当前位置:首页>文档>第六章《变量之间的关系》6.4用图像(曲线型)表示变量之间的关系_北师大初中数学_7下-北师大版初中数学_7下-初中数学北师大版(2025春季新版)持续更新

第六章《变量之间的关系》6.4用图像(曲线型)表示变量之间的关系_北师大初中数学_7下-北师大版初中数学_7下-初中数学北师大版(2025春季新版)持续更新

  • 2026-05-13 21:01:18 2026-04-14 23:08:18

文档预览

第六章《变量之间的关系》6.4用图像(曲线型)表示变量之间的关系_北师大初中数学_7下-北师大版初中数学_7下-初中数学北师大版(2025春季新版)持续更新
第六章《变量之间的关系》6.4用图像(曲线型)表示变量之间的关系_北师大初中数学_7下-北师大版初中数学_7下-初中数学北师大版(2025春季新版)持续更新
第六章《变量之间的关系》6.4用图像(曲线型)表示变量之间的关系_北师大初中数学_7下-北师大版初中数学_7下-初中数学北师大版(2025春季新版)持续更新
第六章《变量之间的关系》6.4用图像(曲线型)表示变量之间的关系_北师大初中数学_7下-北师大版初中数学_7下-初中数学北师大版(2025春季新版)持续更新
第六章《变量之间的关系》6.4用图像(曲线型)表示变量之间的关系_北师大初中数学_7下-北师大版初中数学_7下-初中数学北师大版(2025春季新版)持续更新
第六章《变量之间的关系》6.4用图像(曲线型)表示变量之间的关系_北师大初中数学_7下-北师大版初中数学_7下-初中数学北师大版(2025春季新版)持续更新
第六章《变量之间的关系》6.4用图像(曲线型)表示变量之间的关系_北师大初中数学_7下-北师大版初中数学_7下-初中数学北师大版(2025春季新版)持续更新
第六章《变量之间的关系》6.4用图像(曲线型)表示变量之间的关系_北师大初中数学_7下-北师大版初中数学_7下-初中数学北师大版(2025春季新版)持续更新
第六章《变量之间的关系》6.4用图像(曲线型)表示变量之间的关系_北师大初中数学_7下-北师大版初中数学_7下-初中数学北师大版(2025春季新版)持续更新
第六章《变量之间的关系》6.4用图像(曲线型)表示变量之间的关系_北师大初中数学_7下-北师大版初中数学_7下-初中数学北师大版(2025春季新版)持续更新
第六章《变量之间的关系》6.4用图像(曲线型)表示变量之间的关系_北师大初中数学_7下-北师大版初中数学_7下-初中数学北师大版(2025春季新版)持续更新
第六章《变量之间的关系》6.4用图像(曲线型)表示变量之间的关系_北师大初中数学_7下-北师大版初中数学_7下-初中数学北师大版(2025春季新版)持续更新
第六章《变量之间的关系》6.4用图像(曲线型)表示变量之间的关系_北师大初中数学_7下-北师大版初中数学_7下-初中数学北师大版(2025春季新版)持续更新

文档信息

文档格式
docx
文档大小
0.613 MB
文档页数
9 页
上传时间
2026-04-14 23:08:18

文档内容

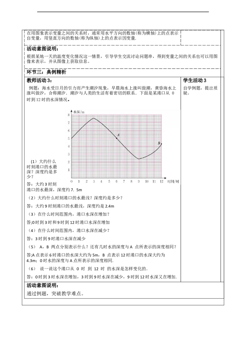
《变量之间的关系》分课时教学设计 第4课时用图像(曲线型)表示变量之间的关系教学设计 课型 新授课口 复习课口 试卷讲评课口 其他课口 教学内容分析 本节课的教学内容是让学生通过图象(曲线0直观地表示变量之间的关系,让 学生更加深刻的体会自变量,因变量和图像之间的关系,能够从图象中准确的获取 所需要的信息。 学习者分析 学生的知识技能基础:学生通过前两节课的学习已经清楚变量的含义,并学会 用列表和关系式表示变量之间的关系,会利用表格和关系式解决一些实际问题。 学生活动经验基础:学生在七年级上学期已经学习了折线统计图,了解折线统 计图的特征,并能准确地绘制折线统计图,会利用折线统计图解决实际问题。在这 个基础上,可以利用图象深刻体会变量之间关系。 教学目标 1、经历从图象中分析变量之间关系的过程,进一步体会变量之间的关系。 2、理解图象上的点所表示的意义。 3、能从图象上获取变量之间关系的信息,并能用语言进行描述。 教学重点 理解图像上的点所表示的实际意义 教学难点 从图像中获取变量之间关系的信息 学习活动设计 教师活动 学生活动 环节一:知识回顾 教师活动1: 学生活动1: 1、到今天为止我们一共学了几种方法来表示自变量与因变量之间的关系? 回顾旧知, 【列表格与列关系式两种方法.】 2、列表法 某河受暴雨袭击,某天此河水的水位记录为下表: 在这个表中反映了 2 个变量之间的关系, 时间 是自变量, 水位 是因变 量 3、关系式法 某出租车每小时耗油5千克,若t小时耗油q千克,则自变量是 t ,因变量是 q ,q与t的关系式是 q=5 t 。 表格法优点:数值清晰,一目了然。 关系式法优点:显示推理,便于计算。活动意图说明: 复习旧知,为新授奠基 环节二:探究用曲线表示变量之间的关系 教师活动2: 学生活动2: 请根据下图,与同学讨论某地某一天的温度变化情况。 1、小组讨论交 流问题串并展示 讨论结果。 2、小结用图像 表示变量之间的 关系非常直观。 (1)这个图像表示的是那两个变量之间的关系?哪个是自变量?哪个是因变 量?【自变量是时间,因变量是温度。】 (2)描述这天温度的变化情况。 【0点至3点温度下降,3点至15点温度上升,15点至24点温度下降】 (3) 这一天的最高温度是 37° C,是 1 5 时达到的, 最低温度 23° C,是 凌晨 3 点 。温差是 14° C。 (4) 图中的A点表示的是什么?B点呢? 【A表示21时的温度是31°C,B表示0时的温度是26°C】 (5)你能预测次日凌晨1时的温度吗? 说说你的理由. 根据图象的变化趋势和前一天凌晨的温度情况判断,次日凌晨1时温度约为24 °C。 提炼概念: 上图表示了温度随时间的变化而变化的情况,它是温度与时间之间关系的图象. 图象是我们表示变量之间关系的又一种方法,它的特点是非常直观. 用图象表示变量之间的关系的方法叫做图象法.在用图象表示变量之间的关系时,通常用水平方向的数轴(称为横轴)上的点表示 自变量,用竖直方向的数轴(称为纵轴)上的点表示因变量. 活动意图说明: 根据某地一天的温度变化情况这一情景,引导学生交流讨论问题串,得到变量之间的关系也可以用图 像来表示,并从图像上获取信息。 环节三:典例精析 教师活动3: 学生活动3 例题:海水受日月的引力而产生潮汐现象,早晨海水上涨叫做潮,黄昏海水上 自学例题,提出质 涨叫做汐,合称潮汐.潮汐与人类的生活有着密切的联系.下面是某港口从 0 疑。 . 时到12时的水深情况 (1)大约什么 时刻港口的水最 深?深度约是多 少? 答:大约3时刻 港口的水最深,深度约7. 5m (2)大约什么时刻港口的水最浅?深度约是多少? 答:大约9时刻港口的水最浅,深度约是2.4m (3)在什么时间范围内,港口水深在增加? 答;0时到3时和9时到12时港口水深在增加 (4)在什么时间范围内,港口水深在减少? 答:3时到9时港口水深在减少 (5) A,B 两点分别表示什么?还有几时水的深度与A 点所表示的深度相同? 答;A点表示6时港口的水深大约为5m,B 点表示12时港口的水深大约为 4.3m;0时水的深度与A点所表示的深度相同. (6) 说一说这个港口从 0 时 到 12 时 的水深是怎样变化的. 答:0时到3时水深在增加,3时到9时水深在减少,9时到12时水深又在增加. 活动意图说明: 通过例题,突破教学难点。板书设计 课堂练习 【知识技能类作业】 必做题: 1、某市一周平均气温(°C)如图所示,下列说法不正确的是( C ) A、星期二的平均气温最高; B、星期四到星期日天气逐渐转暖; C、这一周最高气温与最低气温相差 4°C; D、星期四的平均气温最低 2、在夏天一杯开水放在桌面上,其水温 T与放置时间 t 的关系大致图象为( A ) 3. 下图是某地一 年中日出时间 的变化情况 ①描述日 出时间的变化 情况答:1月至6月日出时间逐渐提前,6月至12月日出时间逐渐推后 ②,什么时候日出最早,什么时候日出最迟? 答:5月至6月日出时间最早,12月至1月日出时间最迟 4.自动测温仪仅记录的图象如图所示,它反映了某市的春季某一天气T(°C)如何随 时间t(时的变化而变化的.下列从图象中得到的信息正确的是( C ) A. 0点时气温达到最低 B. 最低气温是零下4°C C. 最高气温是8°C D. 0点到14点之间气温持续上升 5.如图是某市某一天的温度随时间 变化的图象,通过观察可知下列说法 错误的是( B ) A. 这天3时温度最低 B. 这天15时温度最高 C. 这天最高温度与最低温度的差为13℃ D. 这天21时温度为31℃ 选做题: 6.大家知道乌鸦喝水的故事,如图,它看到一个水位较低的瓶子,喝不着水,沉思 一会后聪明的乌鸦衔来一个个小石子放入瓶中,水位上升后,乌鸦喝到了水.从乌 鸦看到瓶子的那刻起开始计时,设时间变量为x,水位高度变量为y,下列图象中 最符合故事情景的大致图象是( D )A. B. C. D. 【综合拓展类作业】 7.青春期男、女生身高变化情况不尽相同,下图是小军和小蕊青春期身高的变化情 况. (1)上图反映了哪两个变量之间的关系?自变量是什么?因变量是什么? (2)A,B两点表示什么? (3)小蕊10岁时身高多少?17岁时呢? (4)比较小军和小蕊青春期的身高情况 有何相同与不同. 解:(1)反映了身高随年龄的变化而变化的关系,自变量是年龄,因变量是身高. (2)A点表示小军和小蕊在11岁时身高都是140厘米,B点表示小军和小蕊在14岁 时身高都是155厘米. (3)小蕊10岁时身高130厘米,17岁时身高160厘米. (4)相同点:进入青春期,两人随年龄的增长而快速长高,并且在11岁和14岁时两 人的身高相同; 不同点:11岁至14岁间小蕊的身高变化比小军的快些,14岁后小军的身高变化比 小蕊的快些. 作业设计 【知识技能类作业】 必做题: 1.如图,折线图描述了某地某日的气温变化情况,根据图中信息,下列说法错误的 是( D ) A.4:00气温最低 B.6:00气温为24 ℃ C.14:00气温最高 D.气温是30 ℃的时刻为16:002.下列图象中,能反映出投篮时篮球的离地高度与投出后的时间之间关系的是 ( A ) 3. 图 1 中的摩天轮可抽 象 成 一 个圆,圆上一点离 地面的高度y(m)与旋转时间x(min)之间的关系如图2所示. (1)根据图2填表: (2)根据图中的信息,请写出摩天轮的直径. 解:(1)填表如下:(2)根据题中图象可知摩天轮的直径=y的最大值-y的最小值=70-5=65(m). 4. 经科学家研究,蝉在气温超过28℃时才会活跃起来,此时边吸树木的汁液边鸣 叫,如图是某地一天的气温变化图象,在这一天中,听不到蝉鸣的时间是 1 2 小时. 5.下图是某地一年中日落时间的变化情况 ①描述日落时间的变化情况 答:1月至6月日落时间逐渐推后,6月至 12月日落时间逐渐提前 ②,什么时候日落最早,什么时候日落最迟? 答:7月日落时间最迟,11月日落时间最早。 选做题: 6.下列四个图象近似地刻画了两个变量之间的关系,请按图象顺序将下面四种情景与 之对应,正确的排序为③②④①(填序号) ①一辆汽车在公路上匀速行驶(汽车行驶的路程与时间的关系); ②向锥形瓶中匀速注水(水面的高度与注水时间的关系); ③将常温下的温度计插入一杯热水中(温度计的读数与时间的关系); ④一杯越来越凉的水(水温与时间的关系). 【综合拓展类作业】 7.下面是一位病人的体温记录图,看图回答下列问题: (1) 护士每隔几小时给病人量一次体温? (2) 这位病人的最高体温是多少摄氏度?最低体温是多少摄氏度? (3) 他在4月8日12时的体温是多少摄氏度? (4) 图中的横线表示什么? (5) 从图中看,这位病人的病情是恶化还是好转?参 考答案: (1)由折线统计图可以看 出:护士每隔6小时给病人量一次体温; (2)这位病人的最高体温是39.5摄氏度,最低体温是36.8摄氏度; (3)他在4月8日12时的体温是37.5摄氏度; (4)图中的横线表示正常体温; (5)从图中看,这位病人的病情是好转了; 教学反思