当前位置:首页>文档>精品解析:安徽省芜湖市第二十八中学2025年九年级二模数学试卷(原卷版)_2025年安徽省中考模拟试卷数学_2025年安徽数学二模卷61份

精品解析:安徽省芜湖市第二十八中学2025年九年级二模数学试卷(原卷版)_2025年安徽省中考模拟试卷数学_2025年安徽数学二模卷61份

  • 2026-04-05 23:12:24 2026-04-05 23:03:42

文档预览

精品解析:安徽省芜湖市第二十八中学2025年九年级二模数学试卷(原卷版)_2025年安徽省中考模拟试卷数学_2025年安徽数学二模卷61份
精品解析:安徽省芜湖市第二十八中学2025年九年级二模数学试卷(原卷版)_2025年安徽省中考模拟试卷数学_2025年安徽数学二模卷61份
精品解析:安徽省芜湖市第二十八中学2025年九年级二模数学试卷(原卷版)_2025年安徽省中考模拟试卷数学_2025年安徽数学二模卷61份
精品解析:安徽省芜湖市第二十八中学2025年九年级二模数学试卷(原卷版)_2025年安徽省中考模拟试卷数学_2025年安徽数学二模卷61份
精品解析:安徽省芜湖市第二十八中学2025年九年级二模数学试卷(原卷版)_2025年安徽省中考模拟试卷数学_2025年安徽数学二模卷61份
精品解析:安徽省芜湖市第二十八中学2025年九年级二模数学试卷(原卷版)_2025年安徽省中考模拟试卷数学_2025年安徽数学二模卷61份
精品解析:安徽省芜湖市第二十八中学2025年九年级二模数学试卷(原卷版)_2025年安徽省中考模拟试卷数学_2025年安徽数学二模卷61份
精品解析:安徽省芜湖市第二十八中学2025年九年级二模数学试卷(原卷版)_2025年安徽省中考模拟试卷数学_2025年安徽数学二模卷61份
精品解析:安徽省芜湖市第二十八中学2025年九年级二模数学试卷(原卷版)_2025年安徽省中考模拟试卷数学_2025年安徽数学二模卷61份
精品解析:安徽省芜湖市第二十八中学2025年九年级二模数学试卷(原卷版)_2025年安徽省中考模拟试卷数学_2025年安徽数学二模卷61份
精品解析:安徽省芜湖市第二十八中学2025年九年级二模数学试卷(原卷版)_2025年安徽省中考模拟试卷数学_2025年安徽数学二模卷61份
精品解析:安徽省芜湖市第二十八中学2025年九年级二模数学试卷(原卷版)_2025年安徽省中考模拟试卷数学_2025年安徽数学二模卷61份

文档信息

文档格式
docx
文档大小
1.679 MB
文档页数
8 页
上传时间
2026-04-05 23:03:42

文档内容

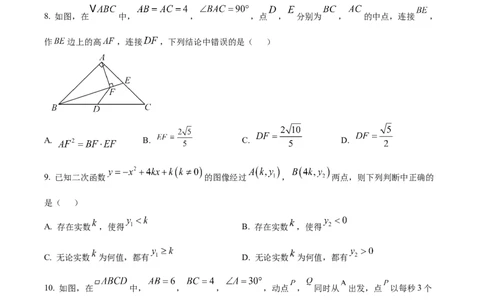
安徽省芜湖市第二十八中学 2025 年九年级二模数学试卷 注意事项: 1.本试卷满分为150分.考试时间为120分钟. 2.本试卷包括“试题卷”和“答题卷”两部分.“试题卷”共4页,“答题卷”共6页. 一、选择题(本大题共10小题,每小题4分,满分40分) 1. 的相反数是( ) A. B. C. D. 2. 最新智能芯片的运算速度达到每秒70万亿次以上.数据“70万亿”用科学记数法表示为( ) A. B. C. D. 3. 某几何体的三视图如图所示,则该几何体是( ) A . B. C. D. 4. 下列运算中正确的是( ) A. B. C. D. 5. 如图,四边形 是 的内接四边形, , ,则 的大小为( ) A. B. C. D. 6. 自2018年以来,国家医疗保障局会同有关部门对医保药品进行集中采购,以降低药价,解决看病贵的 问题.某药企为了适应市场需求,不断改进生产工艺,降本增效,使两年前生产的某种药品的成本由60元降低到今年的40元.设这种药品的成本的年平均下降率为 ,根据题意,下列方程中正确的是( ) A. B. C. D. 7. 数学老师准备在祖冲之、刘徽、赵爽、杨辉、秦九韶这5位数学家中选取2位,介绍他们在数学领域取 得的成就,则选到数学家祖冲之和秦九韶的概率是( ) A. B. C. D. 8. 如图,在 中, , ,点 , 分别为 , 的中点,连接 , 作 边上的高 ,连接 ,下列结论中错误的是( ) A. B. C. D. 9. 已知二次函数 的图像经过 , 两点,则下列判断中正确的 是( ) A. 存在实数 ,使得 B. 存在实数 ,使得 C. 无论实数 为何值,都有 D. 无论实数 为何值,都有 10. 如图,在 中, , , ,动点 , 同时从 出发,点 以每秒3个 单位长度沿 向终点 运动;点 以每秒1个单位长度沿 向终点 运动,当其中 一动点运动至终点时,另一动点随之停止运动.设运动时间为 , 的面积为 ,则 关于 的函数 关系的图像是( )A. B. C. D. 二、填空题(本大题共4小题,每小题5分,满分20分) 11. 若代数式 有意义,则实数 的取值范围是_________. 12. 因式分解: ______________. 13. 如图,在平面直角坐标系 中,反比例函数 的图像与矩形 的边 , 分别相交于 点 , ,已知 , , 的面积为 ,则 的面积为_________. 14. 如图1,在 中, , , 的垂直平分线分别交 , 于点 , .(1)当 平分 时, __________. (2)如图2,在(1)的条件下,将 绕点 按逆时针方向旋转得到 ,旋转角为 ,连接 , ,则 的面积的最大值为__________. 三、(本大题共2小题,每小题8分,满分16分) 15. 计算: . 16. 如图,正方形网格中每个小正方形的边长为1, 为格点三角形. (1)以点 为位似中心,在第四象限内作 的位似三角形,使位似比为 . (2)画出 绕点 按逆时针方向旋转 所得的 ,并求 的长. 四、(本大题共2小题,每小题8分,满分16分) 的 17. 为助力乡村振兴,某村计划对村集体80公顷林地 种植项目进行调整,将其中15%的林地种植茶 叶,其余的林地种植油桃和香梨.已知油桃的种植面积比香梨的3倍少4公顷,问油桃和香梨的种植面积 各多少公顷? 18. 在一个平面内,3条直线两两相交,交点分别为 , , ,平面被分成7块,从点 出发,在内作一条射线,则平面被分成9块. (1)完成下表: 图形 在 内所添 0 1 2 3 加的射线条数 平面被分成的块 ②__________ 7 9 ①__________ 数 _ (2)观察上表,试写出 与 的关系式,并判断平面能不能被分成2025块.如果能,求出在 内所 添加的射线条数,如果不能,说明理由. 五、(本大题共2小题,每小题10分,满分20分) 19. 如图1所示的是水平放置的水槽截面 , , ,一束光线从 水槽边的 处投射到空气和液体的分界 上的中点 处,入射光线与水槽内壁 的夹角 , 与法线 的夹角为 ,折射光线 与法线 的夹角 .已知在光源沿 向下移动的过程中, 比值 不随 , 的变化而变化.当入射点 位置不变,光源沿 向下移动到 点时,折射光线 通过点 ,如图2所示,求 的长.(参考数据: )20. 如图1, 是 的内接三角形, , 为 的直径,连接 并延长交 于点 ,连接 并延长交 的切线 于点 . (1)试判断四边形 的形状,并说明理由. (2)如图2,连接 ,若 , ,求 的值. 六、(本题满分12分) 21. 为了了解学生的体能状况,某校对学生进行了专项体能测试.男生引体向上是必测项目之一,现随机 抽取七年级若干名男生的测试成绩,并将抽取的成绩进行整理.用引体向上个数 表示成绩,分成四组, 如下表所示: 组别 A B C D 根据抽取的男生成绩,绘制出如图所示的不完整的统计图. 抽取的七年级男生成绩条形统计图 抽取 的七年级男生成绩扇形统计图(1)求C组人数,并补全条形统计图. (2)若七年级男生引体向上不低于4个为合格,估计该校参加测试的600名七年级男生中成绩合格的人数, 并给出一条合理建议. (3)下列结论一定正确的是_______(填序号). ①这组数据的中位数是14;②B组数据在扇形统计图中所对应的圆心角为 ;③这组数据的众数是 21;④题目所给条件不能求出这组数据的平均数. 七、(本题满分12分) 22. 在正方形 中,点 是 上一动点(不与点 , 重合),连接 ,将 绕点 在平面内 按顺时针方向旋转 至 位置,连接 ,交 于点 . (1)如图1,当点 为 的中点时,若正方形的边长为4,求 的长. (2)如图2,过点 作 于点 ,其延长线交 于点 . ①连接 ,求证: 平分 ; ②当 时,求 的值. 八、(本题满分14分)23. 已知抛物线 过点 和点 ,且 ,直线 过点 ,交线段 于点 . 的 (1)求抛物线 对称轴. (2)已知 的周长为 , 的周长为 ,且 . ①求点 的坐标; ②过点 作直线 ,交抛物线于 , 两点,求 面积的最小值及此时抛物线的解析式.