当前位置:首页>文档>专题06函数的图象、零点、方程及其应用(教师版)_02高考数学_通用版(老高考)复习资料_2024年复习资料_完备战2024年高考数学一轮复习考点帮(全国通用)_核心考点讲练

专题06函数的图象、零点、方程及其应用(教师版)_02高考数学_通用版(老高考)复习资料_2024年复习资料_完备战2024年高考数学一轮复习考点帮(全国通用)_核心考点讲练

  • 2026-04-08 06:21:17 2026-04-08 06:15:01

文档预览

专题06函数的图象、零点、方程及其应用(教师版)_02高考数学_通用版(老高考)复习资料_2024年复习资料_完备战2024年高考数学一轮复习考点帮(全国通用)_核心考点讲练
专题06函数的图象、零点、方程及其应用(教师版)_02高考数学_通用版(老高考)复习资料_2024年复习资料_完备战2024年高考数学一轮复习考点帮(全国通用)_核心考点讲练
专题06函数的图象、零点、方程及其应用(教师版)_02高考数学_通用版(老高考)复习资料_2024年复习资料_完备战2024年高考数学一轮复习考点帮(全国通用)_核心考点讲练
专题06函数的图象、零点、方程及其应用(教师版)_02高考数学_通用版(老高考)复习资料_2024年复习资料_完备战2024年高考数学一轮复习考点帮(全国通用)_核心考点讲练
专题06函数的图象、零点、方程及其应用(教师版)_02高考数学_通用版(老高考)复习资料_2024年复习资料_完备战2024年高考数学一轮复习考点帮(全国通用)_核心考点讲练
专题06函数的图象、零点、方程及其应用(教师版)_02高考数学_通用版(老高考)复习资料_2024年复习资料_完备战2024年高考数学一轮复习考点帮(全国通用)_核心考点讲练
专题06函数的图象、零点、方程及其应用(教师版)_02高考数学_通用版(老高考)复习资料_2024年复习资料_完备战2024年高考数学一轮复习考点帮(全国通用)_核心考点讲练
专题06函数的图象、零点、方程及其应用(教师版)_02高考数学_通用版(老高考)复习资料_2024年复习资料_完备战2024年高考数学一轮复习考点帮(全国通用)_核心考点讲练
专题06函数的图象、零点、方程及其应用(教师版)_02高考数学_通用版(老高考)复习资料_2024年复习资料_完备战2024年高考数学一轮复习考点帮(全国通用)_核心考点讲练
专题06函数的图象、零点、方程及其应用(教师版)_02高考数学_通用版(老高考)复习资料_2024年复习资料_完备战2024年高考数学一轮复习考点帮(全国通用)_核心考点讲练
专题06函数的图象、零点、方程及其应用(教师版)_02高考数学_通用版(老高考)复习资料_2024年复习资料_完备战2024年高考数学一轮复习考点帮(全国通用)_核心考点讲练
专题06函数的图象、零点、方程及其应用(教师版)_02高考数学_通用版(老高考)复习资料_2024年复习资料_完备战2024年高考数学一轮复习考点帮(全国通用)_核心考点讲练
专题06函数的图象、零点、方程及其应用(教师版)_02高考数学_通用版(老高考)复习资料_2024年复习资料_完备战2024年高考数学一轮复习考点帮(全国通用)_核心考点讲练
专题06函数的图象、零点、方程及其应用(教师版)_02高考数学_通用版(老高考)复习资料_2024年复习资料_完备战2024年高考数学一轮复习考点帮(全国通用)_核心考点讲练
专题06函数的图象、零点、方程及其应用(教师版)_02高考数学_通用版(老高考)复习资料_2024年复习资料_完备战2024年高考数学一轮复习考点帮(全国通用)_核心考点讲练
专题06函数的图象、零点、方程及其应用(教师版)_02高考数学_通用版(老高考)复习资料_2024年复习资料_完备战2024年高考数学一轮复习考点帮(全国通用)_核心考点讲练
专题06函数的图象、零点、方程及其应用(教师版)_02高考数学_通用版(老高考)复习资料_2024年复习资料_完备战2024年高考数学一轮复习考点帮(全国通用)_核心考点讲练
专题06函数的图象、零点、方程及其应用(教师版)_02高考数学_通用版(老高考)复习资料_2024年复习资料_完备战2024年高考数学一轮复习考点帮(全国通用)_核心考点讲练
专题06函数的图象、零点、方程及其应用(教师版)_02高考数学_通用版(老高考)复习资料_2024年复习资料_完备战2024年高考数学一轮复习考点帮(全国通用)_核心考点讲练
专题06函数的图象、零点、方程及其应用(教师版)_02高考数学_通用版(老高考)复习资料_2024年复习资料_完备战2024年高考数学一轮复习考点帮(全国通用)_核心考点讲练
专题06函数的图象、零点、方程及其应用(教师版)_02高考数学_通用版(老高考)复习资料_2024年复习资料_完备战2024年高考数学一轮复习考点帮(全国通用)_核心考点讲练
专题06函数的图象、零点、方程及其应用(教师版)_02高考数学_通用版(老高考)复习资料_2024年复习资料_完备战2024年高考数学一轮复习考点帮(全国通用)_核心考点讲练
专题06函数的图象、零点、方程及其应用(教师版)_02高考数学_通用版(老高考)复习资料_2024年复习资料_完备战2024年高考数学一轮复习考点帮(全国通用)_核心考点讲练
专题06函数的图象、零点、方程及其应用(教师版)_02高考数学_通用版(老高考)复习资料_2024年复习资料_完备战2024年高考数学一轮复习考点帮(全国通用)_核心考点讲练
专题06函数的图象、零点、方程及其应用(教师版)_02高考数学_通用版(老高考)复习资料_2024年复习资料_完备战2024年高考数学一轮复习考点帮(全国通用)_核心考点讲练
专题06函数的图象、零点、方程及其应用(教师版)_02高考数学_通用版(老高考)复习资料_2024年复习资料_完备战2024年高考数学一轮复习考点帮(全国通用)_核心考点讲练
专题06函数的图象、零点、方程及其应用(教师版)_02高考数学_通用版(老高考)复习资料_2024年复习资料_完备战2024年高考数学一轮复习考点帮(全国通用)_核心考点讲练
专题06函数的图象、零点、方程及其应用(教师版)_02高考数学_通用版(老高考)复习资料_2024年复习资料_完备战2024年高考数学一轮复习考点帮(全国通用)_核心考点讲练
专题06函数的图象、零点、方程及其应用(教师版)_02高考数学_通用版(老高考)复习资料_2024年复习资料_完备战2024年高考数学一轮复习考点帮(全国通用)_核心考点讲练
专题06函数的图象、零点、方程及其应用(教师版)_02高考数学_通用版(老高考)复习资料_2024年复习资料_完备战2024年高考数学一轮复习考点帮(全国通用)_核心考点讲练
专题06函数的图象、零点、方程及其应用(教师版)_02高考数学_通用版(老高考)复习资料_2024年复习资料_完备战2024年高考数学一轮复习考点帮(全国通用)_核心考点讲练
专题06函数的图象、零点、方程及其应用(教师版)_02高考数学_通用版(老高考)复习资料_2024年复习资料_完备战2024年高考数学一轮复习考点帮(全国通用)_核心考点讲练
专题06函数的图象、零点、方程及其应用(教师版)_02高考数学_通用版(老高考)复习资料_2024年复习资料_完备战2024年高考数学一轮复习考点帮(全国通用)_核心考点讲练
专题06函数的图象、零点、方程及其应用(教师版)_02高考数学_通用版(老高考)复习资料_2024年复习资料_完备战2024年高考数学一轮复习考点帮(全国通用)_核心考点讲练
专题06函数的图象、零点、方程及其应用(教师版)_02高考数学_通用版(老高考)复习资料_2024年复习资料_完备战2024年高考数学一轮复习考点帮(全国通用)_核心考点讲练
专题06函数的图象、零点、方程及其应用(教师版)_02高考数学_通用版(老高考)复习资料_2024年复习资料_完备战2024年高考数学一轮复习考点帮(全国通用)_核心考点讲练
专题06函数的图象、零点、方程及其应用(教师版)_02高考数学_通用版(老高考)复习资料_2024年复习资料_完备战2024年高考数学一轮复习考点帮(全国通用)_核心考点讲练
专题06函数的图象、零点、方程及其应用(教师版)_02高考数学_通用版(老高考)复习资料_2024年复习资料_完备战2024年高考数学一轮复习考点帮(全国通用)_核心考点讲练
专题06函数的图象、零点、方程及其应用(教师版)_02高考数学_通用版(老高考)复习资料_2024年复习资料_完备战2024年高考数学一轮复习考点帮(全国通用)_核心考点讲练
专题06函数的图象、零点、方程及其应用(教师版)_02高考数学_通用版(老高考)复习资料_2024年复习资料_完备战2024年高考数学一轮复习考点帮(全国通用)_核心考点讲练
专题06函数的图象、零点、方程及其应用(教师版)_02高考数学_通用版(老高考)复习资料_2024年复习资料_完备战2024年高考数学一轮复习考点帮(全国通用)_核心考点讲练
专题06函数的图象、零点、方程及其应用(教师版)_02高考数学_通用版(老高考)复习资料_2024年复习资料_完备战2024年高考数学一轮复习考点帮(全国通用)_核心考点讲练
专题06函数的图象、零点、方程及其应用(教师版)_02高考数学_通用版(老高考)复习资料_2024年复习资料_完备战2024年高考数学一轮复习考点帮(全国通用)_核心考点讲练
专题06函数的图象、零点、方程及其应用(教师版)_02高考数学_通用版(老高考)复习资料_2024年复习资料_完备战2024年高考数学一轮复习考点帮(全国通用)_核心考点讲练
专题06函数的图象、零点、方程及其应用(教师版)_02高考数学_通用版(老高考)复习资料_2024年复习资料_完备战2024年高考数学一轮复习考点帮(全国通用)_核心考点讲练
专题06函数的图象、零点、方程及其应用(教师版)_02高考数学_通用版(老高考)复习资料_2024年复习资料_完备战2024年高考数学一轮复习考点帮(全国通用)_核心考点讲练
专题06函数的图象、零点、方程及其应用(教师版)_02高考数学_通用版(老高考)复习资料_2024年复习资料_完备战2024年高考数学一轮复习考点帮(全国通用)_核心考点讲练
专题06函数的图象、零点、方程及其应用(教师版)_02高考数学_通用版(老高考)复习资料_2024年复习资料_完备战2024年高考数学一轮复习考点帮(全国通用)_核心考点讲练
专题06函数的图象、零点、方程及其应用(教师版)_02高考数学_通用版(老高考)复习资料_2024年复习资料_完备战2024年高考数学一轮复习考点帮(全国通用)_核心考点讲练
专题06函数的图象、零点、方程及其应用(教师版)_02高考数学_通用版(老高考)复习资料_2024年复习资料_完备战2024年高考数学一轮复习考点帮(全国通用)_核心考点讲练
专题06函数的图象、零点、方程及其应用(教师版)_02高考数学_通用版(老高考)复习资料_2024年复习资料_完备战2024年高考数学一轮复习考点帮(全国通用)_核心考点讲练
专题06函数的图象、零点、方程及其应用(教师版)_02高考数学_通用版(老高考)复习资料_2024年复习资料_完备战2024年高考数学一轮复习考点帮(全国通用)_核心考点讲练
专题06函数的图象、零点、方程及其应用(教师版)_02高考数学_通用版(老高考)复习资料_2024年复习资料_完备战2024年高考数学一轮复习考点帮(全国通用)_核心考点讲练
专题06函数的图象、零点、方程及其应用(教师版)_02高考数学_通用版(老高考)复习资料_2024年复习资料_完备战2024年高考数学一轮复习考点帮(全国通用)_核心考点讲练
专题06函数的图象、零点、方程及其应用(教师版)_02高考数学_通用版(老高考)复习资料_2024年复习资料_完备战2024年高考数学一轮复习考点帮(全国通用)_核心考点讲练
专题06函数的图象、零点、方程及其应用(教师版)_02高考数学_通用版(老高考)复习资料_2024年复习资料_完备战2024年高考数学一轮复习考点帮(全国通用)_核心考点讲练
专题06函数的图象、零点、方程及其应用(教师版)_02高考数学_通用版(老高考)复习资料_2024年复习资料_完备战2024年高考数学一轮复习考点帮(全国通用)_核心考点讲练
专题06函数的图象、零点、方程及其应用(教师版)_02高考数学_通用版(老高考)复习资料_2024年复习资料_完备战2024年高考数学一轮复习考点帮(全国通用)_核心考点讲练
专题06函数的图象、零点、方程及其应用(教师版)_02高考数学_通用版(老高考)复习资料_2024年复习资料_完备战2024年高考数学一轮复习考点帮(全国通用)_核心考点讲练
专题06函数的图象、零点、方程及其应用(教师版)_02高考数学_通用版(老高考)复习资料_2024年复习资料_完备战2024年高考数学一轮复习考点帮(全国通用)_核心考点讲练
专题06函数的图象、零点、方程及其应用(教师版)_02高考数学_通用版(老高考)复习资料_2024年复习资料_完备战2024年高考数学一轮复习考点帮(全国通用)_核心考点讲练
专题06函数的图象、零点、方程及其应用(教师版)_02高考数学_通用版(老高考)复习资料_2024年复习资料_完备战2024年高考数学一轮复习考点帮(全国通用)_核心考点讲练
专题06函数的图象、零点、方程及其应用(教师版)_02高考数学_通用版(老高考)复习资料_2024年复习资料_完备战2024年高考数学一轮复习考点帮(全国通用)_核心考点讲练

文档信息

文档格式
docx
文档大小
4.651 MB
文档页数
59 页
上传时间
2026-04-08 06:15:01

文档内容

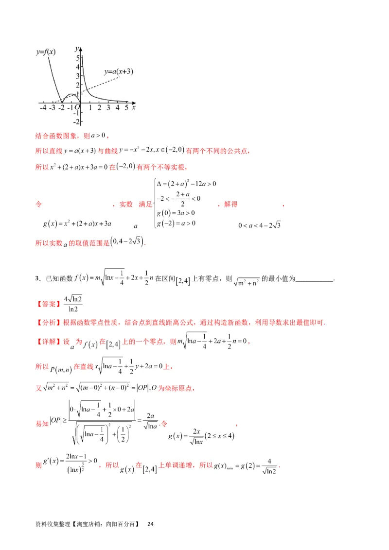
专题 06 函数的图象、零点、方程及其应用 (核心考点精讲精练) 1. 近几年真题考点分布 函数的图象、零点、方程及其应用近几年考情 考题示例 考点分析 关联考点 2019年全国III卷(理科),第7题,5 根据函数解析式判断图象 分 2019年全国I卷(文科),第5题,5分 根据函数解析式判断图象 三角函数 2021年全国甲(理科),第21题,5分 函数与函数的交点 导函数 2022年全国乙(文科),第8题,5分 根据函数图象判断解析式 三角函数 2022年全国乙(理科),第21题,12分 函数的零点 导函数 2022年全国甲(理科),第5题,5分 根据函数解析式判断图象 三角函数 2022年全国甲(理科),第11题,5分 函数的零点 三角函数 2022年全国甲(理科),第21题,12分 函数的零点 导函数 2023年全国甲(理科),第10题,5分 函数与函数的交点 三角函数 2023年全国乙(文科),第8题,5分 函数的零点 导函数 2. 命题规律及备考策略 【命题规律】1.本节内容为高考必考内容,一般出1-2个选择题,解答题也会考查函数的零点与方程; 2.根据函数的图象判断解析式或根据函数解析式判断图象,常常跟三角函数一起出题; 3.考查函数零点的个数,判断零点所在的区间,根据零点的数量求参数的取值范围。 【备考策略】1.能根据描点或初等函数图象作出其他简单复合函数的图象. 2.会根据函数解析式判断函数图象. 3.掌握函数图象的变换规则. 4.了解函数的零点与方程的解的关系. 5.理解函数零点存在定理,并能简单应用. 6.了解用二分法求方程的近似解. 【命题预测】1.考查函数零点的个数,根据零点的数量求参数的取值范围; 资料收集整理【淘宝店铺:向阳百分百】 12.根据函数解析式判断图象,可跟三角函数一起出题,重点考查函数的性质。 知识讲解 一、利用描点法作函数图象 描点法作函数图象的基本步骤是列表、描点、连线,具体为 (1)①确定函数的定义域;②化简函数的解析式;③讨论函数的性质(奇偶性、单调性、周期性). 资料收集整理【淘宝店铺:向阳百分百】 2(2)列表(找特殊点、零点、最大值点、最小值点以及与坐标轴的交点). (3)描点、连线. 二、利用图象变换法作函数的图象 1.平移变换 ①y=f(x)的图象 y= f ( x- a ) 的图象; ②y=f(x)的图象 y= f ( x ) + b 的图象. 2.对称变换 ①y=f(x)的图象 y= - f ( x ) 的图象; ②y=f(x)的图象 y= f ( - x ) 的图象; ③y=f(x)的图象 y= - f ( - x ) 的图象; ④y=ax(a>0且a≠1)的图象 y= lo g x ( a> 0 且 a ≠ 1 ) 的图象. a 3.伸缩变换 ①y=f(x)的图象 y= f ( a x ) 的图象; ②y=f(x)的图象 y= a f ( x ) 的图象. 4.翻转变换 ①y=f(x)的图象 y= | f ( x ) | 的图象; ②y=f(x)的图象 y= f ( |x | ) 的图象. 有关对称性的常用结论 (1)函数图象自身的轴对称 ①f(-x)=f(x)⇔函数y=f(x)的图象关于y轴对称; ②函数y=f(x)的图象关于直线x=a对称⇔f(a+x)=f(a-x)⇔f(x)=f(2a-x)⇔f(-x)=f(2a+x); a+b ③若函数y=f(x)的定义域为R,且有f(a+x)=f(b-x),则函数y=f(x)的图象关于直线x= 对称. 2 (2)函数图象自身的中心对称 ①f(-x)=-f(x)⇔函数y=f(x)的图象关于原点对称; ②函数y=f(x)的图象关于点(a,0)对称⇔f(a+x)=-f(a-x)⇔f(x)=-f(2a-x)⇔f(-x)=-f(2a+x); ③函数y=f(x)的图象关于点(a,b)对称⇔f(a+x)=2b-f(a-x)⇔f(x)=2b-f(2a-x); ④若函数 y=f(x)的定义域为 R,且满足条件 f(a+x)+f(b-x)=c(a,b,c 为常数),则函数 y=f(x)的图象关于点 (a+b c) , 对称. 2 2 图象变换法作函数的图象 (1)熟练掌握几种基本初等函数的图象,如二次函数、反比例函数、指数函数、对数函数、幂函数、形 资料收集整理【淘宝店铺:向阳百分百】 31 如y=x+ 的函数. x (2)若函数图象可由某个基本初等函数的图象经过平移、翻折、对称和伸缩得到,可利用图象变换作出, 但要注意变换顺序. 识别函数图象,可以从函数的单调性判断图象的变化趋势,从函数的奇偶性判断图象的对称性,并结合取特 殊值判断函数图象. 函数图象平移变换的规律 1.y=f(x)的图象向左(+)或向右(-)平移a(a>0)个单位长度得到函数y=f(x+a)或y=f(x-a)的图象; 2.y=f(x)的图象向上(+)或向下(-)平移k(k>0)个单位长度得到函数y=f(x) +k或y=f(x) -k的图象. 利用函数的图象研究函数的性质 对于已知解析式易画出其在给定区间上图象的函数,常借助图象研究其性质: ①从图象的最高点、最低点分析函数的最值、极值; ②从图象的对称性分析函数的奇偶性; ③从图象的走向趋势分析函数的单调性、周期性. 当不等式问题不能用代数法求解,但其与函数有关时,常将不等式问题转化为两个函数图象的上下关系问题, 从而利用数形结合求解. 利用函数图象研究方程根的个数 当方程与基本函数有关时,可以通过函数图象研究方程的根,方程f(x)=0的根就是f(x)的图象与x轴交点的 横坐标,方程f(x)=g(x)的根是函数y=f(x)与函数y=g(x)图象的交点的横坐标. 三、函数的零点 1.函数零点的定义 对于函数y=f(x)(x∈D),把使函数y=f(x)的值为0的实数x叫作函数y=f(x)(x∈D)的零点. 2.几个等价关系 方程f(x)=0有实数根⇔函数y=f(x)的图象与 x 轴 有交点⇔函数y=f(x)有 零点 . 3.函数零点的判定(函数零点存在定理) 如果函数y=f(x)在区间[a,b]上的图象是一条不间断的曲线,且 f ( a ) · f ( b ) < 0 ,那么,函数y=f(x)在区间 ( a , b ) 上 有零点,即存在c∈(a,b),使得 f ( c ) = 0 ,这个 c 也就是方程f(x)=0的根. 有关函数零点的结论 (1)若连续不断的函数f(x)在定义域上是单调函数,则f(x)至多有一个零点. (2)连续不断的函数,其相邻两个零点之间的所有函数值保持同号. (3)连续不断的函数图象通过零点时,函数值可能变号,也可能不变号. (4)函数的零点是实数,而不是点,是方程f(x)=0的实根. (5)由函数y=f(x)(图象是连续不断的)在闭区间[a,b]上有零点不一定能推出 f(a)·f(b)<0,如图所示,所以 f(a)·f(b)<0是y=f(x)在闭区间[a,b]上有零点的充分不必要条件. 四、二分法 对于在区间[a,b]上连续不断且 f ( a ) · f ( b ) < 0 的函数y=f(x),通过不断地把函数f(x)的零点所在的区间一分 为二,使区间的两个端点逐步逼近 零点 ,进而得到零点近似值的方法叫作二分法. 五、二次函数y=ax2+bx+c(a>0)的图象与零点的关系 资料收集整理【淘宝店铺:向阳百分百】 4判别式符号 Δ>0 Δ=0 Δ<0 二次函数 y=ax2+bx+c (a>0)的图象 与x轴的交点 ( x , 0 ),( x , 0 ) ( x , 0 ) 无交点 1 2 1 零点个数 2 1 0 利用函数零点存在定理判断零点所在区间时,首先看函数y=f(x)在区间[a,b]上的图象是否连续,再看是否 有f(a)·f(b)<0.若有,则函数y=f(x)在区间(a,b)内必有零点. 数形结合法:通过画函数图象,观察图象与x轴在给定区间上是否有交点来判断. (1) 通过解方程,判断函数的零点个数,所对应方程f(x)=0有几个不同的实数解就有几个零点.(2)函数零点个数 转化为两个函数图象交点的个数问题,先画出两个函数的图象,看其交点的个数,其中交点的横坐标有几个不 同的值,就有几个不同的零点. 1.已知函数的零点求参数,主要方法有:(1)直接求方程的根,构建方程(不等式)求参数;(2)数形结合. 2.已知函数零点的个数求参数范围,常利用数形结合法将其转化为两个函数图象的交点问题,需准确画出 两个函数的图象,利用图象写出满足条件的参数范围. 函数零点问题一般可以转化为两个函数图象的交点问题,通过画图分析图象的特征、图象间的关系,从而 解决问题,提升直观想象核心素养. 六、几种常见的函数模型 函数模型 函数解析式 一次函数模型 f(x)=ax+b(a,b为常数,且a≠0) k 反比例函数模型 f(x)= +b(k,b为常数,且k≠0) x 二次函数模型 f(x)=ax2+bx+c(a,b,c为常数,且a≠0) 指数型函数模型 f(x)=bax+c(a,b,c为常数,b≠0,a>0且a≠1) 对数型函数模型 f(x)=blogx+c(a,b,c为常数,b≠0,a>0且a≠1) a 幂函数模型 f(x)=axn+b(a,b,n为常数,且a≠0,n≠0) 七、三种函数模型的性质比较 函数 y=ax(a>1) y=logx(a>1) y=xn(n>0) 性质 a 在 (0,+∞) 上 单调 递增 单调 递增 单调递增 的增减性 增长速度 越来越快 越来越慢 相对平稳 随x的增大逐 图象的 随x的增大逐渐表现为与 渐表现为与 随n值变化而各有不同 变化 x 轴 平行 y 轴 平行 值的比较 存在一个x ,当x>x 时,有logx