当前位置:首页>文档>专题23几何法求空间角与距离(文理通用)(教师版)_02高考数学_通用版(老高考)复习资料_2024年复习资料_完备战2024年高考数学一轮复习考点帮(全国通用)_核心考点讲练

专题23几何法求空间角与距离(文理通用)(教师版)_02高考数学_通用版(老高考)复习资料_2024年复习资料_完备战2024年高考数学一轮复习考点帮(全国通用)_核心考点讲练

  • 2026-05-06 06:40:44 2026-04-13 03:43:28

文档预览

专题23几何法求空间角与距离(文理通用)(教师版)_02高考数学_通用版(老高考)复习资料_2024年复习资料_完备战2024年高考数学一轮复习考点帮(全国通用)_核心考点讲练
专题23几何法求空间角与距离(文理通用)(教师版)_02高考数学_通用版(老高考)复习资料_2024年复习资料_完备战2024年高考数学一轮复习考点帮(全国通用)_核心考点讲练
专题23几何法求空间角与距离(文理通用)(教师版)_02高考数学_通用版(老高考)复习资料_2024年复习资料_完备战2024年高考数学一轮复习考点帮(全国通用)_核心考点讲练
专题23几何法求空间角与距离(文理通用)(教师版)_02高考数学_通用版(老高考)复习资料_2024年复习资料_完备战2024年高考数学一轮复习考点帮(全国通用)_核心考点讲练
专题23几何法求空间角与距离(文理通用)(教师版)_02高考数学_通用版(老高考)复习资料_2024年复习资料_完备战2024年高考数学一轮复习考点帮(全国通用)_核心考点讲练
专题23几何法求空间角与距离(文理通用)(教师版)_02高考数学_通用版(老高考)复习资料_2024年复习资料_完备战2024年高考数学一轮复习考点帮(全国通用)_核心考点讲练
专题23几何法求空间角与距离(文理通用)(教师版)_02高考数学_通用版(老高考)复习资料_2024年复习资料_完备战2024年高考数学一轮复习考点帮(全国通用)_核心考点讲练
专题23几何法求空间角与距离(文理通用)(教师版)_02高考数学_通用版(老高考)复习资料_2024年复习资料_完备战2024年高考数学一轮复习考点帮(全国通用)_核心考点讲练
专题23几何法求空间角与距离(文理通用)(教师版)_02高考数学_通用版(老高考)复习资料_2024年复习资料_完备战2024年高考数学一轮复习考点帮(全国通用)_核心考点讲练
专题23几何法求空间角与距离(文理通用)(教师版)_02高考数学_通用版(老高考)复习资料_2024年复习资料_完备战2024年高考数学一轮复习考点帮(全国通用)_核心考点讲练
专题23几何法求空间角与距离(文理通用)(教师版)_02高考数学_通用版(老高考)复习资料_2024年复习资料_完备战2024年高考数学一轮复习考点帮(全国通用)_核心考点讲练
专题23几何法求空间角与距离(文理通用)(教师版)_02高考数学_通用版(老高考)复习资料_2024年复习资料_完备战2024年高考数学一轮复习考点帮(全国通用)_核心考点讲练
专题23几何法求空间角与距离(文理通用)(教师版)_02高考数学_通用版(老高考)复习资料_2024年复习资料_完备战2024年高考数学一轮复习考点帮(全国通用)_核心考点讲练
专题23几何法求空间角与距离(文理通用)(教师版)_02高考数学_通用版(老高考)复习资料_2024年复习资料_完备战2024年高考数学一轮复习考点帮(全国通用)_核心考点讲练
专题23几何法求空间角与距离(文理通用)(教师版)_02高考数学_通用版(老高考)复习资料_2024年复习资料_完备战2024年高考数学一轮复习考点帮(全国通用)_核心考点讲练
专题23几何法求空间角与距离(文理通用)(教师版)_02高考数学_通用版(老高考)复习资料_2024年复习资料_完备战2024年高考数学一轮复习考点帮(全国通用)_核心考点讲练
专题23几何法求空间角与距离(文理通用)(教师版)_02高考数学_通用版(老高考)复习资料_2024年复习资料_完备战2024年高考数学一轮复习考点帮(全国通用)_核心考点讲练
专题23几何法求空间角与距离(文理通用)(教师版)_02高考数学_通用版(老高考)复习资料_2024年复习资料_完备战2024年高考数学一轮复习考点帮(全国通用)_核心考点讲练
专题23几何法求空间角与距离(文理通用)(教师版)_02高考数学_通用版(老高考)复习资料_2024年复习资料_完备战2024年高考数学一轮复习考点帮(全国通用)_核心考点讲练
专题23几何法求空间角与距离(文理通用)(教师版)_02高考数学_通用版(老高考)复习资料_2024年复习资料_完备战2024年高考数学一轮复习考点帮(全国通用)_核心考点讲练
专题23几何法求空间角与距离(文理通用)(教师版)_02高考数学_通用版(老高考)复习资料_2024年复习资料_完备战2024年高考数学一轮复习考点帮(全国通用)_核心考点讲练
专题23几何法求空间角与距离(文理通用)(教师版)_02高考数学_通用版(老高考)复习资料_2024年复习资料_完备战2024年高考数学一轮复习考点帮(全国通用)_核心考点讲练
专题23几何法求空间角与距离(文理通用)(教师版)_02高考数学_通用版(老高考)复习资料_2024年复习资料_完备战2024年高考数学一轮复习考点帮(全国通用)_核心考点讲练
专题23几何法求空间角与距离(文理通用)(教师版)_02高考数学_通用版(老高考)复习资料_2024年复习资料_完备战2024年高考数学一轮复习考点帮(全国通用)_核心考点讲练
专题23几何法求空间角与距离(文理通用)(教师版)_02高考数学_通用版(老高考)复习资料_2024年复习资料_完备战2024年高考数学一轮复习考点帮(全国通用)_核心考点讲练
专题23几何法求空间角与距离(文理通用)(教师版)_02高考数学_通用版(老高考)复习资料_2024年复习资料_完备战2024年高考数学一轮复习考点帮(全国通用)_核心考点讲练
专题23几何法求空间角与距离(文理通用)(教师版)_02高考数学_通用版(老高考)复习资料_2024年复习资料_完备战2024年高考数学一轮复习考点帮(全国通用)_核心考点讲练
专题23几何法求空间角与距离(文理通用)(教师版)_02高考数学_通用版(老高考)复习资料_2024年复习资料_完备战2024年高考数学一轮复习考点帮(全国通用)_核心考点讲练
专题23几何法求空间角与距离(文理通用)(教师版)_02高考数学_通用版(老高考)复习资料_2024年复习资料_完备战2024年高考数学一轮复习考点帮(全国通用)_核心考点讲练
专题23几何法求空间角与距离(文理通用)(教师版)_02高考数学_通用版(老高考)复习资料_2024年复习资料_完备战2024年高考数学一轮复习考点帮(全国通用)_核心考点讲练
专题23几何法求空间角与距离(文理通用)(教师版)_02高考数学_通用版(老高考)复习资料_2024年复习资料_完备战2024年高考数学一轮复习考点帮(全国通用)_核心考点讲练
专题23几何法求空间角与距离(文理通用)(教师版)_02高考数学_通用版(老高考)复习资料_2024年复习资料_完备战2024年高考数学一轮复习考点帮(全国通用)_核心考点讲练
专题23几何法求空间角与距离(文理通用)(教师版)_02高考数学_通用版(老高考)复习资料_2024年复习资料_完备战2024年高考数学一轮复习考点帮(全国通用)_核心考点讲练
专题23几何法求空间角与距离(文理通用)(教师版)_02高考数学_通用版(老高考)复习资料_2024年复习资料_完备战2024年高考数学一轮复习考点帮(全国通用)_核心考点讲练
专题23几何法求空间角与距离(文理通用)(教师版)_02高考数学_通用版(老高考)复习资料_2024年复习资料_完备战2024年高考数学一轮复习考点帮(全国通用)_核心考点讲练
专题23几何法求空间角与距离(文理通用)(教师版)_02高考数学_通用版(老高考)复习资料_2024年复习资料_完备战2024年高考数学一轮复习考点帮(全国通用)_核心考点讲练
专题23几何法求空间角与距离(文理通用)(教师版)_02高考数学_通用版(老高考)复习资料_2024年复习资料_完备战2024年高考数学一轮复习考点帮(全国通用)_核心考点讲练
专题23几何法求空间角与距离(文理通用)(教师版)_02高考数学_通用版(老高考)复习资料_2024年复习资料_完备战2024年高考数学一轮复习考点帮(全国通用)_核心考点讲练
专题23几何法求空间角与距离(文理通用)(教师版)_02高考数学_通用版(老高考)复习资料_2024年复习资料_完备战2024年高考数学一轮复习考点帮(全国通用)_核心考点讲练
专题23几何法求空间角与距离(文理通用)(教师版)_02高考数学_通用版(老高考)复习资料_2024年复习资料_完备战2024年高考数学一轮复习考点帮(全国通用)_核心考点讲练
专题23几何法求空间角与距离(文理通用)(教师版)_02高考数学_通用版(老高考)复习资料_2024年复习资料_完备战2024年高考数学一轮复习考点帮(全国通用)_核心考点讲练
专题23几何法求空间角与距离(文理通用)(教师版)_02高考数学_通用版(老高考)复习资料_2024年复习资料_完备战2024年高考数学一轮复习考点帮(全国通用)_核心考点讲练
专题23几何法求空间角与距离(文理通用)(教师版)_02高考数学_通用版(老高考)复习资料_2024年复习资料_完备战2024年高考数学一轮复习考点帮(全国通用)_核心考点讲练
专题23几何法求空间角与距离(文理通用)(教师版)_02高考数学_通用版(老高考)复习资料_2024年复习资料_完备战2024年高考数学一轮复习考点帮(全国通用)_核心考点讲练
专题23几何法求空间角与距离(文理通用)(教师版)_02高考数学_通用版(老高考)复习资料_2024年复习资料_完备战2024年高考数学一轮复习考点帮(全国通用)_核心考点讲练
专题23几何法求空间角与距离(文理通用)(教师版)_02高考数学_通用版(老高考)复习资料_2024年复习资料_完备战2024年高考数学一轮复习考点帮(全国通用)_核心考点讲练
专题23几何法求空间角与距离(文理通用)(教师版)_02高考数学_通用版(老高考)复习资料_2024年复习资料_完备战2024年高考数学一轮复习考点帮(全国通用)_核心考点讲练
专题23几何法求空间角与距离(文理通用)(教师版)_02高考数学_通用版(老高考)复习资料_2024年复习资料_完备战2024年高考数学一轮复习考点帮(全国通用)_核心考点讲练
专题23几何法求空间角与距离(文理通用)(教师版)_02高考数学_通用版(老高考)复习资料_2024年复习资料_完备战2024年高考数学一轮复习考点帮(全国通用)_核心考点讲练
专题23几何法求空间角与距离(文理通用)(教师版)_02高考数学_通用版(老高考)复习资料_2024年复习资料_完备战2024年高考数学一轮复习考点帮(全国通用)_核心考点讲练
专题23几何法求空间角与距离(文理通用)(教师版)_02高考数学_通用版(老高考)复习资料_2024年复习资料_完备战2024年高考数学一轮复习考点帮(全国通用)_核心考点讲练
专题23几何法求空间角与距离(文理通用)(教师版)_02高考数学_通用版(老高考)复习资料_2024年复习资料_完备战2024年高考数学一轮复习考点帮(全国通用)_核心考点讲练
专题23几何法求空间角与距离(文理通用)(教师版)_02高考数学_通用版(老高考)复习资料_2024年复习资料_完备战2024年高考数学一轮复习考点帮(全国通用)_核心考点讲练
专题23几何法求空间角与距离(文理通用)(教师版)_02高考数学_通用版(老高考)复习资料_2024年复习资料_完备战2024年高考数学一轮复习考点帮(全国通用)_核心考点讲练
专题23几何法求空间角与距离(文理通用)(教师版)_02高考数学_通用版(老高考)复习资料_2024年复习资料_完备战2024年高考数学一轮复习考点帮(全国通用)_核心考点讲练
专题23几何法求空间角与距离(文理通用)(教师版)_02高考数学_通用版(老高考)复习资料_2024年复习资料_完备战2024年高考数学一轮复习考点帮(全国通用)_核心考点讲练
专题23几何法求空间角与距离(文理通用)(教师版)_02高考数学_通用版(老高考)复习资料_2024年复习资料_完备战2024年高考数学一轮复习考点帮(全国通用)_核心考点讲练
专题23几何法求空间角与距离(文理通用)(教师版)_02高考数学_通用版(老高考)复习资料_2024年复习资料_完备战2024年高考数学一轮复习考点帮(全国通用)_核心考点讲练
专题23几何法求空间角与距离(文理通用)(教师版)_02高考数学_通用版(老高考)复习资料_2024年复习资料_完备战2024年高考数学一轮复习考点帮(全国通用)_核心考点讲练
专题23几何法求空间角与距离(文理通用)(教师版)_02高考数学_通用版(老高考)复习资料_2024年复习资料_完备战2024年高考数学一轮复习考点帮(全国通用)_核心考点讲练
专题23几何法求空间角与距离(文理通用)(教师版)_02高考数学_通用版(老高考)复习资料_2024年复习资料_完备战2024年高考数学一轮复习考点帮(全国通用)_核心考点讲练
专题23几何法求空间角与距离(文理通用)(教师版)_02高考数学_通用版(老高考)复习资料_2024年复习资料_完备战2024年高考数学一轮复习考点帮(全国通用)_核心考点讲练
专题23几何法求空间角与距离(文理通用)(教师版)_02高考数学_通用版(老高考)复习资料_2024年复习资料_完备战2024年高考数学一轮复习考点帮(全国通用)_核心考点讲练
专题23几何法求空间角与距离(文理通用)(教师版)_02高考数学_通用版(老高考)复习资料_2024年复习资料_完备战2024年高考数学一轮复习考点帮(全国通用)_核心考点讲练
专题23几何法求空间角与距离(文理通用)(教师版)_02高考数学_通用版(老高考)复习资料_2024年复习资料_完备战2024年高考数学一轮复习考点帮(全国通用)_核心考点讲练
专题23几何法求空间角与距离(文理通用)(教师版)_02高考数学_通用版(老高考)复习资料_2024年复习资料_完备战2024年高考数学一轮复习考点帮(全国通用)_核心考点讲练
专题23几何法求空间角与距离(文理通用)(教师版)_02高考数学_通用版(老高考)复习资料_2024年复习资料_完备战2024年高考数学一轮复习考点帮(全国通用)_核心考点讲练
专题23几何法求空间角与距离(文理通用)(教师版)_02高考数学_通用版(老高考)复习资料_2024年复习资料_完备战2024年高考数学一轮复习考点帮(全国通用)_核心考点讲练
专题23几何法求空间角与距离(文理通用)(教师版)_02高考数学_通用版(老高考)复习资料_2024年复习资料_完备战2024年高考数学一轮复习考点帮(全国通用)_核心考点讲练
专题23几何法求空间角与距离(文理通用)(教师版)_02高考数学_通用版(老高考)复习资料_2024年复习资料_完备战2024年高考数学一轮复习考点帮(全国通用)_核心考点讲练
专题23几何法求空间角与距离(文理通用)(教师版)_02高考数学_通用版(老高考)复习资料_2024年复习资料_完备战2024年高考数学一轮复习考点帮(全国通用)_核心考点讲练
专题23几何法求空间角与距离(文理通用)(教师版)_02高考数学_通用版(老高考)复习资料_2024年复习资料_完备战2024年高考数学一轮复习考点帮(全国通用)_核心考点讲练
专题23几何法求空间角与距离(文理通用)(教师版)_02高考数学_通用版(老高考)复习资料_2024年复习资料_完备战2024年高考数学一轮复习考点帮(全国通用)_核心考点讲练
专题23几何法求空间角与距离(文理通用)(教师版)_02高考数学_通用版(老高考)复习资料_2024年复习资料_完备战2024年高考数学一轮复习考点帮(全国通用)_核心考点讲练
专题23几何法求空间角与距离(文理通用)(教师版)_02高考数学_通用版(老高考)复习资料_2024年复习资料_完备战2024年高考数学一轮复习考点帮(全国通用)_核心考点讲练
专题23几何法求空间角与距离(文理通用)(教师版)_02高考数学_通用版(老高考)复习资料_2024年复习资料_完备战2024年高考数学一轮复习考点帮(全国通用)_核心考点讲练
专题23几何法求空间角与距离(文理通用)(教师版)_02高考数学_通用版(老高考)复习资料_2024年复习资料_完备战2024年高考数学一轮复习考点帮(全国通用)_核心考点讲练
专题23几何法求空间角与距离(文理通用)(教师版)_02高考数学_通用版(老高考)复习资料_2024年复习资料_完备战2024年高考数学一轮复习考点帮(全国通用)_核心考点讲练
专题23几何法求空间角与距离(文理通用)(教师版)_02高考数学_通用版(老高考)复习资料_2024年复习资料_完备战2024年高考数学一轮复习考点帮(全国通用)_核心考点讲练
专题23几何法求空间角与距离(文理通用)(教师版)_02高考数学_通用版(老高考)复习资料_2024年复习资料_完备战2024年高考数学一轮复习考点帮(全国通用)_核心考点讲练
专题23几何法求空间角与距离(文理通用)(教师版)_02高考数学_通用版(老高考)复习资料_2024年复习资料_完备战2024年高考数学一轮复习考点帮(全国通用)_核心考点讲练
专题23几何法求空间角与距离(文理通用)(教师版)_02高考数学_通用版(老高考)复习资料_2024年复习资料_完备战2024年高考数学一轮复习考点帮(全国通用)_核心考点讲练
专题23几何法求空间角与距离(文理通用)(教师版)_02高考数学_通用版(老高考)复习资料_2024年复习资料_完备战2024年高考数学一轮复习考点帮(全国通用)_核心考点讲练

文档信息

文档格式
docx
文档大小
6.844 MB
文档页数
79 页
上传时间
2026-04-13 03:43:28

文档内容

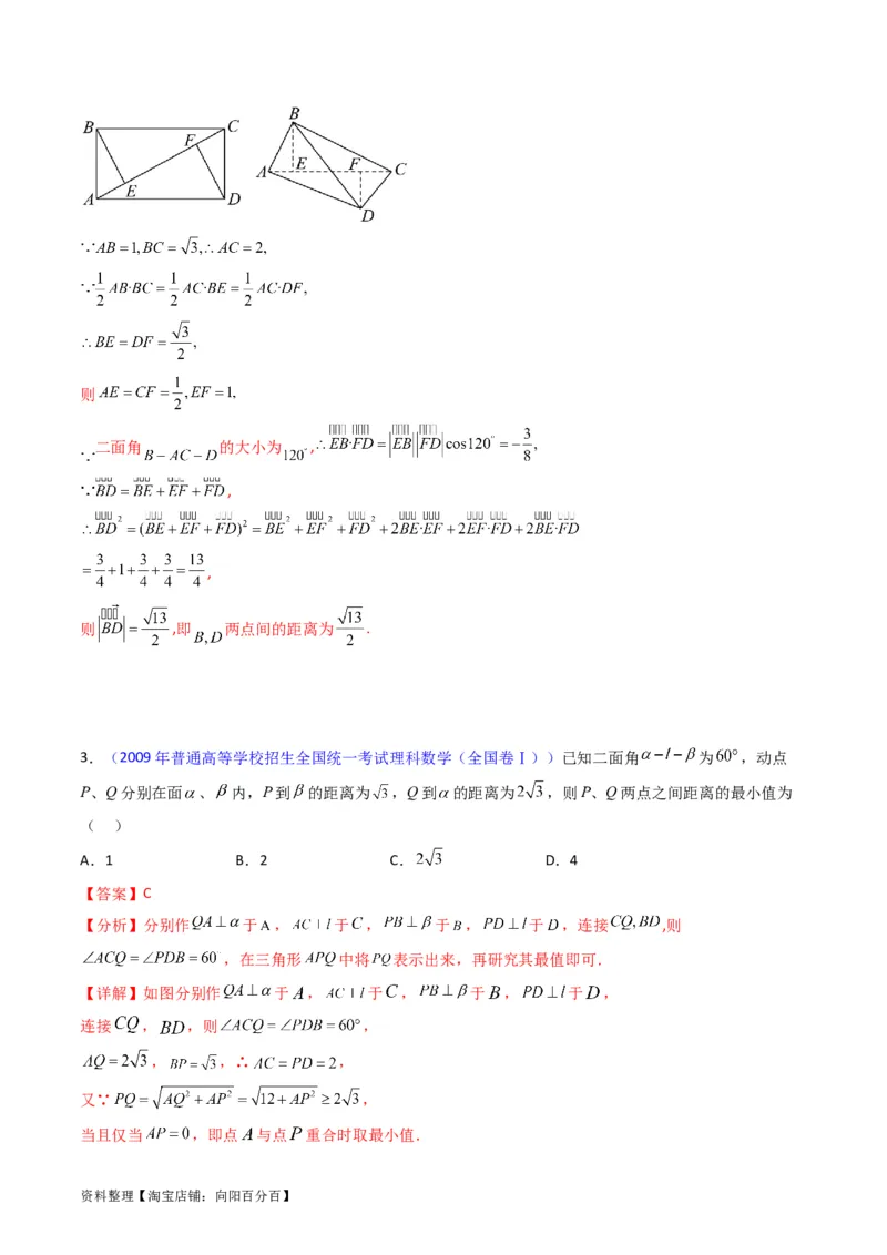
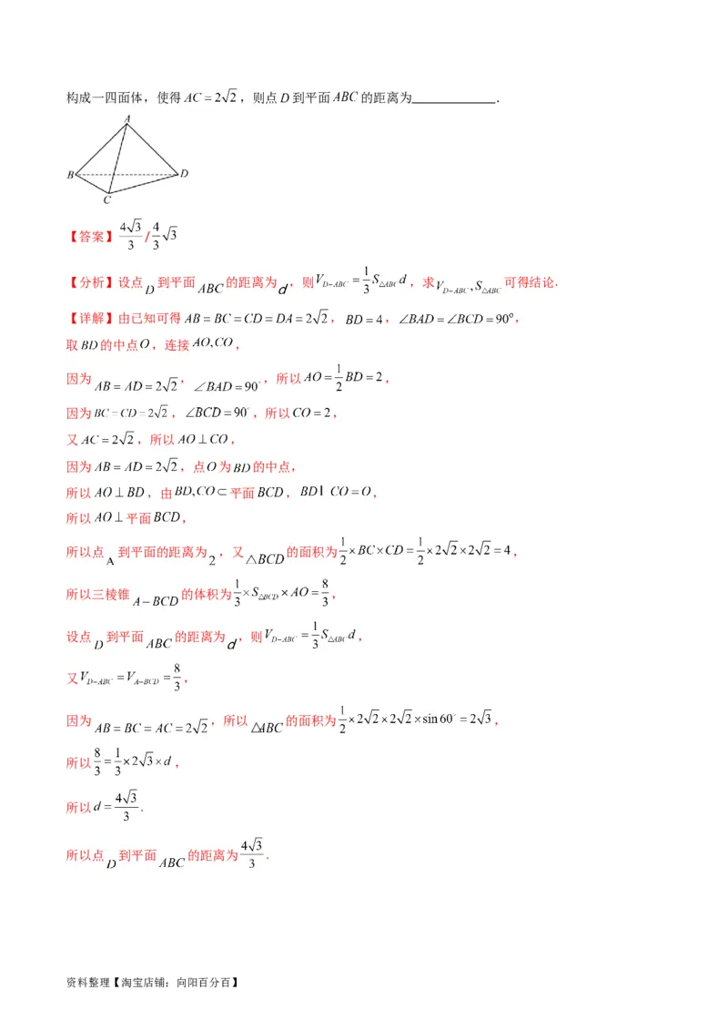
专题 23 几何法求空间角与距离 (核心考点精讲精练) 1. 近几年真题考点分布 立体几何近几年考情 考题示例 考点分析 关联考点 2023年全国乙(文科),第16题,5分 已知三棱锥外接求半径,求线段长 1、证明线面平行; 2023年全国乙(文科),第19题,12分 2、求三棱锥的体积; 2023年全国乙(理科),第3题,5分 通过三视图求几何体的表面积 2023年全国乙(文科),第3题,5分 2023年全国乙(理科),第8题,5分 圆锥体积相关计算 证明面面垂直,由二面角求线段长,从而求线 2023年全国乙(理科),第9题,5分 面角的正切值 1、证明线面平行; 2023年全国乙(理科),第19题,12分 2、证明面面垂直; 3、求二面角 2023年全国甲(文科),第10题,5分 证明线面垂直,求三棱锥的体积 2023年全国甲(文科),第16题,5分 正方体的外接球、棱切球问题 1、证明面面垂直; 2023年全国甲(文科),第18题,12分 2、求四棱锥的高 余弦定理解三 2023年全国甲(理科),第11题,5分 四棱锥表面积有关计算 角形 2023年全国甲(理科),第15题,5分 正方体的棱切球问题 1、已知点面距,证明线面垂直,从而得到线 2023年全国甲(理科),第18题,12分 线相等; 2、已知平行线间的距离,求线面角的正弦值 2. 命题规律及备考策略 【命题规律】1.本节为高考必考知识点,选填题、解答题均有出现; 资料整理【淘宝店铺:向阳百分百】2.考查点、线、面之间的距离; 3.考查异面直线所成角、线面角、面面角、二面角. 【备考策略】1.会用空间直角坐标系刻画点的位置,掌握空间中两点间的距离公式. 2.了解空间向量基本定理及其意义,理解空间向量的坐标表示. 3.掌握空间向量的数量积运算. 4.能用向量方法判断或证明点、线、面之间的位置关系. 5.能用向量方法解决空间中的距离问题. 6.能用向量方法求解空间中的角度问题. 【命题预测】1.考查点、线、面之间的距离; 2.考查异面直线所成角、线面角、面面角、二面角. 知识讲解 一、距离 1、点与面的距离 过一点作垂直于已知平面的直线,则该点与垂足间的线段叫作这个点到该平面的 垂线段 ,垂线段的长度叫 作这个点到该平面的 距离 . 2、直线与平面的距离 一条直线与一个平面平行时,这条直线上 任意一点 到这个平面的距离,叫作这条直线到这个平面的距离. 3、平面与平面的距离 如果两个平面平行,那么其中一个平面内的 任意一点 到另一个平面的距离都 相等 ,我们把它叫作这两 个平行平面间的距离. 1.点到平面的距离的常见解法 (1)定义法:找到(或作出)表示距离的线段,根据线段(所求距离)所在三角形求解. (2)等积法:利用同一个三棱锥的体积相等求解. (3)转化法:将点面之间的距离转化为线面之间(或面面之间)的距离求解. 2.线到平面的距离,平面与平面的距离问题都是转化为点到平面的距离求解. 二、异面直线所成的角 1.异面直线 过平面外一点和平面内一点的直线,与平面内不过该点的直线是异面直线. 2.异面直线所成的角 过空间任一点 分别作异面直线 与 的平行线 与 ,那么直线 与 所成的 锐角或直角 叫作异面 直线 与 所成的角. 3.范围: . 资料整理【淘宝店铺:向阳百分百】求异面直线所成角的步骤 一作:根据定义作平行线,作出异面直线所成的角.二证:证明所作的角是异面直线所成的角.三求:解三角形, 求出所作的角. 常用平移法来作异面直线所成的角:①利用图中已有的平行线平移;②利用特殊点(线段的端点或中点) 作平行线平移;③补形平移.由于异面直线所成的角 的取值范围是 ,故若所作的角为钝角,则 其补角为异面直线所成的角. 三、直线和平面所成的角 1.平面的一条斜线和它在 平面上的射影 所成的锐角叫作这条直线和这个平面所成的角. 2.当直线与平面垂直和平行(或直线在平面内)时,规定直线和平面所成的角分别为 90 ° 和 0 ° . 3.范围: . 线面角的几何法解题步骤: 1.找直线上一点 作平面 的垂线; 2.连接垂足与斜足,得线面角; 3.解直角三角形,得到线面角. 四、二面角的有关概念 1.二面角:从一条直线出发的 两个半平面 所组成的图形叫作二面角. 2.二面角的平面角:以二面角的棱上任一点为端点,在两个半平面内分别作 垂直于棱 的两条射线,则这两条 射线所成的角叫作二面角的平面角. 3.范围: . 找二面角常常采用垂线法: 第一步,找到两个面的交线; 第二步,从一个平面内找一点,向另一个平面作垂线; 第三步,从垂足再向交线作垂线,连线构造,得二面角的平面角或是补角; 第四步,解三角形,得二面角的大小. 五、平面与平面所成角 1.两个平面所成角. 2.范围: . 考点一、几何法求两点间的距离 1.(2023年甘肃省模拟数学试题)在矩形ABCD中, , ,沿对角线AC将矩形折成一个直 二面角 ,则点B与点D之间的距离为( ) 资料整理【淘宝店铺:向阳百分百】A. B. C. D. 【答案】C 【分析】过点 在平面 内作 ,证明 ,利用余弦定理得到 ,再利用勾股定 理计算得到答案. 【详解】过点 在平面 内作 ,垂足为点 ,如图, 因为二面角 的平面角为 ,所以平面 平面 , 又平面 平面 , 平面 , 故 平面 ,又 平面 , , 在 中, , , ,则 , , ,则 , , 在 中, , 则 ,所以 , 所以 . 2.(2023年江苏省模拟数学试题)已知矩形 , , ,沿对角线 将 折起,若 二面角 的大小为 ,则 , 两点之间的距离为 . 【答案】 【分析】过 分别作 由题意可求得 由二面角 的大小为 ,得到 再利用 可求得 结果. 【详解】过 分别作 资料整理【淘宝店铺:向阳百分百】则 二面角 的大小为 , , , 则 ,即 两点间的距离为 . 3.(2009年普通高等学校招生全国统一考试理科数学(全国卷Ⅰ))已知二面角 为 ,动点 P、Q分别在面 、 内,P到 的距离为 ,Q到 的距离为 ,则P、Q两点之间距离的最小值为 ( ) A.1 B.2 C. D.4 【答案】C 【分析】分别作 于 , 于 , 于 , 于 ,连接 ,则 ,在三角形 中将 表示出来,再研究其最值即可. 【详解】如图分别作 于 , 于 , 于 , 于 , 连接 , ,则 , , ,∴ , 又∵ , 当且仅当 ,即点 与点 重合时取最小值. 资料整理【淘宝店铺:向阳百分百】1.(2023-2024学年湖北省新高考联盟联考数学试题)二面角 中, , , , 且 , ,垂足分别为A、C, , , ,已知异面直线 与 所成 角为 ,则 ( ) A. B. C. 或5 D. 或 【答案】D 【分析】在 内做 ,且使 ,得四边形 为平行四边形,再由线面垂直的判定定理、 性质定理可得 ,分 、 讨论,由余弦定理求出 ,最后由勾股定理可得 答案. 【详解】在 内做 ,且使 ,连接 ,因为 , 所以四边形 为平行四边形, , , 由 , , , 平面 ,所以 平面 , 因为 ,可得 平面 , 平面 ,所以 , 因为异面直线 与 所成角为 , , 所以直线 与 所成角为 , 当 时,如下左图,由余弦定理可得 , 此时 ,即 ; 当 时,如下右图,由余弦定理可得 , 此时 ,即 ; 综上所述, 或 . 资料整理【淘宝店铺:向阳百分百】2.(2023年江苏省模拟考试数学试题)将边长为 的正三角形 沿 边上的高线 折成 的二面 角,则点 到 边的距离是( ) A. B. C. D. 【答案】A 【分析】在三棱锥 中,取线段 的中点 ,连接 、 ,由题意可得 ,推导出 ,并计算出线段 的长,即为所求. 【详解】翻折前,因为 是边长为 的等边三角形, 是 边上的高线,则 为 的中点, 且 , ,且 , 翻折后,则有 , , 在三棱锥 中,由二面角的定义可得 , 如下图所示: 取线段 的中点 ,连接 、 , 因为 , , , 、 平面 , 所以, 平面 ,因为 平面 ,所以, , 在 中, , ,则 , 因为 为 的中点,则 ,且 , 所以, , 因为 , 为 的中点,所以, ,因此,点 到 的距离为 . 资料整理【淘宝店铺:向阳百分百】3.如图,在棱长为2的正方体中,点P在正方体的对角线AB上,点Q在正方体的棱CD上,若P为动点, Q为动点,则PQ的最小值为 . 【答案】 【分析】建立空间直角坐标系,利用 三点共线设出点 , ,以及 , ,根据两点间的距离公式,以及配方法,即可求解. 【详解】建立如图所示空间直角坐标系,设 , , 可得 , ∵ , ,∴ , 当且仅当 时,等号成立,此时 , ∴当且仅当 分别为 的中点时, 的最小值为 . 【点睛】本题考查空间向量法求两点间的距离,将动点用坐标表示是解题的关键,考查配方法求最值,属 于中档题. 考点二、几何法求点到平面的距离 1.在三棱锥 中, 底面 ,则点 到平面 的距 离是( ) A. B. C. D. 【答案】A 资料整理【淘宝店铺:向阳百分百】【分析】根据三棱锥等体积转换求解点 到平面 的距离. 【详解】 底面 , ,又 ,且 平面 , 平面 , 平面 , , , , 在 中, , 令点 到平面 的距离为 , , , . 2.(2023年四川省模拟考试数学试题)如图,在四棱锥 中,底面 为矩形; 为 的中 点.若 , , ,当三棱锥 的体积取到最大值时,点 到平面 的距离为 . 【答案】 /0.3 【分析】根据几何体性质结合体积分割求解三棱锥 的体积,在根据等体积法可求解点 到平面 的距离. 【详解】由题可得,当 底面 时,三棱锥 的体积取到最大值 如图,取 中点 ,取 中点 ,连接 资料整理【淘宝店铺:向阳百分百】因为 底面 , 为 的中点. 为 的中点,所以 , 所以 底面 ,则 又由 底面 , 底面 ,所以 因为矩形 ,则 ,又 平面 ,所以 平面 又 为 的中点. 为 的中点,所以 , ,则 平面 则 又 所以 又 ,因为 平面 , ,所以 平面 ,又 平面 ,所 以 , 设点 到平面 的距离为 , 所以 ,则 . 故点 到平面 的距离为 . 1.(2023上海市模拟考试数学试题)在棱长为4的正方体 中,点 到平面 的距离 为 . 【答案】 / 【分析】根据 ,应用棱锥的体积公式列方程求点面距即可. 【详解】由 ,若 到平面 的距离为 , 资料整理【淘宝店铺:向阳百分百】由正方体性质知: 为边长为 的等边三角形, 故 , 所以 ,则 . 2.(2023年黑龙江省模拟考试数学试题)在直三棱柱 中, , ,则 点A到平面 的距离为 . 【答案】 / 【分析】求点到平面的距离,可以转化为三棱锥底面上的高,用等体积法,容易求得. 【详解】 ∵ , , ∴ 中, , ∴ , , 设点A到平面 的距离为h, 则三棱锥 的体积为 , 即 ,∴ , ∴ ,即点 到平面 的距离为 . 3.(2019年全国统一高考数学试题(文科)(新课标Ⅰ))如图,直四棱柱ABCD–ABC D 的底面是菱 1 1 1 1 形,AA =4,AB=2,∠BAD=60°,E,M,N分别是BC,BB ,A D的中点. 1 1 1 资料整理【淘宝店铺:向阳百分百】(1)证明:MN∥平面C DE; 1 (2)求点C到平面C DE的距离. 1 【答案】(1)见解析;(2) . 【分析】(1)利用三角形中位线和 可证得 ,证得四边形 为平行四边形,进而证 得 ,根据线面平行判定定理可证得结论; (2)根据题意求得三棱锥 的体积,再求出 的面积,利用 求得点 到平面 的距离,得到结果. 【详解】(1)连接 , , 分别为 , 中点 为 的中位线 且 又 为 中点,且 且 四边形 为平行四边形 ,又 平面 , 平面 平面 (2)在菱形 中, 为 中点,所以 , 根据题意有 , , 因为棱柱为直棱柱,所以有 平面 , 所以 ,所以 , 资料整理【淘宝店铺:向阳百分百】设点 到平面 的距离为 , 根据题意有 ,则有 , 解得 , 所以点 到平面 的距离为 . 【点睛】该题考查的是有关立体几何的问题,涉及到的知识点有线面平行的判定,点到平面的距离的求解, 在解题的过程中,注意要熟记线面平行的判定定理的内容,注意平行线的寻找思路,再者就是利用等积法 求点到平面的距离是文科生常考的内容. 考点三、几何法求直线到平面的距离 资料整理【淘宝店铺:向阳百分百】1.(2012年全国普通高等学校招生统一考试理科数学(大纲卷))已知正四棱柱ABCD- A B C D 中 , 1 1 1 1 AB=2,CC = E为CC 的中点,则直线AC 与平面BED的距离为 1 1 1 A.2 B. C. D.1 【答案】D 【详解】试题分析:因为线面平行,所求求线面距可以转化为求点到面的距离,选用等体积法. 平面 , 到平面 的距离等于 到平面 的距离,由题计算得 , 在 中, , 边上的高 , 所以 ,所以 , 利用等体积法 ,得: ,解得: 考点:利用等体积法求距离 2.如图,在长方体 中, , , . (1)求直线 与平面 所成的角的大小; (2)求直线 到平面 的距离. 【答案】(1) ;(2) 【分析】(1)说明 平面 ,则 即为直线 与平面 所成的角,解直角三角形, 可得答案; (2)证明 平面 ,即说明点 到平面 的距离即为直线 到平面 的距离,根据等体 积法求得答案. 【详解】(1)在长方体 中, 平面 , 即 平面 ,则 即为直线 与平面 所成的角, 由于 , ,故 , 资料整理【淘宝店铺:向阳百分百】即直线 与平面 所成的角为 ; (2)在长方体 中, 由于 ,故四边形 是平行四边形, 故 ,而 平面 , 平面 , 故 平面 ,则点 到平面 的距离即为直线 到平面 的距离.; 而 , 故 ,设点 到平面 的距离为 , 则 ,即 , 则 ,即直线 到平面 的距离为 . 3.如图,在梯形ABCD中, , , , 平面ABCD,且 , 点F在AD上,且 . (1)求点A到平面PCF的距离; (2)求AD到平面PBC的距离. 【答案】(1) ;(2) . 【分析】(1)过点 作 于 ,利用线面垂直的判定定理,面面垂直的判定定理及面面垂直的 性质定理可得 平面 ,结合条件即求; (2)过点 作 于 ,结合条件可得 的长为 到平面 的距离,即求. 【详解】(1)连接 ,因为 平面 ,又 平面 , ∴ ,又 , , 资料整理【淘宝店铺:向阳百分百】∴ 平面 ,又 平面 , ∴平面 平面 ,平面 平面 , 过点 作 于 ,则 平面 , 故 即为所求, ∵在梯形 中, , , , , ∴ , ∴在 中, , ∴ ,即点 到平面 的距离为 ; (2)∵ , 平面 , 平面 , ∴ 平面 , 过点 作 于 ,又因为 平面 ,则 , 又 , , ∴ 平面 ,则 ,又 ∴ 平面 ,即 的长为 到平面 的距离, 在等腰直角三角形 中, , ∴ ,故 到平面 的距离为 . 1.(2013年全国普通高等学校招生统一考试理科数学(上海卷))如图,在长方体ABCD-A B C D 中, 1 1 1 1 AB=2,AD=1,A A=1,证明直线BC 平行于平面DA C,并求直线BC 到平面D AC的距离. 1 1 1 1 1 【答案】见解析 【详解】因为 为长方体,故 , 资料整理【淘宝店铺:向阳百分百】故 为平行四边形,故 ,显然 不在平面 上,于是直线 平行于平面 ; 直线 到平面 的距离即为点 到平面 的距离设为 考虑三棱锥 的体积,以 为底面,可得 而 中, ,故 所以, ,即直线 到平面 的距离为 . 【考点定位】考查空间几何体的相关计算,属中档题. 2.如图,在四棱锥 中,底面 是菱形, ,平面 平面 , , ,PD的中点为F. (1)求证: 平面 ; (2)求直线 到面 的距离. 【答案】(1)证明见解析;(2) . 【分析】(1)连接 交 于 ,连接 ,得 ,根据线面平行的判定可得 平面 ; (2)根据线面平行,将线到面的距离化为点到面的距离,再根据等体积法可求出结果. 【详解】(1)连接 交 于 ,连接 , ∵ 为 的中点, 为 的中点,则 , ∵ 平面 , 平面 ,∴ 平面 . (2)因为平面 平面 ,平面 平面 , , 平面 ,所以 平面 . 由于 平面 ,则 到平面 的距离,即 到平面 的距离. 又因为 为 的中点,点 到平面 的距离与点 到平面 的距离相等. 资料整理【淘宝店铺:向阳百分百】取 的中点 ,连接 , 则 ,因为 平面 ,所以 平面 , 因为 平面 ,所以 , 因为菱形 且 , , 所以 , , 则 , , , , 设点 到平面 的距离为 ,由 得 即直线 到平面 的距离为 . 3.(2023年北京市模拟数学(A卷)试题)如图,已知直三棱柱 , , , ,点 为 的中点. (1)证明: 平面 ; (2)求直线 与平面 的距离. 【答案】(1)证明见解析;(2) 【分析】(1)利用中位线定理与线面平行的判定定理即可得证; (2)结合(1)中结论,将问题转化为点 到平面 的距离,再利用等体积法即可求得所求. 【详解】(1)连结 交 于 ,连接 , 资料整理【淘宝店铺:向阳百分百】因为在直三棱柱 中,侧面 是平行四边形, 所以 是 的中点,又因为 为 的中点, 所以 ,又因为 平面 , 平面 , 故 平面 ; (2)由(1)知 平面 , 所以直线 与平面 的距离等价于点 到平面 的距离,不妨设为 , 因为 , ,所以 , ,则 , 又因为 为 的中点,所以 , 因为在直三棱柱 中, 面 ,故 , 所以在 中, , , 在 中, , 所以在 中, ,则 , 故 , 所以由 得 ,即 ,解得 , 所以直线 与平面 的距离为 . 资料整理【淘宝店铺:向阳百分百】考点四、几何法求平面与平面间的距离 1.直四棱柱 中,底面 为正方形,边长为 ,侧棱 , 分别为 的中点, 分别是 的中点. (1)求证:平面 平面 ; (2)求平面 与平面 的距离. 【答案】(1)证明见解析;(2) 【分析】(1)法一:由面面平行的判定定理即可证明;法二:如图所示,建立空间直角坐标系 , 通过证明 ,再由面面平行的判定定理即可证明. (2)法一: 平面 与平面 的距离 到平面 的距离 ,再由等体积法即可求出答案. 法二:求 出平面 的法向量, ,平面 与平面 的距离等于 到平面 的距离 ,由点到 平面的距离公式即可求出答案. 【详解】(1)法一:证明:连接 分别为 的中点, 分别是 的中点, , 平面 , 平面 , 平面 , 平行且等于 , 是平行四边形, , 平面 , 平面 , 平面 , , 平面 平面 ; (2)法一:平面 与平面 的距离 到平面 的距离 . 中, , , , 由等体积可得 , . 资料整理【淘宝店铺:向阳百分百】2.如图在直三棱柱 中, , , ,E是 上的一点,且 , D、F、G分别是 、 、 的中点,EF与 相交于H. (1)求证: 平面 ; (2)求证:平面 平面 ; (3)求平面EGF与平面 的距离. 【答案】(1)证明见解析;(2)证明见解析;(3) . 【分析】(1)根据面面垂直的性质定理可得 ,进而推出 ,再结合 的边长,利用勾股定理即可推出 ,最后结合线面垂直的判定定理即可完成证明; (2)根据 是 的中位线,即可证明 ,再利用 ,即可证明 ,再根据题意条 件,证明 ,最后利用面面平行的判定定理即可完成证明; (3)由(2)可知,平面 平面 ,而 ,因此平面EGF与平面 的距离就是两条平行线 之间的距离,再结合四边形 的边角关系,可得 是 的公垂线,即为两个平面之 间的距离,求出 即可完成距离的求解. 【详解】(1) 在直三棱柱 中, ,交线为 ,而 , , , , 根据已知条件可得, 为 的中点, , ,结合勾股定理可得 , ,所以 平面 . (2)如图所示,取 的中点 ,连接 , , , 为 的中点,而 为 的中点, 为 的中位线, ,又 ,且 , , , , , 、 分别是 、 的中点, 是 的中位线, , 在直三棱柱 中, , , , ,又 , 平面 平面 . 资料整理【淘宝店铺:向阳百分百】(3)由平面 平面 , 与 相交于 , 又 平面 , 平面 , 两平面之间的距离即为 到平面 的距离,即 , , ∽ , , , 故平面 与平面 的距离为 . 3.如图,在直三棱柱 中, , , , 分别为 , , 的中点,点 在 棱 上,且 , , . (1)求证: 平面 ; (2)求证:平面 平面 ; (3)求平面 与平面 的距离. 【答案】(1)见解析;(2)见解析;(3) 【分析】(1)利用勾股定理证得 ,证明 平面 ,根据线面垂直的性质证得 , 再根据线面垂直的判定定理即可得证; (2)取 的中点 ,连接 ,可得 为 的中点,证明 ,四边形 是平行四边形, 可得 ,再根据面面平行的判定定理即可得证; 资料整理【淘宝店铺:向阳百分百】(3)设 ,由(1)(2)可得 即为平面 与平面 的距离,求出 的长度,即可 得解. 【详解】(1)证明:在直三棱柱 中, 为 的中点, , , 故 , 因为 , 所以 , 又 平面 , 平面 , 所以 , 又因 , , 所以 平面 , 又 平面 ,所以 , 又 , 所以 平面 ; (2)证明:取 的中点 ,连接 , 则 为 的中点, 因为 , , 分别为 , , 的中点, 所以 , 且 , 所以四边形 是平行四边形, 所以 ,所以 , 又 平面 , 平面 , 所以 平面 , 因为 ,所以 , 又 平面 , 平面 , 所以 平面 , 又因 , 平面 , 平面 , 所以平面 平面 ; (3)设 , 因为 平面 ,平面 平面 , 所以 平面 , 所以 即为平面 与平面 的距离, 资料整理【淘宝店铺:向阳百分百】因为 平面 ,所以 , , 所以 , 即平面 与平面 的距离为 . 1.如图,棱长为2的正方体ABCD –ABC D 中,E,F分别是棱AA,CC 的中点,过E作平面 ,使得 1 1 1 1 1 1 //平面BDF. (1)作出 截正方体ABCD - ABC D 所得的截面,写出作图过程并说明理由; 1 1 1 1 (2)求平面 与平面 的距离. 【答案】(1)答案见解析;(2) 【分析】(1)根据平面与平面平行的性质可得 经过 ,可得截面; (2)转化为点线距,利用等体积法可求结果. 【详解】(1)连接 ,由正方体性质可得 , ; 又 ,所以平面 平面 ; 因为 //平面 ,且 ,所以平面 与平面 重合,即平面 就是 截正方体ABCD - A1B1C1D1所得的截面. 资料整理【淘宝店铺:向阳百分百】(2)由(1)可知平面 与平面 的距离等于点 到平面 的距离; 设点 到平面 的距离为 ,由题意可得 ,所以 的面积为 ; 的面积为 ; 由 可得 ,解得 .所以平面 与平面 的距离为 . 2.如图在直三棱柱 中, , , ,E是 上的一点,且 , D、F、G分别是 、 、 的中点, 与 相交于 . (1)求证: 平面 ; (2)求平面 与平面 的距离. 【答案】(1)证明见解析;(2) ; 【分析】(1)由已知条件得 平面 ,从而 ,又 ,由此能证明 平面 . (2)由已知条件推导出 平面 , 平面 ,由此能证明平面 平面 .由已知条件 推导出 为平行平面 与 之间的距离,由此能求出结果. 【详解】(1)证明:由直三棱柱的性质得平面 平面 , 又 ,平面 平面 , 平面 , 平面 , 又 平面 , , , 在 和 中, , ,即 , 又 , 平面 平面 . (2)解:由题意知 , 在 中, , 资料整理【淘宝店铺:向阳百分百】又 , , 平面 , 平面 , 平面 , 、 分别为 、 的中点, ,又 , , 平面 , 平面 , 平面 , 平面 , 平面 , , 平面 平面 . 平面 ,平面 平面 , 平面 , 为平行平面 与 之间的距离, , 即平面 与 之间的距离为 . 3.如图所示的斜三棱柱 中, 是正方形,且点 在平面 上的射影恰是AB的中 点H,M是 的中点. (1)判断HM与面 的关系,并证明你的结论; (2)若 , ,求斜三棱柱两底面间的距离. 【答案】(1)直线 与平面 平行,证明见解析;(2) 【分析】(1)取 的中点 .连接 .通过证明四边形 为平行四边形,得到 ,再根据线面平行的判定定理可证直线 与平面 平行; (2)设斜三棱柱两底面间的距离为 ,根据 可求出结果. 【详解】(1)直线 与平面 平行. 证明如下:取 的中点 .连接 . 资料整理【淘宝店铺:向阳百分百】因为点 是 的中点,所以 ,且 . 又 是正方形,点 是 的中点, 所以 , . 所以 , . 所以四边形 为平行四边形,所以 , 因为 平面 , 平面 , 所以 平面 . (2)因为点 在平面 上的射影是 的中点 , (3)所以 平面 . 连接 , ,则 , . 由正方形 的边 , 得 , 所以 , 所以 的面积为 . 设斜三棱柱两底面间的距离为 , 即 到平面 的距离为 , 由 得 , 解得 , 即斜三棱柱两底面间的距离为 . 资料整理【淘宝店铺:向阳百分百】考点五、几何法求异面直线所成角 1.(2021年全国高考乙卷数学(文)试题)在正方体 中,P为 的中点,则直线 与 所成的角为( ) A. B. C. D. 【答案】D 【分析】平移直线 至 ,将直线 与 所成的角转化为 与 所成的角,解三角形即可. 【详解】 如图,连接 ,因为 ∥ , 所以 或其补角为直线 与 所成的角, 因为 平面 ,所以 ,又 , , 所以 平面 ,所以 , 设正方体棱长为2,则 , ,所以 . 2.(2018年全国普通高等学校招生统一考试文数(全国卷II))在正方体 中, 为棱 的中点,则异面直线 与 所成角的正切值为( ) A. B. C. D. 【答案】C 【分析】利用正方体 中, ,将问题转化为求共面直线 与 所成角的正切值, 在 中进行计算即可. 【详解】在正方体 中, ,所以异面直线 与 所成角为 , 设正方体边长为 ,则由 为棱 的中点,可得 ,所以 , 资料整理【淘宝店铺:向阳百分百】则 . 【点睛】求异面直线所成角主要有以下两种方法: (1)几何法:①平移两直线中的一条或两条,到一个平面中;②利用边角关系,找到(或构造)所求角 所在的三角形;③求出三边或三边比例关系,用余弦定理求角; (2)向量法:①求两直线的方向向量;②求两向量夹角的余弦;③因为直线夹角为锐角,所以②对应的 余弦取绝对值即为直线所成角的余弦值. 3.(2008年高考全国卷Ⅱ理科数学试题)已知正四棱锥 的侧棱长与底面边长都相等, 是 的 中点,则 所成的角的余弦值为( ) A. B. C. D. 【答案】C 【详解】试题分析:设 的交点为 ,连接 ,则 为 所成的角或其补角;设正四棱 锥的棱长为 ,则 ,所以 . 考点:异面直线所成的角. 1.如图,在正方体 中, 、 、 、 分别为 、 、 、 的中点,则异面直 线 与 所成的角等于( ) 资料整理【淘宝店铺:向阳百分百】A.45° B.60° C.90° D.120° 【答案】B 【分析】连接 ,证明异面直线 与 所成的角是 或其补角,由正方体性质即可得 结论. 【详解】如图,连接 , 由题意 , ,所以异面直线 与 所成的角是 或其补角, 由正方体性质知 是等边三角形, , 所以异面直线 与 所成的角是 . 2.(2014年全国普通高等学校招生统一考试理科数学(全国Ⅱ卷))直三棱柱ABC-ABC 中,∠BCA 1 1 1 =90°,M,N分别是AB,AC 的中点,BC=CA=CC ,则BM与AN所成角的余弦值为( ) 1 1 1 1 1 A. B. C. D. 【答案】C 【详解】以 为原点,直线 为 轴,直线 为 轴,直线 为 轴,则设 ,则 , , , ,故 , ,所以 . 考点:本小题主要考查利用空间向量求线线角,考查空间向量的基本运算,考查空间想象能力等数学基本 能力,考查分析问题与解决问题的能力. 3.(2022年全国高考甲卷数学(理)试题)在长方体 中,已知 与平面 和平面 所成的角均为 ,则( ) A. B.AB与平面 所成的角为 C. D. 与平面 所成的角为 【答案】D 资料整理【淘宝店铺:向阳百分百】【分析】根据线面角的定义以及长方体的结构特征即可求出. 【详解】如图所示: 不妨设 ,依题以及长方体的结构特征可知, 与平面 所成角为 , 与平面 所成角为 ,所以 , 即 , ,解得 . 对于A, , , ,A错误; 对于B,过 作 于 ,易知 平面 , 所以 与平面 所成角为 ,因为 , 所以 ,B错误; 对于C, , , ,C错误; 对于D, 与平面 所成角为 , , 而 , 所以 .D正确. 资料整理【淘宝店铺:向阳百分百】考点六、几何法求直线与平面所成角 1.(2013年全国普通高等学校招生统一考试理科数学(全国大纲卷))已知正四棱柱 中, ,则CD与平面 所成角的正弦值等于 A. B. C. D. 【答案】A 【详解】试题分析:设 , 面积为 考点:线面角 2.(2014年全国普通高等学校招生统一考试理科数学(四川卷))如图在正方体 中,点 为线段 的中点. 设点 在线段 上,直线 与平面 所成的角为 ,则 的取值范围是 A. B. C. D. 【答案】B 【详解】设正方体的棱长为 ,则 , 资料整理【淘宝店铺:向阳百分百】所以 , . 又直线与平面所成的角小于等于 ,而 为钝角,所以 的范围为 . 【考点定位】空间直线与平面所成的角. 3.如图,四棱锥 中,底面 为平行四边形,且 , , , 若二面角 为 ,则 与平面 所成角的正弦值为 . 【答案】 【分析】取 中点 ,连接 ,证明 为二面角 的平面角,所以 ,由 余弦定理求得 ,得 ,由线面垂直判定定理和性质定理证明 两两垂直,建立空间直 角坐标系,用空间向量法求线面角. 【详解】取 中点 ,连接 ,如图,则由已知得 , , 所以 为二面角 的平面角,所以 , 又 , , 中, , ,所以 , 由 , 平面 ,得 平面 , 又 平面 ,所以 , , 平面 ,所以 平面 , 平面 ,所以 , ,所以 , 以 为 轴建立空间直角坐标系,如图, 则 , , , ,平面 的一个法向量是 , 资料整理【淘宝店铺:向阳百分百】, 所以 与平面 所成角的正弦值为 . 1.(2018年全国普通高等学校招生统一考试理科数学(新课标I卷))已知正方体的棱长为1,每条棱所 在直线与平面 所成的角都相等,则 截此正方体所得截面面积的最大值为( ) A. B. C. D. 【答案】A 【分析】首先利用正方体的棱是3组每组有互相平行的4条棱,所以与12条棱所成角相等,只需与从同一 个顶点出发的三条棱所成角相等即可,从而判断出面的位置,截正方体所得的截面为一个正六边形,且边 长是面的对角线的一半,应用面积公式求得结果. 【详解】根据相互平行的直线与平面所成的角是相等的, 所以在正方体 中, 平面 与线 所成的角是相等的, 所以平面 与正方体的每条棱所在的直线所成角都是相等的, 同理平面 也满足与正方体的每条棱所在的直线所成角都是相等, 要求截面面积最大,则截面的位置为夹在两个面 与 中间的, 且过棱的中点的正六边形,且边长为 ,所以其面积为 . 点睛:该题考查的是有关平面被正方体所截得的截面多边形的面积问题,首要任务是需要先确定截面的位 置,之后需要从题的条件中找寻相关的字眼,从而得到其为过六条棱的中点的正六边形,利用六边形的面 积的求法,应用相关的公式求得结果. 2.(2007年普通高等学校招生考试数学(文)试题(大纲卷Ⅱ))已知正三棱锥的侧棱长是底面边长的2 资料整理【淘宝店铺:向阳百分百】倍,则侧棱与底面所成角的余弦值等于( ) A. B. C. D. 【答案】A 【分析】设正三棱锥底面边长为 ,则侧棱长为 ,作图确定侧棱与底面所成角,解直角三角 形即可得答案. 【详解】由题意知正三棱锥的侧棱长是底面边长的2倍,如图,设正三棱锥 底面边长为 , 则侧棱长为∶ ,设顶点 在底面的射影为 点,连接 并延长交 于 , 则 为 的中点,则 为侧棱与底面所成角, 由于 为正三角形,则 为其中心, , , 在 中, ,即侧棱与底面所成角的余弦值等于 . 3.(2010年普通高等学校招生全国统一考试(全国Ⅰ)文科数学)正方体ABCD- 中,B 与平 面AC 所成角的余弦值为( ) A. B. C. D. 【答案】D 【详解】试题分析:因为 ,所以 与平面 所成角的余弦值等价于 与平面 所成 角的余弦值.设正方体棱长为 ,易知 平面 且设垂足为 ,所以 即为所求角.由已 知可得 ,从而 ,所以 . 考点:斜线与平面所成的角. 考点七、几何法求二面角 资料整理【淘宝店铺:向阳百分百】1.已知三棱锥 的三个侧面与底面全等,且 , ,则以 为棱,以平面 与平面 为面的二面角的大小是( ) A. B. C. D. 【答案】C 【分析】根据二面角平面角的定义确定以 为棱,以平面 与平面 为面的二面角的的平面角,解 三角形求其大小即可. 【详解】取 的中点为 ,连接 ,因为 与 全等,又 , , 所以 , ,因为 为 的中点,所以 , ,所以 为以 为棱,以 平面 与平面 为面的二面角的平面角,在 中 , , ,所以 ,同理可得 ,在 中,因为 , , ,所以 , 所以 ,所以以 为棱,以平面 与平面 为面的二面角的大小为 . 2.(2021年全国高考甲卷数学(理)试题)已知直三棱柱 中,侧面 为正方形, ,E,F分别为 和 的中点,D为棱 上的点. (1)证明: ; (2)当 为何值时,面 与面 所成的二面角的正弦值最小? 【答案】(1)证明见解析;(2) 【详解】(1)因为 ,所以 . 资料整理【淘宝店铺:向阳百分百】又因为 , ,所以 平面 .又因为 ,构造正方体 ,如图所示, 过 作 的平行线分别与 交于其中点 ,连接 , 因为 , 分别为 和 的中点,所以 是 的中点, 易证 ,则 . 又因为 ,所以 . 又因为 ,所以 平面 . 又因为 平面 ,所以 . (2)如图所示,延长 交 的延长线于点 ,联结 交 于点 ,则平面 平面 . 作 ,垂足为 ,因为 平面 ,联结 ,则 为平面 与平面 所成 二面角的平面角. 设 ,过 作 交 于点 . 由 得 . 又 ,即 ,所以 . 又 ,即 ,所以 . 所以 . 资料整理【淘宝店铺:向阳百分百】则 , 所以,当 时, . 【整体点评】第一问,常规方法,不过这道题常规方法较为复杂第二问:利用空间线面关系找到,面 与面 所成的二面角,并求出其正弦值的最小值,不是很容易找到; 3.如图,二面角 等于 ,A、 是棱l上两点,BD、AC分别在半平面 、 内, , ,且 ,则CD的长等于 . 【答案】4 【分析】根据二面角的定义,结合空间向量加法运算性质、空间向量数量积的运算性质进行求解即可. 【详解】由二面角的平面角的定义知 , ∴ , 由 , ,得 , ,又 , ∴ ,所以 ,即 . 1.(2011年湖南省普通高等学校招生统一考试理科数学)已知点 分别在正方体 的 棱 、 上,且 , ,侧面 与面 所成的二面角的正切值等于 . 【答案】 【分析】由题意画出正方体的图形,延长 交点为 连接 ,过 作 连接 ,所以面 与面 所成的二面角就是 ,求出 与正方体的棱长的关系,然后求出面 与面 所成的二面角的正切值. 【详解】由题意画出图形如图: 资料整理【淘宝店铺:向阳百分百】因为 分别在正方体 的棱 、 上, 延长 交点为 连接 ,过 作 连接 , 所以面 与面 所成的二面角就是 , 因为 , , 所以 ,所以 , 设正方体的棱长为 ,所以 , , , 在 中, . 【点睛】本题是基础题,考查二面角的平面角的正切值的求法,解题的关键是能够作出二面角的棱,作出 二面角的平面角,考查计算能力,逻辑推理能力. 2.(2002年普通高等学校招生考试数学(理)试题(上海卷))若正四棱锥的底面边长为 ,体积 为 ,则它的侧面与底面所成的二面角的大小是 . 【答案】 / 【分析】先根据正四棱锥的结构特征、垂直关系的转化得到 是侧面 与底面 所成的二面 角的平面角,再利用 进行求解. 【详解】如图,过点 作 平面 ,则 为底面正方形 的中心, 取 的中点 ,连接 、 ,则 , 因为 平面 , 平面 ,所以 , 因为 平面 , 平面 ,且 , 所以 平面 ,又 平面 ,所以 , 又 平面 , 平面 , 所以 是侧面 与底面 所成的二面角的平面角, 由题意,得 ,解得 , 资料整理【淘宝店铺:向阳百分百】在 中,又因为 ,所以 ,所以 , 即该正四棱锥的侧面与底面所成的二面角的大小是 . 3.如图60°的二面角的棱上有 , 两点,直线 , 分别在二面角两个半平面内,且垂直于 , , ,则 . 【答案】10 【分析】过点 作 ,且 ,连接 , ,先证明 为等边三角形,从而得到 ,再证明 ,进而利用勾股定理即可求解. 【详解】如图,过点 作 ,且 ,连接 , , 则 ,又 , 所以 为等边三角形,所以 , 则四边形 为矩形,即 , 由 ,则 ,又 ,且 , 所以 平面 ,所以 平面 , 又 平面 ,所以 , 则由勾股定理得 . 资料整理【淘宝店铺:向阳百分百】考点八、几何法求平面与平面所成角 1.如图,P为长方体 的对角线 上的一点,平面 平面 ,若 ,则 平面PAB与平面CAB夹角的正切值为 . 【答案】2 【分析】设 , 分别为长方体上、下底面矩形对角线的交点,连接 , , ,由平面 平 面 ,结合正方体的性质可得 ,作 ,垂足为 , ,垂足为 ,连接 , 可证得 为平面 与平面 的夹角,然后在 中求解即可. 【详解】设 , 分别为长方体上、下底面矩形对角线的交点,连接 , , . 因为平面 平面 ,平面 平面 ,平面 平面 , 所以 .又 ,所以 , , 三点共线,因此 . 如图,作 ,垂足为 , ,垂足为 ,连接 , 因为平面 平面 , 平面 , 所以 平面 , 因为 平面 ,所以 , 因为 , 平面 ,所以 平面 , 因为 平面 ,所以 ,所以 为平面 与平面 的夹角. 由 , ,可得 , . 所以 ,即平面 与平面 夹角的正切值为2. 资料整理【淘宝店铺:向阳百分百】2.(2023年新高考天津数学高考真题)三棱台 中,若 面 , 分别是 中点. (1)求证: //平面 ; (2)求平面 与平面 所成夹角的余弦值; (3)求点 到平面 的距离. 【答案】(1)证明见解析;(2) ;(3) ; 【分析】(1)先证明四边形 是平行四边形,然后用线面平行的判定解决; (2)利用二面角的定义,作出二面角的平面角后进行求解; (3)方法一是利用线面垂直的关系,找到垂线段的长,方法二无需找垂线段长,直接利用等体积法求解 【详解】(1) 连接 .由 分别是 的中点,根据中位线性质, // ,且 , 由棱台性质, // ,于是 // ,由 可知,四边形 是平行四边形,则 // , 又 平面 , 平面 ,于是 //平面 . (2)过 作 ,垂足为 ,过 作 ,垂足为 ,连接 . 由 面 , 面 ,故 ,又 , , 平面 , 则 平面 . 由 平面 ,故 ,又 , , 平面 ,于是 平 面 , 由 平面 ,故 .于是平面 与平面 所成角即 . 又 , ,则 ,故 ,在 中, 资料整理【淘宝店铺:向阳百分百】,则 , 于是 (3)[方法一:几何法] 过 作 ,垂足为 ,作 ,垂足为 ,连接 ,过 作 ,垂足为 . 由题干数据可得, , ,根据勾股定理, , 由 平面 , 平面 ,则 ,又 , , 平面 ,于是 平面 . 又 平面 ,则 ,又 , , 平面 ,故 平面 . 在 中, , 又 ,故点 到平面 的距离是 到平面 的距离的两倍, 即点 到平面 的距离是 . [方法二:等体积法] 辅助线同方法一. 资料整理【淘宝店铺:向阳百分百】设点 到平面 的距离为 . , . 由 ,即 . 3.如图,在四棱锥 中,底面 是边长为2的正方形,侧棱 底面 , , 是 的中点,作 交PB于点 . (1)求三棱锥 的体积; (2)求证: 平面 ; (3)求平面 与平面 的夹角的大小. 【答案】(1) ;(2)证明见解析;(3) 【分析】(1)取 中点 ,连接 ,易知 且 底面 ,由此即可求出答案; (2)由题意易证 面 ,则可得 ,再结合 ,利用线面垂直的判定定理即可得证; (3)由题意易知 是平面 与平面 的夹角,且 ,分别求出 的值,利用 ,即可求出答案. 【详解】(1)取 中点 ,连接 , 在 中, 分别为 中点, ∴ 为 的中位线, ∴ ,且 , 又∵ , ∴ ∵ 底面 , ∴ 底面 , 资料整理【淘宝店铺:向阳百分百】∴ ; (2)∵ 底面 ,且 面 ∴ , ∵底面 是正方形, ∴ , 又 , 面 , ∴ 面 , 又 面 ∴ ∵ ,且 , ∴ 是等腰直角三角形,又 是斜边 的中线, ∴ , 又 , 面 , ∴ 面 , ∵ 面 ∴ , ∵ , 又 , 面 ∴ 平面 ; (3)由(2)可知 , 故 是平面 与平面 的夹角, ∵ ∴ , 在 中, , , , 又 面 , ∵ 面 ∴ , 资料整理【淘宝店铺:向阳百分百】在 中, ,∴ ,故平面 与平面 的夹角的大小 . 1.如图,棱锥 的底面 是矩形, 平面 , . (1)求证: 平面 ; (2)求平面 和平面 夹角的余弦值的大小. 【答案】(1)证明过程见解析;(2) ; 【分析】(1)求出 ,得到底面 是正方形,对角线互相垂直,进而证明出线 面垂直;(2)找到两平面的夹角的平面角,再进行求解. 【详解】(1)因为 平面 , 平面 ,所以 ,因为 , 底面 是矩形,所以由勾股定理得: ,所以底面 是正方形,所以 ,又 ,所以 平面 . (2)因为 底面 , 平面 ,所以 ,又 , ,所 以 平面 ,因为 平面 ,所以 ,又因为 ,所以 是平面 和平面 的夹角,由于 , ,所以 ,所以 , 所以平面 与平面 的夹角余弦值为 . 2.(2023届浙江省名校新高考研究联盟联考数学试题)如图,在四棱锥 中,已知 , , , , , , 为 中点, 为 中点. 资料整理【淘宝店铺:向阳百分百】(1)证明:平面 平面 ; (2)若 ,求平面 与平面 所成夹角的余弦值. 【答案】(1)证明见解析;(2) . 【分析】(1)根据线面平行及面面平行的判定定理即得; (2)延长 与 交于 ,由题可得面 面 ,过 作 ,过 作 ,进而可得 即为面 与面 所成二面角的平面角,结合条件即得; 【详解】(1)连接 ,∵ 为 中点, 为 中点, ∴ ,又 面 , 面 , ∴ 面 , 在 中, , , , ∴ ,即 , 在 中, , ,∴ , , 在 中, , , , , ∴ , ,∴ , ∵F为AB中点,∴ , , ∴ ,又∵ 面 , 面 , ∴ 面 ,又∵ ,CF, 面 , ∴平面 平面 ; (2)延长 与 交于 ,连 ,则面 面 , 资料整理【淘宝店铺:向阳百分百】在 中, , , ,所以 , 又 , , , 面 , ∴ 面 , 面 , ∴面 面 , 在面 内过 作 ,则 面 , ∵ 面 ,∴ , 过 作 ,连 ,∵ , 面 , 面 , ∴ 面 , 面 , ∴ , ∴ 即为面 与面 所成二面角的平面角, ∵ , , ∴ , , ∵ , , ∴ , , ,又 , ∴ , , , ∴ . 3.(2023届广东省模拟考试数学试题)如图,在四棱锥P-ABCD中, PAD是以AD为斜边的等腰直角三 角形, △ (1)求证: ; 资料整理【淘宝店铺:向阳百分百】(2)求平面PAB与平面ABCD交角的正弦值. 【答案】(1)证明见解析;(2) . 【分析】(1)取 中点 ,连接 ,可证明 , ,进而可证 平面 ,则 结论成立;(2)过 做 平面 ,过 做 于 ,则 为平面 与平面 所 成角,根据题中所给条件计算 , 的长,求出正切值,进而求出正弦值. 【详解】(1)取 中点 ,连接 , 因为 ,且 ,所以四边形 为平行四边形,即 , 因为 ,所以 ; 因为 是以 为斜边的等腰直角三角形,所以 ; ,所以 平面 , 平面 ,所以 . (2)过 做 平面 ,过 做 于 , (3)则 为平面 与平面 所成角, 由(1)可知: 平面 , 平面 , 所以平面 平面 ,平面 平面 , 则 直线 ,由题意可知 , ,又 , 所以 ,在直角三角形 中, , 所以 , , 过 做 于 ,则 , 在 中, , , 则 , , 所以 , 所以 , , 则 . 资料整理【淘宝店铺:向阳百分百】【基础过关】 1.(2023年云南省教育学业质量监测数学试题)如图,已知在矩形ABCD中, , ,M为边 BC的中点,将 , 分别沿着直线AM,MD翻折,使得B,C两点重合于点P,则点P到平面 MAD的距离为 . 【答案】 / 【分析】由题意可得 平面 ,设点 到平面 的距离为 ,然后利用等体积法可求得结果. 【详解】因为 为矩形,所以 , , 因为 , 平面 , 所以 平面 , 因为 , 所以 , , 点 到平面 的距离为 , , 所以 ,解得 . 2.(2023-2024学年陕西省联考文科数学试题)在直三棱柱 中,侧面 为正方形, , , 分别为 和 的中点, . 资料整理【淘宝店铺:向阳百分百】(1)证明: ; (2)求 到平面 的距离. 【答案】(1)证明见解析;(2) . 【分析】(1)根据给定条件,证明 ∽ ,进而证得 ,再利用线面垂直的性质判定推 理作答. (2)由(1)的信息,求出 长即可作答. 【详解】(1)在直三棱柱 中,由侧面 为正方形,得 , 而 , , 平面 ,则 平面 , 又 平面 ,即有 ,即 , ,则 , 因为 ,则 , , 由E,F分别为AC和 的中点,得 , 于是 ,而 ,则 ∽ ,有 , 又 ,即有 ,则 ,即 , 由 , 为 的中点,得 ,而 平面 , 平面 ,则 , 又 , 平面 ,于是 平面 ,而 平面 ,则 , 因为 , 平面 ,因此 平面 ,而 平面 , 所以 . (2)由(1)知 平面 ,则 长即为点 到平面 的距离, 在 中, ,则 , 所以点 到平面 的距离 . 资料整理【淘宝店铺:向阳百分百】3.(2023年上海市模拟考试数学试题)若正四棱柱 的底面边长为 , 与底面 成 角,则 到底面 的距离为 . 【答案】 【分析】确定 到底面 的距离为正四棱柱 的高,即可求得结论. 【详解】∵正四棱柱 , ∴平面 平面 , 平面 , 平面 , 到底面 的距离为正四棱柱 的高 ∵正四棱柱 的底面边长为 , 与底面 成 角, . 4.若正四棱柱 的底面边长为1,直线 与底面 所成角的大小是 ,则 到底 面 的距离为 . 【答案】 【分析】根据正四棱柱的几何性质由直线 与底面 所成角的大小是 ,确定线段 的长,则则 到底面 的距离即可求. 【详解】解:如图,连接 正四棱柱 的底面边长为1,则 ,所以 且 底面 ,则直线 与底面 所成角即 则 则在正四棱柱 中, 到底面 的距离为即 到到底面 的距离 . 5.在长方体 中,已知 , , 与平面ABCD所成角的大小是 ,那么平面 ABCD到平面 的距离是 . 资料整理【淘宝店铺:向阳百分百】【答案】 【分析】在长方体 中,根据 与平面 所成角的大小是 ,解直角三角形,求得 棱 的长,即可得答案. 【详解】如图,连接 , 因为 平面 ,故 即为 与平面 所成角, 则 , 又因为 , ,则 , 故在 中, , 在长方体 中, 平面 到平面 的距离即为棱 的长, 即平面 到平面 的距离为 . 6.在长方体 中,E,F,G,H分别为 , , , 的中点, ,则平面 ABCD与平面EFGH的距离为 . 【答案】2 【分析】由平面 平面 ,又 平面 可得答案. 【详解】如图 平面 平面 又 平面 . 平面 与平面 的距离为 . 【点睛】本题考查平面与平面间的距离,属于基础题. 资料整理【淘宝店铺:向阳百分百】7.用六个完全相同的正方形围成的立体图形叫正六面体.已知正六面体 的棱长为 ,则平 面 与平面 间的距离为( ) A. B. C. D. 【答案】C 【分析】画出图形,可得 平面 ,结合面面平行可知 平面 ,求出正方体的棱长,再 由等体积法求得 ,则可求得所求距离. 【详解】由题意知:正六面体 是棱长为 的正方体, , , , , 平面 平面 , 连接 , , , , 平面 , 又 平面 , ,同理可证得: , 又 平面 , , 平面 , 平面 , 设垂足分别为 ,则平面 与平面 间的距离为 . 正方体的体对角线长为 . 在三棱锥 中,由等体积法求得: , ∴平面 与平面 间的距离为: . 【点睛】本题考查立体几何中平面与平面间距离的求解问题,关键是能够找到两面的公垂线,进而可知夹 在两平面间的公垂线段的长度即为所求距离;本题中同时涉及到三棱锥高的求解问题,解决此类问题通常 采用等体积法. 8.(2018年全国普通高等学校招生统一考试理数(全国卷II))已知圆锥的顶点为 ,母线 , 所成 资料整理【淘宝店铺:向阳百分百】角的余弦值为 , 与圆锥底面所成角为45°,若 的面积为 ,则该圆锥的侧面积为 . 【答案】 【分析】先根据三角形面积公式求出母线长,再根据母线与底面所成角得底面半径,最后根据圆锥侧面积公 式求出结果. 【详解】因为母线 , 所成角的余弦值为 ,所以母线 , 所成角的正弦值为 ,因为 的面积为 ,设母线长为 所以 , 因为 与圆锥底面所成角为 ,所以底面半径为 , 因此圆锥的侧面积为 . 【整体点评】根据三角形面积公式先求出母线长,再根据线面角求出底面半径,最后根据圆锥侧面积公式 求出侧面积,思路直接自然,是该题的最优解. 9.(2021年山东省春季高考数学真题)如下图,在四棱锥 中,底面 是正方形,平面 平面 , , . (1)求 与 所成角的余弦值; (2)求证: . 【答案】(1) ;(2)证明见解析. 【分析】(1)由题意可得 即为 与 所成的角,根据余弦定理计算即可; (2)结合面面垂直的性质和线面垂直的性质即可证明. 【详解】【考查内容】异面直线所成的角,直线与平面垂直的判定和性质 【解】(1)因为 ,因此 即为 与 所成的角,在 中, , 又在正方形 中 ,因此 , 因此 与 所成角的余弦值是 . (2)因为平面 平面 ,平面 平面 ,在正方形 中, , 资料整理【淘宝店铺:向阳百分百】因此 平面 ,又因为 平面 ,因此 . 10.(2023年福建省模拟考试数学试题)在矩形ABCD中, ,沿AC将 折起,当二面角 为直二面角时,异面直线AB与CD所成角的余弦值为 . 【答案】 /0.2 【分析】沿 将 折起后 位置为 ,根据题设条件易知所求角为 或其补角,作 于 ,连接 ,根据直二面角证 ,求得 ,最后应用余弦定理求异面直线夹角余弦 值. 【详解】沿 将 折起后 位置为 ,且 为矩形,则 , 所以异面直线 与 所成角,即为 与 所成角 或其补角, 作 于 ,连接 ,显然 , 由二面角 为直二面角,即面 面 ,面 面 , 面 ,则 面 ,而 面 ,故 , 由 ,且 ,故 ,则 , 所以 ,又 , 则 . 11.(2018年全国普通高等学校招生统一考试文科数学(新课标I卷))在长方体 中, , 与平面 所成的角为 ,则该长方体的体积为( ) A. B. C. D. 【答案】C 【分析】首先画出长方体 ,利用题中条件,得到 ,根据 ,求得 ,可以确定 ,之后利用长方体的体积公式求出长方体的体积. 【详解】在长方体 中,连接 , 资料整理【淘宝店铺:向阳百分百】根据线面角的定义可知 , 因为 ,所以 ,从而求得 , 所以该长方体的体积为 . 【点睛】该题考查的是长方体的体积的求解问题,在解题的过程中,需要明确长方体的体积公式为长宽高 的乘积,而题中的条件只有两个值,所以利用题中的条件求解另一条边的长就显得尤为重要,此时就需要 明确线面角的定义,从而得到量之间的关系,从而求得结果. 12.(2023年云南省质量检测数学试题)已知圆锥的顶点为 ,底面圆心为 , ,底面半径为2, , 是底面圆周上两点,且 ,则二面角 的大小为( ) A. B. C. D. 【答案】B 【分析】取 的中点 ,连 ,可证 是二面角 的平面角,再根据已知条件计算可 得结果. 【详解】取 的中点 ,连 , 因为 ,所以 ,因为 ,所以 , 所以 是二面角 的平面角, 因为 平面 , 平面 ,所以 , 因为 , ,所以 , 因为 ,所以 , 所以 ,所以 . 所以二面角 的大小为 . 资料整理【淘宝店铺:向阳百分百】13.(2023年山东省模拟考试数学试题)长方体 中, ,则二面角 的余弦值为( ) A. B. C. D. 【答案】A 【分析】取 中点 ,连接 、 ,则 即为二面角 的平面角,在 中利用 余弦定理求解即可. 【详解】 取 中点 ,连接 、 ,因为 , , 所以 , , 所以 即为二面角 的平面角,连接 , 因为长方体 中, , 所以 , , 所以 ,又因为 , 在 中, , 所以二面角 的余弦值为 . 资料整理【淘宝店铺:向阳百分百】【能力提升】 1.(2023年重庆市模拟考试数学试题)在四面体 中, 平面 于点 ,点 到平面 的 距离为 ,点 为 的重心,二面角 的大小为 ,则 . 【答案】 . 【分析】综合应用立体几何中线线垂直、线面垂直、点到平面距离、二面角等知识即可解决问题. 【详解】设 ,连结 ,因为 平面 , 平面 ,所以 ,又 , , 平面 , 平面 ,所以 平面 ,又 平面 , 故 ,所以 是二面角 的平面角,所以 ,又 ,所以 为 中点,又点 为 的重心,故 在 上,过 作 于 ,由 到平面 的距离为 ,可 得 ,于是 , , ,在 中,由余弦定理可得, ,所以 . 2.(2023年江苏省模拟考试数学试题)如图,将边长 的正方形 沿对角线BD折起,连接AC, 资料整理【淘宝店铺:向阳百分百】构成一四面体,使得 ,则点 到平面 的距离为 . 【答案】 / 【分析】设点 到平面 的距离为 ,则 ,求 可得结论. 【详解】由已知可得 , , , 取 的中点 ,连接 , 因为 , ,所以 , 因为 , ,所以 , 又 ,所以 , 因为 ,点 为 的中点, 所以 ,由 平面 , , 所以 平面 , 所以点 到平面的距离为 ,又 的面积为 , 所以三棱锥 的体积为 , 设点 到平面 的距离为 ,则 , 又 , 因为 ,所以 的面积为 , 所以 , 所以 . 所以点 到平面 的距离为 . 资料整理【淘宝店铺:向阳百分百】3.如图,正四棱柱 的底面边长为2, ,E为 的中点,则 到平面EAC 的距离为 . 【答案】 / 【分析】由于 ∥平面 ,所以只要求出点 到平面 的距离即可,然后利用等体积法求解. 【详解】连接 , 因为 ∥ , 平面 , 平面 , 所以 ∥平面 , 所以 到平面 的距离等于 到平面 的距离,设 到平面 的距离为 , 因为正四棱柱 的底面边长为2, , 所以 , 因为E为 的中点,所以 , 所以 , 所以 , , 因为 , 所以 , 所以 ,解得 . 资料整理【淘宝店铺:向阳百分百】4.(2023年辽宁省模拟考试数学试题)如图,已知四棱锥 外接球O的体积为 , ,侧 棱 与底面 垂直,四边形 为矩形,点M在球O的表面上运动.当四棱锥 体积的最 大时,点A到面 的距离为 . 【答案】 【分析】根据给定条件,求出球 的半径并确定球心 的位置,再求出四棱锥 体积取最大时, 矩形 的特征,然后用等体积法求解作答. 【详解】设球 的半径为 ,则 ,解得 ,连接 , 由 平面 , 平面 ,得 ,由矩形 ,得 , 而 平面 ,则 平面 ,又 平面 ,于是 ,同理 , 取 中点 ,连接 ,则 ,因此点 是四棱锥 的外接 球球心 , 显然 ,而 ,于是 , 令 ,连接 ,则 平面 , , 要使四棱锥 的体积最大,点 必为射线 与球 的表面的交点, , 资料整理【淘宝店铺:向阳百分百】此时四棱锥 的体积 ,当且仅当 时取等号, , 底边 上的高 , 设点 到平面 的距离为 ,由 ,得 , 即 ,有 ,解得 , 所以点 到面 的距离为 . 5.(2023届江西省考前最后一卷(全国乙卷)数学(理)试题)如图,正三角形ABC中,D,E分别为 边AB,AC的中点,其中 ,把 沿着DE翻折至 的位置,得到四棱锥 ,则当 四棱锥 的体积最大时,四棱锥 外接球的球心到平面 的距离为 . 【答案】 / 【分析】由题意确定当平面 平面 时,四棱锥 的体积最大,作出图形,依次确定 的外接圆的圆心 ,四边形 的外接圆的圆心 ,再确定四棱锥 的外接球的球心 ,解外接球的半径 ,再求解 外接圆的半径 ,设四棱锥 外接球的球心到平面 的 距离为 ,根据 即可求解. 【详解】 由题意可知,当平面 平面 时,四棱锥 的体积最大,如图所示, 取 的中点 ,连接 ,则 , 又平面 平面 , 平面 ,所以 平面 . 则 的外接圆的圆心 位于 且靠近点 的三等分点处, 资料整理【淘宝店铺:向阳百分百】设 的中点为 ,连接 ,则 , 所以 为四边形 的外接圆的圆心, 过 作平面 的垂线,过 作平面 的垂线, 则两垂线的交点即为四棱锥 的外接球的球心 , 连接 ,则四边形 为矩形, 所以 , 连接 ,在 中, . 设四棱锥 的外接球的半径为 ,则 . 连接 , , , , , 连接 ,则 ,所以 外接圆的圆心在 上,令其半径为 , 在 中, , 所以 ,即 ,解得 , 设四棱锥 外接球的球心到平面 的距离为 , 所以 ,即 ,解得 , 故四棱锥 外接球的球心到平面 的距离为 . 【点睛】方法点睛:求多面体的外接球的半径,常用方法有:(1)三条棱两两互相垂直时,可恢复为长 方体,利用长方体的体对角线为外接球的直径,求出球的半径;(2)直棱柱的外接球可利用棱柱的上下 底面平行,借助球的对称性,球心为上下底面外接圆的圆心连线的中点,再根据勾股定理求球的半径; (3)如果涉及几何体有两个面相交,可过两个面的外心分别作两个面的垂线,垂线的交点为几何体的球 心. 6.(2023届山东省高考适应性训练数学试题)鲁班锁(也称孔明锁、难人木、六子联方)起源于古代中 国建筑的榫卯结构.如图1,这是一种常见的鲁班锁玩具,图2是该鲁班锁玩具的直观图,每条棱的长均为 2,则该鲁班锁的两个相对三角形面间的距离为( ) 资料整理【淘宝店铺:向阳百分百】A. B. C. D. 【答案】C 【分析】该鲁班锁玩具可以看成是一个正方体截去了8个正三棱锥所余下来的几何体,由等体积转化得出 截去的三棱锥的高,由体对角线减去该高,计算即可. 【详解】由题图可知,该鲁班锁玩具可以看成是一个正方体截去了8个正三棱锥所余下来的几何体,如图 所示,由题意可知: ,所以 . 故该正方体的棱长为 ,且被截去的正三棱锥的底面边长为2,侧棱长为 , 则该小三棱锥几何体的体积为 , 所以该三棱锥的顶点 到面 的距离 . 易知鲁班锁两个相对的三角形面平行,且正方体的体对角线 垂直于该两面,故该两面的距离 . 7.(2023届湖南省三模数学试题)已知平行六面体 的各棱长都为 , , 、 、 分别是棱 、 、 的中点,则( ) A. 平面 B.平面 平面 资料整理【淘宝店铺:向阳百分百】C.平面 与平面 间的距离为 D.直线 与平面 所成角的正弦值为 【答案】A 【分析】证明出平面 平面 ,利用面面平行的性质可判断A选项;利用反证法结合面面垂直的 性质定理可判断B选项;利用勾股定理可判断C选项;利用线面角的定义可判断D选项. 【详解】对于A选项,连接 、 、 , 在平行六面体 中, 且 , 所以,四边形 为平行四边形,所以, , 因为 、 分别为 、 的中点,则 ,所以, , 因为 平面 , 平面 ,所以, 平面 , 同理可证 且 , 因为 且 , 、 分别为 、 的中点,所以, 且 , 所以,四边形 为平行四边形,故 且 , 所以, 且 ,故四边形 为平行四边形,故 , 因为 平面 , 平面 ,所以, 平面 . 因为 , 、 平面 ,所以,平面 平面 , 因为 平面 ,所以, 平面 ,A对; 对于B选项,连接 、 、 , 由题意可知, , ,则 为等边三角形, 所以, ,同理可得 ,故三棱锥 为正四面体, 设点 在平面 内的射影点为点 ,则 为等边 的中心, 易知点 不在直线 上, 若平面 平面 ,过点 在平面 内作 ,垂足为点 , 因为平面 平面 ,平面 平面 , 平面 , 所以, 平面 , 资料整理【淘宝店铺:向阳百分百】但过点 作平面 的垂线,有且只有一条,矛盾,假设不成立,B错; 对于C选项,连接 ,则 ,且 , 因为 平面 , 平面 ,则 , 故 , 故平面 与平面 间的距离为 ,C错; 对于D选项,连接 ,因为 平面 , 所以, 与平面 所成的角为 ,且 , 所以,直线 与平面 所成的角的正弦值为 ,D错. 8.(2023届浙江省原创预测卷一(全国1卷))如图,在三棱锥 中, ,二面角 的平面角 , , ,则直 线 与直线 的所成最大角的正切值为( ) A. B. C. D. 【答案】D 【分析】首先取 的中点 ,连接 交 于 ,连接 , ,根据题意得到当 时,得到直 线 与直线 的所成最大角的正切值,即可得到答案. 【详解】取 的中点 ,连接 交 于 ,连接 , , 如图所示: 资料整理【淘宝店铺:向阳百分百】因为 为 中点, 为 中点, 交 于 ,则 为 的重心. 即: . 因为 , 又因为 ,即 ,所以 , . , ,即 . 因为 , 为 中点,所以 , 因为 , 为 中点,所以 , 所以 为二面角 的平面角,即 , . 因为直线 与直线 的所成角为 , 当 时, 取得最大值, 当 时,即 , 平面 ,即 . 所以直线 与直线 的所成角正切值最大为 . 9.已知二面角 为 , , , 为垂足, , , ,则异面直 线 与 所成角的余弦值为( ) A. B. C. D. 【答案】B 资料整理【淘宝店铺:向阳百分百】【解析】作出图形,设 , , ,然后以 、 为邻边作平行四边形 ,可知 为二面角 的平面角,异面直线 与 所成角为 或其补角,计算出 三边边长, 利用余弦定理计算出 ,即可得解. 【详解】如下图所示: 设 , , ,以 、 为邻边作平行四边形 , 在平面 内, , , ,则 , , , , , , 所以, 为二面角 的平面角,即 , , 为等边三角形,则 , 四边形 为平行四边形, ,即 , , , , , , 平面 , 平面 , ,则 , 在平行四边形 中, 且 , 所以,异面直线 与 所成角为 或其补角, 在 中, , ,由余弦定理可得 . 因此,异面直线 与 所成角的余弦值为 . 【点睛】思路点睛:平移线段法是求异面直线所成角的常用方法,其基本思路是通过平移直线,把异面直 线的问题化归为共面直线问题来解决,具体步骤如下: (1)平移:平移异面直线中的一条或两条,作出异面直线所成的角; (2)认定:证明作出的角就是所求异面直线所成的角; (3)计算:求该角的值,常利用解三角形; (4)取舍:由异面直线所成的角的取值范围是 ,当所作的角为钝角时,应取它的补角作为两条异面 直线所成的角. 10.已知正方体 ,则正确的有( ) ①.直线 与 所成的角为 ②.直线 与 所成的角为 ③.直线 与平面 所成的角为 ④.直线 与平面ABCD所成的角为 【答案】①②④ 资料整理【淘宝店铺:向阳百分百】【分析】数形结合,依次对所给选项进行判断即可. 【详解】如图,连接 、 ,因为 ,所以直线 与 所成的角即为直线 与 所成 的角, 因为四边形 为正方形,则 ,故直线 与 所成的角为 ,①正确; 连接 ,因为 平面 , 平面 ,则 , 因为 , ,所以 平面 , 又 平面 ,所以 ,故②正确; 连接 ,设 ,连接 , 因为 平面 , 平面 ,则 , 因为 , ,所以 平面 , 所以 为直线 与平面 所成的角, 设正方体棱长为 ,则 , , , 所以,直线 与平面 所成的角为 ,故③错误; 因为 平面 ,所以 为直线 与平面 所成的角,易得 ,故④正确. 11.(2019年天津市高考数学(文科)试题) 如图,在四棱锥 中,底面 为平行四边形, 为等边三角形,平面 平面 , , , , (Ⅰ)设 分别为 的中点,求证: 平面 ; (Ⅱ)求证: 平面 ; (Ⅲ)求直线 与平面 所成角的正弦值. 【答案】(I)见解析;(II)见解析;(III) . 资料整理【淘宝店铺:向阳百分百】【分析】(I)连接 ,结合平行四边形的性质,以及三角形中位线的性质,得到 ,利用线面平 行的判定定理证得结果; (II)取棱 的中点 ,连接 ,依题意,得 ,结合面面垂直的性质以及线面垂直的性质得 到 ,利用线面垂直的判定定理证得结果; (III)利用线面角的平面角的定义得到 为直线 与平面 所成的角,放在直角三角形中求得结 果. 【详解】(I)证明:连接 ,易知 , , 又由 ,故 , 又因为 平面 , 平面 , 所以 平面 . (II)证明:取棱 的中点 ,连接 , 依题意,得 , 又因为平面 平面 ,平面 平面 , 所以 平面 ,又 平面 ,故 , 又已知 , , 所以 平面 . (III)解:连接 , 由(II)中 平面 , 可知 为直线 与平面 所成的角. 因为 为等边三角形, 且 为 的中点, 资料整理【淘宝店铺:向阳百分百】所以 ,又 , 在 中, , 所以,直线 与平面 所成角的正弦值为 . 【点睛】本小题主要考查直线与平面平行、直线与平面垂直、平面与平面垂直、直线与平面所成的角等基 础知识,考查空间想象能力和推理能力. 12.(2023年四川省阶段性测文科数学试题)在 中, , .若空间点 满足 ,则直线 与平面 所成角的正切的最大值是( ) A. B. C. D.1 【答案】C 【分析】根据题意可推出 点到 的距离为 ,即可确定 点在在以 为轴,以 为底面半径的圆 柱的母线 所在直线上,进而作图分析,利用垂直关系说明直线 与平面 所成最大角为 ,解 直角三角形即可求得答案. 【详解】由题意 中, , , 故 , 又 , ,故 的边 上的高为 , 即 点到 的距离为 ,故 点在以 为轴,以 为底面半径的圆柱的母线 所在直线上, 要使直线 与平面 所成角的正切最大,即直线 与平面 所成角最大, 则 必须垂直于圆柱的母线 所在直线,且与 相切于点 , 设切点 对应的半径为 , 在直线 上,则 垂直于 所在直线,且 , 而 平面 ,故 平面 , 又母线 ,故 平面 , 而 平面 ,故平面 平面 ,即平面 平面 , 资料整理【淘宝店铺:向阳百分百】而 平面 ,即 为 在平面 内的射影, 故直线 与平面 所成的最大角为 , 因为 平面 , 平面 ,故 , 即 点为平面 内的点,且 垂直于 所在直线,垂足为 , 由 ,得 , 又 ,故 , 而 ,故 , 故 , 即直线 与平面 所成角的正切的最大值是 . 13.(2023年河北省模拟考试数学试题)在三棱锥 中,底面 是边长为3的等边三角形, , ,若此三棱锥外接球的表面积为 ,则二面角 的余弦值为( ) A. B. C. D. 【答案】A 【分析】根据题意可得 ,则 ,取 的中点 ,则 为 的外 心,进而可 得球心 在过底面 的外心(中心) 且垂直底面 的直线上,也在过 外心 且垂直侧面 的直线上,由三棱锥外接球的表面积为 ,解得 ,取 的中点 ,连接 ,可得 是二面角 的平面角,再计算余弦值, 即可得出答案. 【详解】因为 ,所以 , 所以 ,所以 为直角三角形,取 的中点 ,则 为 的外心, 所以球心 在过底面 的外心(中心) 且垂直底面 的直线上,也在过 外心 且垂直侧 面 的直线上,如下图, 因为三棱锥外接球的表面积为 ,即 ,解得 , 取 的中点 ,连接 ,则 , 资料整理【淘宝店铺:向阳百分百】所以 都与 垂直, 所以 是二面角 的平面角, 又 , , 在 中, , 在 中, , 所以 , 所以 , 在 中, , 由 平面 得 , 又 , 所以 平面 , 由 面 得 , 又 , 所以 平面 , 又平面 ,平面 有公共点 , 所以 四点共面, 所以 即二面角 的大小为 , 其余弦值为 . 14.(2023届广东省教学质量检测数学试题)如图,三棱柱 中,侧面 为矩形, 且 为 的中点, . 资料整理【淘宝店铺:向阳百分百】(1)证明: 平面 ; (2)求平面 与平面 的夹角的余弦值. 【答案】(1)证明见解析;(2) 【详解】(1)连接 与 交于点 ,连接 为三棱柱, 为平行四边形,点 为 的中点 又 为 的中点,则 , 又 平面 平面 , 平面 . (2)设点 为 的中点,点 为 的中点, 连接 交 于点 ,连接 , 设点 为 的中点,连接 点 为 的中点,点 为 的中点 且 ,点 为 的中点 为矩形, 又 平面 , 在 中, ,可得 为等腰直角三角形,其中 而点 为 的中点, 且 点 为 的中点,点 为 的中点 资料整理【淘宝店铺:向阳百分百】且 , 又 在Rt 中, ,点 为 的中点, 在 中, ,且点 为 的中点 且 即为平面 与平面 的夹角 在 中, . 平面 与平面 的夹角的余弦值是 . 【真题感知】 资料整理【淘宝店铺:向阳百分百】1.(2023年高考全国乙卷数学(理)真题)已知 为等腰直角三角形,AB为斜边, 为等边三 角形,若二面角 为 ,则直线CD与平面ABC所成角的正切值为( ) A. B. C. D. 【答案】C 【分析】根据给定条件,推导确定线面角,再利用余弦定理、正弦定理求解作答. 【详解】取 的中点 ,连接 ,因为 是等腰直角三角形,且 为斜边,则有 , 又 是等边三角形,则 ,从而 为二面角 的平面角,即 , 显然 平面 ,于是 平面 ,又 平面 , 因此平面 平面 ,显然平面 平面 , 直线 平面 ,则直线 在平面 内的射影为直线 , 从而 为直线 与平面 所成的角,令 ,则 ,在 中,由余弦定理得: , 由正弦定理得 ,即 , 显然 是锐角, , 所以直线 与平面 所成的角的正切为 . 2.(2023年高考全国甲卷数学(文)真题)如图,在三棱柱 中, 平面 . (1)证明:平面 平面 ; 资料整理【淘宝店铺:向阳百分百】(2)设 ,求四棱锥 的高. 【答案】(1)证明见解析;(2) 【分析】(1)由 平面 得 ,又因为 ,可证 平面 ,从而证得平面 平面 ; (2) 过点 作 ,可证四棱锥的高为 ,由三角形全等可证 ,从而证得 为 中点,设 ,由勾股定理可求出 ,再由勾股定理即可求 . 【详解】(1)证明:因为 平面 , 平面 , 所以 , 又因为 ,即 , 平面 , , 所以 平面 , 又因为 平面 , 所以平面 平面 . (2)如图, 过点 作 ,垂足为 . 因为平面 平面 ,平面 平面 , 平面 , 所以 平面 , 所以四棱锥 的高为 . 因为 平面 , 平面 , 所以 , , 又因为 , 为公共边, 所以 与 全等,所以 . 设 ,则 ,所以 为 中点, , 又因为 ,所以 , 即 ,解得 , 资料整理【淘宝店铺:向阳百分百】所以 ,所以四棱锥 的高为 . 资料整理【淘宝店铺:向阳百分百】