当前位置:首页>文档>黄金卷-赢在高考·黄金8卷备战2024年高考数学模拟卷(北京专用)(参考答案)_2.2025数学总复习_2024年新高考资料_4.2024高考模拟预测试卷_914

黄金卷-赢在高考·黄金8卷备战2024年高考数学模拟卷(北京专用)(参考答案)_2.2025数学总复习_2024年新高考资料_4.2024高考模拟预测试卷_914

  • 2026-05-09 06:21:43 2026-03-29 05:51:19

文档预览

黄金卷-赢在高考·黄金8卷备战2024年高考数学模拟卷(北京专用)(参考答案)_2.2025数学总复习_2024年新高考资料_4.2024高考模拟预测试卷_914
黄金卷-赢在高考·黄金8卷备战2024年高考数学模拟卷(北京专用)(参考答案)_2.2025数学总复习_2024年新高考资料_4.2024高考模拟预测试卷_914
黄金卷-赢在高考·黄金8卷备战2024年高考数学模拟卷(北京专用)(参考答案)_2.2025数学总复习_2024年新高考资料_4.2024高考模拟预测试卷_914
黄金卷-赢在高考·黄金8卷备战2024年高考数学模拟卷(北京专用)(参考答案)_2.2025数学总复习_2024年新高考资料_4.2024高考模拟预测试卷_914
黄金卷-赢在高考·黄金8卷备战2024年高考数学模拟卷(北京专用)(参考答案)_2.2025数学总复习_2024年新高考资料_4.2024高考模拟预测试卷_914
黄金卷-赢在高考·黄金8卷备战2024年高考数学模拟卷(北京专用)(参考答案)_2.2025数学总复习_2024年新高考资料_4.2024高考模拟预测试卷_914
黄金卷-赢在高考·黄金8卷备战2024年高考数学模拟卷(北京专用)(参考答案)_2.2025数学总复习_2024年新高考资料_4.2024高考模拟预测试卷_914
黄金卷-赢在高考·黄金8卷备战2024年高考数学模拟卷(北京专用)(参考答案)_2.2025数学总复习_2024年新高考资料_4.2024高考模拟预测试卷_914
黄金卷-赢在高考·黄金8卷备战2024年高考数学模拟卷(北京专用)(参考答案)_2.2025数学总复习_2024年新高考资料_4.2024高考模拟预测试卷_914
黄金卷-赢在高考·黄金8卷备战2024年高考数学模拟卷(北京专用)(参考答案)_2.2025数学总复习_2024年新高考资料_4.2024高考模拟预测试卷_914
黄金卷-赢在高考·黄金8卷备战2024年高考数学模拟卷(北京专用)(参考答案)_2.2025数学总复习_2024年新高考资料_4.2024高考模拟预测试卷_914
黄金卷-赢在高考·黄金8卷备战2024年高考数学模拟卷(北京专用)(参考答案)_2.2025数学总复习_2024年新高考资料_4.2024高考模拟预测试卷_914

文档信息

文档格式
docx
文档大小
0.477 MB
文档页数
8 页
上传时间
2026-03-29 05:51:19

文档内容

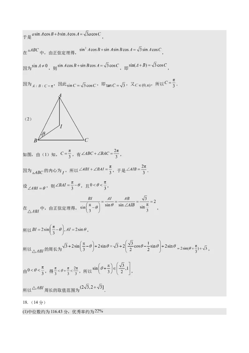
【赢在高考·黄金8卷】备战2024年高考数学模拟卷(北京专用) 黄金卷·参考答案 (考试时间:120分钟 试卷满分:150分) 第 I 卷(选择题) 一、单项选择题:本题共10小题,每小题4分,共40分,在每小题给出的四个选项中,只有一项是符合 要求的。 1 2 3 4 5 6 7 8 9 10 B C C D D B B C C A 第 II 卷(非选择题) 二、填空题:本题共5小题,每小题5分,共25分。 11. 1 2 12. 或 (只写一个即可) 13. 14. 15. ①③④ 三、解答题:本题共6小题,共85分,解答应写出必要的文字说明、证明过程及验算步骤。 16.(13分) (1) (2) 【详解】(1)因为四边形 是正方形,所以 ,且 ,所以 , 所以 ,所以 , 又 , , 平面 , 平面 , 所以 平面 ,又 平面 ,所以 ,即 两两互相垂直. 故以点 为坐标原点, 为 轴正方向, 为 轴正方向, 为 轴正方向,建立空间直角坐标系, 如图:则 , 所以 ,设平面 的法向量为 , 则 ,即 ,令 ,得 , 设点 到平面 的距离为 ,则 . 故点 到平面 的距离为 . (2)设平面 的法向量为 ,又 , 则 ,即 ,令 ,得 , 设平面 与平面 夹角为 , 则 , 所以平面 与平面 夹角的余弦值为 . 17.(14分) (1) (2) 【详解】(1)选择条件①, , 在 中,由正弦定理得 , 整理得 ,则由余弦定理, , 又 ,所以 . 选择条件②, ,于是 , 在 中,由正弦定理得, , 因为 ,则 ,即 , 因为 ,因此 ,即 ,又 ,所以 . (2) 如图,由(1)知, ,有 , 因为 的内心为 ,所以 ,于是 . 设 ,则 ,且 , 在 中,由正弦定理得, , 所以 , 所以 的周长为 , 由 ,得 ,所以 , 所以 周长的取值范围为 . 18.(14分) (1)中位数约为116.43分,优秀率约为(2)分布列见解析, 【详解】(1)由频率分布直方图可知 ,解得 . 数学成绩在 内的频率为 ,在 内的频率为 , ∴样本的中位数落在 内. 设样本的中位数为m,则满足 ,解得 , 故样本的中位数约为116.43分. 由样本估计总体得,本次高三联考该校学生的数学成绩的优秀率约为 . (2)由题图可知, 和 这两组频率之比为 , 按分层抽样法,抽取的5名学生中,数学成绩在 的学生有3名,在 的学生有2名, 从这5名学生中随机选出3人,则X的所有可能取值为1,2,3. ∴ , ∴X的分布列为 X 1 2 3 P ∴ . 19.(14分) (1) (2)【详解】(1)由 得 , 所以切线斜率 ,又 , 所以曲线 在点 处的切线方程为 ,化简得 ; (2)对 , 恒成立,即 在 恒成立, 即 在 恒成立,设 ,则 ,令 得 , 当 时, , 单调递增, 当 时, , 单调递减, 所以函数 在 时, 取得极大值也是最大值 , 所以 ,因为 恒成立,所以 , 所以 的取值范围是 . 20.(15分) (1) ; (2)存在, . 【详解】(1)依题意,设 ,由 ,得 是线段 的中点,则 ,由直线 与 垂直,得 ,则 显然过 、 、 三点的圆的圆心为 ,半径为 , 由过 、 、 三点的圆恰好与直线 相切,得 ,解得 , 有 , ,所以椭圆 的方程为 . (2)由(1)及 ,得 , ,椭圆 的方程为 , 设直线 方程为 , ,则 , 由 消去x并整理得 , , , 直线 的方程为 , 令 得 , 所以在 轴上存在一个定点 ,使得 、 、 三点共线. 21.(15分) (1)2,1,4,5(2)证明见解析 (3)证明见解析 【详解】(1)由题意知, , 解得 , 所以 ; (2)由 ,得 , 所以 , , 由于n为偶数,将上式n个等式中的第2,4,6, ,这 个式子都乘以-1,相加得 , 即 ,所以 , 又 , , 根据“衍生数列”的定义知,数列 是 的“衍生数列”; (3)设数列 中后者是前者的“衍生数列”. 欲证数列 成等差数列,只需证明 成等差数列, 即只要证明 即可. 由(2)知 , , 所以 ,即 成等差数列, 所以 成等差数列.