当前位置:首页>文档>专题05数列求和(倒序相加法、分组求和法)(典型题型归类训练)(解析版)_02高考数学_2025年新高考资料_专项复习_解题思路训练2025年高考数学复习解答题提优秘籍(新高考专用)

专题05数列求和(倒序相加法、分组求和法)(典型题型归类训练)(解析版)_02高考数学_2025年新高考资料_专项复习_解题思路训练2025年高考数学复习解答题提优秘籍(新高考专用)

  • 2026-04-08 04:35:18 2026-04-08 04:21:00

文档预览

专题05数列求和(倒序相加法、分组求和法)(典型题型归类训练)(解析版)_02高考数学_2025年新高考资料_专项复习_解题思路训练2025年高考数学复习解答题提优秘籍(新高考专用)
专题05数列求和(倒序相加法、分组求和法)(典型题型归类训练)(解析版)_02高考数学_2025年新高考资料_专项复习_解题思路训练2025年高考数学复习解答题提优秘籍(新高考专用)
专题05数列求和(倒序相加法、分组求和法)(典型题型归类训练)(解析版)_02高考数学_2025年新高考资料_专项复习_解题思路训练2025年高考数学复习解答题提优秘籍(新高考专用)
专题05数列求和(倒序相加法、分组求和法)(典型题型归类训练)(解析版)_02高考数学_2025年新高考资料_专项复习_解题思路训练2025年高考数学复习解答题提优秘籍(新高考专用)
专题05数列求和(倒序相加法、分组求和法)(典型题型归类训练)(解析版)_02高考数学_2025年新高考资料_专项复习_解题思路训练2025年高考数学复习解答题提优秘籍(新高考专用)
专题05数列求和(倒序相加法、分组求和法)(典型题型归类训练)(解析版)_02高考数学_2025年新高考资料_专项复习_解题思路训练2025年高考数学复习解答题提优秘籍(新高考专用)
专题05数列求和(倒序相加法、分组求和法)(典型题型归类训练)(解析版)_02高考数学_2025年新高考资料_专项复习_解题思路训练2025年高考数学复习解答题提优秘籍(新高考专用)
专题05数列求和(倒序相加法、分组求和法)(典型题型归类训练)(解析版)_02高考数学_2025年新高考资料_专项复习_解题思路训练2025年高考数学复习解答题提优秘籍(新高考专用)
专题05数列求和(倒序相加法、分组求和法)(典型题型归类训练)(解析版)_02高考数学_2025年新高考资料_专项复习_解题思路训练2025年高考数学复习解答题提优秘籍(新高考专用)
专题05数列求和(倒序相加法、分组求和法)(典型题型归类训练)(解析版)_02高考数学_2025年新高考资料_专项复习_解题思路训练2025年高考数学复习解答题提优秘籍(新高考专用)
专题05数列求和(倒序相加法、分组求和法)(典型题型归类训练)(解析版)_02高考数学_2025年新高考资料_专项复习_解题思路训练2025年高考数学复习解答题提优秘籍(新高考专用)
专题05数列求和(倒序相加法、分组求和法)(典型题型归类训练)(解析版)_02高考数学_2025年新高考资料_专项复习_解题思路训练2025年高考数学复习解答题提优秘籍(新高考专用)
专题05数列求和(倒序相加法、分组求和法)(典型题型归类训练)(解析版)_02高考数学_2025年新高考资料_专项复习_解题思路训练2025年高考数学复习解答题提优秘籍(新高考专用)
专题05数列求和(倒序相加法、分组求和法)(典型题型归类训练)(解析版)_02高考数学_2025年新高考资料_专项复习_解题思路训练2025年高考数学复习解答题提优秘籍(新高考专用)
专题05数列求和(倒序相加法、分组求和法)(典型题型归类训练)(解析版)_02高考数学_2025年新高考资料_专项复习_解题思路训练2025年高考数学复习解答题提优秘籍(新高考专用)
专题05数列求和(倒序相加法、分组求和法)(典型题型归类训练)(解析版)_02高考数学_2025年新高考资料_专项复习_解题思路训练2025年高考数学复习解答题提优秘籍(新高考专用)
专题05数列求和(倒序相加法、分组求和法)(典型题型归类训练)(解析版)_02高考数学_2025年新高考资料_专项复习_解题思路训练2025年高考数学复习解答题提优秘籍(新高考专用)
专题05数列求和(倒序相加法、分组求和法)(典型题型归类训练)(解析版)_02高考数学_2025年新高考资料_专项复习_解题思路训练2025年高考数学复习解答题提优秘籍(新高考专用)
专题05数列求和(倒序相加法、分组求和法)(典型题型归类训练)(解析版)_02高考数学_2025年新高考资料_专项复习_解题思路训练2025年高考数学复习解答题提优秘籍(新高考专用)
专题05数列求和(倒序相加法、分组求和法)(典型题型归类训练)(解析版)_02高考数学_2025年新高考资料_专项复习_解题思路训练2025年高考数学复习解答题提优秘籍(新高考专用)
专题05数列求和(倒序相加法、分组求和法)(典型题型归类训练)(解析版)_02高考数学_2025年新高考资料_专项复习_解题思路训练2025年高考数学复习解答题提优秘籍(新高考专用)
专题05数列求和(倒序相加法、分组求和法)(典型题型归类训练)(解析版)_02高考数学_2025年新高考资料_专项复习_解题思路训练2025年高考数学复习解答题提优秘籍(新高考专用)
专题05数列求和(倒序相加法、分组求和法)(典型题型归类训练)(解析版)_02高考数学_2025年新高考资料_专项复习_解题思路训练2025年高考数学复习解答题提优秘籍(新高考专用)
专题05数列求和(倒序相加法、分组求和法)(典型题型归类训练)(解析版)_02高考数学_2025年新高考资料_专项复习_解题思路训练2025年高考数学复习解答题提优秘籍(新高考专用)
专题05数列求和(倒序相加法、分组求和法)(典型题型归类训练)(解析版)_02高考数学_2025年新高考资料_专项复习_解题思路训练2025年高考数学复习解答题提优秘籍(新高考专用)
专题05数列求和(倒序相加法、分组求和法)(典型题型归类训练)(解析版)_02高考数学_2025年新高考资料_专项复习_解题思路训练2025年高考数学复习解答题提优秘籍(新高考专用)
专题05数列求和(倒序相加法、分组求和法)(典型题型归类训练)(解析版)_02高考数学_2025年新高考资料_专项复习_解题思路训练2025年高考数学复习解答题提优秘籍(新高考专用)
专题05数列求和(倒序相加法、分组求和法)(典型题型归类训练)(解析版)_02高考数学_2025年新高考资料_专项复习_解题思路训练2025年高考数学复习解答题提优秘籍(新高考专用)
专题05数列求和(倒序相加法、分组求和法)(典型题型归类训练)(解析版)_02高考数学_2025年新高考资料_专项复习_解题思路训练2025年高考数学复习解答题提优秘籍(新高考专用)
专题05数列求和(倒序相加法、分组求和法)(典型题型归类训练)(解析版)_02高考数学_2025年新高考资料_专项复习_解题思路训练2025年高考数学复习解答题提优秘籍(新高考专用)
专题05数列求和(倒序相加法、分组求和法)(典型题型归类训练)(解析版)_02高考数学_2025年新高考资料_专项复习_解题思路训练2025年高考数学复习解答题提优秘籍(新高考专用)
专题05数列求和(倒序相加法、分组求和法)(典型题型归类训练)(解析版)_02高考数学_2025年新高考资料_专项复习_解题思路训练2025年高考数学复习解答题提优秘籍(新高考专用)
专题05数列求和(倒序相加法、分组求和法)(典型题型归类训练)(解析版)_02高考数学_2025年新高考资料_专项复习_解题思路训练2025年高考数学复习解答题提优秘籍(新高考专用)
专题05数列求和(倒序相加法、分组求和法)(典型题型归类训练)(解析版)_02高考数学_2025年新高考资料_专项复习_解题思路训练2025年高考数学复习解答题提优秘籍(新高考专用)

文档信息

文档格式
docx
文档大小
1.412 MB
文档页数
30 页
上传时间
2026-04-08 04:21:00

文档内容

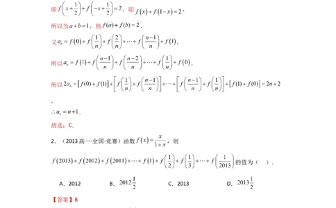
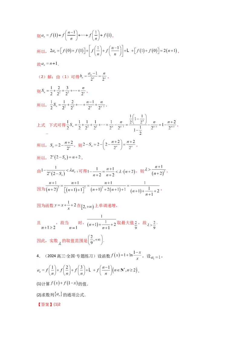
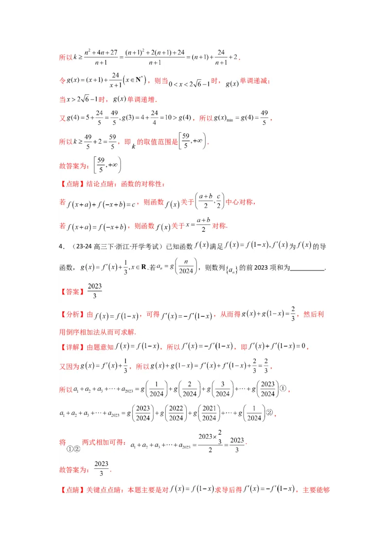
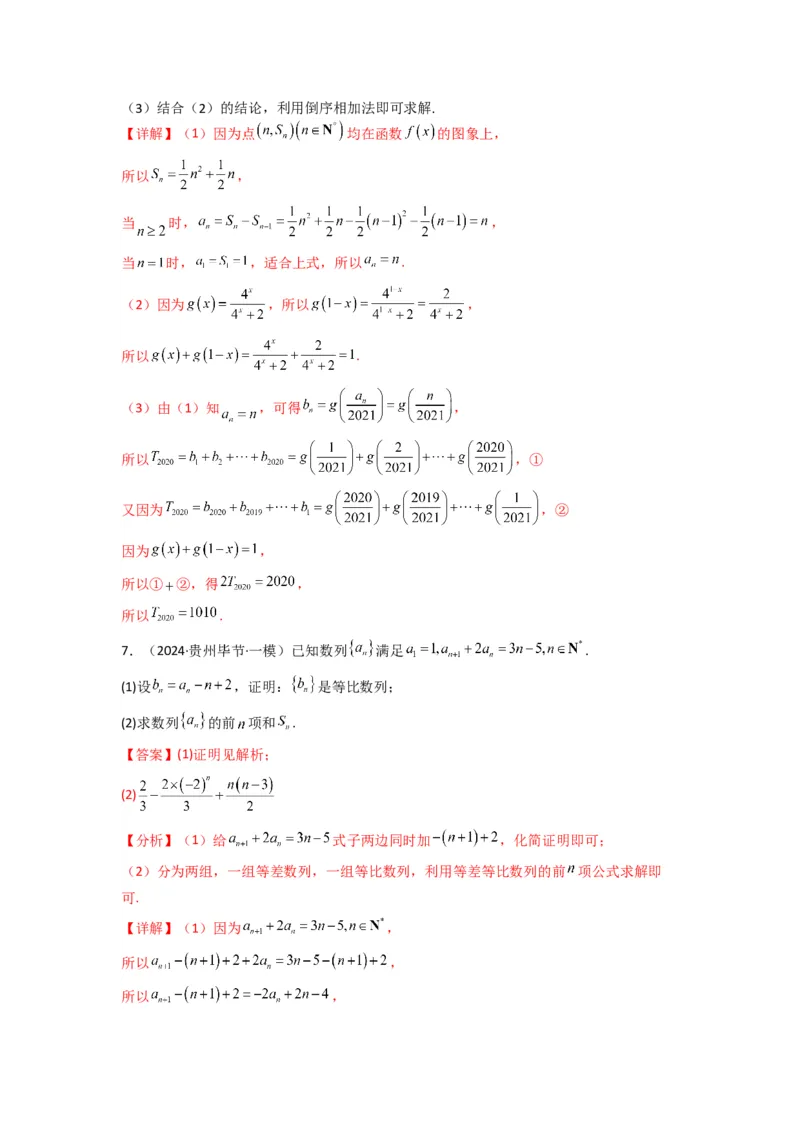
专题 05 数列求和(倒序相加法、分组求和法) (典型题型归类训练) 目录 一、必备秘籍..............................................1 二、典型题型..............................................1 题型一:倒序相加法.....................................1 题型二:通项为 型求和...........................5 题型三:通项为 型求和....................10 三、专题05 数列求和(倒序相加法、分组求和法)专项训练. . .16 一、必备秘籍 1、倒序相加法,即如果一个数列的前 项中,距首末两项“等距离”的两项之和都相等, 则可使用倒序相加法求数列的前 项和. 2、分组求和法 2.1如果一个数列可写成 的形式,而数列 , 是等差数列或等比数列 或可转化为能够求和的数列,那么可用分组求和法. 2.2如果一个数列可写成 的形式,在求和时可以使用分组求和法. 二、典型题型 题型一:倒序相加法 1.(2023高一·全国·竞赛)已知 , 其中 是 上的奇函数,则数列 的通项公式为( ).A. B. C. D. 【答案】C 【分析】由奇函数的性质可得 ,从而得到 ,再利用倒 序相加法计算可得. 【详解】因为 是 上的奇函数, 则 ,即 , 即 ,即 , 所以当 ,则 , 又 , 所以 , 所以 , . 故选:C. 2.(2013高一·全国·竞赛)函数 ,则 的值为( ). A.2012 B. C.2013 D. 【答案】B 【分析】由题意可得 ,再由倒序相加法求解即可. 【详解】由 可得: , 所以 , ,所以设 , 则两式相加可得: . 故选:B. 3.(2024高三·全国·专题练习)德国大数学家高斯年少成名,被誉为数学王子.他年幼 时,在 的求和运算中,提出了倒序相加法的原理,该原理基于所给数据前 后对应项的和呈现一定的规律而生成.此方法也称为高斯算法.现有函数 , 设数列 满足 ,若存在 使不 等式 成立,则 的取值范围是 . 【答案】 【分析】先计算出 的图象关于点 中心对称,利用倒序相加求出 ,从而 得到 ,结合对勾函数的单调性得到 ,求出 的取值 范围. 【详解】因为 , 所以 的图象关于点 中心对称. 因为 , 所以 , 两式相加得 ,所以 . 由 ,得 ,所以 . 令 ,则当 时, 单调递减; 当 时, 单调递增. 又 ,所以 , 所以 ,即 的取值范围是 . 故答案为: 【点睛】结论点睛:函数的对称性: 若 ,则函数 关于 中心对称, 若 ,则函数 关于 对称. 4.(23-24高三下·浙江·开学考试)已知函数 满足 为 的导 函数, .若 ,则数列 的前2023项和为 . 【答案】 【分析】由 ,可得 ,从而得 ,然后利 用倒序相加法从而可求解. 【详解】由题意知 ,所以 ,即 , 又因为 ,所以 , 所以 , , 将 两式相加可得: . 故答案为: . 【点睛】关键点点睛:本题主要是对 求导后得 ,主要能够找到 的关系,再根据倒序相加法从而可求解. 5.(23-24高二下·全国·课前预习)已知函数 . (1)求证 为定值; (2)若数列 的通项公式为 ( 为正整数, , , , ),求数列 的前 项和 ; 【答案】(1)证明见解析 (2) 【分析】(1)由函数 的解析式得出 的表达式,化简后可得 为 定值; (2)由于 ,可得 ,即 ,倒序相加可 得 . 【详解】(1)证明:由于函数 , 则 , 所以 . (2)由(1)可知, , 则 ,其中 为正整数, , 即 ,且 , 所以 ,其中 为正整数, , 且 , ,① 变化前 项顺序后,可得: ,②① ②得: , 因此 . 题型二:通项为 型求和 1.(23-24高二下·安徽六安·阶段练习)已知数列 是正项等比数列,其前n项和为 ,且 , . (1)求 的通项公式; (2)求 的前n项和为 ,并求满足 的最小整数n. 【答案】(1) (2) ,11 【分析】(1)根据等比数列的通向公式,结合题意建立方程组,可得答案; (2)利用分组求和公式,结合等比数列以及等差数列求和公式,可得答案. 【详解】(1)设 的公比为 ,则 , 因为 ,所以 ,依题意可得 ,即 , 整理得 ,解得 或 (舍去), 所以 . (2)由(1)可知 , 故 . 显然, 随着 的增大而增大, , , 所以满足 的最小整数 . 2.(23-24高三上·湖南·阶段练习)已知数列 的前n项和为 ,对于任意的 ,都 有点 在直线 上. (1)求数列 的通项公式;(2)记数列 的前n项中的最大值为 ,最小值为 ,令 ,求数列 的前 20项和 . 【答案】(1) (2) 【分析】(1)当 时, ,两式相减得 ,可证明数列 是以 首项为1,公比为 的等比数列,即可求出数列 的通项公式; (2)分别求出当 为奇数和 为偶数时,数列 的前n项中的最大值为 ,最小值为 ,即可求出 ,再由分组求和法结合等比数列的前n项和公式求解即可. 【详解】(1)对于任意的 ,都有点 在直线 上. 即对于任意的 都有 , 当 时, ,两式相减得 ,即 , 进而得 , 当 时, ,故 , 所以数列 是以首项为1,公比为 的等比数列, 所以 . (2)当 为奇数时, ,且 ,当 为偶数时, ,且 , 因此当 为大于1的奇数时, 的前n项中的最大值为 , 最小值为 ,此时 , 因此当 为偶数时, 的前n项中的最大值为 , 最小值为 ,此时 , 当 时, , 因此 的前20项和:. 3.(23-24高二下·四川南充·阶段练习)给定数列 ,称 为 的差数列(或一 阶差数列),称数列 的差数列为 的二阶差数列,若 . (1)设 的二阶差数列为 ,求 的通项公式. (2)在(1)的条件下,设 ,求 的前n项和为 【答案】(1) (2) 【分析】(1)借助定义计算即可得; (2)借助等差数列及等比数列的求和公式计算即可得. 【详解】(1) ,则 ; (2) , 则 . 4.(2024·河北唐山·一模)已知数列 是正项等比数列,其前n项和为 ,且 , . (1)求 的通项公式; (2)记 的前n项和为 ,求满足 的最大整数n. 【答案】(1) (2) 【分析】(1)直接利用等比数列的通项公式和前 项和公式列方程组解出公比 ,从而可 求出通项公式; (2)由(1)得 ,然后用分组求和法即可求 ,分别计算 和 ,即可确定 的值. 【详解】(1)设 的公比为 ,则 , 因为 ,所以 ,依题意可得 ,即 , 整理得 , 解得 或 (舍去), 所以 . (2)由(1)可知 , 故 显然, 随着 的增大而增大, , , 所以满足 的最大整数 . 5.(23-24高二下·河南平顶山·阶段练习)已知数列 是等比数列,数列 是等差数 列,且 , , . (1)求数列 和 的通项公式; (2)记 ,数列 的前n项和为 ,求满足 的最小的正整数n的值. 【答案】(1) , ; (2) 【分析】(1)由题意,列出关于公差 与公比 的方程组,求解方程组,然后根据等差、 等比数列的通项公式即可得答案; (2)由(1)可得 ,利用分组求和法及等比、等差数列的前n项和公式即可 求解. 【详解】(1)设等比数列 的公比为 ,等差数列 的公差为 , 由 ,可得 , 由题意, ,整理得 , 解得 或 (舍去),则 , 所以 , ; (2)由(1)可得: ,. 因为 在 上单调递增,所以 可得: ,所以 , 当 时, , 当 时, , 故满足 的最小的正整数n的值为 . 6.(23-24高二下·山东·阶段练习)已知数列 为等差数列,且 . (1)求 ; (2)若 ,数列 的前 项和为 ,证明: . 【答案】(1) (2)证明见解析 【分析】(1)利用等差数列的通项公式即可求解; (2)根据(1)结论及指数的运算,利用分组求和法、等比数列的前 项和公式及裂项相 消法即可求解. 【详解】(1)设等差数列 的公差为 ,则 , 数列 的通项公式为 ,即 . (2)由(1)知, , , ,, , . 题型三:通项为 型求和 1.(23-24高二下·上海闵行·阶段练习)已知正项数列 中, ,点 在 抛物线 ,数列 中,点 在经过点 ,斜率 的直线l上. (1)求数列 , 的通项公式; (2)若 ,若 表示 的前n项和,求 ; (3)若 ,问是否存在 ,使得 成立?若存在,求 出k的值;若不存在,说明理由. 【答案】(1) , (2) (3)存在, 【分析】(1)将 代入抛物线方程得数列 是等差数列,从而得通项公式, 求出直线方程后可得 ; (2)分类讨论,按n的奇偶分类讨论,然后利用数列的分组求和可得 (3)分类讨论,按k的奇偶分类讨论即可求解; 【详解】(1)将 代入抛物线方程得, , 所以 ,所以数列 是等差数列,所以 , 又直线在经过点 ,斜率 ,所以直线方程为 , 因为 在直线l上,所以 (2)由题意得, , 当n为偶数时,令 , 所以 , 所以 当n为奇数时,令 , 所以 , 所以 (3)由 , ①当k是偶数时, 是奇数, , 即 , ②当k是奇数时, 是偶数, , 即 ,(舍去), 故存在唯一的 符合条件. 2.(2024·陕西安康·模拟预测)已知 为等差数列 的前 项和, . (1)求 的通项公式;(2)若数列 满足 ,求 的前2n项和 . 【答案】(1) (2) 【分析】(1)根据题意求出首项与公差,再根据等差数列的通项即可得解; (2)利用分组求和法和并项求和法求解即可. 【详解】(1)设等差数列 的为 , 由 , 得 ,解得 , 所以 ; (2)由(1)得 , 当 为奇数时, , 当 为偶数时, , 所以 . 3.(23-24高二上·河北石家庄·期末)已知正项数列 前n项和为 ,且满足 . (1)求数列 的通项公式; (2)若数列 满足 ,求数列 的前 项和 . 【答案】(1) (2) 【分析】(1)根据 与 之间的关系分析可知数列 是等差数列,结合等差数列通项 公式运算求解; (2)由(1)可得 ,利用分组求和以及裂项相消法运算求 解.【详解】(1)因为 ,则 , 两式相减得: , 整理得 , 且 为正项数列,可知 , 可得 ,即 , 可知数列 是以首项 ,公差 的等差数列, 所以 . (2)由(1)可得 , 当 为奇数,则 , 可得 , 所以 . 4.(23-24高二下·广东佛山·阶段练习)已知数列 满足 . (1)求证:数列 是等差数列,并求数列 的通项公式; (2)若 ,求数列 的前 项和 . 【答案】(1)证明见解析, (2) 【分析】(1)对递推式变形得 ,利用等差数列定义即可证明,代入等差数列 通项公式即可求解; (2)先利用(1)知 ,然后利用分组求和思想求解即可. 【详解】(1)显然 ,将 两边同时取倒数得 ,即,所以数列 是公差为2的等差数列, 所以 ,所的 . (2)由已知得 ,那么数列 的前 项和 , 当 为偶数时, ; 当 为奇数时, . 故 . 5.(2024高三·全国·专题练习)已知数列 是各项均为正数的等差数列, 为其前 项 和, ,且 . (1)求数列 的通项公式; (2)若数列 数列 的前 项和为 ,求 . 【答案】(1) (2) 【分析】(1)根据题意求出首项与公差,再根据等差数列的通项即可得解; (2)利用分组求和法求解即可. 【详解】(1)设数列 的公差为 .因为 , 所以 ,解得 , 所以 ; (2)由(1)可得, 所以 . 6.(2024·全国·模拟预测)数列 满足 , ,且. (1)求数列 的通项公式; (2)设 ,求数列 的前 项和 . 【答案】(1) (2) 【分析】(1)根据裂项求和即可求解, (2)根据并项求和即可求解. 【详解】(1)由题意可知,数列 是等差数列,设数列 的公差为 . 可转化为 , 即 , 即 , ,即 , , . (2)由题可得 , , 当 为偶数时, ; 当 为奇数时, . 综上所述, 三、专题05 数列求和(倒序相加法、分组求和法)专项训练 1.(2024高三·全国·专题练习)德国大数学家高斯年少成名,被誉为数学界的王子.在其 年幼时,对 的求和运算中,提出了倒序相加法的原理,该原理基于所给数 据前后对应项的和呈现一定的规律生成.因此,此方法也称为高斯算法.现有函数,则 的值为 . 【答案】1009 【分析】根据给定的函数式,求出 ,再利用倒序相加法求和作答. 【详解】由函数 ,得 , 令 , 则 , 两式相加得 ,解得 , 所以所求值为1009. 故答案为:1009 2.(23-24高二下·辽宁·阶段练习)德国大数学家高斯年少成名,被誉为数学界的王子,19 岁的高斯得到了一个数学史上非常重要的结论,就是《正十七边形尺规作图之理论与方 法》.在其年幼时,对 的求和运算中,提出了倒序相加法的原理,该原 理基于所给数据前后对应项的和呈现一定的规律生成,因此,此方法也称之为高斯算法, 现有函数 ,设数列 满足 ( ),则 . 【答案】 【分析】 计算出 , ,倒序相加得到答案. 【详解】, , 因为 ①, 所以 ②, 两式相加得 , 所以 . 故答案为: 3.(23-24高二上·福建龙岩·期末)已知函数 满足 ,数列 满 足: . (1)求数列 的通项公式; (2)数列 满足 ,其前 项和为 ,若 对任意 恒成 立,求实数 的取值范围. 【答案】(1) (2) 【分析】(1)利用倒序相加法可求得 ; (2)利用错位相减法求出 ,由已知条件结合参变量分离法可得出 ,利用对 勾函数的单调性求出 的最大值,即可得出实数 的取值范围. 【详解】(1)解:函数 满足 ,数列 满足 ,则 , 所以, , 故 . (2)解:由(1)可得 , 则 , 所以, , 上式 下式可得 , 所以, ,则 , 所以, , 由 可得 ,则 , 因为 , 因为函数 在 上单调递增, 且 ,故当 时, 取最大值 ,故 . 因此,实数 的取值范围是 . 4.(2024高三·全国·专题练习)设函数 ,设 , . (1)计算 的值. (2)求数列 的通项公式. 【答案】(1)2(2) 【分析】(1)直接计算 可得答案; (2)由(1)的计算结果,当 时,利用倒序相加法可得答案. 【详解】(1) ; (2)由题知,当 时, , 又 ,两式相加得 , 所以 , 又 不符合 , 所以 . 5.(23-24高三上·广东广州·阶段练习)已知函数 满足 ,若数列 满足: . (1)求数列 的通项公式; (2)若数列 满足 , ( ),数列 的前n项和为 ,若 对一切 恒成立,求实数 的取值范围. 【答案】(1) , ; (2) 【分析】(1)由 ,运用倒序相加求和,可得所求通项公式; (2)由(1)可得 的通项公式,由数列的裂项相消求和可得 ,再由参数分离和配方 法求得最值,即可得到所求的取值范围. 【详解】(1)因为 , 由 ①,则 ②, 所以 可得: , 故 , . (2)由(1)知, ,则 时, , 所以 . 又由 对一切 恒成立,可得 恒成立, 即有 对一切 恒成立. 当 时, 取得最大值 ,所以 ; 故实数 的取值范围是 . 6.(23-24高二·全国·课后作业)已知函数 ,数列 的前n项和为 , 点 均在函数 的图象上,函数 . (1)求数列 的通项公式; (2)求 的值; (3)令 ,求数列 的前2020项和 . 【答案】(1) (2) (3) 【分析】(1)由题意可得: ,由 即可求解; (2)求出 的表达式,由指数的运算即可求解;(3)结合(2)的结论,利用倒序相加法即可求解. 【详解】(1)因为点 均在函数 的图象上, 所以 , 当 时, , 当 时, ,适合上式,所以 . (2)因为 ,所以 , 所以 . (3)由(1)知 ,可得 , 所以 ,① 又因为 ,② 因为 , 所以① ②,得 , 所以 . 7.(2024·贵州毕节·一模)已知数列 满足 . (1)设 ,证明: 是等比数列; (2)求数列 的前 项和 . 【答案】(1)证明见解析; (2) 【分析】(1)给 式子两边同时加 ,化简证明即可; (2)分为两组,一组等差数列,一组等比数列,利用等差等比数列的前 项公式求解即 可. 【详解】(1)因为 , 所以 , 所以 ,所以 ,所以 , 又 ,则 , 所以 是以 为首项, 为公比的等比数列. (2)由(1)可知, , 由于 ,所以 , 所以 . 8.(2024·广西贺州·一模)在① ,② ,③ 这三个条件中任选一 个,补充在下面的问题中,并解答. 设 是递增的等比数列,其前n项和为 ,且 ,__________. (1)求 的通项公式; (2)若数列 满足 ,求数列 的前 项和 . (注:若选择多个解答,按第一个解答计分) 【答案】(1) ; (2) . 【分析】(1)选择条件①②③,利用等比数列的通项公式及前n项和列出方程,求出首 项、公比即可得解. (2)利用分组求和法,结合等差、等比数列n项和公式计算即得. 【详解】(1)由 是递增的等比数列, ,得数列 的公比 ,且 , 选择条件①, ,则 ,即 ,于是 , 所以 的通项公式是 .选择条件②, ,即 ,由 ,解得 , 所以 的通项公式是 . 选择条件③, ,则 , 而 ,解得 ,即有 , 所以 的通项公式是 . (2)由(1)知,当 为奇数时, ,当 为偶数时, , 所以 . 9.(2024高三·全国·专题练习)已知等差数列 前 项和为 ( ),数列 是 等比数列, , , , . (1)求数列 和 的通项公式; (2)若 ,设数列 的前 项和为 ,求 . 【答案】(1) , ; (2) . 【分析】(1)设等差数列 的公差为d,等比数列 的公比为 ( ),根据等差 等比数列通项公式基本量的计算可得结果. (2)求出 ,代入求出 ,再分组求和,利用裂项求和方法和等比数列的求和 公式可求得结果. 【详解】(1)设等差数列 的公差为 ,等比数列 的公比为 ( ), 由 , , , , 得 ,解得 , , 所以 , . (2)由(1)知, ,因此当 为奇数时, ,当 为偶数时, , 所以 . 10.(2024高二下·全国·专题练习)已知数列 的前 项和为 ,且满足 . (1)求数列 的通项公式; (2)若数列 ,求数列 的前 项和 . 【答案】(1) (2) 【分析】(1)由递推关系求解数列的通项即可; (2)利用分组求和即可. 【详解】(1)因为 , 当 时, , 当 时, , 则 , 当 时, 不成立,所以 . (2)由(1)可得 , 所以 11.(2024·内蒙古赤峰·一模)已知数列 ,______.在①数列 的前n项和为 , ;②数列 的前n项之积为 ,这两个条件中任选一个,补 充在上面的问题中并解答.(注:如果选择多个条件,按照第一个解答给分.在答题前应说明 “我选______”) (1)求数列 的通项公式;(2)令 ,求数列 的前n项和 . 【答案】(1)条件选择见解析, (2) 【分析】(1)选①或②均可证明数列 是以2为首项,2为公比的等比数列,再由等比 数列的通项公式求出数列 的通项公式; (2)由分组求和法结合等差、等比的前 项和公式求解即可. 【详解】(1)选①,当 时, ,即 , 当 时, (I), (II), (I) (II)得: ,即 , 所以数列 是以2为首项,2为公比的等比数列,所以 . 选②,当 时, ,即 , 当 时, ,即 , 当 时, 符合上式. 所以数列 是以2为首项,2为公比的等比数列,所以 (2)因为 ,所以 , 所以 . 12.(2024·福建莆田·二模)已知等差数列 的前 项和为 ,公差 ,且 成等比数列, . (1)求数列 的通项公式; (2)若 ,求数列 的前 项和 . 【答案】(1) (2)【分析】(1)根据题意列式求 ,进而可得结果; (2)根据题意利用分组求和法结合等差、等比数列求和公式运算求解. 【详解】(1)由题意可得: ,即 , 且 ,解得 , 所以数列 的通项公式 . (2)由(1)可得 , 可得 , 所以 . 13.(23-24高二上·贵州毕节·期末)已知递增的等比数列 满足 ,且 成等差数列. (1)求 的通项公式; (2)设 求数列 的前 项和. 【答案】(1) (2) 【分析】(1)已知等比数列,依据题意求出基本量即可. (2)讨论奇偶项,转化为等比数列求和即可. 【详解】(1)由题意,设等比数列 的公比为 , 则 , 成等差数列, ,即 , 化简整理,得 ,解得 (舍去),或 , 首项 , . (2)由(1)可得 则数列 的前 项和为 14.(23-24高二上·山东青岛·期末)已知等差数列 的前 项和为 ,公差为 ,且 成等比数列, . (1)求数列 的通项公式; (2)若 ,求数列 的前30项的和 . 【答案】(1) (2) 【分析】(1)利用等比中项公式,结合等差数列的通项公式与求和公式求得 ,从而 得解; (2)利用并项求和法,结合等差数列的求和公式即可得解. 【详解】(1)依题意 ,则 ,解得 , 则 ,故 , 所以 ,解得 ,则 , 故 . (2) ,, . 15.(23-24高二上·浙江杭州·期末)已知数列 的前 项和为 ,满足 ,数列 满足 , . (1)求数列 、 的通项公式; (2) ,求数列 的前 项和 ; 【答案】(1) , (2) 【分析】(1)利用 可得 ,从而可得 为等比数列,故可得 其通项公式,利用累加法可求 的通项公式; (2)利用分组求和法可求 ,注意就 的奇偶性分类讨论. 【详解】(1)在数列 中 ,当 时 ,解得 ; 当 时,由 ,则 ,即 , 因为 ,故 , 所以数列 是以 为首项, 为公比的等比数列即 . 在数列 中 , ,即 , 则当 时, , , , , 由累加法得 , 所以 ,当 时, 也符合上式,所以 . (2)由(1)可得 , 当 为偶数时, = ; 当 为奇数时, = , 综上可得 .