当前位置:首页>文档>考前突破07阅读理解、函数与几何探究、综合实践题(4大必考题型)解析版_02中考总复习(2026版更新中)_02-数学-中考总复习_2025中考复习资料_2025年中考数学一轮知识梳理

考前突破07阅读理解、函数与几何探究、综合实践题(4大必考题型)解析版_02中考总复习(2026版更新中)_02-数学-中考总复习_2025中考复习资料_2025年中考数学一轮知识梳理

  • 2026-05-07 11:17:31 2026-04-12 06:21:49

文档预览

考前突破07阅读理解、函数与几何探究、综合实践题(4大必考题型)解析版_02中考总复习(2026版更新中)_02-数学-中考总复习_2025中考复习资料_2025年中考数学一轮知识梳理
考前突破07阅读理解、函数与几何探究、综合实践题(4大必考题型)解析版_02中考总复习(2026版更新中)_02-数学-中考总复习_2025中考复习资料_2025年中考数学一轮知识梳理
考前突破07阅读理解、函数与几何探究、综合实践题(4大必考题型)解析版_02中考总复习(2026版更新中)_02-数学-中考总复习_2025中考复习资料_2025年中考数学一轮知识梳理
考前突破07阅读理解、函数与几何探究、综合实践题(4大必考题型)解析版_02中考总复习(2026版更新中)_02-数学-中考总复习_2025中考复习资料_2025年中考数学一轮知识梳理
考前突破07阅读理解、函数与几何探究、综合实践题(4大必考题型)解析版_02中考总复习(2026版更新中)_02-数学-中考总复习_2025中考复习资料_2025年中考数学一轮知识梳理
考前突破07阅读理解、函数与几何探究、综合实践题(4大必考题型)解析版_02中考总复习(2026版更新中)_02-数学-中考总复习_2025中考复习资料_2025年中考数学一轮知识梳理
考前突破07阅读理解、函数与几何探究、综合实践题(4大必考题型)解析版_02中考总复习(2026版更新中)_02-数学-中考总复习_2025中考复习资料_2025年中考数学一轮知识梳理
考前突破07阅读理解、函数与几何探究、综合实践题(4大必考题型)解析版_02中考总复习(2026版更新中)_02-数学-中考总复习_2025中考复习资料_2025年中考数学一轮知识梳理
考前突破07阅读理解、函数与几何探究、综合实践题(4大必考题型)解析版_02中考总复习(2026版更新中)_02-数学-中考总复习_2025中考复习资料_2025年中考数学一轮知识梳理
考前突破07阅读理解、函数与几何探究、综合实践题(4大必考题型)解析版_02中考总复习(2026版更新中)_02-数学-中考总复习_2025中考复习资料_2025年中考数学一轮知识梳理
考前突破07阅读理解、函数与几何探究、综合实践题(4大必考题型)解析版_02中考总复习(2026版更新中)_02-数学-中考总复习_2025中考复习资料_2025年中考数学一轮知识梳理
考前突破07阅读理解、函数与几何探究、综合实践题(4大必考题型)解析版_02中考总复习(2026版更新中)_02-数学-中考总复习_2025中考复习资料_2025年中考数学一轮知识梳理
考前突破07阅读理解、函数与几何探究、综合实践题(4大必考题型)解析版_02中考总复习(2026版更新中)_02-数学-中考总复习_2025中考复习资料_2025年中考数学一轮知识梳理
考前突破07阅读理解、函数与几何探究、综合实践题(4大必考题型)解析版_02中考总复习(2026版更新中)_02-数学-中考总复习_2025中考复习资料_2025年中考数学一轮知识梳理
考前突破07阅读理解、函数与几何探究、综合实践题(4大必考题型)解析版_02中考总复习(2026版更新中)_02-数学-中考总复习_2025中考复习资料_2025年中考数学一轮知识梳理
考前突破07阅读理解、函数与几何探究、综合实践题(4大必考题型)解析版_02中考总复习(2026版更新中)_02-数学-中考总复习_2025中考复习资料_2025年中考数学一轮知识梳理
考前突破07阅读理解、函数与几何探究、综合实践题(4大必考题型)解析版_02中考总复习(2026版更新中)_02-数学-中考总复习_2025中考复习资料_2025年中考数学一轮知识梳理
考前突破07阅读理解、函数与几何探究、综合实践题(4大必考题型)解析版_02中考总复习(2026版更新中)_02-数学-中考总复习_2025中考复习资料_2025年中考数学一轮知识梳理
考前突破07阅读理解、函数与几何探究、综合实践题(4大必考题型)解析版_02中考总复习(2026版更新中)_02-数学-中考总复习_2025中考复习资料_2025年中考数学一轮知识梳理
考前突破07阅读理解、函数与几何探究、综合实践题(4大必考题型)解析版_02中考总复习(2026版更新中)_02-数学-中考总复习_2025中考复习资料_2025年中考数学一轮知识梳理
考前突破07阅读理解、函数与几何探究、综合实践题(4大必考题型)解析版_02中考总复习(2026版更新中)_02-数学-中考总复习_2025中考复习资料_2025年中考数学一轮知识梳理
考前突破07阅读理解、函数与几何探究、综合实践题(4大必考题型)解析版_02中考总复习(2026版更新中)_02-数学-中考总复习_2025中考复习资料_2025年中考数学一轮知识梳理
考前突破07阅读理解、函数与几何探究、综合实践题(4大必考题型)解析版_02中考总复习(2026版更新中)_02-数学-中考总复习_2025中考复习资料_2025年中考数学一轮知识梳理
考前突破07阅读理解、函数与几何探究、综合实践题(4大必考题型)解析版_02中考总复习(2026版更新中)_02-数学-中考总复习_2025中考复习资料_2025年中考数学一轮知识梳理
考前突破07阅读理解、函数与几何探究、综合实践题(4大必考题型)解析版_02中考总复习(2026版更新中)_02-数学-中考总复习_2025中考复习资料_2025年中考数学一轮知识梳理
考前突破07阅读理解、函数与几何探究、综合实践题(4大必考题型)解析版_02中考总复习(2026版更新中)_02-数学-中考总复习_2025中考复习资料_2025年中考数学一轮知识梳理
考前突破07阅读理解、函数与几何探究、综合实践题(4大必考题型)解析版_02中考总复习(2026版更新中)_02-数学-中考总复习_2025中考复习资料_2025年中考数学一轮知识梳理
考前突破07阅读理解、函数与几何探究、综合实践题(4大必考题型)解析版_02中考总复习(2026版更新中)_02-数学-中考总复习_2025中考复习资料_2025年中考数学一轮知识梳理
考前突破07阅读理解、函数与几何探究、综合实践题(4大必考题型)解析版_02中考总复习(2026版更新中)_02-数学-中考总复习_2025中考复习资料_2025年中考数学一轮知识梳理
考前突破07阅读理解、函数与几何探究、综合实践题(4大必考题型)解析版_02中考总复习(2026版更新中)_02-数学-中考总复习_2025中考复习资料_2025年中考数学一轮知识梳理
考前突破07阅读理解、函数与几何探究、综合实践题(4大必考题型)解析版_02中考总复习(2026版更新中)_02-数学-中考总复习_2025中考复习资料_2025年中考数学一轮知识梳理
考前突破07阅读理解、函数与几何探究、综合实践题(4大必考题型)解析版_02中考总复习(2026版更新中)_02-数学-中考总复习_2025中考复习资料_2025年中考数学一轮知识梳理
考前突破07阅读理解、函数与几何探究、综合实践题(4大必考题型)解析版_02中考总复习(2026版更新中)_02-数学-中考总复习_2025中考复习资料_2025年中考数学一轮知识梳理
考前突破07阅读理解、函数与几何探究、综合实践题(4大必考题型)解析版_02中考总复习(2026版更新中)_02-数学-中考总复习_2025中考复习资料_2025年中考数学一轮知识梳理
考前突破07阅读理解、函数与几何探究、综合实践题(4大必考题型)解析版_02中考总复习(2026版更新中)_02-数学-中考总复习_2025中考复习资料_2025年中考数学一轮知识梳理
考前突破07阅读理解、函数与几何探究、综合实践题(4大必考题型)解析版_02中考总复习(2026版更新中)_02-数学-中考总复习_2025中考复习资料_2025年中考数学一轮知识梳理
考前突破07阅读理解、函数与几何探究、综合实践题(4大必考题型)解析版_02中考总复习(2026版更新中)_02-数学-中考总复习_2025中考复习资料_2025年中考数学一轮知识梳理
考前突破07阅读理解、函数与几何探究、综合实践题(4大必考题型)解析版_02中考总复习(2026版更新中)_02-数学-中考总复习_2025中考复习资料_2025年中考数学一轮知识梳理
考前突破07阅读理解、函数与几何探究、综合实践题(4大必考题型)解析版_02中考总复习(2026版更新中)_02-数学-中考总复习_2025中考复习资料_2025年中考数学一轮知识梳理
考前突破07阅读理解、函数与几何探究、综合实践题(4大必考题型)解析版_02中考总复习(2026版更新中)_02-数学-中考总复习_2025中考复习资料_2025年中考数学一轮知识梳理
考前突破07阅读理解、函数与几何探究、综合实践题(4大必考题型)解析版_02中考总复习(2026版更新中)_02-数学-中考总复习_2025中考复习资料_2025年中考数学一轮知识梳理
考前突破07阅读理解、函数与几何探究、综合实践题(4大必考题型)解析版_02中考总复习(2026版更新中)_02-数学-中考总复习_2025中考复习资料_2025年中考数学一轮知识梳理
考前突破07阅读理解、函数与几何探究、综合实践题(4大必考题型)解析版_02中考总复习(2026版更新中)_02-数学-中考总复习_2025中考复习资料_2025年中考数学一轮知识梳理
考前突破07阅读理解、函数与几何探究、综合实践题(4大必考题型)解析版_02中考总复习(2026版更新中)_02-数学-中考总复习_2025中考复习资料_2025年中考数学一轮知识梳理
考前突破07阅读理解、函数与几何探究、综合实践题(4大必考题型)解析版_02中考总复习(2026版更新中)_02-数学-中考总复习_2025中考复习资料_2025年中考数学一轮知识梳理
考前突破07阅读理解、函数与几何探究、综合实践题(4大必考题型)解析版_02中考总复习(2026版更新中)_02-数学-中考总复习_2025中考复习资料_2025年中考数学一轮知识梳理
考前突破07阅读理解、函数与几何探究、综合实践题(4大必考题型)解析版_02中考总复习(2026版更新中)_02-数学-中考总复习_2025中考复习资料_2025年中考数学一轮知识梳理
考前突破07阅读理解、函数与几何探究、综合实践题(4大必考题型)解析版_02中考总复习(2026版更新中)_02-数学-中考总复习_2025中考复习资料_2025年中考数学一轮知识梳理
考前突破07阅读理解、函数与几何探究、综合实践题(4大必考题型)解析版_02中考总复习(2026版更新中)_02-数学-中考总复习_2025中考复习资料_2025年中考数学一轮知识梳理
考前突破07阅读理解、函数与几何探究、综合实践题(4大必考题型)解析版_02中考总复习(2026版更新中)_02-数学-中考总复习_2025中考复习资料_2025年中考数学一轮知识梳理
考前突破07阅读理解、函数与几何探究、综合实践题(4大必考题型)解析版_02中考总复习(2026版更新中)_02-数学-中考总复习_2025中考复习资料_2025年中考数学一轮知识梳理
考前突破07阅读理解、函数与几何探究、综合实践题(4大必考题型)解析版_02中考总复习(2026版更新中)_02-数学-中考总复习_2025中考复习资料_2025年中考数学一轮知识梳理
考前突破07阅读理解、函数与几何探究、综合实践题(4大必考题型)解析版_02中考总复习(2026版更新中)_02-数学-中考总复习_2025中考复习资料_2025年中考数学一轮知识梳理
考前突破07阅读理解、函数与几何探究、综合实践题(4大必考题型)解析版_02中考总复习(2026版更新中)_02-数学-中考总复习_2025中考复习资料_2025年中考数学一轮知识梳理
考前突破07阅读理解、函数与几何探究、综合实践题(4大必考题型)解析版_02中考总复习(2026版更新中)_02-数学-中考总复习_2025中考复习资料_2025年中考数学一轮知识梳理
考前突破07阅读理解、函数与几何探究、综合实践题(4大必考题型)解析版_02中考总复习(2026版更新中)_02-数学-中考总复习_2025中考复习资料_2025年中考数学一轮知识梳理
考前突破07阅读理解、函数与几何探究、综合实践题(4大必考题型)解析版_02中考总复习(2026版更新中)_02-数学-中考总复习_2025中考复习资料_2025年中考数学一轮知识梳理
考前突破07阅读理解、函数与几何探究、综合实践题(4大必考题型)解析版_02中考总复习(2026版更新中)_02-数学-中考总复习_2025中考复习资料_2025年中考数学一轮知识梳理
考前突破07阅读理解、函数与几何探究、综合实践题(4大必考题型)解析版_02中考总复习(2026版更新中)_02-数学-中考总复习_2025中考复习资料_2025年中考数学一轮知识梳理
考前突破07阅读理解、函数与几何探究、综合实践题(4大必考题型)解析版_02中考总复习(2026版更新中)_02-数学-中考总复习_2025中考复习资料_2025年中考数学一轮知识梳理
考前突破07阅读理解、函数与几何探究、综合实践题(4大必考题型)解析版_02中考总复习(2026版更新中)_02-数学-中考总复习_2025中考复习资料_2025年中考数学一轮知识梳理
考前突破07阅读理解、函数与几何探究、综合实践题(4大必考题型)解析版_02中考总复习(2026版更新中)_02-数学-中考总复习_2025中考复习资料_2025年中考数学一轮知识梳理
考前突破07阅读理解、函数与几何探究、综合实践题(4大必考题型)解析版_02中考总复习(2026版更新中)_02-数学-中考总复习_2025中考复习资料_2025年中考数学一轮知识梳理
考前突破07阅读理解、函数与几何探究、综合实践题(4大必考题型)解析版_02中考总复习(2026版更新中)_02-数学-中考总复习_2025中考复习资料_2025年中考数学一轮知识梳理
考前突破07阅读理解、函数与几何探究、综合实践题(4大必考题型)解析版_02中考总复习(2026版更新中)_02-数学-中考总复习_2025中考复习资料_2025年中考数学一轮知识梳理
考前突破07阅读理解、函数与几何探究、综合实践题(4大必考题型)解析版_02中考总复习(2026版更新中)_02-数学-中考总复习_2025中考复习资料_2025年中考数学一轮知识梳理
考前突破07阅读理解、函数与几何探究、综合实践题(4大必考题型)解析版_02中考总复习(2026版更新中)_02-数学-中考总复习_2025中考复习资料_2025年中考数学一轮知识梳理
考前突破07阅读理解、函数与几何探究、综合实践题(4大必考题型)解析版_02中考总复习(2026版更新中)_02-数学-中考总复习_2025中考复习资料_2025年中考数学一轮知识梳理
考前突破07阅读理解、函数与几何探究、综合实践题(4大必考题型)解析版_02中考总复习(2026版更新中)_02-数学-中考总复习_2025中考复习资料_2025年中考数学一轮知识梳理
考前突破07阅读理解、函数与几何探究、综合实践题(4大必考题型)解析版_02中考总复习(2026版更新中)_02-数学-中考总复习_2025中考复习资料_2025年中考数学一轮知识梳理
考前突破07阅读理解、函数与几何探究、综合实践题(4大必考题型)解析版_02中考总复习(2026版更新中)_02-数学-中考总复习_2025中考复习资料_2025年中考数学一轮知识梳理
考前突破07阅读理解、函数与几何探究、综合实践题(4大必考题型)解析版_02中考总复习(2026版更新中)_02-数学-中考总复习_2025中考复习资料_2025年中考数学一轮知识梳理
考前突破07阅读理解、函数与几何探究、综合实践题(4大必考题型)解析版_02中考总复习(2026版更新中)_02-数学-中考总复习_2025中考复习资料_2025年中考数学一轮知识梳理
考前突破07阅读理解、函数与几何探究、综合实践题(4大必考题型)解析版_02中考总复习(2026版更新中)_02-数学-中考总复习_2025中考复习资料_2025年中考数学一轮知识梳理
考前突破07阅读理解、函数与几何探究、综合实践题(4大必考题型)解析版_02中考总复习(2026版更新中)_02-数学-中考总复习_2025中考复习资料_2025年中考数学一轮知识梳理
考前突破07阅读理解、函数与几何探究、综合实践题(4大必考题型)解析版_02中考总复习(2026版更新中)_02-数学-中考总复习_2025中考复习资料_2025年中考数学一轮知识梳理
考前突破07阅读理解、函数与几何探究、综合实践题(4大必考题型)解析版_02中考总复习(2026版更新中)_02-数学-中考总复习_2025中考复习资料_2025年中考数学一轮知识梳理
考前突破07阅读理解、函数与几何探究、综合实践题(4大必考题型)解析版_02中考总复习(2026版更新中)_02-数学-中考总复习_2025中考复习资料_2025年中考数学一轮知识梳理
考前突破07阅读理解、函数与几何探究、综合实践题(4大必考题型)解析版_02中考总复习(2026版更新中)_02-数学-中考总复习_2025中考复习资料_2025年中考数学一轮知识梳理
考前突破07阅读理解、函数与几何探究、综合实践题(4大必考题型)解析版_02中考总复习(2026版更新中)_02-数学-中考总复习_2025中考复习资料_2025年中考数学一轮知识梳理
考前突破07阅读理解、函数与几何探究、综合实践题(4大必考题型)解析版_02中考总复习(2026版更新中)_02-数学-中考总复习_2025中考复习资料_2025年中考数学一轮知识梳理
考前突破07阅读理解、函数与几何探究、综合实践题(4大必考题型)解析版_02中考总复习(2026版更新中)_02-数学-中考总复习_2025中考复习资料_2025年中考数学一轮知识梳理
考前突破07阅读理解、函数与几何探究、综合实践题(4大必考题型)解析版_02中考总复习(2026版更新中)_02-数学-中考总复习_2025中考复习资料_2025年中考数学一轮知识梳理
考前突破07阅读理解、函数与几何探究、综合实践题(4大必考题型)解析版_02中考总复习(2026版更新中)_02-数学-中考总复习_2025中考复习资料_2025年中考数学一轮知识梳理
考前突破07阅读理解、函数与几何探究、综合实践题(4大必考题型)解析版_02中考总复习(2026版更新中)_02-数学-中考总复习_2025中考复习资料_2025年中考数学一轮知识梳理
考前突破07阅读理解、函数与几何探究、综合实践题(4大必考题型)解析版_02中考总复习(2026版更新中)_02-数学-中考总复习_2025中考复习资料_2025年中考数学一轮知识梳理
考前突破07阅读理解、函数与几何探究、综合实践题(4大必考题型)解析版_02中考总复习(2026版更新中)_02-数学-中考总复习_2025中考复习资料_2025年中考数学一轮知识梳理
考前突破07阅读理解、函数与几何探究、综合实践题(4大必考题型)解析版_02中考总复习(2026版更新中)_02-数学-中考总复习_2025中考复习资料_2025年中考数学一轮知识梳理
考前突破07阅读理解、函数与几何探究、综合实践题(4大必考题型)解析版_02中考总复习(2026版更新中)_02-数学-中考总复习_2025中考复习资料_2025年中考数学一轮知识梳理
考前突破07阅读理解、函数与几何探究、综合实践题(4大必考题型)解析版_02中考总复习(2026版更新中)_02-数学-中考总复习_2025中考复习资料_2025年中考数学一轮知识梳理
考前突破07阅读理解、函数与几何探究、综合实践题(4大必考题型)解析版_02中考总复习(2026版更新中)_02-数学-中考总复习_2025中考复习资料_2025年中考数学一轮知识梳理
考前突破07阅读理解、函数与几何探究、综合实践题(4大必考题型)解析版_02中考总复习(2026版更新中)_02-数学-中考总复习_2025中考复习资料_2025年中考数学一轮知识梳理
考前突破07阅读理解、函数与几何探究、综合实践题(4大必考题型)解析版_02中考总复习(2026版更新中)_02-数学-中考总复习_2025中考复习资料_2025年中考数学一轮知识梳理
考前突破07阅读理解、函数与几何探究、综合实践题(4大必考题型)解析版_02中考总复习(2026版更新中)_02-数学-中考总复习_2025中考复习资料_2025年中考数学一轮知识梳理
考前突破07阅读理解、函数与几何探究、综合实践题(4大必考题型)解析版_02中考总复习(2026版更新中)_02-数学-中考总复习_2025中考复习资料_2025年中考数学一轮知识梳理
考前突破07阅读理解、函数与几何探究、综合实践题(4大必考题型)解析版_02中考总复习(2026版更新中)_02-数学-中考总复习_2025中考复习资料_2025年中考数学一轮知识梳理
考前突破07阅读理解、函数与几何探究、综合实践题(4大必考题型)解析版_02中考总复习(2026版更新中)_02-数学-中考总复习_2025中考复习资料_2025年中考数学一轮知识梳理
考前突破07阅读理解、函数与几何探究、综合实践题(4大必考题型)解析版_02中考总复习(2026版更新中)_02-数学-中考总复习_2025中考复习资料_2025年中考数学一轮知识梳理
考前突破07阅读理解、函数与几何探究、综合实践题(4大必考题型)解析版_02中考总复习(2026版更新中)_02-数学-中考总复习_2025中考复习资料_2025年中考数学一轮知识梳理
考前突破07阅读理解、函数与几何探究、综合实践题(4大必考题型)解析版_02中考总复习(2026版更新中)_02-数学-中考总复习_2025中考复习资料_2025年中考数学一轮知识梳理
考前突破07阅读理解、函数与几何探究、综合实践题(4大必考题型)解析版_02中考总复习(2026版更新中)_02-数学-中考总复习_2025中考复习资料_2025年中考数学一轮知识梳理
考前突破07阅读理解、函数与几何探究、综合实践题(4大必考题型)解析版_02中考总复习(2026版更新中)_02-数学-中考总复习_2025中考复习资料_2025年中考数学一轮知识梳理
考前突破07阅读理解、函数与几何探究、综合实践题(4大必考题型)解析版_02中考总复习(2026版更新中)_02-数学-中考总复习_2025中考复习资料_2025年中考数学一轮知识梳理
考前突破07阅读理解、函数与几何探究、综合实践题(4大必考题型)解析版_02中考总复习(2026版更新中)_02-数学-中考总复习_2025中考复习资料_2025年中考数学一轮知识梳理
考前突破07阅读理解、函数与几何探究、综合实践题(4大必考题型)解析版_02中考总复习(2026版更新中)_02-数学-中考总复习_2025中考复习资料_2025年中考数学一轮知识梳理
考前突破07阅读理解、函数与几何探究、综合实践题(4大必考题型)解析版_02中考总复习(2026版更新中)_02-数学-中考总复习_2025中考复习资料_2025年中考数学一轮知识梳理
考前突破07阅读理解、函数与几何探究、综合实践题(4大必考题型)解析版_02中考总复习(2026版更新中)_02-数学-中考总复习_2025中考复习资料_2025年中考数学一轮知识梳理
考前突破07阅读理解、函数与几何探究、综合实践题(4大必考题型)解析版_02中考总复习(2026版更新中)_02-数学-中考总复习_2025中考复习资料_2025年中考数学一轮知识梳理
考前突破07阅读理解、函数与几何探究、综合实践题(4大必考题型)解析版_02中考总复习(2026版更新中)_02-数学-中考总复习_2025中考复习资料_2025年中考数学一轮知识梳理
考前突破07阅读理解、函数与几何探究、综合实践题(4大必考题型)解析版_02中考总复习(2026版更新中)_02-数学-中考总复习_2025中考复习资料_2025年中考数学一轮知识梳理
考前突破07阅读理解、函数与几何探究、综合实践题(4大必考题型)解析版_02中考总复习(2026版更新中)_02-数学-中考总复习_2025中考复习资料_2025年中考数学一轮知识梳理
考前突破07阅读理解、函数与几何探究、综合实践题(4大必考题型)解析版_02中考总复习(2026版更新中)_02-数学-中考总复习_2025中考复习资料_2025年中考数学一轮知识梳理
考前突破07阅读理解、函数与几何探究、综合实践题(4大必考题型)解析版_02中考总复习(2026版更新中)_02-数学-中考总复习_2025中考复习资料_2025年中考数学一轮知识梳理
考前突破07阅读理解、函数与几何探究、综合实践题(4大必考题型)解析版_02中考总复习(2026版更新中)_02-数学-中考总复习_2025中考复习资料_2025年中考数学一轮知识梳理
考前突破07阅读理解、函数与几何探究、综合实践题(4大必考题型)解析版_02中考总复习(2026版更新中)_02-数学-中考总复习_2025中考复习资料_2025年中考数学一轮知识梳理
考前突破07阅读理解、函数与几何探究、综合实践题(4大必考题型)解析版_02中考总复习(2026版更新中)_02-数学-中考总复习_2025中考复习资料_2025年中考数学一轮知识梳理
考前突破07阅读理解、函数与几何探究、综合实践题(4大必考题型)解析版_02中考总复习(2026版更新中)_02-数学-中考总复习_2025中考复习资料_2025年中考数学一轮知识梳理
考前突破07阅读理解、函数与几何探究、综合实践题(4大必考题型)解析版_02中考总复习(2026版更新中)_02-数学-中考总复习_2025中考复习资料_2025年中考数学一轮知识梳理
考前突破07阅读理解、函数与几何探究、综合实践题(4大必考题型)解析版_02中考总复习(2026版更新中)_02-数学-中考总复习_2025中考复习资料_2025年中考数学一轮知识梳理
考前突破07阅读理解、函数与几何探究、综合实践题(4大必考题型)解析版_02中考总复习(2026版更新中)_02-数学-中考总复习_2025中考复习资料_2025年中考数学一轮知识梳理
考前突破07阅读理解、函数与几何探究、综合实践题(4大必考题型)解析版_02中考总复习(2026版更新中)_02-数学-中考总复习_2025中考复习资料_2025年中考数学一轮知识梳理
考前突破07阅读理解、函数与几何探究、综合实践题(4大必考题型)解析版_02中考总复习(2026版更新中)_02-数学-中考总复习_2025中考复习资料_2025年中考数学一轮知识梳理
考前突破07阅读理解、函数与几何探究、综合实践题(4大必考题型)解析版_02中考总复习(2026版更新中)_02-数学-中考总复习_2025中考复习资料_2025年中考数学一轮知识梳理
考前突破07阅读理解、函数与几何探究、综合实践题(4大必考题型)解析版_02中考总复习(2026版更新中)_02-数学-中考总复习_2025中考复习资料_2025年中考数学一轮知识梳理
考前突破07阅读理解、函数与几何探究、综合实践题(4大必考题型)解析版_02中考总复习(2026版更新中)_02-数学-中考总复习_2025中考复习资料_2025年中考数学一轮知识梳理
考前突破07阅读理解、函数与几何探究、综合实践题(4大必考题型)解析版_02中考总复习(2026版更新中)_02-数学-中考总复习_2025中考复习资料_2025年中考数学一轮知识梳理
考前突破07阅读理解、函数与几何探究、综合实践题(4大必考题型)解析版_02中考总复习(2026版更新中)_02-数学-中考总复习_2025中考复习资料_2025年中考数学一轮知识梳理
考前突破07阅读理解、函数与几何探究、综合实践题(4大必考题型)解析版_02中考总复习(2026版更新中)_02-数学-中考总复习_2025中考复习资料_2025年中考数学一轮知识梳理
考前突破07阅读理解、函数与几何探究、综合实践题(4大必考题型)解析版_02中考总复习(2026版更新中)_02-数学-中考总复习_2025中考复习资料_2025年中考数学一轮知识梳理
考前突破07阅读理解、函数与几何探究、综合实践题(4大必考题型)解析版_02中考总复习(2026版更新中)_02-数学-中考总复习_2025中考复习资料_2025年中考数学一轮知识梳理
考前突破07阅读理解、函数与几何探究、综合实践题(4大必考题型)解析版_02中考总复习(2026版更新中)_02-数学-中考总复习_2025中考复习资料_2025年中考数学一轮知识梳理
考前突破07阅读理解、函数与几何探究、综合实践题(4大必考题型)解析版_02中考总复习(2026版更新中)_02-数学-中考总复习_2025中考复习资料_2025年中考数学一轮知识梳理
考前突破07阅读理解、函数与几何探究、综合实践题(4大必考题型)解析版_02中考总复习(2026版更新中)_02-数学-中考总复习_2025中考复习资料_2025年中考数学一轮知识梳理
考前突破07阅读理解、函数与几何探究、综合实践题(4大必考题型)解析版_02中考总复习(2026版更新中)_02-数学-中考总复习_2025中考复习资料_2025年中考数学一轮知识梳理
考前突破07阅读理解、函数与几何探究、综合实践题(4大必考题型)解析版_02中考总复习(2026版更新中)_02-数学-中考总复习_2025中考复习资料_2025年中考数学一轮知识梳理
考前突破07阅读理解、函数与几何探究、综合实践题(4大必考题型)解析版_02中考总复习(2026版更新中)_02-数学-中考总复习_2025中考复习资料_2025年中考数学一轮知识梳理
考前突破07阅读理解、函数与几何探究、综合实践题(4大必考题型)解析版_02中考总复习(2026版更新中)_02-数学-中考总复习_2025中考复习资料_2025年中考数学一轮知识梳理
考前突破07阅读理解、函数与几何探究、综合实践题(4大必考题型)解析版_02中考总复习(2026版更新中)_02-数学-中考总复习_2025中考复习资料_2025年中考数学一轮知识梳理
考前突破07阅读理解、函数与几何探究、综合实践题(4大必考题型)解析版_02中考总复习(2026版更新中)_02-数学-中考总复习_2025中考复习资料_2025年中考数学一轮知识梳理
考前突破07阅读理解、函数与几何探究、综合实践题(4大必考题型)解析版_02中考总复习(2026版更新中)_02-数学-中考总复习_2025中考复习资料_2025年中考数学一轮知识梳理
考前突破07阅读理解、函数与几何探究、综合实践题(4大必考题型)解析版_02中考总复习(2026版更新中)_02-数学-中考总复习_2025中考复习资料_2025年中考数学一轮知识梳理
考前突破07阅读理解、函数与几何探究、综合实践题(4大必考题型)解析版_02中考总复习(2026版更新中)_02-数学-中考总复习_2025中考复习资料_2025年中考数学一轮知识梳理
考前突破07阅读理解、函数与几何探究、综合实践题(4大必考题型)解析版_02中考总复习(2026版更新中)_02-数学-中考总复习_2025中考复习资料_2025年中考数学一轮知识梳理
考前突破07阅读理解、函数与几何探究、综合实践题(4大必考题型)解析版_02中考总复习(2026版更新中)_02-数学-中考总复习_2025中考复习资料_2025年中考数学一轮知识梳理
考前突破07阅读理解、函数与几何探究、综合实践题(4大必考题型)解析版_02中考总复习(2026版更新中)_02-数学-中考总复习_2025中考复习资料_2025年中考数学一轮知识梳理
考前突破07阅读理解、函数与几何探究、综合实践题(4大必考题型)解析版_02中考总复习(2026版更新中)_02-数学-中考总复习_2025中考复习资料_2025年中考数学一轮知识梳理
考前突破07阅读理解、函数与几何探究、综合实践题(4大必考题型)解析版_02中考总复习(2026版更新中)_02-数学-中考总复习_2025中考复习资料_2025年中考数学一轮知识梳理
考前突破07阅读理解、函数与几何探究、综合实践题(4大必考题型)解析版_02中考总复习(2026版更新中)_02-数学-中考总复习_2025中考复习资料_2025年中考数学一轮知识梳理
考前突破07阅读理解、函数与几何探究、综合实践题(4大必考题型)解析版_02中考总复习(2026版更新中)_02-数学-中考总复习_2025中考复习资料_2025年中考数学一轮知识梳理
考前突破07阅读理解、函数与几何探究、综合实践题(4大必考题型)解析版_02中考总复习(2026版更新中)_02-数学-中考总复习_2025中考复习资料_2025年中考数学一轮知识梳理
考前突破07阅读理解、函数与几何探究、综合实践题(4大必考题型)解析版_02中考总复习(2026版更新中)_02-数学-中考总复习_2025中考复习资料_2025年中考数学一轮知识梳理
考前突破07阅读理解、函数与几何探究、综合实践题(4大必考题型)解析版_02中考总复习(2026版更新中)_02-数学-中考总复习_2025中考复习资料_2025年中考数学一轮知识梳理
考前突破07阅读理解、函数与几何探究、综合实践题(4大必考题型)解析版_02中考总复习(2026版更新中)_02-数学-中考总复习_2025中考复习资料_2025年中考数学一轮知识梳理
考前突破07阅读理解、函数与几何探究、综合实践题(4大必考题型)解析版_02中考总复习(2026版更新中)_02-数学-中考总复习_2025中考复习资料_2025年中考数学一轮知识梳理
考前突破07阅读理解、函数与几何探究、综合实践题(4大必考题型)解析版_02中考总复习(2026版更新中)_02-数学-中考总复习_2025中考复习资料_2025年中考数学一轮知识梳理
考前突破07阅读理解、函数与几何探究、综合实践题(4大必考题型)解析版_02中考总复习(2026版更新中)_02-数学-中考总复习_2025中考复习资料_2025年中考数学一轮知识梳理
考前突破07阅读理解、函数与几何探究、综合实践题(4大必考题型)解析版_02中考总复习(2026版更新中)_02-数学-中考总复习_2025中考复习资料_2025年中考数学一轮知识梳理
考前突破07阅读理解、函数与几何探究、综合实践题(4大必考题型)解析版_02中考总复习(2026版更新中)_02-数学-中考总复习_2025中考复习资料_2025年中考数学一轮知识梳理
考前突破07阅读理解、函数与几何探究、综合实践题(4大必考题型)解析版_02中考总复习(2026版更新中)_02-数学-中考总复习_2025中考复习资料_2025年中考数学一轮知识梳理
考前突破07阅读理解、函数与几何探究、综合实践题(4大必考题型)解析版_02中考总复习(2026版更新中)_02-数学-中考总复习_2025中考复习资料_2025年中考数学一轮知识梳理
考前突破07阅读理解、函数与几何探究、综合实践题(4大必考题型)解析版_02中考总复习(2026版更新中)_02-数学-中考总复习_2025中考复习资料_2025年中考数学一轮知识梳理
考前突破07阅读理解、函数与几何探究、综合实践题(4大必考题型)解析版_02中考总复习(2026版更新中)_02-数学-中考总复习_2025中考复习资料_2025年中考数学一轮知识梳理
考前突破07阅读理解、函数与几何探究、综合实践题(4大必考题型)解析版_02中考总复习(2026版更新中)_02-数学-中考总复习_2025中考复习资料_2025年中考数学一轮知识梳理
考前突破07阅读理解、函数与几何探究、综合实践题(4大必考题型)解析版_02中考总复习(2026版更新中)_02-数学-中考总复习_2025中考复习资料_2025年中考数学一轮知识梳理
考前突破07阅读理解、函数与几何探究、综合实践题(4大必考题型)解析版_02中考总复习(2026版更新中)_02-数学-中考总复习_2025中考复习资料_2025年中考数学一轮知识梳理
考前突破07阅读理解、函数与几何探究、综合实践题(4大必考题型)解析版_02中考总复习(2026版更新中)_02-数学-中考总复习_2025中考复习资料_2025年中考数学一轮知识梳理
考前突破07阅读理解、函数与几何探究、综合实践题(4大必考题型)解析版_02中考总复习(2026版更新中)_02-数学-中考总复习_2025中考复习资料_2025年中考数学一轮知识梳理
考前突破07阅读理解、函数与几何探究、综合实践题(4大必考题型)解析版_02中考总复习(2026版更新中)_02-数学-中考总复习_2025中考复习资料_2025年中考数学一轮知识梳理
考前突破07阅读理解、函数与几何探究、综合实践题(4大必考题型)解析版_02中考总复习(2026版更新中)_02-数学-中考总复习_2025中考复习资料_2025年中考数学一轮知识梳理
考前突破07阅读理解、函数与几何探究、综合实践题(4大必考题型)解析版_02中考总复习(2026版更新中)_02-数学-中考总复习_2025中考复习资料_2025年中考数学一轮知识梳理
考前突破07阅读理解、函数与几何探究、综合实践题(4大必考题型)解析版_02中考总复习(2026版更新中)_02-数学-中考总复习_2025中考复习资料_2025年中考数学一轮知识梳理
考前突破07阅读理解、函数与几何探究、综合实践题(4大必考题型)解析版_02中考总复习(2026版更新中)_02-数学-中考总复习_2025中考复习资料_2025年中考数学一轮知识梳理
考前突破07阅读理解、函数与几何探究、综合实践题(4大必考题型)解析版_02中考总复习(2026版更新中)_02-数学-中考总复习_2025中考复习资料_2025年中考数学一轮知识梳理
考前突破07阅读理解、函数与几何探究、综合实践题(4大必考题型)解析版_02中考总复习(2026版更新中)_02-数学-中考总复习_2025中考复习资料_2025年中考数学一轮知识梳理
考前突破07阅读理解、函数与几何探究、综合实践题(4大必考题型)解析版_02中考总复习(2026版更新中)_02-数学-中考总复习_2025中考复习资料_2025年中考数学一轮知识梳理
考前突破07阅读理解、函数与几何探究、综合实践题(4大必考题型)解析版_02中考总复习(2026版更新中)_02-数学-中考总复习_2025中考复习资料_2025年中考数学一轮知识梳理
考前突破07阅读理解、函数与几何探究、综合实践题(4大必考题型)解析版_02中考总复习(2026版更新中)_02-数学-中考总复习_2025中考复习资料_2025年中考数学一轮知识梳理
考前突破07阅读理解、函数与几何探究、综合实践题(4大必考题型)解析版_02中考总复习(2026版更新中)_02-数学-中考总复习_2025中考复习资料_2025年中考数学一轮知识梳理
考前突破07阅读理解、函数与几何探究、综合实践题(4大必考题型)解析版_02中考总复习(2026版更新中)_02-数学-中考总复习_2025中考复习资料_2025年中考数学一轮知识梳理
考前突破07阅读理解、函数与几何探究、综合实践题(4大必考题型)解析版_02中考总复习(2026版更新中)_02-数学-中考总复习_2025中考复习资料_2025年中考数学一轮知识梳理
考前突破07阅读理解、函数与几何探究、综合实践题(4大必考题型)解析版_02中考总复习(2026版更新中)_02-数学-中考总复习_2025中考复习资料_2025年中考数学一轮知识梳理
考前突破07阅读理解、函数与几何探究、综合实践题(4大必考题型)解析版_02中考总复习(2026版更新中)_02-数学-中考总复习_2025中考复习资料_2025年中考数学一轮知识梳理
考前突破07阅读理解、函数与几何探究、综合实践题(4大必考题型)解析版_02中考总复习(2026版更新中)_02-数学-中考总复习_2025中考复习资料_2025年中考数学一轮知识梳理
考前突破07阅读理解、函数与几何探究、综合实践题(4大必考题型)解析版_02中考总复习(2026版更新中)_02-数学-中考总复习_2025中考复习资料_2025年中考数学一轮知识梳理
考前突破07阅读理解、函数与几何探究、综合实践题(4大必考题型)解析版_02中考总复习(2026版更新中)_02-数学-中考总复习_2025中考复习资料_2025年中考数学一轮知识梳理
考前突破07阅读理解、函数与几何探究、综合实践题(4大必考题型)解析版_02中考总复习(2026版更新中)_02-数学-中考总复习_2025中考复习资料_2025年中考数学一轮知识梳理
考前突破07阅读理解、函数与几何探究、综合实践题(4大必考题型)解析版_02中考总复习(2026版更新中)_02-数学-中考总复习_2025中考复习资料_2025年中考数学一轮知识梳理
考前突破07阅读理解、函数与几何探究、综合实践题(4大必考题型)解析版_02中考总复习(2026版更新中)_02-数学-中考总复习_2025中考复习资料_2025年中考数学一轮知识梳理
考前突破07阅读理解、函数与几何探究、综合实践题(4大必考题型)解析版_02中考总复习(2026版更新中)_02-数学-中考总复习_2025中考复习资料_2025年中考数学一轮知识梳理
考前突破07阅读理解、函数与几何探究、综合实践题(4大必考题型)解析版_02中考总复习(2026版更新中)_02-数学-中考总复习_2025中考复习资料_2025年中考数学一轮知识梳理
考前突破07阅读理解、函数与几何探究、综合实践题(4大必考题型)解析版_02中考总复习(2026版更新中)_02-数学-中考总复习_2025中考复习资料_2025年中考数学一轮知识梳理
考前突破07阅读理解、函数与几何探究、综合实践题(4大必考题型)解析版_02中考总复习(2026版更新中)_02-数学-中考总复习_2025中考复习资料_2025年中考数学一轮知识梳理
考前突破07阅读理解、函数与几何探究、综合实践题(4大必考题型)解析版_02中考总复习(2026版更新中)_02-数学-中考总复习_2025中考复习资料_2025年中考数学一轮知识梳理
考前突破07阅读理解、函数与几何探究、综合实践题(4大必考题型)解析版_02中考总复习(2026版更新中)_02-数学-中考总复习_2025中考复习资料_2025年中考数学一轮知识梳理
考前突破07阅读理解、函数与几何探究、综合实践题(4大必考题型)解析版_02中考总复习(2026版更新中)_02-数学-中考总复习_2025中考复习资料_2025年中考数学一轮知识梳理
考前突破07阅读理解、函数与几何探究、综合实践题(4大必考题型)解析版_02中考总复习(2026版更新中)_02-数学-中考总复习_2025中考复习资料_2025年中考数学一轮知识梳理
考前突破07阅读理解、函数与几何探究、综合实践题(4大必考题型)解析版_02中考总复习(2026版更新中)_02-数学-中考总复习_2025中考复习资料_2025年中考数学一轮知识梳理
考前突破07阅读理解、函数与几何探究、综合实践题(4大必考题型)解析版_02中考总复习(2026版更新中)_02-数学-中考总复习_2025中考复习资料_2025年中考数学一轮知识梳理
考前突破07阅读理解、函数与几何探究、综合实践题(4大必考题型)解析版_02中考总复习(2026版更新中)_02-数学-中考总复习_2025中考复习资料_2025年中考数学一轮知识梳理
考前突破07阅读理解、函数与几何探究、综合实践题(4大必考题型)解析版_02中考总复习(2026版更新中)_02-数学-中考总复习_2025中考复习资料_2025年中考数学一轮知识梳理
考前突破07阅读理解、函数与几何探究、综合实践题(4大必考题型)解析版_02中考总复习(2026版更新中)_02-数学-中考总复习_2025中考复习资料_2025年中考数学一轮知识梳理
考前突破07阅读理解、函数与几何探究、综合实践题(4大必考题型)解析版_02中考总复习(2026版更新中)_02-数学-中考总复习_2025中考复习资料_2025年中考数学一轮知识梳理
考前突破07阅读理解、函数与几何探究、综合实践题(4大必考题型)解析版_02中考总复习(2026版更新中)_02-数学-中考总复习_2025中考复习资料_2025年中考数学一轮知识梳理
考前突破07阅读理解、函数与几何探究、综合实践题(4大必考题型)解析版_02中考总复习(2026版更新中)_02-数学-中考总复习_2025中考复习资料_2025年中考数学一轮知识梳理
考前突破07阅读理解、函数与几何探究、综合实践题(4大必考题型)解析版_02中考总复习(2026版更新中)_02-数学-中考总复习_2025中考复习资料_2025年中考数学一轮知识梳理
考前突破07阅读理解、函数与几何探究、综合实践题(4大必考题型)解析版_02中考总复习(2026版更新中)_02-数学-中考总复习_2025中考复习资料_2025年中考数学一轮知识梳理
考前突破07阅读理解、函数与几何探究、综合实践题(4大必考题型)解析版_02中考总复习(2026版更新中)_02-数学-中考总复习_2025中考复习资料_2025年中考数学一轮知识梳理
考前突破07阅读理解、函数与几何探究、综合实践题(4大必考题型)解析版_02中考总复习(2026版更新中)_02-数学-中考总复习_2025中考复习资料_2025年中考数学一轮知识梳理
考前突破07阅读理解、函数与几何探究、综合实践题(4大必考题型)解析版_02中考总复习(2026版更新中)_02-数学-中考总复习_2025中考复习资料_2025年中考数学一轮知识梳理
考前突破07阅读理解、函数与几何探究、综合实践题(4大必考题型)解析版_02中考总复习(2026版更新中)_02-数学-中考总复习_2025中考复习资料_2025年中考数学一轮知识梳理
考前突破07阅读理解、函数与几何探究、综合实践题(4大必考题型)解析版_02中考总复习(2026版更新中)_02-数学-中考总复习_2025中考复习资料_2025年中考数学一轮知识梳理
考前突破07阅读理解、函数与几何探究、综合实践题(4大必考题型)解析版_02中考总复习(2026版更新中)_02-数学-中考总复习_2025中考复习资料_2025年中考数学一轮知识梳理
考前突破07阅读理解、函数与几何探究、综合实践题(4大必考题型)解析版_02中考总复习(2026版更新中)_02-数学-中考总复习_2025中考复习资料_2025年中考数学一轮知识梳理
考前突破07阅读理解、函数与几何探究、综合实践题(4大必考题型)解析版_02中考总复习(2026版更新中)_02-数学-中考总复习_2025中考复习资料_2025年中考数学一轮知识梳理
考前突破07阅读理解、函数与几何探究、综合实践题(4大必考题型)解析版_02中考总复习(2026版更新中)_02-数学-中考总复习_2025中考复习资料_2025年中考数学一轮知识梳理
考前突破07阅读理解、函数与几何探究、综合实践题(4大必考题型)解析版_02中考总复习(2026版更新中)_02-数学-中考总复习_2025中考复习资料_2025年中考数学一轮知识梳理
考前突破07阅读理解、函数与几何探究、综合实践题(4大必考题型)解析版_02中考总复习(2026版更新中)_02-数学-中考总复习_2025中考复习资料_2025年中考数学一轮知识梳理
考前突破07阅读理解、函数与几何探究、综合实践题(4大必考题型)解析版_02中考总复习(2026版更新中)_02-数学-中考总复习_2025中考复习资料_2025年中考数学一轮知识梳理
考前突破07阅读理解、函数与几何探究、综合实践题(4大必考题型)解析版_02中考总复习(2026版更新中)_02-数学-中考总复习_2025中考复习资料_2025年中考数学一轮知识梳理
考前突破07阅读理解、函数与几何探究、综合实践题(4大必考题型)解析版_02中考总复习(2026版更新中)_02-数学-中考总复习_2025中考复习资料_2025年中考数学一轮知识梳理
考前突破07阅读理解、函数与几何探究、综合实践题(4大必考题型)解析版_02中考总复习(2026版更新中)_02-数学-中考总复习_2025中考复习资料_2025年中考数学一轮知识梳理
考前突破07阅读理解、函数与几何探究、综合实践题(4大必考题型)解析版_02中考总复习(2026版更新中)_02-数学-中考总复习_2025中考复习资料_2025年中考数学一轮知识梳理
考前突破07阅读理解、函数与几何探究、综合实践题(4大必考题型)解析版_02中考总复习(2026版更新中)_02-数学-中考总复习_2025中考复习资料_2025年中考数学一轮知识梳理
考前突破07阅读理解、函数与几何探究、综合实践题(4大必考题型)解析版_02中考总复习(2026版更新中)_02-数学-中考总复习_2025中考复习资料_2025年中考数学一轮知识梳理
考前突破07阅读理解、函数与几何探究、综合实践题(4大必考题型)解析版_02中考总复习(2026版更新中)_02-数学-中考总复习_2025中考复习资料_2025年中考数学一轮知识梳理
考前突破07阅读理解、函数与几何探究、综合实践题(4大必考题型)解析版_02中考总复习(2026版更新中)_02-数学-中考总复习_2025中考复习资料_2025年中考数学一轮知识梳理
考前突破07阅读理解、函数与几何探究、综合实践题(4大必考题型)解析版_02中考总复习(2026版更新中)_02-数学-中考总复习_2025中考复习资料_2025年中考数学一轮知识梳理
考前突破07阅读理解、函数与几何探究、综合实践题(4大必考题型)解析版_02中考总复习(2026版更新中)_02-数学-中考总复习_2025中考复习资料_2025年中考数学一轮知识梳理
考前突破07阅读理解、函数与几何探究、综合实践题(4大必考题型)解析版_02中考总复习(2026版更新中)_02-数学-中考总复习_2025中考复习资料_2025年中考数学一轮知识梳理
考前突破07阅读理解、函数与几何探究、综合实践题(4大必考题型)解析版_02中考总复习(2026版更新中)_02-数学-中考总复习_2025中考复习资料_2025年中考数学一轮知识梳理
考前突破07阅读理解、函数与几何探究、综合实践题(4大必考题型)解析版_02中考总复习(2026版更新中)_02-数学-中考总复习_2025中考复习资料_2025年中考数学一轮知识梳理
考前突破07阅读理解、函数与几何探究、综合实践题(4大必考题型)解析版_02中考总复习(2026版更新中)_02-数学-中考总复习_2025中考复习资料_2025年中考数学一轮知识梳理
考前突破07阅读理解、函数与几何探究、综合实践题(4大必考题型)解析版_02中考总复习(2026版更新中)_02-数学-中考总复习_2025中考复习资料_2025年中考数学一轮知识梳理
考前突破07阅读理解、函数与几何探究、综合实践题(4大必考题型)解析版_02中考总复习(2026版更新中)_02-数学-中考总复习_2025中考复习资料_2025年中考数学一轮知识梳理
考前突破07阅读理解、函数与几何探究、综合实践题(4大必考题型)解析版_02中考总复习(2026版更新中)_02-数学-中考总复习_2025中考复习资料_2025年中考数学一轮知识梳理
考前突破07阅读理解、函数与几何探究、综合实践题(4大必考题型)解析版_02中考总复习(2026版更新中)_02-数学-中考总复习_2025中考复习资料_2025年中考数学一轮知识梳理
考前突破07阅读理解、函数与几何探究、综合实践题(4大必考题型)解析版_02中考总复习(2026版更新中)_02-数学-中考总复习_2025中考复习资料_2025年中考数学一轮知识梳理
考前突破07阅读理解、函数与几何探究、综合实践题(4大必考题型)解析版_02中考总复习(2026版更新中)_02-数学-中考总复习_2025中考复习资料_2025年中考数学一轮知识梳理
考前突破07阅读理解、函数与几何探究、综合实践题(4大必考题型)解析版_02中考总复习(2026版更新中)_02-数学-中考总复习_2025中考复习资料_2025年中考数学一轮知识梳理
考前突破07阅读理解、函数与几何探究、综合实践题(4大必考题型)解析版_02中考总复习(2026版更新中)_02-数学-中考总复习_2025中考复习资料_2025年中考数学一轮知识梳理
考前突破07阅读理解、函数与几何探究、综合实践题(4大必考题型)解析版_02中考总复习(2026版更新中)_02-数学-中考总复习_2025中考复习资料_2025年中考数学一轮知识梳理
考前突破07阅读理解、函数与几何探究、综合实践题(4大必考题型)解析版_02中考总复习(2026版更新中)_02-数学-中考总复习_2025中考复习资料_2025年中考数学一轮知识梳理
考前突破07阅读理解、函数与几何探究、综合实践题(4大必考题型)解析版_02中考总复习(2026版更新中)_02-数学-中考总复习_2025中考复习资料_2025年中考数学一轮知识梳理
考前突破07阅读理解、函数与几何探究、综合实践题(4大必考题型)解析版_02中考总复习(2026版更新中)_02-数学-中考总复习_2025中考复习资料_2025年中考数学一轮知识梳理
考前突破07阅读理解、函数与几何探究、综合实践题(4大必考题型)解析版_02中考总复习(2026版更新中)_02-数学-中考总复习_2025中考复习资料_2025年中考数学一轮知识梳理
考前突破07阅读理解、函数与几何探究、综合实践题(4大必考题型)解析版_02中考总复习(2026版更新中)_02-数学-中考总复习_2025中考复习资料_2025年中考数学一轮知识梳理
考前突破07阅读理解、函数与几何探究、综合实践题(4大必考题型)解析版_02中考总复习(2026版更新中)_02-数学-中考总复习_2025中考复习资料_2025年中考数学一轮知识梳理
考前突破07阅读理解、函数与几何探究、综合实践题(4大必考题型)解析版_02中考总复习(2026版更新中)_02-数学-中考总复习_2025中考复习资料_2025年中考数学一轮知识梳理
考前突破07阅读理解、函数与几何探究、综合实践题(4大必考题型)解析版_02中考总复习(2026版更新中)_02-数学-中考总复习_2025中考复习资料_2025年中考数学一轮知识梳理
考前突破07阅读理解、函数与几何探究、综合实践题(4大必考题型)解析版_02中考总复习(2026版更新中)_02-数学-中考总复习_2025中考复习资料_2025年中考数学一轮知识梳理
考前突破07阅读理解、函数与几何探究、综合实践题(4大必考题型)解析版_02中考总复习(2026版更新中)_02-数学-中考总复习_2025中考复习资料_2025年中考数学一轮知识梳理
考前突破07阅读理解、函数与几何探究、综合实践题(4大必考题型)解析版_02中考总复习(2026版更新中)_02-数学-中考总复习_2025中考复习资料_2025年中考数学一轮知识梳理
考前突破07阅读理解、函数与几何探究、综合实践题(4大必考题型)解析版_02中考总复习(2026版更新中)_02-数学-中考总复习_2025中考复习资料_2025年中考数学一轮知识梳理
考前突破07阅读理解、函数与几何探究、综合实践题(4大必考题型)解析版_02中考总复习(2026版更新中)_02-数学-中考总复习_2025中考复习资料_2025年中考数学一轮知识梳理
考前突破07阅读理解、函数与几何探究、综合实践题(4大必考题型)解析版_02中考总复习(2026版更新中)_02-数学-中考总复习_2025中考复习资料_2025年中考数学一轮知识梳理
考前突破07阅读理解、函数与几何探究、综合实践题(4大必考题型)解析版_02中考总复习(2026版更新中)_02-数学-中考总复习_2025中考复习资料_2025年中考数学一轮知识梳理

文档信息

文档格式
docx
文档大小
16.585 MB
文档页数
252 页
上传时间
2026-04-12 06:21:49

文档内容

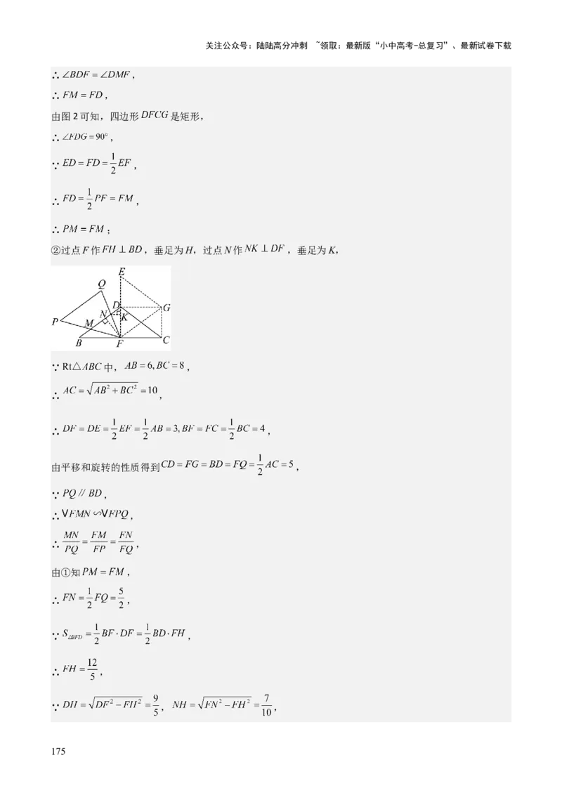
关注公众号:陆陆高分冲刺 ~领取:最新版“小中高考-总复习”、最新试卷下载 考前突破 07 阅读理解、函数与几何探究、综合实践题(4 大必考题 型) 题型一:函数与图象探究题 题型二:阅读理解题 题型三:几何探究题 题型四:综合与实践 题型一:函数与图象探究题 【中考母题学方法】 1.(2022·湖北襄阳·中考真题)探究函数性质时,我们经历了列表、描点、连线画出函数图象,观察分析 图象特征,概括函数性质的过程.结合已有经验,请画出函数 的图象,并探究该函数性质. (1)绘制函数图象 ①列表:下列是x与y的几组对应值,其中a= . … … x ﹣5 ﹣4 ﹣3 ﹣2 ﹣1 1 2 3 4 5 … … … … y ﹣3.8 ﹣2.5 ﹣1 1 5 5 a ﹣1 ﹣2.5 ﹣3.8 … … ②描点:根据表中的数值描点(x,y),请补充描出点(2,a); ③连线:请用平滑的曲线顺次连接各点,画出函数图象; 1关注公众号:陆陆高分冲刺 ~领取:最新版“小中高考-总复习”、最新试卷下载 (2)探究函数性质,请写出函数y= -|x|的一条性质: ; (3)运用函数图象及性质 ①写出方程 -|x|=5的解 ; ②写出不等式 -|x|≤1的解集 . 【答案】(1)①1;②见解析,③见解析 (2) 的图象关于 轴对称轴(答案不唯一) (3)① 或 ;② 或 【分析】(1)①把x=2代入解析式即可得a的值;②③按要求描点,连线即可; (2)观察函数图象,可得函数性质; (3)①由函数图象可得答案;②观察函数图象即得答案. 【详解】(1)①列表:当x=2时, , 故答案为:1; ②描点,③连线如下: 2关注公众号:陆陆高分冲刺 ~领取:最新版“小中高考-总复习”、最新试卷下载 (2)观察函数图象可得: 的图象关于y轴对称, 故答案为: 的图象关于y轴对称; (3)①观察函数图象可得:当y=5时,x=1或x=-1, 的解是x=1或x=-1, 故答案为:x=1或x=-1, ②观察函数图象可得,当x≤-2或x≥2时,y≤1, ∴ 的解集是x≤-2或x≥2, 故答案为:x≤-2或x≥2. 【点睛】本题考查了列表描点画函数图象,根据函数图象获取信息,画出函数图象,从函数图象获取信息 是解题的关键. 2.(2020·重庆·中考真题)探究函数性质时,我们经历了列表、描点、连线画出函数图象,观察分析图象 特征,概括函数性质的过程.结合已有的学习经验,请画出函数 的图象并探究该函数的性质. x ⋯ -4 -3 -2 -1 0 1 2 3 4 ⋯ y ⋯ a -2 -4 b -4 -2 ⋯ 3关注公众号:陆陆高分冲刺 ~领取:最新版“小中高考-总复习”、最新试卷下载 (1)列表,写出表中a,b的值:a=____ ,b= . 描点、连线,在所给的平面直角坐标系中画出该函数的图象. (2)观察函数图象,判断下列关于函数性质的结论是否正确(在答题卡相应位置正确的用“√”作答, 错误的用“×”作答): ①函数 的图象关于y轴对称; ②当x=0时,函数 有最小值,最小值为-6; ③在自变量的取值范围内函数y的值随自变量x的增大而减小. (3)已知函数 的图象如图所示,结合你所画的函数图象,直接写出不等式 的解集. 【答案】(1) , ,作图见解析;(2)①√;②√;③×;(3)x<-4或-2<x<1. 【分析】(1)把对应的x的值代入即可求出a和b的值,通过描点,用平滑的曲线连接,即可作出图象; (2)观察图象即可判断; (3)找出函数 的图象比函数 的图象低时对应的x的范围即可. 【详解】(1)当 时, ;当 时, ; ∴ , , 故答案为: , . 所画图象,如图所示. 4关注公众号:陆陆高分冲刺 ~领取:最新版“小中高考-总复习”、最新试卷下载 (2)①观察图象可知函数 的图象关于y轴对称,故该说法正确; ②观察图象可知,当x=0时,函数 有最小值,最小值为 ,故该说法正确; ③观察图象可知,当 时,y随x的增大而减小,当 时,y随x的增大而增大,故该项题干说法错 误. (3)不等式 表现在图象上面即函数 的图象比函数 的图象低,因 此观察图象,即可得到 的解集为:x<-4或-2<x<1. 【点睛】本题主要考查一次函数的图象和性质,一次函数与一元一次不等式,会用描点法画出函数图象, 利用数形结合的思想得到函数的性质是解题的关键. 3.(2021·湖北荆州·中考真题)小爱同学学习二次函数后,对函数 进行了探究,在经历列表、 描点、连线步骤后,得到如 下的函数图像.请根据函数图象,回答下列问题: 5关注公众号:陆陆高分冲刺 ~领取:最新版“小中高考-总复习”、最新试卷下载 (1)观察探究: ①写出该函数的一条性质:__________; ②方程 的解为:__________; ③若方程 有四个实数根,则 的取值范围是__________. (2)延伸思考: 将函数 的图象经过怎样的平移可得到函数 的图象?写出平移过程,并直 接写出当 时,自变量 的取值范围. 【答案】(1)①关于y轴对称;② ;③ ;(2)将函数 的图象 先向右平移2个单位长度,再向上平移3个单位长度可得到函数 的图象,当 时,自变量 的取值范围为 或 . 【分析】(1)①根据函数图象可直接进行作答;②由函数图象及方程可得当y=-1时,自变量x的值,则 可看作直线y=-1与函数 的图象交点问题,进而问题可求解;③由题意可看作直线y=a与函数 的图象有四个交点的问题,进而问题可求解; (2)由函数图象平移可直接进行求解,然后结合函数图象可求解x的范围问题. 【详解】解:(1)①由图象可得:该函数的一条性质为关于y轴对称,(答案不唯一); 故答案为关于y轴对称; ②由题意及图象可看作直线y=-1与函数 的图象交点问题,如图所示: 6关注公众号:陆陆高分冲刺 ~领取:最新版“小中高考-总复习”、最新试卷下载 ∴方程 的解为 ; 故答案为 ; ③由题意可看作直线y=a与函数 的图象有四个交点的问题,如图所示: ∴由图象可得若方程 有四个实数根,则 的取值范围是 ; 故答案为 ; (2)由题意得:将函数 的图象先向右平移2个单位长度,再向上平移3个单位长度可得到函 7关注公众号:陆陆高分冲刺 ~领取:最新版“小中高考-总复习”、最新试卷下载 数 的图象,则平移后的函数图象如图所示: ∴由图象可得:当 时,自变量x的取值范围为 或 . 【点睛】本题主要考查二次函数的图象与性质,熟练掌握二次函数的图象与性质是解题的关键. 4.(2021·广西河池·中考真题)在平面直角坐标系中,抛物线 与x轴交于A,B两点(A在 B的右侧),与y轴交于点C. (1)求直线CA的解析式; (2)如图,直线 与抛物线在第一象限交于点D,交CA于点E,交x轴于点F, 于点G,若 E为GA的中点,求m的值. (3)直线 与抛物线交于 , 两点,其中 .若 且 ,结 合函数图象,探究n的取值范围. 【答案】(1) ;(2) ;(3) 或 . 【分析】(1)由 中,得 , , ,利用待定系数法即可得,直线CA的 8关注公众号:陆陆高分冲刺 ~领取:最新版“小中高考-总复习”、最新试卷下载 解析式为 ; (2)根据直线 与抛物线在第一象限交于点D,交CA于点E,交x轴于点F,可得 , 且 , , ,从而 , ,而 是等腰直角三角形, 可得 , 是等腰直角三角形,即可列 ,解得m=2 或m=3(舍去); (3)由 得: 或 ,①若 ,即 ,根据 且 ,可得 ,且 ,即解得 ;②若 ,即 ,可得: 且 ,即解得 ,综合可得结果. 【详解】解:(1)在 中, 令 得 , 令 得 或 , ∴ , , , 设直线CA的解析式为 ,则 , 解得 , ∴直线CA的解析式为 ; (2)∵直线x=m与抛物线在第一象限交于点D,交CA于点E,交x轴于点F, ∴ ,且 , , , 9关注公众号:陆陆高分冲刺 ~领取:最新版“小中高考-总复习”、最新试卷下载 ∴ , , ∵ , , ∴ , 是等腰直角三角形, ∴ , , ∴ 是等腰直角三角形, ∴ , ∵E为GA的中点, ∴ , ∴ , 解得 或 , ∵ 时,D与A重合,舍去, ∴ ; (3)由 得: 或 , ①若 ,即 , ∵ 且 , ∴ ,且 , 解得 ; ②若 ,即 , 可得: 且 , 解得 . 综上所述,n的取值范围是 或 . 10关注公众号:陆陆高分冲刺 ~领取:最新版“小中高考-总复习”、最新试卷下载 【点睛】本题考查二次函数综合应用,涉及待定系数法、等腰三角形性质等知识,用含m的代数式表示相 关点坐标和相关线段的长度及分类讨论思想的应用是解题的关键. 5.(2024·宁夏·中考真题)在同一平面直角坐标系中,函数 的图象可以由函数 的图象平移 得到.依此想法,数学小组对反比例函数图象的平移进行探究. (1)【动手操作】 列表: 1 2 3 4 5 2 1 0 1 2 3 4 2 1 描点连线:在已画出函数 的图象的坐标系中画出函数 的图象. 11关注公众号:陆陆高分冲刺 ~领取:最新版“小中高考-总复习”、最新试卷下载 (2)【探究发现】 ①将反比例函数 的图象向___________平移___________个单位长度得到函数 的图象. ②上述探究方法运用的数学思想是( ) 整体思想 B.类比思想 C.分类讨论思想 (3)【应用延伸】 ①将反比例函数 的图象先___________,再___________得到函数 的图象. ②函数 图象的对称中心的坐标为___________. 【答案】(1)图见解析 (2)①左,1;②B (3)①右平移2个单位长度;向下平移1个单位长度(向下平移1个单位长度;向右平移2个单位长度); ② 【分析】(1)列表,描点、连线画出函数 的图象即可; (2)结合图象填空即可; (3)根据发现的规律填空即可. 【详解】(1)描点、连线画出函数图象如图所示: 12关注公众号:陆陆高分冲刺 ~领取:最新版“小中高考-总复习”、最新试卷下载 (2)①函数 的图象可以看作是由函数 的图象向左平移1个单位长度, ②上述探究方法运用的数学思想是类比思想. 故答案为:左,1;B (3)①函数 的图象可以看作是由函数 的图象向右平移2个单位长度; 向下平移1个单位长度(向下平移1个单位长度;向右平移2个单位长度)而得到; ②根据平移的性质,函数 图象的对称中心的坐标为 . 故答案为:右平移2个单位长度;向下平移1个单位长度(向下平移1个单位长度;向右平移2个单位长 度); 【点睛】本题考查了反比例函数的图象,一次函数的图象,正比例函数图象,一次函数图象与几何变换, 数形结合是解题的关键. 【中考模拟即学即练】 1.(2024·北京石景山·二模)中国茶文化博大精深,自古以来中国人有饮茶的传统.某校茶文化社团探究 了刚泡好的茶水达到最佳饮用口感的时间.部分内容如下: a.探究活动在同一社团活动室进行,室温 ; b.经查阅资料得知,茶水口感与茶叶类型及水的温度有关.某种普洱茶用 的水冲泡,等茶水温度降至 饮用,口感最佳;某种绿茶用 的水冲泡,等茶水温度降至 饮用,口感最佳; c.同时用不同温度的热水冲泡茶叶,记放置时间为x(单位: ),普洱茶茶水的温度为 (单位: 13关注公众号:陆陆高分冲刺 ~领取:最新版“小中高考-总复习”、最新试卷下载 ),绿茶茶水的温度为 (单位: ).记录的部分数据如下: x 0.0 1.0 2.0 3.0 4.0 5.0 6.0 7.0 8.0 9.0 10.0 95.0 88.5 82.6 77.2 72.4 68.0 64.0 60.3 57.1 54.1 51.4 85.0 79.5 74.5 70.0 65.8 62.0 58.6 55.5 52.7 50.2 47.9 对以上数据进行分析,补充完成以下内容. (1)可以用函数刻画 与x、 与x之间的关系,在同一平面直角坐标系 中,已经画出 与x的函数图 象,请画出 与x的函数图象; (2)探究活动中,当绿茶茶水的放置时间约为__________ 时,其饮用口感最佳,此时普洱茶茶水的温度 约为__________ (结果保留小数点后一位); (3)探究活动中,当普洱茶茶水的温度为 时,再继续放置 ,测得其温度为 ,则m__________60 (填“>”“=”或“﹤”). 【答案】(1)见详解 (2)5.5;66.0 (3)> 【分析】本题考查了从函数图象获取信息、用描点法画函数图象,正确掌握相关性质内容是解题的关键. (1)先把列表的数值分别在图象中描点出来,再依次连接,即可作答. (2)结合图象以及题干“某种普洱茶用 的水冲泡,等茶水温度降至 饮用,口感最佳;某种绿茶 14关注公众号:陆陆高分冲刺 ~领取:最新版“小中高考-总复习”、最新试卷下载 用 的水冲泡,等茶水温度降至 饮用,口感最佳;且结合函数图象”,进行作答即可. (3)相比较:某种普洱茶用 的水冲泡,放置 ,此时测得其温度为接近 ,以及结合图象,进 行作答即可. 【详解】(1)解:依题意,得 与x的函数图象,如图所示: (2)解:∵某种普洱茶用 的水冲泡,等茶水温度降至 饮用,口感最佳;某种绿茶用 的水冲 泡,等茶水温度降至 饮用,口感最佳;且结合函数图象 ∴绿茶茶水降至 饮用,大概时间轻为5.5 ,其饮用口感最佳, 此时普洱茶茶水的温度约为 (结果保留小数点后一位); 故答案为:5.5;66.0. (3)解:∵某种普洱茶用 的水冲泡,放置 ,此时测得其温度为接近 , ∴当普洱茶茶水的温度为 时,再继续放置 ,测得其温度为 ,则 故答案为:>. 2.(2024·广东深圳·三模)在初中阶段的函数学习中,我们经历了“确定函数的表达式→利用函数图象研 究其性质→运用函数解决问题”的学习过程.结合学习函数的经验,探究函数 的图象与性质, 探究过程如下,请补充完整. (1)列表: x … 0 1 2 3 4 … 15关注公众号:陆陆高分冲刺 ~领取:最新版“小中高考-总复习”、最新试卷下载 y … b … (2)描点并连线. (3)观察图象并填空: ① , ②写出该函数的一条性质: ③图象与x轴围成的三角形面积为 ④当 时,直接写出x的取值范围 【答案】(2)见解析;(3)① , ;②当 时,y随x增大而增大(或)当 时,y随x增大而 减小(或)当 时,y取最小 ;③16;④ 或 【分析】本题考查画函数图象,利用函数图象分析解决问题,掌握描点画图是解题的关键. (2)根据表格描出各点,然后连接即可得到图象; (3)①把给的任一点的坐标代入求出 ,然后把x=2代入解题即可; ②观察图象得到性质即可; ④先根据 求出自变量x的值,然后借助图象回答即可. 【详解】(2)如图 (3)①把x=0, 代入得 ,解得 , 16关注公众号:陆陆高分冲刺 ~领取:最新版“小中高考-总复习”、最新试卷下载 ∴当x=2时, , 故答案为: , ; ②当 时,y随x增大而增大 (或)当 时,y随x增大而减小 (或)当 时,y取最小 ③令 ,则 ,解得 , , ∴图象与x轴围成的三角形面积为 , 故答案为:16 ; ④令 ,则 ,解得 , , ∴由图像可知,当 时,直接写出x的取值范围 或 . 3.(2024·河南商丘·二模)有这样一个问题:探究函数 的图象与性质,小明根据学习函 数的经验,对函数 的图象与性质进行了探究,下面是小明的探究过程,请补充完整: (1)自变量x的取值范围是全体实数,x与y的几组对应数值如下表: - x 0 1 2 2 - y 0 m 0 4 其中 (2)在如图所示的平面直角坐标系xOy中,描出以上表中各对对应值为坐标的点.并画出该函数的大致图象; (3)观察函数图象,写出一条该函数的性质 ; (4)进一步探究函数图象发现: 17关注公众号:陆陆高分冲刺 ~领取:最新版“小中高考-总复习”、最新试卷下载 ①函数图象与x轴有 个交点,所以对应的方程 有 个互不相等的实数根; ②若关于x的方程 有3个互不相等的实数根,则a的取值范围是 【答案】(1) (2)见解析 (3)由函数图象知当 或 时,y随x的增大而增大,当 时,y随x的增大而减小(答案不唯 一) (4) 2,2; 【分①析】本题②主要考查了求函数值,画函数图象以及从函数图象上获取信息等知识. (1)直接把 代入函数式即可求出m的值. (2)根据表格数据,直接描点连线即可. (3)根据函数图象回答即可. (4)①②根据函数图象回答即可. 【详解】(1)解:当 时, . 故答案为: . (2)函数图象如下所示: (3)由函数图象知当 或 时,y随x的增大而增大, 当 时,y随x的增大而减小.(答案不唯一) (4)①由函数图象知, 函数图象与x轴有2个交点,所以对应的方程 有2个互不相等 的实数根; 18关注公众号:陆陆高分冲刺 ~领取:最新版“小中高考-总复习”、最新试卷下载 故答案为:2,2. ②由函数图象知,函数 的图象与直线 、 有两个交点, 当 时,函数 的图象与直线 有3个交点, 即 时,关于x的方程 有3个互不相等的实数根, 故答案为: . 4.(2024·陕西咸阳·模拟预测)探究函数性质时,我们经历了列表、描点、连线画出函数图象,观察分析 图象特征,概括函数性质的过程.结合已有经验,请画出函数 的图象,并探究该函数性质. (1)绘制函数图象 列表:下列是x与y的几组对应值,其中 ________; x … 0 1 2 3 4 … y … 4 2 0 m 0 2 4 6 8 … 描点:根据表中的数值描点 ; 连线:请用平滑的线顺次连接各点,在图中画出函数图象; (2)探究函数性质 请写出函数 的一条性质:________________;(写一条即可) (3)运用函数图象及性质 19关注公众号:陆陆高分冲刺 ~领取:最新版“小中高考-总复习”、最新试卷下载 根据图象,求不等式 的解集. 【答案】(1) ,图见解析 (2)函数 的图象有最低点 (答案不唯一) (3) 【分析】本题考查通过列表,描点,连线,画函数图象,通过函数图象研究函数的性质; (1)把 代入 即可求出m的值;直接描点,用平滑的曲线的进行连线即可画出函数图 象; (2)根据图象即可求解; (3)图象法解不等式即可. 【详解】(1)把 代入 ,得 , ∴ . 如图, 故答案为: ; (2)函数 的图象有最低点 (答案不唯一). 故答案为:函数 的图象有最低点 (答案不唯一); 20关注公众号:陆陆高分冲刺 ~领取:最新版“小中高考-总复习”、最新试卷下载 (3)由图象可知不等式 的解集是 . 5.(2024·河南商丘·模拟预测)《函数)复习课后,为加深对函数的认识,李老师引导同学们对函数 的图象与性质进行探究,过程如下,请完成探究过程: (1)初步感知:函数 的自变量取值范围是 ; (2)作出图象:①列表: 0 1 2 3 2 3 5 表中 , ; ②描点,连线:在平面直角坐标系中,描出以表中各对对应值为坐标的点,根据描出的点画出该函数的图 象; (3)研究性质: 小明观察图象,发现这个图象为双曲线,进一步研究中,小明将函数 转化为 ,他判断该函 数图象就是反比例函数 通过某种平移转化而来,反比例函数 是中心对称图形,对称中心为 ,则函数 的对称中心为 ; 21关注公众号:陆陆高分冲刺 ~领取:最新版“小中高考-总复习”、最新试卷下载 (4)拓展应用:当 时,关于 的方程 有实数解,求 的取值范围. 【答案】(1) (2)① ,0;②见解析 (3) (4) 【分析】本题考查了分式有意义的条件,反比例函数的图象与性质,反比例函数与一次函数综合等知识. 熟练掌握分式有意义的条件,反比例函数的图象与性质,反比例函数与一次函数综合是解题的关键. (1)由题意知, ,求解作答即可; (2)①将 , 分别代入求解即可;②描点连线即可; (3)由图象与反比例函数的性质可知,函数 的对称中心为 ,然后作答即可; (4)由题意知,当 时,函数 中, ,把 , 代入函数 得, ,解得 ,把 , 代入函数 得 ,解得 ,然后作答即可. 【详解】(1)解:∵函数 ∴ ,解得 , ∴函数 的自变量 的取值范围是 . 故答案为: . (2)① 时, , . 当 时, , , 故答案为: ,0; 22关注公众号:陆陆高分冲刺 ~领取:最新版“小中高考-总复习”、最新试卷下载 ②函数图象如图所示: (3)函数 的对称中心为 , 故答案为: ; (4)当 时,函数 中, , 把 , 代入函数 得, ,解得 , 把 , 代入函数 得 ,解得 , 当 时,关于 的方程 有实数解, 的取值范围是 . 6.(2024·广东深圳·模拟预测)小明在学习了反比例函数的图象与性质后,进一步研究了函数 的 图象与性质.其探究过程如下: (1)绘制函数图象,如图, 列表:下表是 与 的几组对应值,其中 ; −2 −2 描点:根据表中各组对应值 ,在平面直角坐标系中描出各点; 连线:用平滑的曲线顺次连接各点,画出了部分图象,请你把图象补充完整; 23关注公众号:陆陆高分冲刺 ~领取:最新版“小中高考-总复习”、最新试卷下载 (2)通过观察函数图象,写出该函数的一条性质: . (3)利用函数图象,解不等式 . 【答案】(1)−2,见解析 (2)图象关于 轴对称 (3) 或 x<1 【分析】本题考查了反比例函数的图象和性质,一次函数与反比例函数的交点问题,解一元二次方程; (1)代入求值即可;经历描点、连线形成图象; (2)依据函数的图象关于 轴对称; (3)先解方程求的交点坐标的横坐标,进而根据函数图象即可求解. 【详解】(1)解:把 代入 得, , 函数图象如图, 故答案为:−2; (2)观察图形得出函数的性质:图象关于 轴对称; 24关注公众号:陆陆高分冲刺 ~领取:最新版“小中高考-总复习”、最新试卷下载 故答案为:图象关于 轴对称; (3)作出直线 , 当x>0时,则令 ,整理得 , 解得 或x=1, 当 时,则令 ,整理得 , 解得 , 观察图象可知,当 或 x<1时,直线 在函数 的图象的下方, 故不等式 的解集为 或 x<1. 7.(2024·山东济南·二模)【发现问题】 小明在学习过程中发现:周长为定值的矩形中面积最大的是正方形.那么,面积为定值的矩形中,其周长 的取值范围如何呢? 【解决问题】 小明尝试从函数图象的角度进行探究: (1)建立函数模型 设一矩形的面积为4,周长为m ,相邻的两边长为x、y ,则. 即 那么满足要求的(x,y)应该是函数 与 的图象在第_____象限内的公共点坐标. 25关注公众号:陆陆高分冲刺 ~领取:最新版“小中高考-总复习”、最新试卷下载 (2)画出函数图象 ①画函数 的图象; ②在同一直角坐标系中直接画出 的图象,则函数 的图象可以看成是函数 的图象向 上平移_____个单位长度得到. (3)研究函数图象 平移直线 ,观察两函数的图象; ①当直线平移到与函数 的图象有唯一公共点的位置时,公共点的坐标为_____,周长m 的值 为_____; ②在直线平移的过程中,两函数图象公共点的个数还有什么情况?请直接写出公共点的个数及对应数值m 的取值范围. 【结论运用】 (4)面积为8的矩形的周长m的取值范围为_____. 【答案】(1) 一;(2)①图见解析;②图见解析, (3)① ,8;②0个交点时, ;2个交点时, (4) 【分析】本题考查反比例函数与一次函数的综合,涉及画函数图象、函数图象的平移、解一元二次方程等 26关注公众号:陆陆高分冲刺 ~领取:最新版“小中高考-总复习”、最新试卷下载 知识,利用类比和数形结合思想求解是解答的关键. (1)根据x、y是边长求解即可; (2)①利用描点法画函数 的图象即可;②利用描点法画函数 的图象,的图象即可, 根据图象平移规则:上加下减求解即可; (3)①联立方程组,根据一元二次方程根的判别式求解即可; ②由①并结合图象可求解; (4)仿照前面求解思路,联立方程组,利用方程有实数根求解即可. 【详解】解:(1)∵x、y是边长,∴ , , 故满足要求的(x,y)应该是两个函数的图象在第一象限内的公共点坐标, 故答案为:一; (2)①列表: x 1 2 4 8 y 4 2 1 描点、连线得函数 的图象如图: ②列表: x 0 1 y 0 描点、连线得函数 的图象如图, 27关注公众号:陆陆高分冲刺 ~领取:最新版“小中高考-总复习”、最新试卷下载 由 得,函数 的图象可以看成是函数 的图象向上平移 个单位长度得到, 故答案为: ; (3)由 得 , 由 , 得 ,此时 , 解得 , ∴当直线平移到与函数 的图象有唯一公共点的位置时,公共点的坐标为 ,周长m的值为 8, 故答案为: ,8; ②如图, 由①并结合图象知:0个交点时, ;2个交点时, ; (4)当面积为8的矩形的周长是m时,相邻两边分别为x、y,则 , , ∴ , , 28关注公众号:陆陆高分冲刺 ~领取:最新版“小中高考-总复习”、最新试卷下载 由 得 , 由题意,该方程有实数根, 则 , 解得 , 故答案为: . 8.(2024·山东济南·二模)探究函数性质时,我们经历了列表、描点、连线画出函数图象,观察分析图象 特征,概括函数性质的过程.数学兴趣小组的同学们准备结合已有的学习函数的经验,画出函数 的图象并探究该函数的性质, x 0 1 2 3 4 y … 3 6 a b (1)【图象初探】列表,写出表中 的值: ______, ______;并观察表格中数据的特征,在所给的 平面直角坐标系中补全该函数的图象. (2)【性质再探】观察函数图象,下列关于函数 的结论正确的是_______. ①函数 的图象关于y轴对称.②函数 的图象不经过第三、四象限.③当 时,函数 有最大值,最大值为6.④在自变量的取值范围内,函数y的值随自变量x的增大而增大. 29关注公众号:陆陆高分冲刺 ~领取:最新版“小中高考-总复习”、最新试卷下载 (3)【学以致用】写出直线 与函数 有两个交点时,a的取值范围,并说明理由. 【答案】(1) , ,补全该函数的图象见解析 (2)①②③ (3) ,理由见解析 【分析】本题考查了函数的图象,会画函数的图象和识别图象是解题的关键. (1)分别将 , 代入函数解析式求解即可,再根据表格中数据即可补全函数图象; (2)根据图象的增减性和最值及对称性求解; (3)仿照函数 ,作出图象,结合图象可知函数 的函数值的取值范围为 ,进而 结合图象即可求解. 【详解】(1)当 时, ,当 时, , 即: , , 补全该函数的图象如下: 故答案为: , ; (2)由表格中的数据知:图象关于 轴对称,故①是正确的; ∵ , ∴ , ∴图象不经过三、四象限,故②是正确的; ∵ , ∴ , ∴ 的最大值为6; 30关注公众号:陆陆高分冲刺 ~领取:最新版“小中高考-总复习”、最新试卷下载 由图象得,当 时, 随 的增大而减小,故④是错误的; 故答案为:①②③; (3)类比函数 ,作出 的图象如图所示, 由图象可知,函数 的函数值的取值范围为 , 结合图象可知,直线 与函数 有两个交点时, . 9.(2024·辽宁·模拟预测)一次数学课上,张老师让同学们在网格纸上画出函数 的图象, 下面是小宇同学通过列表、描点、连线画函数图象的过程的一部分,请你完善探究过程,并解决相关问题. 31关注公众号:陆陆高分冲刺 ~领取:最新版“小中高考-总复习”、最新试卷下载 x … 0 4 8 16 … y … 0 a 15 16 b 12 0 … (1)绘制函数图象: ①如表是y与x的几组对应值,则表中 ________, ________; ②在如图1所示的平面直角坐标系中,已描出了表中部分坐标对应的点,请描出表中剩余坐标对应的x点, 并画出这个函数图象; (2)如图2,小宇同学准备了若干张等腰直角三角形纸片,其中 , . 探究一:若按照如图3方式将两张等腰三角形纸片摆放在平面直角坐标系中,其中点D在x轴上,边 所在直线始终与x轴平行,点F和点 重合,D,E,F三点按顺时针顺序排列,请通过计算说明当 , 全部落在x轴上方抛物线内部(不包括边界)时,最左边三角形纸片顶点E的横坐标m的取值范 围是多少? (3)探究二:如图4,若等腰直角 在平面内平移运动,并且边 所在直线始终与x轴平行,抛物线始 终与边 相交于点Q,且D,E,F三点按顺时针顺序排列,抛物线始终与直线 交于点P.(运动时, 32关注公众号:陆陆高分冲刺 ~领取:最新版“小中高考-总复习”、最新试卷下载 点P不与点E,F两点重合) ①当 时,等腰直角 左右平移时,求出点E横坐标m的最大值; ②在①条件下,当 时,求出点E的坐标. 【答案】(1)①12;15;②图象见解析 (2) (3)① ,② 或 【分析】(1)①把 , 代入函数关系式计算即可;②先描点,再画图即可; (2)过D作 交 于点H;求解 ,可得当 时, ,可得 , .求解 ,再进一步可得答案; (3)①过P作 于点J,求解 .可得 ,可得D的纵坐标为 . 再进一步可得答案;②过Q作 于点T,求解 . ,可得 .Q点纵坐标 为 .求解Q点横坐标为 或 .从而可得答案; 【详解】(1)解:①当 时, , 当 时, ; ②如图所示. 33关注公众号:陆陆高分冲刺 ~领取:最新版“小中高考-总复习”、最新试卷下载 ; (2)解:过D作 交 于点H; ∵ , , ∴ . 在 中, , ∴ . 当 时, , ∴ , . 在 中, , ∴ , ∴ ; (3)解:①过P作 于点J, 34关注公众号:陆陆高分冲刺 ~领取:最新版“小中高考-总复习”、最新试卷下载 ∵ , ∴ . ∵ , , ∴ . 当 时, , ∴ , ∴D的纵坐标为 . 当 时, , , ∴当D坐标为 时, 点D与点Q重合,m最大值为 . ②过Q作 于点T, ∴ , 在 中, , ∴ . 35关注公众号:陆陆高分冲刺 ~领取:最新版“小中高考-总复习”、最新试卷下载 , ∴ , ∴ . ∴Q点纵坐标为 . 当 时, , , . ∴Q点横坐标为 或 . ∴ 或 . 【点睛】本题考查的是求解二次函数值,画二次函数的图象,平移的性质,二次函数的图象与性质,锐角 三角函数的应用,等腰直角三角形的性质,熟练的利用数形结合的方法解题是关键. 题型二:阅读理解题 【中考母题学方法】 1.(2021·贵州贵阳·中考真题)(1)阅读理解:我国是最早了解勾股定理的国家之一,它被记载于我国 古代的数学著作《周髀算经》中.汉代数学家赵爽为了证明勾股定理,创制了一幅如图①所示的“弦图”, 后人称之为“赵爽弦图”.根据“赵爽弦图”写出勾股定理和推理过程; (2)问题解决:勾股定理的证明方法有很多,如图②是古代的一种证明方法:过正方形 的中心 , 作 ,将它分成4份.所分成的四部分和以 为边的正方形恰好能拼成以 为边的正方形.若 ,求 的值; (3)拓展探究:如图③,以正方形一边为斜边向外作直角三角形,再以该直角三角形的两直角边分别向 外作正方形,重复这一过程就可以得到“勾股树”的部分图形.设大正方形 的边长为定值 ,小正方形 的边长分别为 .已知 ,当角 变化时,探究 与 的关系 式,并写出该关系式及解答过程( 与 的关系式用含 的式子表示). 36关注公众号:陆陆高分冲刺 ~领取:最新版“小中高考-总复习”、最新试卷下载 【答案】(1)见详解;(2)EF= 或 ;(3)c+b=n,理由见详解 【分析】(1)根据大正方形的面积等于四个全等的直角三角形的面积与中间小正方形面积的和,即可得 到结论; (2)设EF=a,FD=b,由图形的特征可知:a+b=12,a-b=±5,进而即可求解; (3)设正方形E的边长为e,正方形F的边长为f,由相似三角形的性质可知: ,结合勾 股定理,可得 ,进而即可求解. 【详解】(1)证明:∵在图①中,大正方形的面积等于四个全等的直角三角形的面积与中间小正方形面 积的和. ∴c2= ab×4+(b−a)2, 化简得:a2+b2=c2; (2)由题意得:正方形ACDE被分成4个全等的四边形, 37关注公众号:陆陆高分冲刺 ~领取:最新版“小中高考-总复习”、最新试卷下载 设EF=a,FD=b, ∴a+b=12, ∵正方形ABIJ是由正方形ACDE被分成的4个全等的四边形和正方形CBLM拼成, ∴ , , , 当EF>DF时, ∵ , ∴a-b=5, ∴ ,解得:a= , ∴EF= ; 同理,当EF