根据垂直平分线的性质可得AM=BM,设 , 中勾股定理即可求解; (3)连接AF交EQ于点P,连接CP,过点Q作QH⊥y轴于点H,交BC的延长线于G,设CE交 QF于N,利用矩形的性质以及直角三角形斜边上的中线等于斜边的一半,可得 , 可得 是等边三角形,进而根据三角形内角和定理以及三角形外角的性质,等边对等角得出 ,利用含30°角的直角三角形的性质以及勾股定理,从而解决问题. (1) 解:由 有意义得:n﹣4≥0, ∴n≥4, 由 有意义得:4﹣n≥0, ∴n≤4, ∴n=4, 把n=4代入m﹣8 得:m=8, 故答案为:4;8; (2) 连接 ,如图,∵m=8,n=4, ∴C(8,4), ∵四边形AOBC是矩形, ∴AO=4,BO=8,AD=BD, ∵DM⊥DB, , 设 ,则 在 中, 解得 (3) 如图,连接AF交EQ于点P,连接CP,过点Q作QH⊥y轴于点H, ∵四边形AEFQ是矩形, ∴AF=EQ,PF=PA ,PE=PQ ,∠QAE=∠AEF=∠EFQ=90°,AQ=EF,∴PF , ∵四边形AOBC是矩形, ∴∠ACB=∠OBC=∠AOB=90°, 又∵PF=PA, ∴PC=PF , ∴PC , ∴PC=PE=PQ, ∵EQ=2CQ, ∴ 是等边三角形, , , 设 , 则 , , , , , , , , , , , , , , , 在Rt△AOE中,∠OAE=30°,AO=4,∴OE= =4 , ∴BE=BO﹣OE=8 , 在Rt△BEF中,∠BEF=30°, ∴ ∴AQ=EF , 在Rt△AQH中,∠QAH=60°, ∴∠AQH=30°, ∴AH , ∴OH=AO+AH=4 , ∴点Q的纵坐标为 . 【点睛】本题是四边形综合题,主要考查了矩形性质,二次根式的非负性,含30°角的直角三角形 的性质,相似三角形的判定与性质等知识,证明∠OAE=30°是解决问题(3)的关键. 7.如图,点P为正方形ABCD的对角转AC上一动点,过点P作PE⊥PB交射线DC于点E. (1)如图1,当点E在边CD上时,求证:PB=PE; (2)如图2,当点E在DC的延长线上时,探求线段PA、PC、CE的数量关系并加以证明; (3)如图3,在(1)的条件下,连接BE交AC于点F,若正方形ABCD的边长为4,当点E为CD的中点,则PF= (请直接写出结果). 【答案】(1)见解析;(2)AP﹣PC= EC.证明见解析;(3) . 【分析】(1)如图1,连接PD.分别证明PB=PD,PE=PD即可证明结论. (2)结论:AP﹣PC= EC.如图2中,过点P作PT⊥PC交BC于T,过点T作TH⊥BC交AC 于H,过点H作HK⊥AB于K,设PE交BC于点O.想办法证明HK=BT=EC,PC=PH,AH= HK,即可证明结论; (3)如图3中,过点P作PL⊥BE于L,过点F作FQ⊥CD于Q,FJ⊥BC于J.想办法求出PL, LF,再利用勾股定理,即可证明结论. 【详解】(1)证明:如图1,连接PD. ∵四边形ABCD是正方形, ∴CB=CD,∠PCB=∠PCD=45°, 在△PCB和△PCD中, , ∴△PCB≌△PCD(SAS), ∴PB=PD,∠CBP=∠CDP, ∵PE⊥PB, ∴∠BPE=∠BCE=90°, ∴∠CBP+∠CEP=180°, ∵∠CEP+∠PED=180°, ∴∠PED=∠CBP, ∴∠PED=∠CDP,∴PE=PD, ∴PB=PE; (2)解:结论:AP﹣PC= EC.理由如下: 如图2,过点P作PT⊥PC交BC于T,过点T作TH⊥BC交AC于H,过点H作HK⊥AB于K,设 PE交BC于点O. ∵∠ECO=∠BPO=90°,∠EOC=∠BOP, ∴∠E=∠PBT, ∵∠BPE=∠TPC=90°, ∵∠BPT=∠EPC, ∵∠PCE=∠PTC=45°, ∴PT=PC, 在△BPT和△EPC中, , ∴△BPT≌△EPC(AAS), ∴BT=EC, ∵HT⊥BC, ∴∠TCH=∠THC=45°, ∴CT=TH, ∵TP⊥CH, ∴PC=PH, ∵HK⊥AB, ∴∠HKB=∠KBT=⊥HTB=90°,∴四边形BTHK是矩形, ∴HK=BT=EC, ∵∠AKH=90°,∠KAH=45°, ∴AH= KH= EC, ∵PA﹣PC=PA﹣PH=AH, ∴PA﹣PC= EC; (3)解:如图3中,过点P作PL⊥BE于L,过点F作FQ⊥CD于Q,FJ⊥BC于J. ∵BC=CD=4,CE=ED=2,∠BCE=90°, ∴BE= = =2 , ∵△BPE是等腰直角三角形,PL⊥BE, ∴BL=EL= , ∴PL= BE= , ∵FC平分∠BCE,FQ⊥CD,FJ⊥BC, ∴FQ=FJ, ∵ = = = , ∴EF= BE= , ∴FL=LE﹣EF= ﹣ = ,∴PF= = = . 【点睛】本题主要考查了正方形的性质、矩形的判定与性质、全等三角形的判定与性质、勾股定 理的应用,灵活运用相关知识成为解答本题的关键. 8.如图,我们把对角线互相垂直的四边形叫做“垂美四边形”. (1)性质探究:如图1.已知四边形ABCD中,AC⊥BD.垂足为O,求证:AB2+CD2=AD2+BC2; (2)解决问题:已知AB=5 .BC=4 ,分别以△ABC的边BC和AB向外作等腰Rt△BCE 和等腰Rt△ABD; ①如图2,当∠ACB=90°,连接DE,求DE的长; ②如图3.当∠ACB≠90°,点G、H分别是AD、AC中点,连接GH.若GH=2 ,则S ABC= △ . 【答案】(1)见解析;(2)① ;② 【分析】(1)根据AC⊥BD可以得到∠AOB =∠COD=90°即可得到AB²=AO²+OB²,CD² =DO²+OC² 即AB²+CD²=AO²+OB²+DO²+OC²同理可以得到AD²+BC²=AO²+OB²+DO²+OC²即可得到答案; (2)连DC、AE相交于点F,先证明△ABE≌△DBC得到∠CDB=∠BAE从而证得AE⊥CD再利用勾 股定理和(1)中的结论求解即可得到答案; (3)连DC、AE相交于点F,作CP⊥BD交DB延长线于点P,BP²+CP²=BC²=(4 )²=32, DP²+PC²=DC²=( )²=96,(DP²+PC²)-(BP²+CP²)=96-32=64,DP²-BP²=64从而求出BP= , 再证明AB∥PC则S ABC= AB×BP. △ 【详解】解:(1)证明:∵AC⊥BD∴∠AOB=90° 在Rt△AOB中AB²=AO²+OB² ∴∠COD=90° 在Rt△COD中CD² =DO²+OC² ∴AB²+CD²=AO²+OB²+DO²+OC² 同理AD²+BC²=AO²+OB²+DO²+OC² ∴AB2+CD2=AD2+BC² (2) ①解:连DC、AE相交于点F ∵Rt△BCE和Rt△ABD是等腰三角形 ∴BE=BCAB=BD ∠CBE=∠ABD=90° ∴∠ABE=∠DBC=90°+∠ABC ∴△ABE≌△DBC ∴∠CDB=∠BAE ∵∠ABD=90° ∴∠CDB+∠CDA+∠DAB=90° ∴∠BAE+∠CDA+∠DAB=90° ∴∠AFD=90° ∴AE⊥CD ∵AB=5 ,BC=4 ∠ACB=90° ∴AC= ∵AB=5 ,BD=5 ∠ABD=90° ∴AD=∵BC=4 ,BE=4 ∠CBE=90° ∴CE= 由(1)中结论AD²+EC²=AC²+DE² ∴(10)²+(8)²=(3 )²+DE² ∴DE= ②连DC、AE相交于点F ∵点G、H分别是AD、AC中点,GH= ∴DC=2GH= 作CP⊥BD交DB延长线于点P BP²+CP²=BC²=(4 )²=32 DP²+PC²=DC²=( )²=96 ∴(DP²+PC²)-(BP²+CP²)=96-32=64 ∴DP²-BP²=64 ∴(BD+BP)²-BP²=64 ∴(5 +BP)²-BP²=64 ∴BP= ∵∠PBA=90°,∠P=90°,∴∠PBA+∠P=90°+90°=180° ∴AB∥PC 则S ABC= AB×BP= ×5 × △ 【点睛】本题主要考查了四边形的综合问题,等腰直角三角形的性质,全等三角形的性质与判定, 勾股定理,垂直的定义,解题的关键在于能够熟练掌握相关知识进行求解. 9.已知平行四边形ABCD中,AD=2AB. (1)作∠ABC的平分线BM交AD于M,连CM. ①如图1,求∠BMC的度数; ②如图2,若∠ADC=90°,点P是AD延长线上一点,BP交CM于N,CG⊥BP垂足为H,交AD 于G,求证:BN=CG+GN; (2)如图3,若∠ADC=60°,AB=4,E是AB的中点,P是BC边上一动点,将EP逆时针旋转 90°得到线段EQ,连DQ,直接写出DQ的最小值 . 【答案】(1)①90°②见解析(2) 【分析】(1)①根据平行四边形的性质及角平分线的特点即可求解 ②延长CG∠BM延长线于K,证明△BMC是等腰直角三角形,再证明△BMN≌△KMC、 △KMG≌△NMG,故可求解; (2)连接DE,作EP⊥DE,此时DQ最短,作DA延长线,PE延长线交于G,过E点作作 FM⊥AG,证明△GDP是等腰三角形,作DH⊥BC延长线于H点,证明四边形FDHM是矩形,设 MP=x=GF,利用勾股定理找到关系式列出方程求出MP,再求出EP、DE,故可求解.【详解】(1)①∵BM平分∠ABC ∴∠ABM=∠CBM ∵平行四边形ABCD中AD BC ∴∠AMB=∠CBM ∴∠AMB=∠CBM=∠ABM ∴AM=AB 又AD=2AB ∴AM=MD=AB ∵AB=DC ∴MD=DC ∴∠DMC=∠BCM ∵AD BC ∴∠BCM=∠DMC=∠DCM ∵AB CD ∴∠ABC+∠BCD=180° ∴∠CBM+∠BCM=90° ∴∠BMC=180°-∠CBM+∠BCM=90°; ②延长CG交BM延长线于K ∵在平行四边形ABCD中,∠ADC=90° ∴平行四边形ABCD为矩形 ∵BM平分∠ABC ∴∠ABM=∠AMB= ∠ABC= ∠ADC=45° 由(1)可得∠AMB=∠CBM=45°,∠BMC=90° ∴∠CMD=180°-(∠BMC+∠AMB)=45°=∠BCM,∠DMK=∠AMB=45° ∴△MBC是等腰直角三角形 ∴BM=MC ∵∠BNM=∠PNC,∠BMC=90°,CG⊥BP ∴∠MBN=90°-∠BNM,∠MCK=90°-∠PNC ∴∠MBN=∠MCK ∴△BMN≌△CMK(AAS) ∴BN=KC,MK=MN ∵MK=MN,∠KMG=∠NMG=45°,MG=MG∴△KMG≌△NMG(SAS) ∴KG=NG ∴BN=CK=CG+KG=CG+GN 故BN=CG+GN; (2)如图,连接DE,作EP⊥DE,此时DQ最短 作DA延长线,PE延长线交于G,过E点作作FM⊥AG,故FM⊥BC ∵E点是AB中点, ∴AE=BE, ∵DG BC ∴∠EBP=∠EAG, 又∠BEP=∠AEG ∴△BEP≌△AEG ∴EG=PE 同理△MEP≌△FEG ∴GF=PM ∵DE⊥GP ∴△GDP是等腰三角形 ∴DP=DG 作DH⊥BC延长线于H点 ∴四边形FDHM是矩形 ∴DF=MH ∵∠ADC=60°,AB=4=CD, ∴∠DCH=60°,∠CDH=30° ∴CH= CD=2,DH=FM= ∴EM= =EF在Rt△AEF中,AE= ,∠EAF=∠ADC=60° ∴∠AEF=30° ∴AF= ∴DF=AF+AD=9=MH 设MP=x=GF, ∴PH=MH-MP=9-x 在Rt△DHP中,DP2=DH2+PH2=( )2+(9-x) 2 ∵DG=FG+DF=9+x ∴( )2+(9-x) 2=(9+x)2 解得x= ∴EP= ∴DE= ∴DQ=DE-EQ 故DQ的最小值为 故答案为: . 【点睛】此题主要考查四边形综合,解题的关键是熟知矩形的判定与性质、等腰三角形的性质及 勾股定理的应用.10.在正方形ABCD中,点E是边BC上一动点(不含端点B、C). (1)如图1,AE⊥EP,AE=EF,连接CF. ①求∠ECF的大小; ②如图2,N为CF的中点,连接DN、DE,求证:DE= DN; (2)如图3.若AD=1+ ,直接写出 BE+DE的最小值. 【答案】(1)①135°;②见解析;(2) 【分析】(1)①在AB上取点H,使BH=BE,证明△HAE≌△CFE(SAS),即可求解; ②证明△DNC≌△QNF(SAS)、△ADE≌△FEQ(SAS),得到△DEQ为等腰直角三角形,进而求解; (2)过点B作射线BH使∠CBH=30°,过点D作DH⊥BH交BH于点H,交BC于点E,则点E为 所求点,进而求解. 【详解】解:(1)①在 上取点 ,使 , 则 , 为等腰直角三角形, , , , , 在 和 中, ,, , 的大小为 ; ②延长 到 时 ,连接 、 ,设 交 的延长线于点 , 在ΔDNC和 中, , , , , , 而 ,则 , , 而 , , ,故 , , 而 ,则 , 在 和 中, , , , , , 为等腰直角三角形,而点 是 的中点, 则 为等腰直角三角形, ; (2)过点 作射线 使 ,过点 作 交 于点 ,交 于点 ,则点 为所求点, 则 ,则 为最小, 则 , 在 中,设 ,则 , 故 ,则 ,解得 , 则 , 则 , 则 的最小值 . 【点睛】本题是四边形综合题,主要考查了正方形的性质、三角形全等,勾股定理等,正确作出 辅助线是本题解题的关键. 11.在平面直角坐标系中,O为坐标原点,A,D两点坐标分别为A(0,a),D(b,b),且a﹣ b= . (1)求A,D两点坐标; (2)点B,C是x轴上两动点(B在C左侧),且使四边形ABCD为平行四边形. ①如图,当点B,C分别在原点两侧时,连接DO,过点O作OG⊥DO交AB于点G,连接DG,取 DG中点H,在DO上截取DE,使DE=GO,求证:4AH2+DE2=2AE2; ②当点B在原点左侧时,过点O的直线MN⊥AB,分别交AB,CD于M,N,试探究OM,BM, CN三条线段之间的数量关系.【答案】(1)A(0,5),D(5,5);(2)见解析;(3)OM=CN+BM或OM=BM-CN. 【分析】(1)根据算术平方根有意义的条件可得 , ,由此可得 ,进而可 求得 ,由此可得A,D两点的坐标; (2)①延长AH交CD于点F,连接GF,GE,先证 ,可得AG=AE,∠GAO= ∠EAD,进而可得GE²=2AE²,再证 (SAS),可得OE= 2AH,最后再根据OE²+ OG²=GE²等量代换,即可得证; ②分两种情况讨论:点C在点O的右侧时,点C在点O的左侧时,画出相应的图形,作出正确的 辅助线,证明 (AAS),由此可得结论. 【详解】解:∵ , ∴ , ∵ , ∴ , ∴ , ∴a﹣5= =0, ∴ , ∴A,D两点坐标分别为A(0,5),D(5,5); (2)①如图,延长AH交CD于点F,连接GF,GE, ∵A,D两点坐标分别为A(0,5),D(5,5),∴AO=AD=5,∠OAD=90°, ∴∠AOD=∠ADO=45°, ∵OG⊥DO, ∴∠GOD=90°, ∴∠AOG=∠GOD-∠AOD=45°, ∴∠AOG=∠ADO=45°, 又∵DE=GO, ∴ (SAS), ∴AG=AE,∠GAO=∠EAD, ∴∠GAO+∠OAE=∠EAD+∠OAE, 即:∠GAE=∠OAD=90°, ∴GE²=AG²+AE²=2AE², ∵四边形ABCD为平行四边形, ∴AB CD, ∴∠HAG=∠HFD, ∵点H为DG的中点, ∴HG=HD, 又∵∠AHG=∠FHD, ∴ (AAS), ∴HA=HF, 又∵HG=HD, ∴四边形AGFD为平行四边形, ∴GF=AD=AO,AD GF, ∴∠AGF+∠GAD=180°, 即∠AGF+∠GAO+∠OAD=180°, ∴∠AGF+∠GAO=180°-∠OAD=90°, 又∵∠OAE+∠EAD=90°,∠GAO=∠EAD, ∴∠AGF=∠OAE, ∴ (SAS), ∴OE=AF=2AH, ∵∠GOD=90°, ∴OE²+OG²=GE²,∴(2AH)²+DE²=2AE², 即:4AH2+DE2=2AE2; ②如图,当点C在点O的右侧时,过点C作CK⊥AB于点K, ∵四边形ABCD为平行四边形, ∴AD=BC, 又∵AO=AD, ∴AO=BC, ∵MN⊥AB,CK⊥AB, ∴∠AMO=∠CKB=90°,MN CK, ∴∠KBC+∠KCB=90°, ∵∠AOB=90°, ∴∠ABO+∠BAO=90°, ∴∠KCB=∠BAO, ∴ (AAS), ∴OM=KB=KM+BM, ∵AB CD,MN CK, ∴四边形MNCK为平行四边形, ∴KM=CN, ∴OM=CN+BM, 如图,当点C在点O的左侧时,过点C作CK⊥AB于点K,同理可得: (AAS), ∴OM=KB=BM-KM, 又∵KM=CN, ∴OM=BM-CN, 综上所述:OM,BM,CN三条线段之间的数量关系为OM=CN+BM或OM=BM-CN. 【点睛】本题考查了算术平方根有意义的条件,平行四边形的判定与性质,全等三角形的判定与 性质,勾股定理,熟练掌握平行四边形和全等三角形的判定与性质是解决本题的关键. 12.如图,在平面直角坐标系中,A,B两点的坐标分别为A(0,a),点B(b,0),且a,b满 足:b+4= + ,点C与点B关于y轴对称,点P,点E分别是x轴,直线AB上的两 个动点. (1)则点C的坐标为 ; (2)连接PA,PE. ①如图1,当点P在线段BO(不包括B,0两个端点)上运动,若△APE为直角三角形,F为斜边 PA的中点,连接EF,OF,试判断EF与OF的关系,并说明理由; ②如图2,当点P在线段OC(不包括O,C两个端点)上运动,若△APE为等腰三角形,M为底 边AE的中点,连接MO,试探索PA与OM的数量关系,并说明理由; (3)如图3,连PA,CE,设它们所在的直线交于点G,设CE交y轴于点F,连接BG,若OP= OF,则BG的最小值为 .【答案】(1)(4,0);(2)①EF与OF的关系为垂直且相等,理由见解析②PA与OM的数量 关系为MO= AP,理由见解析(3) . 【分析】(1)根据二次根式的性质求出a,b,得到B点坐标,故可求出C点坐标; (2)①根据直角三角形斜边上的中线的性质即可求解; ②取AP中点H,连接HM,OH,证明△HMO为等腰直角三角形,故可求解; (3)先证明三角形AGC为直角三角形,直角三角形AGC中线PM等于AC的一半,长度固定, 当B、G、M三点在一条直线上时BG值最小,再根据勾股定理求得BM、MG,从而得到最终的答 案. 【详解】(1)∵b+4= + ∴ , ∴a=4,b+4=0 ∴b=-4 ∴点B(-4,0), ∵点C与点B关于y轴对称, ∴点C(4,0) 故答案为:(4,0); (2)①EF与OF的关系为垂直且相等,理由如下: ∵若△APE为直角三角形,F为斜边PA的中点, ∴EF= AP, 在Rt△AOP中,FO= AP ∴EF=FO∵A(0,4),点B(-4,0), ∴OA=OB ∴△AOB是等腰直角三角形 ∴∠BAO=45° 故∠EAF+∠FAO=45° ∵AF=EF=FO ∴∠EAF=∠AEF,∠OAF=∠AOF ∴∠EF0=∠EFP+∠OFP =∠EAF +∠AEF+∠OAF+∠AOF=2(∠EAF+∠FAO)=90° ∴EF⊥FO ∴EF与OF的关系为垂直且相等; ②PA与OM的数量关系为MO= AP,理由如下: ∵AP=EP ∴∠AEP=∠EAP ∴∠EBO+∠EPO=∠BAO+∠OAP ∵∠EBO=∠BAO=45° ∴∠EPO=∠OAP 取AP中点H,连接HM,OH ∴OH= AP ∵M是AE中点 ∴HM是△AEP的中位线 ∴HM= ∴HM=OH ∴OH=HP=AH=MH ∵∠HOP+∠HPO=∠AHO ∵OH=HP ∴∠HOP=∠HPO ∴2∠HPO=∠MHO+∠AHM=2∠EPO+2∠HPE ∴∠MHO=2∠HPO-∠AHM 又MH EP ∴∠AHM=∠HPE∴∠MHO=2∠EPO+2∠HPE -∠AHM =2∠EPO+∠HPE=∠EPO+∠EPO+∠HPE=∠EPO+∠HPO=∠OAP+∠HPO=90° ∴△MHO是等腰直角三角形 ∴MO= HO= ∴MO= AP; (3)如图,设M为AC的中点,连接BM、GM ∵C(4,0)A(0,4) ∴OA=OC=4,又OP=OF ∠AOP=∠COF=90° ∴△AOP≌△COF(SAS) ∴∠OAP=∠OCF 又∠OAP+∠OPA=90°,∠OPA=∠GPC ∴∠OCF+∠GPC=90° ∴∠AGC=90° ∵M为中点 ∴∵ ∴ ∴ 在 中, ∴ 当B、G、M三点不在一条直线上时,BG+MG>BM 得BG>BM-MG 当B、G、M三点在一条直线上时,BG+MG=BM 得BG=BM-MG ∴当B、G、M三点在一条直线上时,BG值最小 ∴ BG= BM-MG= 【点睛】此题主要考查直角三角形的性质,解题的关键是熟知二次根式的性质、直角三角形的性 质、等腰直角三角形的性质、全等三角形的判定与性质、勾股定理的应用. 13.如图,在平面直角坐标系中,O为坐标原点,A点的坐标为(18,0),B点的坐标为(0, 24). (1)求AB的值; (2)点C在OA上,且BC平分∠OBA,求点C的坐标; (3)在(2)的条件下,点M在第三象限,点D为y轴上的一个点,连接DM交x轴于点H,连接 CM,点F为BC的中点,点E为AD的中点,AD与BC交于点G,点H为DM的中点,当∠MCG- ∠DGF=∠OAB,且AD=CM时,求线段EF的长. 【答案】(1)30;(2)C(8,0);(3)【分析】(1)根据勾股定理计算即可; (2)过点C作CN⊥AB于点N,则OC=CN,设OC的长为x,则CA的长为18-x,根据等积法即可 求解; (3)如图,过点M作MI⊥x轴于点I,过点D作DJ⊥AB于点J,证明△MHI≌△DHO,进而可得 DO=MI,再证明△MCI≌△DAO,得到∠MCI=∠DAO,再结合已知得到AD平分∠OAB,根据 求出OD的长,从而得到点D的坐标,求出点E、F的坐标,再根据两点间距 离公式求出EF的长即可. 【详解】解:(1)∵A点的坐标为(18,0),B点的坐标为(0,24), ∴OA=18,OB=24, ∴ ; (2)如图,过点C作CN⊥AB于点N,设OC的长为x,则OC=CN=x,CA=18-x, ∴ ,即 , 解得x=8, ∴点C的坐标为(8,0); (3)如图,过点M作MI⊥x轴于点I,过点D作DJ⊥AB于点J, ∵点H为DM的中点,∴DH=HM, 又∵∠MHI=∠DHO,∠MIO=∠DOH, ∴△MHI≌△DHO, ∴DO=MI, ∵AD=CM,△MCI≌△DAO, ∴∠MCI=∠DAO, ∵∠MCG-∠DGF=∠OAB,∠OCG=∠CGA+∠CAG, ∴∠MCI=∠DAB, ∴∠DAB=∠DAO,即AD平分∠OAB, ∴DO=DJ, 设DO=x,则BD=24-x, ∴ , 即 , 解得x=9, ∴点D的坐标为(0,9), ∴点 , , ∴ . 【点睛】本题考查勾股定理、三角形全等的判定等知识,解题的关键是作出合适的辅助线,通过 证明三角形全等得出点D的坐标. 14.若△ABC和△ADE均为等腰三角形,且AB=AC=AD=AE,当∠ABC和∠ADE互余时,称 △ABC与△ADE互为“底余等腰三角形”,△ABC的边BC上的高AH叫做△ADE的“余高”.(1)如图1,△ABC与△ADE互为“底余等腰三角形”. ①若连接BD,CE,判断△ABD与△ACE是否互为“底余等腰三角形”:_______ (填“是”或 “否”) ; ②当∠BAC=90°时,若△ADE的“余高”AH= ,则DE=_______; ③当0°<∠BAC<180°时,判断DE与AH之间的数量关系,并证明; (2)如图2,在四边形ABCD中,∠ABC=60°,DA⊥BA,DC⊥BC,且DA=DC. ①画出△OAB与△OCD,使它们互为“底余等腰三角形”; ②若△OCD的“余高”长为a,则点A到BC的距离为_______(用含a的式子表示). 【答案】(1)①是;② ;③ ;见解析;(2)①见解析;② 【分析】(1)①连接BD、CE,根据四边形内角和为360°,求出 ,即可得出 答案; ②当 时, 是等腰直角三角形,故 ,求出AB,由此可知 , ,得出 是等腰直角三角形,故可求出DE; ③过点A作 交DE于点F,故 , ,推出 ,根 据AAS证明 ,由全等三角形的性质得 ,即可求出DE与AH的关系; (2)①连接BD,取BD中点为点O,连接AO、CO即可; ②过点O作 交于点M,过点A作 交于点N,故 ,由 得出 ,求出 , ,推出 ,在 中由勾股定 理即可求出AN. 【详解】(1) ①如图1,连接BD、CE,∵ , ∴ , , , , ∵ , ∴ , ∵四边形BCDE的内角和为360°, ∴ , ∴ 与 互为“底余等腰三角形”, 故答案为:是; ②当 时, 是等腰直角三角形, ∴ , ∵ , ∴ , , ∵ 与 互为“底余等腰三角形”, ∴ , , ∴ 是等腰直角三角形, ∴ , 故答案为: ; ③过点A作 交DE于点F,故 , , ∵ , ∴ , 在 与 中, , ∴ , ∴ , ∵ , ∴ ; (2)①如图2,连接BD,取BD中点为点O,连接AO、CO, ∵ , , ∴ , 都是直角三角形, ∴ , 在 与 中, , ∴ , ∴ , , ∴ , ∴所作图形能使 与 互为“底余等腰三角形”; ②过点O作 交于点M,过点A作 交于点N,故 , , ∵ , ∴ , ∴ , , ∴ , 在 中, , , ∴ , ∴ , ,故答案为: . 【点睛】本题考查几何图形的综合应用,主要涉及到全等三角形的判定与性质、等腰三角形的性 质、多边形的内角和、直角三角形的性质以及勾股定理等,掌握“底余等腰三角形”的定义是解 题的关键. 15.如图1,点 点 的坐标分别为 ,且 将线段 绕点 逆时 针旋转 得到线段 . (1)直接写出 __, __ _,点 的坐标为 _; (2)如图2,作 轴于点 点 是 的中点,点 在 内部, 求证: (3)如图3,点 是第二象限内的一个动点,若 求线段 的最大值. 【答案】(1) , ,(4,3) (2)见解析 (3) 【分析】(1)由非负性可求 , 的值,过点 作 于 ,由“ ”可证 ,可得 , ,可求点 坐标; (2)连接 ,作 交 于 ,由“ ”可证 ,可得 , ,即可得结论; (3)取 中点 ,连接 , ,由三角形三边关系可得 ,则当点 在 上 时, 有最大值为 . 【详解】解:(1) , , , , ,点 ,点 , 如图,过点 作 于 , 将线段 绕点 逆时针旋转 得到线段 . , , ,且 , ,且 , , , , , 点 故答案为: ,4, (2)连接 ,作 交 于 , 轴, , , 点 是 的中点, , , , , ,且 , ,, , , ; (3)如图3,点P在以OB为直径的圆上,取 中点 ,连接 , , ,点 是 中点, , , 点 ,点 , , , 当点 在 上时, 有最大值为 . 【点睛】本题是几何变换综合题,考查了全等三角形的判定和性质,坐标与图形关系,等腰直角 三角形的性质,勾股定理、线段最值等知识,添加恰当辅助线,构造旋转全等模型是题(2)的关 键;选择特殊点将动长转化为三角形三边关系求解是解题(3)关键.