当前位置:首页>文档>期末复习必考解答压轴题十八大题型总结(人教版)(学生版)_初中数学_八年级数学下册(人教版)_母题专项-U66_2025版

期末复习必考解答压轴题十八大题型总结(人教版)(学生版)_初中数学_八年级数学下册(人教版)_母题专项-U66_2025版

  • 2026-04-07 03:42:33 2026-04-07 03:40:53

文档预览

期末复习必考解答压轴题十八大题型总结(人教版)(学生版)_初中数学_八年级数学下册(人教版)_母题专项-U66_2025版
期末复习必考解答压轴题十八大题型总结(人教版)(学生版)_初中数学_八年级数学下册(人教版)_母题专项-U66_2025版
期末复习必考解答压轴题十八大题型总结(人教版)(学生版)_初中数学_八年级数学下册(人教版)_母题专项-U66_2025版
期末复习必考解答压轴题十八大题型总结(人教版)(学生版)_初中数学_八年级数学下册(人教版)_母题专项-U66_2025版
期末复习必考解答压轴题十八大题型总结(人教版)(学生版)_初中数学_八年级数学下册(人教版)_母题专项-U66_2025版
期末复习必考解答压轴题十八大题型总结(人教版)(学生版)_初中数学_八年级数学下册(人教版)_母题专项-U66_2025版
期末复习必考解答压轴题十八大题型总结(人教版)(学生版)_初中数学_八年级数学下册(人教版)_母题专项-U66_2025版
期末复习必考解答压轴题十八大题型总结(人教版)(学生版)_初中数学_八年级数学下册(人教版)_母题专项-U66_2025版
期末复习必考解答压轴题十八大题型总结(人教版)(学生版)_初中数学_八年级数学下册(人教版)_母题专项-U66_2025版
期末复习必考解答压轴题十八大题型总结(人教版)(学生版)_初中数学_八年级数学下册(人教版)_母题专项-U66_2025版
期末复习必考解答压轴题十八大题型总结(人教版)(学生版)_初中数学_八年级数学下册(人教版)_母题专项-U66_2025版
期末复习必考解答压轴题十八大题型总结(人教版)(学生版)_初中数学_八年级数学下册(人教版)_母题专项-U66_2025版
期末复习必考解答压轴题十八大题型总结(人教版)(学生版)_初中数学_八年级数学下册(人教版)_母题专项-U66_2025版
期末复习必考解答压轴题十八大题型总结(人教版)(学生版)_初中数学_八年级数学下册(人教版)_母题专项-U66_2025版
期末复习必考解答压轴题十八大题型总结(人教版)(学生版)_初中数学_八年级数学下册(人教版)_母题专项-U66_2025版
期末复习必考解答压轴题十八大题型总结(人教版)(学生版)_初中数学_八年级数学下册(人教版)_母题专项-U66_2025版
期末复习必考解答压轴题十八大题型总结(人教版)(学生版)_初中数学_八年级数学下册(人教版)_母题专项-U66_2025版
期末复习必考解答压轴题十八大题型总结(人教版)(学生版)_初中数学_八年级数学下册(人教版)_母题专项-U66_2025版
期末复习必考解答压轴题十八大题型总结(人教版)(学生版)_初中数学_八年级数学下册(人教版)_母题专项-U66_2025版
期末复习必考解答压轴题十八大题型总结(人教版)(学生版)_初中数学_八年级数学下册(人教版)_母题专项-U66_2025版
期末复习必考解答压轴题十八大题型总结(人教版)(学生版)_初中数学_八年级数学下册(人教版)_母题专项-U66_2025版
期末复习必考解答压轴题十八大题型总结(人教版)(学生版)_初中数学_八年级数学下册(人教版)_母题专项-U66_2025版
期末复习必考解答压轴题十八大题型总结(人教版)(学生版)_初中数学_八年级数学下册(人教版)_母题专项-U66_2025版
期末复习必考解答压轴题十八大题型总结(人教版)(学生版)_初中数学_八年级数学下册(人教版)_母题专项-U66_2025版
期末复习必考解答压轴题十八大题型总结(人教版)(学生版)_初中数学_八年级数学下册(人教版)_母题专项-U66_2025版
期末复习必考解答压轴题十八大题型总结(人教版)(学生版)_初中数学_八年级数学下册(人教版)_母题专项-U66_2025版
期末复习必考解答压轴题十八大题型总结(人教版)(学生版)_初中数学_八年级数学下册(人教版)_母题专项-U66_2025版
期末复习必考解答压轴题十八大题型总结(人教版)(学生版)_初中数学_八年级数学下册(人教版)_母题专项-U66_2025版
期末复习必考解答压轴题十八大题型总结(人教版)(学生版)_初中数学_八年级数学下册(人教版)_母题专项-U66_2025版
期末复习必考解答压轴题十八大题型总结(人教版)(学生版)_初中数学_八年级数学下册(人教版)_母题专项-U66_2025版
期末复习必考解答压轴题十八大题型总结(人教版)(学生版)_初中数学_八年级数学下册(人教版)_母题专项-U66_2025版
期末复习必考解答压轴题十八大题型总结(人教版)(学生版)_初中数学_八年级数学下册(人教版)_母题专项-U66_2025版
期末复习必考解答压轴题十八大题型总结(人教版)(学生版)_初中数学_八年级数学下册(人教版)_母题专项-U66_2025版
期末复习必考解答压轴题十八大题型总结(人教版)(学生版)_初中数学_八年级数学下册(人教版)_母题专项-U66_2025版
期末复习必考解答压轴题十八大题型总结(人教版)(学生版)_初中数学_八年级数学下册(人教版)_母题专项-U66_2025版
期末复习必考解答压轴题十八大题型总结(人教版)(学生版)_初中数学_八年级数学下册(人教版)_母题专项-U66_2025版
期末复习必考解答压轴题十八大题型总结(人教版)(学生版)_初中数学_八年级数学下册(人教版)_母题专项-U66_2025版
期末复习必考解答压轴题十八大题型总结(人教版)(学生版)_初中数学_八年级数学下册(人教版)_母题专项-U66_2025版
期末复习必考解答压轴题十八大题型总结(人教版)(学生版)_初中数学_八年级数学下册(人教版)_母题专项-U66_2025版
期末复习必考解答压轴题十八大题型总结(人教版)(学生版)_初中数学_八年级数学下册(人教版)_母题专项-U66_2025版
期末复习必考解答压轴题十八大题型总结(人教版)(学生版)_初中数学_八年级数学下册(人教版)_母题专项-U66_2025版
期末复习必考解答压轴题十八大题型总结(人教版)(学生版)_初中数学_八年级数学下册(人教版)_母题专项-U66_2025版
期末复习必考解答压轴题十八大题型总结(人教版)(学生版)_初中数学_八年级数学下册(人教版)_母题专项-U66_2025版

文档信息

文档格式
docx
文档大小
3.825 MB
文档页数
39 页
上传时间
2026-04-07 03:40:53

文档内容

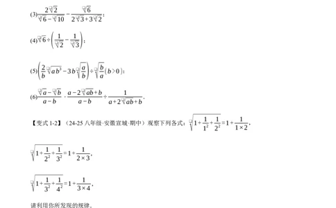
期末复习必考解答压轴题十八大题型总结 【人教版】 【题型1 二次根式的运算与求值技巧】..................................................................................................................1 【题型2 复合二次根式的化简】..............................................................................................................................2 【题型3 利用分母有理化求值】..............................................................................................................................4 【题型4 勾股定理在网格中的运用】......................................................................................................................4 【题型5 勾股定理在折叠问题中的运用】..............................................................................................................7 【题型6 由勾股定理构造图形解决实际问题】.....................................................................................................9 【题型7 由勾股定理求最短距离】........................................................................................................................11 【题型8 四边形中的最值问题】............................................................................................................................13 【题型9 四边形中的动态问题】............................................................................................................................15 【题型10 四边形中的存在性问题】........................................................................................................................16 【题型11 四边形中的探究问题】............................................................................................................................19 【题型12 一次函数与几何变换】............................................................................................................................22 【题型13 一次函数与动点最值】............................................................................................................................24 【题型14 一次函数中的定值问题】........................................................................................................................26 【题型15 一次函数中的探究题】............................................................................................................................28 【题型16 一次函数中的存在性问题】....................................................................................................................30 【题型17 分段函数与绝对值函数】........................................................................................................................32 【题型18 一次函数的应用】....................................................................................................................................35 【题型1 二次根式的运算与求值技巧】 【例1】(24-25八年级·江西赣州·期中)定义:我们将(❑√a+❑√b)与(❑√a−❑√b)称为一对“对偶式”.因为 (❑√a+❑√b)(❑√a−❑√b)=(❑√a) 2 −(❑√b) 2=a−b,可以有效的去掉根号,所以有一些问题可以通过构造“对偶 式”来解决. 例如:已知❑√18−x−❑√11−x=1,求❑√18−x+❑√11−x的值,可以这样解答: 因为(❑√18−x−❑√11−x)×(❑√18−x+❑√11−x)=(❑√18−x) 2 −(❑√11−x) 2=18−x−11+x=7, 所以❑√18−x+❑√11−x=7. (1)已知:❑√20−x+❑√4−x=8,求❑√20−x−❑√4−x的值;(2)结合已知条件和第①问的结果,解方程:❑√20−x+❑√4−x=8; 1 1 1 1 (3)计算: + + +⋅⋅⋅+ . 3❑√1+❑√3 5❑√3+3❑√5 7❑√5+5❑√7 2023❑√2021+2021❑√2023 【变式1-1】(24-25八年级·上海长宁·阶段练习)计算 √ 1 √ 1 (1)❑1 −10❑√0.4+4❑ ; 9 40 1 √ y2 (2)2❑√3x2y⋅ ❑√6x+❑ ; 3 x 2❑√2 ❑√6 (3) − ; ❑√6−❑√10 2❑√3+3❑√2 ( 1 1 ) (4)❑√6÷ − ; ❑√2 ❑√3 (2 √a) √b (5) ❑√ab3−3b❑ ÷❑ (b>0); b b a ❑√a−❑√b a−2❑√ab+b 1 (6) ⋅ ÷ . a−b a−b a+2❑√ab+b √ 1 1 1 【变式1-2】(24-25八年级·安徽宣城·期中)观察下列各式:❑1+ + =1+ , 12 22 1×2 √ 1 1 1 ❑1+ + =1+ , 22 32 2×3 √ 1 1 1 ❑1+ + =1+ , 32 42 3×4 请利用你所发现的规律. (1)写出第4个式子______; (2)写出第n个式子______,并证明其正确性(用n含的等式表示,n为正整数). √ 1 1 √ 1 1 √ 1 1 √ 1 1 (3)计算❑1+ + +❑1+ + +❑1+ + +⋅⋅⋅+❑1+ + . 12 22 22 32 32 42 992 1002 【变式1-3】(24-25八年级·安徽安庆·阶段练习)若m满足关系式 ❑√2x+3 y+❑√4x+5 y−m=❑√x−2012+ y+❑√2012−x−y,求m的值.【题型2 复合二次根式的化简】 【例2】(24-25八年级·安徽合肥·专题练习)有这样一类题目:将❑√a±2❑√b化简,如果你能找到两个数 m、n,使m2+n2=a且mn=❑√b,则可将a±2❑√b将变成m2+n2±2mn,即变成(m+n) 2,从而使得 ❑√a±2❑√b化简.例如,5±2❑√6=3+2±2❑√6=(❑√3) 2+(❑√2) 2+2❑√2×❑√3=(❑√3±❑√2) 2 ,∴ ❑√5±2❑√6=❑√(❑√3±❑√2) 2=(❑√3±❑√2).这种方法叫做配方法,换一种思路,假设化简5±2❑√6的结果是 ❑√x±❑√y(x>y>0),可知5±2❑√6=(❑√x±❑√y) 2 .整理,得5±2❑√6=x+ y±2❑√xy,比较等式两边的组 成,可得x+ y=5,xy=6,即x=3,y=2,所以❑√5±2❑√6=(❑√3±❑√2). 尝试化简下列各式: (1)❑√7+4❑√3; (2)❑√8−❑√60. 【变式2-1】(24-25八年级·安徽安庆·专题练习)化简: (1)❑√12−2❑√35; (2)❑√5−❑√24; (3)❑√4+❑√15+❑√4−❑√15. 【变式2-2】(24-25八年级·陕西西安·阶段练习)像❑√4−2❑√3,❑√❑√48−❑√45…这样的根式叫做复合二次 根式,有些复合二次根式可以借助构造完全平方式进行化简,如: ❑√4−2❑√3=❑√3−2❑√3+1=❑√(❑√3) 2 −2×❑√3×1+12=❑√(❑√3−1) 2=❑√3−1请用上述方法探索并解决下列 问题: (1)化简:❑√10−2❑√21 (2)若a+6❑√5=(m+n❑√5) 2,且a,m,n为正整数,求a的值 【变式2-3】(24-25八年级·安徽安庆·期中)像❑√4−2❑√3,❑√❑√96−❑√63……这样的根式叫做复合二次根 式.有一些复合二次根式可以借助构造完全平方式进行化简, 如:❑√4−2❑√3=❑√3−2❑√3+1=❑√ (❑√3) 2 −2×❑√3+12=❑√ (❑√3−1) 2=❑√3−1;再如:❑√5+2❑√6=❑√3+2❑√6+2=❑√(❑√3) 2+2×❑√6+(❑√2) 2=❑√(❑√3+❑√2) 2=❑√3+❑√2.请用上述方法探索并 解决下列问题: (1)请你尝试化简: ①❑√11+2❑√30=______; ②❑√13−2❑√42=______. (2)若a+6❑√5=(m+❑√5n) 2,且a,m,n为正整数,求a的值. 【题型3 利用分母有理化求值】 【例3】(24-25八年级·山东烟台·期末)阅读下列材料,解答后面的问题: 1 1 + =❑√3−1; ❑√2+1 ❑√3+❑√2 1 1 1 + + =2−1=1; ❑√2+1 ❑√3+❑√2 2+❑√3 1 1 1 1 + + + =❑√5−1;⋯ ❑√2+1 ❑√3+❑√2 2+❑√3 ❑√5+2 (1)写出下一个等式; 1 1 1 1 (2)计算 + + +…+ 的值; ❑√2+1 ❑√3+❑√2 2+❑√3 ❑√100+❑√99 ( 1 1 1 ) (3)请求出 + +…+ ×(❑√2122+❑√100)的运算结果. ❑√101+❑√100 ❑√102+❑√101 ❑√2122+❑√2121 【变式3-1】(24-25八年级·湖南娄底·期末)计算: 1 1 1 1 + + +⋯+ 2+❑√2 3❑√2+2❑√3 4❑√3+3❑√4 100❑√99+99❑√100 x−b x−a 【变式3-2】(24-25八年级·上海·期中)已知 =2− 且a+b=2,请化简并求值: a b ❑√x+1−❑√x ❑√x+1+❑√x + ❑√x+1+❑√x ❑√x+1−❑√x 【变式3-3】(24-25八年级·湖南长沙·开学考试)阅读下列材料,然后回答问题:在进行二次根式的化简 5 √2 2 与运算时,我们有时会碰上如 ,❑ , ❑√3 3 ❑√3+1 一样的式子,其实我们还可以将其进一步化简:5 5×❑√3 5❑√3 = = ; ❑√3 ❑√3×❑√3 3 √2 √2×3 ❑√6 ❑ =❑ = ; 3 3×3 3 2 2×(❑√3−1) 2(❑√3−1) = = =❑√3−1 ❑√3+1 (❑√3+1)(❑√3−1) (❑√3) 2 −12 以上这种化简的步骤叫做分母有理化. 2 √2 1 (1)化简: = ;❑ = ; = ; ❑√3 5 ❑√5+❑√3 1 1 1 1 (2)化简: + + +⋯+ ; ❑√3+1 ❑√5+❑√3 ❑√7+❑√5 ❑√2019+❑√2017 ❑√5−❑√3 ❑√5+❑√3 y x (3)已知x= ,y= ,求 + 的值. ❑√5+❑√3 ❑√5−❑√3 x y 【题型4 勾股定理在网格中的运用】 【例4】(24-25八年级·广东云浮·期中)综合探究: “在△ABC中,AB、BC、AC三边的长分别为❑√5、❑√10、❑√13,求这个三角形的面积”. 小明同学在解答这道题时,先建立一个正方形网格(每个小正方形的边长为1),再在网格中画出格点 △ABC(即△ABC三个顶点都在小正方形的顶点处),如图1所示,这样不需求△ABC的高,而借用网 格就能计算出它的面积.我们把上述求△ABC面积的方法叫做构图法. (1)直接写出图1中△ABC的面积是______; (2)若△MNP的边长分别为❑√m2+16n2、❑√9m2+4n2、❑√4m2+4n2(m>0,n>0,且m≠n),试运用构 图法在图2中画出相应的△MNP,并求出△MNP的面积. (3)拓展应用:求代数式:❑√x2+1+❑√(4−x) 2+4(0≤x≤4)的最小值. 【变式4-1】(24-25八年级·黑龙江哈尔滨·期末)图1,图2均为正方形网格,每个小正方形的边长均为1,各个小正方形的顶点叫做格点,请在下面的网格中按要求分别画图,使得每个图形的顶点均在格点 上. (1)画一个边长均为整数的等腰三角形,且面积等于12; (2)画一个直角三角形,且三边长为❑√5,2❑√5,5,并直接写出这个三角形的面积. 【变式4-2】(24-25八年级·山东淄博·期中)如图1,纸上有五个边长为1的小正方形组成的图形纸,我们 可以把它剪开拼成一个正方形如图2. (1)你能在3×3方格图(图3)中,连接四个格点(网格线的交点)组成面积为5的正方形吗?若能,请 用虚线画出. (2)你能把十个小正方形组成的图形纸(图4),剪开并拼成正方形吗?若能,请仿照图2的形式把它重 新拼成一个正方形. (3)如图,是由两个边长不等的正方形纸片组成的一个图形,要将其剪拼成一个既不重叠也无空隙的大 正方形,则剪出的块数最少为________块.请你在图中画出裁剪线,并说明拼接方法. 【变式4-3】(24-25八年级·山西晋中·期末)问题情境:综合实践活动课上,同学们围绕“已知三角形三 边的长度,求三角形的面积”开展活动,启航小组同学想到借助正方形网格解决问题 问题解决:图(1)、图(2)都是6×6的正方形网格,每个小正方形的边长均为1,每个小正方形的顶点称为格点,操作发现,启航小组同学在图(1)中画出△ABC,其顶点A,B,C都在格点上,同时构造长 方形CDEF,使它的顶点都在格点上,且它的边EF经过点A,ED经过点B.同学们借助此图求出了 △ABC的面积. (1)在图(1)中,△ABC的三边长分别是AB= ,BC= ,AC= .△ABC的面积是 . (2)已知△PMN中,PM=❑√17,MN=2❑√5,NP=❑√13.请你根据启航小组的思路,在图(2)中画出 △PMN,并直接写出△RMN的面积 . 【题型5 勾股定理在折叠问题中的运用】 【例5】(24-25八年级·辽宁葫芦岛·期末)(1)【问题初探】在数学活动课上,李老师提出如下问题:如 图1,四边形ABCD中,∠A=90°,∠C=45°,BD平分∠ABC,求证:AB+AD=BC. ①如图2,豆豆同学从结论的角度出发给出如下解题思路:在BC上截取BE=AB,连接DE,将线段 AB,AD,BC的数量关系转化为DE与CE的数量关系; ②如图3,乐琪同学从BD平分∠ABC这个条件出发,想到将△BDC沿BD翻折,所以她延长线段BA到点 F,使FB=CB,连接FD,发现了∠F与∠ADF的数量关系; 请你选择一名同学的解题思路,写出证明过程; (2)【类比分析】李老师发现两名同学都运用了转化的数学思想,为了帮助学生更好的感悟转化思想, 李老师提出了下面的问题,请解答. 如图4,△ABC中,∠A=90°,平面内有点D(点D和点A在BC的同侧),连接DC,DB, ∠D=45°,∠ABD+2∠ABC=180°,求证:❑√2BD+❑√2AB=CD. (3)【学以致用】如图5,在(2)的条件下,若∠ABD=30°,AB=1,请直接写出线段AC的长度.【变式5-1】(24-25八年级·广东佛山·期末)综合探究 直观感知和操作确认是几何学习的重要方式,在△ABC中,∠BAC=90°,AB=2,AC=3. (1)尺规作图:如图1,在△ABC中,作∠ABC的角平分线交AC于点D(不写作法,保留作图痕迹); (2)操作探究:在(1)的条件下,将∠C沿着过点D的直线折叠,使点C落在△ABC三边所在直线上(顶 点除外),画出示意图; (3)迁移运用: ①如图2,若E为AC边的中点,F为射线BA上一点,将△AEF沿着EF翻折得到△A′EF,点A的对应点 为A′,当∠F A′B=90°时,求AF的长; ②如图3,若点E是BC边的中点,N是AC边上一点,将△ENC沿EN折叠至△ENC′,点C的对应点为C′ ,连接BN、BC′,求△BNC′的面积的最大值. 【变式5-2】(24-25八年级·四川成都·期末)在Rt△ABC中,∠ACB=90°,点D为边AC上的动点,连 接BD,将△ABD沿直线BD翻折,得到对应的△A′BD.(1)如图1,当AD⊥A′D于点D时,求证:BC=DC; (2)若BC=a,AC=2a. ①如图2,当B,C,A′三点在同一条直线上时,求AD的长(用含a的代数式表示); AB ②连接A A′,A′C,当A′C=❑√2a时,求 的值. A A′ 【变式5-3】(24-25八年级·四川成都·期末)在△ABC中,∠ACB=90°,AC=4,BC=3. (1)如图1,D为线段BC上一点,点C关于AD的对称点C恰好落在AB边上,求CD的长; (2)如图2,E为线段AB上一点,沿CE翻折△CBE得到△CEB′,若EB′∥AC,求证:AE=AC; (3)如图3,D为线段BC上一点,点C关于AD的对称为点C′,是否存在异于图1的情况的C′、B、D为顶 点的三角形为直角三角形,若存在,请直接写出BC′长;若不存在,请说明理由. 【题型6 由勾股定理构造图形解决实际问题】 【例6】(24-25八年级·河南郑州·期末)勾股定理是人类早期发现并证明的重要数学定理之一,是用代数 思想解决几何问题的最重要工具之一,也是数形结合的纽带之一.它不但因证明方法层出不穷吸引着人 们,更因为应用广泛而使人入迷. (1)证明勾股定理 取4个与Rt△ABC(图1)全等的三角形,其中∠C=90°,AB=c,BC=a,AC=b,把它们拼成边 长为a+b的正方形DEFG,其中四边形OPMN是边长为c的正方形,如图2,请你利用以下图形验证勾股 定理.(2)应用勾股定理 ①应用场景1:在数轴上画出表示无理数的点. 如图3,在数轴上找出表示1的点D和表示4的点A,过点A作直线l垂直于DA,在l上取点B,使AB=2 ,以点D为圆心,DB为半径作弧,则弧与数轴的交点C表示的数是______. ②应用场景2:解决实际问题. 如图4,某公园有一秋千,秋千静止时,踏板离地的垂直高度BE=0.5m,将它往前推至C处时,水平距离 CD=2m,踏板离地的垂直高度CF=1.5m,它的绳索始终拉直,求绳索AC的长. 【变式6-1】(24-25八年级·四川资阳·期末)已知:△ACD和△BCE都是等腰直角三角形, ∠ACD=∠BCE=90°. (1)如图,摆放△ACD和△BCE时(点A、C、B在同一条直线上,点E在CD上),连接AE、BD线段 AE 与BD的数量关系是 ,位置关系是 .(直接写出答案) (2)如图,摆放△ACD和△BCE时,连接AE、BD,(1)中的结论是否仍然成立?请说明理由;(3)如图,摆放△ACD和△BCE时,连接AE、DE.若有AE2=DE2+2CE2,试求∠DEC的度数. 【变式6-2】(24-25八年级·江苏盐城·期中)【模型建立】 “数形结合”和“建模思想”是数学中的两个很重要的思想方法,先阅读以下材料,然后解答后面的问 题. 例:求代数式❑√x2+32+❑√(12−x) 2+22的最小值. 分析:❑√x2+32和❑√(12−x) 2+22是勾股定理的形式,❑√x2+32是直角边分别是x和3的直角三角形的斜边, ❑√(12−x) 2+22是直角边分别是12−x和2的直角三角形的斜边,因此,我们构造两个直角△ABC和△≝¿ ,并使直角边BC和EF在同一直线上(图1),向右平移直角△ABC使点B和E重合(图2),这时 CF=x+12−x=12,AC=3,DF=2,问题就变成“点B在线段CF的何处时,AB+DB最短?”根据两 点间线段最短,得到线段AD就是它们的最小值. 【模型应用】 (1)代数式❑√x2+32+❑√(12−x) 2+22的最小值为 ; (2)变式训练:利用图3,求代数式❑√x2+4+❑√(5−x) 2+1的最小值;【模型拓展】 (3)已知正数x满足❑√36−x2+❑√64−x2=10,求x的值. 【变式6-3】(24-25八年级·广西南宁·期中)现有如图1的8张大小形状相同的直角三角形纸片,三边长 分别是a、b、c.用其中4张纸片拼成如图2的大正方形(空白部分是边长分别为a和b的正方形);用另 外4张纸片拼成如图3的大正方形(中间的空白部分是边长为c的正方形). (1)观察:从整体看,整个图形的面积等于各部分面积的和.所以图2和图3的大正方形的面积都可以表示 为(a+b) 2,结论①;图2中的大正方形的面积又可以用含字母a、b的代数式表示为: ,结论②;图 3中的大正方形的面积又可以用含字母a、b、c的代数式表示为: ,结论③; (2)思考:结合结论①和结论②,可以得到一个等式 ;结合结论②和结论③,可以得到一个等式 ; (3)应用:若分别以直角三角形三边为直径,向外作半圆(如图4),三个半圆的面积分别记作 S 、S 、S ,且S +S +S =20,求S 的值. 1 2 3 1 2 3 2 (4)延伸:若分别以直角三角形三边为直径,向上作三个半圆(如图5),直角边a=5,b=12,斜边c=13 ,求图中阴影部分面积和. 【题型7 由勾股定理求最短距离】 【例7】(24-25八年级·江苏无锡·期末)现有一个长、宽、高分别为5dm、4dm、3dm的无盖长方体木箱 (如图,AB=5dm,BC=4dm,AE=3dm). (1) 求线段BG的长; (2) 现在箱外的点A处有一只蜘蛛,箱内的点C处有一只小虫正在午睡,保持不动.请你为蜘蛛设计一种 捕虫方案,使得蜘蛛能以最短的路程捕捉到小虫.(木板的厚度忽略不计)【变式7-1】(24-25八年级·安徽安庆·专题练习)如图,观察图形解答下面的问题: (1)此图形的名称为_______; (2)请你与同伴一起做一个这样的立体图形,并把它的侧面沿AS剪开,铺在桌面上,则它的侧面展开图是 一个_______; (3)如果点C是SA的中点,在A处有一只蜗牛,在C处恰好有蜗牛想吃的食物,且它只能绕此立体图形的侧 面爬行一周到C处.你能在侧面展开图中画出蜗牛爬行的最短路线吗? (4)SA的长为10,侧面展开图的圆心角为90°,请你求出蜗牛爬行的最短路程的平方. 【变式7-2】(24-25八年级·河南郑州·期末)如图1,在圆柱下底面的点A处有一只蚂蚁,它想吃到上底面 上与点A相对的点B处的食物,求蚂蚁沿圆柱表面爬行的最短路程. (一)理解问题、拟定计划 小林根据题意将圆柱展开,设计了两条路线. 路线1:如图2,路线1的路程s 即为线段AB的长度; 1 路线2:如图3,路线2的路程s 即为线段AB的长度. 2 (二)实施计划 (1)小林说:“由图可知,s 0 ). (1)当点P和点B重合时,求线段PQ的长; (2)如图2,当点P在边AD上时,猜想△PQE的形状,并说明理由; (3)作点E关于直线PQ的对称点F,当点F恰好落在边AB上时,直接写出t的值. 【变式9-1】(24-25八年级·天津·期中)已知,▱ABCD中,AB=4cm,BC=8cm,AC的垂直平分线 EF分别交AD、BC于点E、F,垂足为O.(1)如图1,连接AF、CE.求证:四边形AFCE为菱形; (2)如图1,求AF的长; (3)如图2,动点P、Q分别从A、C两点同时出发,沿△AFB和△CDE各边匀速运动一周.即点P自 A→F→B→A停止,点Q自C→D→E→C停止,在运动过程中,点P的速度为每秒1cm,点Q的速 度为每秒0.8cm,设运动时间为t秒,若当以A、P、C、Q四点为顶点的四边形是平行四边形时,求t的 值. 【变式9-2】(24-25八年级·江西南昌·期中)如图,在矩形ABCD中,AB=11,AD=10,G,H分别在 AB,CD上,且AG=CH=3,E,F分别是AD,BC上的两个动点,点E从A向D移动,点F从C向B移 动,它们同时以每秒1个单位长度的速度移动,运动时间为t秒,其中0≤t≤10. (1)四边形EGFH一定是______; A.平行四边形 B.矩形 C.菱形 D.正方形 (2)若四边形EGFH为菱形,求t的值; (3)若四边形EGFH为矩形,求t的值. 【变式9-3】(24-25八年级·广东广州·期中)已知如图,矩形ABCD中,AD=8,DC=10,菱形EFGH 的三个顶点E,G,H分别在矩形ABCD的边AB,CD,DA上,AH=3,连接CF. (1)若DG=3,求证:四边形EFGH为正方形; (2)当点G在边CD上运动时,点F到边CD的距离是否为定值?若是,请求出这个定值;若不是,请说明理由. (3)当△FCG的面积取最小值时,求菱形EFGH的面积. 【题型10 四边形中的存在性问题】 【例10】(24-25八年级·四川自贡·期中)如图所示,正方形ABCO的边长为6,点C在x轴上,点A在y 轴上. (1)如图 1,动点P从点B出发,沿BC方向以每秒1个单位的速度向点C匀速运动;同时动点Q从点C出 发,沿CO方向以每秒2个单位的速度向点O匀速运动,当一个点停止运动时,另一个点也停止运动.设 运动时间为t(s)(00),结论CD=ED是否成立,请说明理由; (3)在y轴上是否存在点M,使得四边形BMDE是菱形?若存在,求出点M的坐标;若不存在,说明理 由. 【题型11 四边形中的探究问题】 【例11】(24-25八年级·吉林松原·期中)综合与探究 已知在菱形ABCD中,∠B为锐角,E为AB的中点,连接DE. 【动手操作】 第一步:如图①,将四边形BCDE沿DE折叠,得到四边形MNDE,点B的对应点为点M,点C的对应点 为点N. 第二步:如图②,连接MA、MB. 【问题解决】 (1)如图①,若∠B=50°,则∠N的度数是_________; (2)如图②,判断△MAB的形状,并说明理由; 【拓广探索】 (3)如图②,若AD=4,∠MAE=30°,在线段ED上存在点P,使△AEP是以∠EAP为顶角的等腰三 角形,直接写出DP的长度. 【变式11-1】(24-25八年级·广东深圳·期中)综合与实践 【问题情境】数学活动课上,老师带领同学们以正方形为背景探索几何图形变化中的数学结论.如图1, 正方形ABCD中,点P是BC边上的一个动点,E是边BC延长线上一点,连接AP.过点P作AP⊥PF, 与∠DCE的平分线CF相交于点F,求证:AP=PF.【问题解决】(1)小圳经过思考展示了一种正确的证明思路,请你将证明思路补充完整.在AB上截取 AG=PC,连接GP,易得BG=BP,∠AGP=∠PCF=135°,______,可得△AGP≌△PCF (______),∴AP=PF. 【问题探究】(2)探究小组经过讨论,发现了图形隐含了很多线段和角的等量关系,如图2,连接AF, 与边CD相交于点Q,连接PQ,给出下列四个结论,①∠PAQ=45°;②PQ=BP+DQ;③ ∠QPF=∠CPF;④FQ=FC,正确结论的序号是_______. 【拓展延伸】(3)创新小组受到启发,提出了新的问题进行拓展.如图3,过点F作AP的平行线交直线 CD于点H,以CH为斜边向右作等腰直角三角形HCM,点M在直线CF上. ①试探究PC与FM的数量关系,并说明理由; ②若AB=5,P在射线BC上运动,当CP=2时直接写出线段DH的长. 【变式11-2】(24-25八年级·江苏南通·期中)实践操作 矩形纸片ABCD中,AB=6,AD=4,现将纸片 折叠,点A的对应点记为点P,折痕为MN(点M,N是折痕与矩形的边的交点),再将纸片展平. 初步思考 (1)如图1,当点N在AB上,点M和点P在DC上,AP与MN交于点O.求证:四边形 AMPN为菱形; 继续探究 (2)如图2,在(1)的条件下,当点P与点C重合时,求AM的长; 拓展延伸 (3)如图3,当点N和点B重合,点M在AD上运动时(点M不与点A重合),作∠CBP的平 分线,与MP的延长线交于点Q.求出点Q到CD的距离,并直接写出在点M运动过程中,点Q到直线 AD的最大距离.【变式11-3】(24-25八年级·黑龙江哈尔滨·期中)如图,正方形ABCD、正方形CEFG,连接AF,取 AF的中点H,连接CH、GH. (1)【尝试探究】如图1,当点D落在CG上时,则AF=______CH; (2)【深入探究】如图2,将正方形CEFG绕着点C旋转至点F落在AD的延长线上.求证:GH⊥AF; (3)【拓展应用】如图3,继续将正方形CEFG绕着点C旋转,连接DH交CG于点P,连接DG,若点P为 CG的中点,△CDH的面积为2,则线段DG的长为______. 【题型12 一次函数与几何变换】 【例12】(24-25八年级·重庆万州·期中)如图1,直线l :y=2x+6与x轴交于点A,与y轴交于点B,直 1 线l :y=−x+b与x轴交于点C,与直线l 交于点D,AC=6. 2 1 (1)求直线l 的解析式. 2 1 (2)点P为y轴正半轴上的一点,若S = S ,在x轴上存在一点E,使DE+EP最小,求点E的坐标 △PBD 3 △ACD 和最小值.(3)如图2,将直线l 向上平移3个单位得到直线l ,在l 上存在一动点M,使∠BCM=45°,请直接写出点 1 3 3 M的坐标. 【变式12-1】(24-25八年级·湖南长沙·期中)已知在平面直角坐标系中,O为坐标原点,直线 AB:y=kx+6k+6(k≠0)过定点A.与y轴交于点B,过点A作AC⊥y轴于点C. (1)直接写出定点A的坐标为______; (2)如图1,点D(−2,0),连接CD,当k<0时,连接AO,若AB⊥CD,且在AO左侧存在点E(m,6+m) 使得∠EAO=∠BAC,求点B和点E的坐标; (3)如图2,当k>0时,直线AB交x轴于点F,平移直线AB交x轴正半轴于点G,交y轴负半轴于点H,连 1 1 接AG,交y轴正半轴于点M.当AF=GH时,求证: − 为定值. CM CB 3 【变式12-2】(24-25八年级·福建泉州·期中)已知:如图,一次函数y= x+3的图象分别与x轴、y轴相 4 交于点A、B,且与经过点C(2,0)的一次函数y=kx−6的图象相交于点D,直线CD与y轴相交于点E. (1)直线CD的函数表达式为:______;点D的坐标为______;(直接写出结果) (2)点Q为线段DE上的一个动点,连接BQ. ①若直线BQ将△BDE的面积分为1:2两部分,试求点Q的坐标; ②点Q是否存在某个位置,将△BDE沿着直线BQ翻折,使得点D恰好落在直线AB下方的y轴上?若存在,请求出点Q的坐标;若不存在,请说明理由. 【变式12-3】(24-25八年级·辽宁沈阳·期末)【问题背景】 数学课上,我们以等腰直角三角形为背景,利用旋转的性质研究线段和角的关系. 【问题初探】 (1)如图1,在△ABC中,∠ABC=90°,AB=CB,点D与直角顶点B重合,射线DP交边AC于点E, 点F在射线DQ上,且满足∠PDQ=90°,DE=DF,连接AF.判断线段AF与CE的关系为______. 【问题深探】 (2)如图2,在△ABC中,∠ABC=90°,AB=CB,点D为斜边AC中点,射线DP交边BC于点E,射 线DQ交边AB于点F,且满足∠PDQ=90° 问题①:线段DE与DF满足什么数量关系?请说明理由; 问题②:请直接写出线段AF,CE,ED之间的数量关系____________. 【问题拓展】 (3)如图3,在平面直角坐标系中,△ABO为等腰直角三角形,AO=OB=6,点D为斜边AB中点,x轴 上有一点E(2,0),动直线l绕着点D旋转,与x轴相交于点P,且满足∠DEA−∠PDA=45°,直线l的表 达式为____________(直接写出表达式即可). 【题型13 一次函数与动点最值】 【例13】(24-25八年级·山东青岛·期中)如图,在平面直角坐标系中,直线y =x+1与x轴、y轴分别交 1 1 A、B两点,与直线y =− x+b相交于点C(3,m). 2 3 (1)求m和b的值;1 (2)若直线y =− x+b与x轴相交于点D,动点P从点D开始,以每秒1个单位的速度向x轴负方向运 2 3 动,设点P的运动时间为t秒. ①若点P在线段DA上,且△ACP的面积为10,求t的值; ②是否存在t的值,使△ACP为等腰三角形?若存在,求出t的值;若不存在,请说明理由. 【变式13-1】(24-25八年级·黑龙江哈尔滨·期中)如图,在平面直角坐标系中,O为坐标原点,点C在x ( 16 ) {3m−n=2) 轴负半轴上,C − ,0 ,点A(0,n),点B(m,0)中的m、n是方程组 的解. 3 2m=n (1)请直接写出A、B两点的坐标A(______,______),B(______,______); (2)动点P从点B出发,以每秒2个单位长度的速度沿x轴向左运动,连接AP,设点P的运动时间为t秒, △AOP的面积为S,用含t的式子表示△AOP的面积S; 5 (3)在(2)的条件下,当t= 时,点P停止运动,过点P作x轴的垂线,交AC于点Q,CQ=5,当点P停 3 止运动时,点M从点P出发以每秒0.5个单位长度的速度沿PQ−QC向终点C运动(当点M运动至点C 时停止运动),连接CM、BM,求点M运动多少秒时,△AOP与△MBC的面积相等. 【变式13-2】(24-25八年级·河南平顶山·期中)如图,在平面直角坐标系中,直线y=kx+b与x轴交于点 B(−4,0),与y轴交于点A,直线y=−2x+4过点A,与x轴交于点C. (1)点A的坐标是_____,直线AB的函数表达式为______; (2)若点P是直线AB上一动点,且S =S ,求P点的坐标; △PBC △AOB(3)点M在第二象限,当S =S 时,动点N从点B出发,先运动到点M,再从点M运动到点C后停止 △MAB △AOB 运动.点N的运动速度始终为每秒2个单位长度,运动的总时间为t(秒),请直接写出t的最小值. 【变式13-3】(24-25八年级·福建泉州·期中)如图1,已知直线l与x轴交于点A(1,0),与y轴交于点 B(0,3),以A为直角顶点在第一象限内作等腰Rt△ABC,其中上∠BAC=90°,AB=AC. (1)求直线l的解析式和点C的坐标; (2)如图2,点M是BC的中点,点P是直线l上一动点,连接PM、PC,求PM+PC的最小值,并求出当 PM+PC取最小值时点P的坐标; 10 (3)在(2)的条件下,当PM+PC取最小值时,在直线PM上是否存在一点Q,使S = S ?若存 △APQ 9 △AOB 在,直接写出点Q的坐标;若不存在,请说明理由. 【题型14 一次函数中的定值问题】 【例14】(24-25八年级·河北廊坊·期中)如图1,在平面直角坐标系中,点A(−2,0),B(2,0),C(6,0), 点D(0,m)为y轴正半轴上一点,且∠ODB=30°. (1)三角形ABD是否为等边三角形 (填:是或否);若点M为AD中点,点P为y轴上一点,当三角形 PMA周长最小时,周长的最小值为 ;此时点P的坐标为 ;(后两空均用含m的代数式来表示) (2)在(1)的基础上,延长DB至点E;使BE=BD,点P为x轴正半轴上一动点(点P在点C的右边), 点M在EP上,且∠EMA=60°, AM交BE于点N. ①求证:三角形BCE是等边三角形;②求证:∠ANB=∠APM; ③点P在运动过程中,BP−BN的值是否为定值,若是请求出此值;若不是定值,请说明理由. 【变式14-1】(24-25八年级·福建泉州·期中)如图,在平面直角坐标系xOy中,直线y=−x+4分别交x 1 轴、y轴于点A、点B,点C在x轴的负半轴上,且OC= OB,点P是线段BC上的动点(点P不与B,C 2 重合),以BP为斜边在直线BC的右侧作等腰直角三角形BPD. (1)求直线BC的函数表达式; 3 (2)如图1,当S = S 时,求点P的坐标; △BPD 20 △ABC (3)如图2,连接AP,点E是线段AP的中点,连接DE,OD.试探究∠ODE的大小是否为定值,若是, 求出∠ODE的度数;若不是,请说明理由. 【变式14-2】(24-25八年级·四川成都·期末)如图,直线y=x+2与x轴,y轴分别交于A,B两点,直线 y=−3x+b与x轴交于点D,与y=x+2交于点E,点E的横坐标为4. (1)求b的值和点D的坐标; (2)已知P是坐标平面内一点,连接PA,PB,PD,PE所得的△PAB,△PDE的面积分别为 S ,S ,设S =kS ; △PAB △PDE △PAB △PDE ①如图(2),若点P的坐标为(a−1,2a−4),且位于四边形BODE内,则k是否为定值?若是请求出 这个定值,若不是请说明理由; ②如图(3),若点F在x轴上,坐标为(−11,0),点Q是y轴上的一个动点,当k=1时,求FQ+PQ的最小值. 【变式14-3】(24-25八年级·广东佛山·期中)如图1,一次函数y=kx+b的图象与x轴交于点A(6,0),与 y轴交于点B(0,3),与正比例函数y=x的图象交于点C. (1)求一次函数的解析式及点C的坐标; (2)在y轴上是否存在一点P,使△BCP是等腰三角形,若存在,请直接写出点P的坐标.若不存在,请说 明理由; (3)如图2,过点C作CD⊥x轴于点D,CH⊥y轴于点H,点E是线段OD上一动点,F是线段OH上一 动点,且∠ECF=45°,连接EF,请判断△OEF的周长是否为定值?若是,求出这个定值:若不是,说 明理由. 【题型15 一次函数中的探究题】 【例15】(24-25八年级·陕西渭南·期末)【问题探究】 (1)如图1,在平面直角坐标系中,直线l与x轴、y轴分别交于点A(4,0),B(0,2)若点C为y轴上的 点,连接AC,且△AOC的面积是△AOB的面积的2倍,求AC所在直线的函数表达式; 【问题解决】 (2)如图2,在平面直角坐标系中,△ABC是某市高新技术开发区的一块空地,已知A(−4,0)、B(1,0) 1 、C(0,−3),直线l:y=− x+2是一条笔直的道路(路宽不计),为了对空地进行合理规划利用,市政 2 府计划在道路l上取点D,使得CD将四边形ACBD的面积分成1:4的两部分,并将这两部分分别规划为开 发区综合服务管委会和安全监督管理局,请你帮助市政府计算出点D的坐标.【变式15-1】(24-25八年级·福建莆田·期末)【课本原型】人教版八年级下学期数学课本P108,原题 为:“画出函数y=|x−1|的图象”. 【初步探究】陈臻同学类比此函数的学习进一步对函数y=k|x−1|+b的图象与性质进行了探究.请根据 下表探究过程中的部分信息,完成下列问题: x … −3 −2 −1 0 1 2 3 … y … 2 1 0 −1 a −1 0 … (1)a的值为____________; (2)在下图中画出该函数的图象; 【数学思考】结合函数的图象,下列说法正确的是:____________;(填所有正确选项) A.函数图象关于y轴对称 B.当x≥1时,y随x的增大而增大 1 10 C.当y= 时,x= 3 3 D.函数图象与x轴围成图形的面积为4 22 【深入探究】函数y=k|x−1|+b图象上有两点P(p,m)和Q(q,m),当−6≤q−p≤ 时,求m的取 3 值范围. 【变式15-2】(24-25八年级·浙江宁波·期末)【定义理解】在平面直角坐标系中,有A(m,0),B(0,n) 两点,若存在点C使得∠ABC=90°,且AB=BC,则称点C为m的“等垂点”. 例如:在A(1,0),B(0,1),C(−1,0)三点中,因为∠ABC=90°,且AB=BC,所以点C为1的“等垂 点”. 【探究应用】(1)点A(2,0),B(0,2),则C(2,4)____________2的“等垂点”(填“是”或“不是”). (2)如图1,若点A(4,0),B(0,3),则点C是4的“等垂点”,则点 C的坐标为____________. (3)如图2,若一次函数y=3x−5上存在5的“等垂点”,求5的“等垂点”C 的坐标. 【拓展提升】 (4)若在直线y=kx+b(k>0)上存在无数个5的“等垂点”,且直线y=kx+b(k>0)与x轴交于点E, 与y轴交于点F,点M在线段EF上,点P在△EOF内,EP=4,OP=3,连接MP,设EM=a,直接写 出△EPM面积S关于a的表达式. 【变式15-3】(24-25八年级·陕西西安·期中)【问题提出】 (1)如图1,D为△ABC的边AC的中点,连接BD,若△ABD的面积为4,则△ABC的面积为______. 【问题探究】 (2)如图2,在平面直角坐标系中,点A在第一象限,连接OA,作AB⊥x轴于点B.若AB=2OB, OA=2❑√5,过点B的直线l将△OAB分成面积相等的两部分,求直线l的函数表达式. 【问题解决】 (3)如图3,在平面直角坐标系中,四边形OABC是某市将要筹建的高新技术开发区用地示意图,其中O 为坐标原点,点A(24,7),B(28,4),C(25,0).为了方便驻区单位,计划过点O修一条笔直的道路l (路 1 宽不计),并且使直线l 将四边形OABC分成面积相等的两部分,记直线l 与AB所在直线的交点为D;再 1 1 过点A修一条笔直的道路l (路宽不计),并且使直线l 将△OAD分成面积相等的两部分,你认为直线l 和 2 2 1 l 是否存在?若存在,请求出直线l 和l 的函数表达式;若不存在,请说明理由. 2 1 2【题型16 一次函数中的存在性问题】 1 【例16】(24-25八年级·重庆万州·期中)如图1,函数y= x+3与x轴交于点A,与y轴交于点B,点C 2 与点A关于y轴对称. (1)求直线BC的函数解析式; (2)如图1,若点P是直线AB上一动点,过点P作y轴的平行线,交直线BC于点Q,若△ABQ的面积为3, 求点P的坐标; (3)如图2,若点M是x轴上的一个动点,过点M作y轴的平行线,交直线AB于点N,连接BM,在点M的 运动过程中是否存在∠BMN=∠BAC的情况,若存在,请求出点N坐标;若不存在,请说明理由. 【变式16-1】(24-25八年级·江苏扬州·阶段练习)如图,在平面直角坐标系xOy中,过点A(−6,0)的直线 l 与直线l :y =2x:相交于点B(m,4). 1 2 2 (1)求直线l 的表达式; 1 (2)若y ≥ y ,直接写出x的取值范围. 2 1 (3)直线l 与y轴交于点M,在x轴上是否存在点P,使得△AMP是等腰三角形?若存在,请直接写出符合 1 条件的所有点P的坐标;若不存在,请说明理由. 1 【变式16-2】(24-25八年级·重庆·期中)如图1,在平面直角坐标系中,直线y=− x+4与x轴交于点 2 A,与y轴交于点B,直线CD与x轴交于点C,与y轴交于点D,OD=2,与直线AB交于点E,E点横坐 标为4.(1)求直线CD的解析式; 9 (2)如图2,点P为直线CD上一点,且在直线AB上方,连接AP,当S = S 时,求点P的坐标, △PAE 16 △AOB 此时在x轴上有一动点Q,连接PQ、EQ,求PQ+EQ的最小值; (3)如图3,在直线AB上有一动点M,y轴上有一动点N,是否存在点M,点N使得以点M、N、C、D为顶 点的四边形是平行四边形,若存在,请直接写出符合条件的点N的坐标,并写出其中一个点的求解过程; 若不存在,请说明理由. 【变式16-3】(24-25八年级·广东深圳·期中)[问题提出]:如何解不等式|x−1)+|x−3)>x+2? 预备知识1:同学们学习了一元一次方程、一元一次不等式和一次函数,利用这些一次模型和函数的图 象,可以解决一系列问题. 图①中给出了函数y=x+1和y=2x+3的图象,观察图象,我们可以得到:当x>−2时,函数y=2x+3的 图象在y=x+1图象上方,由此可知:不等式2x+3>x+1的解集为_________. 预备知识2:函数y=|x)= { x(x≥0) ) ,称为分段函数,其图象如图②所示,实际上对带有绝对值的代数 −x(x<0) 式的化简,通常采用“零点分段”的办法,将带有绝对值符号的代数式在各“取值段”化简,即可去掉绝 对值符号,比如化简|x−1)+|x−3)时, 可令x−1=0和x−3=0, 分别求得x=1,x=3 (称1, 3分别 是|x−1)和|x−3)的零点值), 这样可以就x<1,1≤x<3,x≥3三种情况进行讨论: (1) 当x<1时,|x−1|+)x−3)=−(x−1)−(x−3)=4−2x (2) 当1≤x<3时,|x−1|+)x−3)=(x−1)−(x−3)=2; (3) 当x≥3时,|x−1)+|x−3)=(x−1)+(x−3)=2x−4, {4−2x(x<1) ) 所以|x−1)+|x−3)就可以化简为 2(1≤x<3) 2x−4(x≥3) 预备知识3:函数y=b(b为常数)称为常数函数,其图象如图③所示.[知识迁移] 如图④,直线y=x+1与直线y=ax+b相交于点A(m,3),则关于x的不等式x+1≤ax+b的解集是 ___________. [问题解决] 结合前面的预备知识,我们来研究怎样解不等式|x−1|+)x−3)>x+2.. (1)请在平面直角坐标系内作出函数y=|x−1)+|x−3)的图象; (2)通过观察图象,便可得到不等式|x−1|+)x−3)>x+2的解集,这个不等式的解集为_______. 【题型17 分段函数与绝对值函数】 【例17】(24-25八年级·湖北武汉·阶段练习)某数学兴趣小组想探究函数F:y=|x−1)的图象与性质. (1)根据绝对值的意义将函数F的解析式化简: 当x≥1时,函数解析式为y=________, 当x<1时,函数解析式为y=________; (2)在下边的平面直角坐标系中直接画出函数F的图象; 1 (3)设函数F:y=|x−1)的图象与x轴交于点A,与y轴交于点B,直线l:y=mx− (m为常数)与y轴交 2 于点C. ①若直线l与函数F的图象交于P,Q两点(P在Q左侧),且S =S ,求m的值; △APQ △BCP ②若直线l与函数F的图象恰有一个公共点,直接写出m的取值范围________.【变式17-1】函数图象在探索函数的性质中有非常重要的作用,下面我们就一类特殊的函数展开探索.画 函数y=−2|x|的图象,经历分析解析式、列表、描点、连线过程得到函数图象如图所示;经历同样的过 程画函数y=−2|x|+2和y=−2|x+2|的图象如图所示. x … ﹣3 ﹣2 ﹣1 0 1 2 3 … y … ﹣6 ﹣4 ﹣2 0 ﹣2 ﹣4 ﹣6 … (1)观察发现:三个函数的图象都是由两条射线组成的轴对称图形;三个函数解折式中绝对值前面的系 数相同,则图象的开口方向和形状完全相同,只有最高点和对称轴发生了变化.写出点A,B的坐标和函 数y=−2|x+2|的对称轴. (2)探索思考:平移函数y=−2|x|的图象可以得到函数y=−2|x|+2和y=−2|x+2|的图象,分别 写出平移的方向和距离. (3)拓展应用:在所给的平面直角坐标系内画出函数y=−2|x−3|+1的图象.若点(x ,y )和(x ,y ) 1 1 2 2 在该函数图象上,且x >x >3,比较y ,y 的大小. 2 1 1 2 【变式17-2】(24-25八年级·江苏南京·期末)若一个函数,对于自变量的不同取值范围,该函数有不同的 表达式,则这样的函数称为“分段函数”. 当x≥0时,y =kx+2;当x<0时,y =kx−2,可以记作分段函数 y = {kx+2(x≥0)) . 1 1 1 kx−2(x<0) (1)若k=1时,画出y 与x之间的函数图像,并写出该函数两条不同类型的性质. 1(2)正比例函数y =2kx的图像与函数y 的图像的一个交点坐标为(−2,−4),当y >y 时,x的取值范围是 2 1 1 2 ______; (3)已知点A(2,1),B(−1,−1),函数y 的图像与线段AB的交点个数随k的值的变化而变化,直接写出交点 1 个数及对应的k的取值范围. 【变式17-3】(24-25八年级·安徽安庆·专题练习)在函数的学习中,我们经历了列表,描点,连线画函数 图象,并结合图象研究函数性质的过程.若一个函数当自变量在不同范围内取值时,函数表达式不同,我 们称这样的函数为分段函数.下面我们参照函数学习的过程与方法,探究分段函数y={ 2x+8,x≤−3 ) |2x+4|,x>−3 的图象与性质,探究过程如下,请补充完整. (1)列表: x … −5 −4 −3 −2 −1 0 1 … y … −2 0 2 0 2 4 6 … 描点:在平面直角坐标系中,以自变量x的取值为横坐标,以相应的函数值y为纵坐标,描出相应的点, 如图所示,请画出函数的图象. (2)研究函数并结合图象,回答下列问题: 3 ①点A(−4,y ),B(− ,y ),C(x ,1),D(x ,−3)在函数图象上,则y y ,x x (填“> 1 2 2 1 2 1 2 1 2 ”,“ =”或“<” ); ②在直线x=−3的右侧的函数图象上有两个不同的点E(x ,y ),F(x ,y ),且y = y ,则x +x 的值为 3 3 4 4 3 4 3 4 ;(注:直线x=−3为经过(−3,0)且垂直x轴的直线) 7 ③当− −3时,若正方形PQMN相邻两边 与线段GH只有两个交点,直接写出m的取值范围. 【题型18 一次函数的应用】 【例18】(24-25八年级·河北保定·期末)为探究气温与海拔高度的关系,同学们在气象人员的指导下利用 探测气球进行了试验.选用的1号气球,2号气球从海拔10米的A处同时出发,其中1号气球以8米/秒 的速度匀速上升;2号气球以6米/秒的速度匀速上升,30秒时,1号球不再继续上升,悬浮,等2号气球 达到同一高度时,1号气球返航,2号气球继续上升.1号气球匀速下降,又过了40秒降落到出发点.设1 号,2号气球在飞行过程中的海拔高度分别为y (米),y (米),它们飞行的时间为x(秒).(注 1 2 意:本题所求表达式不用注明自变量取值范围) (1)C点坐标为______; (2)直接写出2号气球在飞行过程中的海拔高度y (米)与飞行的时间x(秒)之间的函数表达式; 2(3)求出线段CD对应的海拔高度y (米)关于飞行的时间x(秒)的函数表达式,并说明一次项系数的实 1 际意义是什么? (4)直接写出两个气球从出发到1号气球返回出发点这个时间段里,两球高度之差ℎ小于或等于60米的总时 长是多少. 【变式18-1】(24-25八年级·湖北荆门·期末)为了落实“乡村振兴”政策,A,B两城决定向C,D两乡运 送水泥建设美丽乡村,已知A,B两城分别有水泥200吨和300吨,从A城往C,D两乡运送水泥的费用分别 为20元/吨和25元/吨;从B城往C,D两乡运送水泥的费用分别为15元/吨和24元/吨,现C乡需要水泥240 吨,D乡需要水泥260吨. (1)设从A城运往C乡的水泥x吨.设总运费为y元,写出y与x的函数关系式并求出最少总运费. (2)为了更好地支援乡村建设,A城运往C乡的运费每吨减少a(00)元,同时B种盆栽 批发价每盆下降了m元.该超市决定不调整盆栽零售价,发现将300盆盆栽全部卖出获得的最低利润是 1460元,求m的值. 【变式18-3】(24-25八年级·广东深圳·期末)综合实践: 如图①所示,A、B两地相距720千米,C地位于A、B两地之间.高铁G234从 素 A地出发经C地匀速驶向B地,高铁G235从B地出发经C地驶往A地. 材 1 1月10日高铁G234时刻表 素 材 站名 到时 发时 停留 2 A站 —— 09:00 ——C站 11:00 11:10 10分 B站 12:10 —— —— 1月10日高铁G235时刻表 站 到时 发时 停留 名 B站 —— 09:00 —— C站 10:30 10:35 5分 A站 12:35 —— —— 问题解决 任 a的值为______,b的值为______,高铁G234在行驶过程中速 收集信息 务1 度是______km/min. 任 建立一次 根据图②求高铁G235由C站往A站行驶过程中距离C站的路 务2 函数模型 程y(km)与行驶时间x(min)之间的函数表达式. 任 求出1月10日G234、G235两列高铁在相遇后两车之间距离不 解决问题 务3 超过200km的当日时刻范围.