当前位置:首页>文档>微专题同一函数学案——2023届高考数学一轮《考点·题型·技巧》精讲与精练_02高考数学_通用版(老高考)复习资料_2023年复习资料_一轮复习

微专题同一函数学案——2023届高考数学一轮《考点·题型·技巧》精讲与精练_02高考数学_通用版(老高考)复习资料_2023年复习资料_一轮复习

  • 2026-05-10 20:07:50 2026-04-15 08:20:18

文档预览

微专题同一函数学案——2023届高考数学一轮《考点·题型·技巧》精讲与精练_02高考数学_通用版(老高考)复习资料_2023年复习资料_一轮复习
微专题同一函数学案——2023届高考数学一轮《考点·题型·技巧》精讲与精练_02高考数学_通用版(老高考)复习资料_2023年复习资料_一轮复习
微专题同一函数学案——2023届高考数学一轮《考点·题型·技巧》精讲与精练_02高考数学_通用版(老高考)复习资料_2023年复习资料_一轮复习
微专题同一函数学案——2023届高考数学一轮《考点·题型·技巧》精讲与精练_02高考数学_通用版(老高考)复习资料_2023年复习资料_一轮复习
微专题同一函数学案——2023届高考数学一轮《考点·题型·技巧》精讲与精练_02高考数学_通用版(老高考)复习资料_2023年复习资料_一轮复习
微专题同一函数学案——2023届高考数学一轮《考点·题型·技巧》精讲与精练_02高考数学_通用版(老高考)复习资料_2023年复习资料_一轮复习
微专题同一函数学案——2023届高考数学一轮《考点·题型·技巧》精讲与精练_02高考数学_通用版(老高考)复习资料_2023年复习资料_一轮复习
微专题同一函数学案——2023届高考数学一轮《考点·题型·技巧》精讲与精练_02高考数学_通用版(老高考)复习资料_2023年复习资料_一轮复习
微专题同一函数学案——2023届高考数学一轮《考点·题型·技巧》精讲与精练_02高考数学_通用版(老高考)复习资料_2023年复习资料_一轮复习
微专题同一函数学案——2023届高考数学一轮《考点·题型·技巧》精讲与精练_02高考数学_通用版(老高考)复习资料_2023年复习资料_一轮复习
微专题同一函数学案——2023届高考数学一轮《考点·题型·技巧》精讲与精练_02高考数学_通用版(老高考)复习资料_2023年复习资料_一轮复习
微专题同一函数学案——2023届高考数学一轮《考点·题型·技巧》精讲与精练_02高考数学_通用版(老高考)复习资料_2023年复习资料_一轮复习
微专题同一函数学案——2023届高考数学一轮《考点·题型·技巧》精讲与精练_02高考数学_通用版(老高考)复习资料_2023年复习资料_一轮复习
微专题同一函数学案——2023届高考数学一轮《考点·题型·技巧》精讲与精练_02高考数学_通用版(老高考)复习资料_2023年复习资料_一轮复习
微专题同一函数学案——2023届高考数学一轮《考点·题型·技巧》精讲与精练_02高考数学_通用版(老高考)复习资料_2023年复习资料_一轮复习
微专题同一函数学案——2023届高考数学一轮《考点·题型·技巧》精讲与精练_02高考数学_通用版(老高考)复习资料_2023年复习资料_一轮复习
微专题同一函数学案——2023届高考数学一轮《考点·题型·技巧》精讲与精练_02高考数学_通用版(老高考)复习资料_2023年复习资料_一轮复习
微专题同一函数学案——2023届高考数学一轮《考点·题型·技巧》精讲与精练_02高考数学_通用版(老高考)复习资料_2023年复习资料_一轮复习
微专题同一函数学案——2023届高考数学一轮《考点·题型·技巧》精讲与精练_02高考数学_通用版(老高考)复习资料_2023年复习资料_一轮复习
微专题同一函数学案——2023届高考数学一轮《考点·题型·技巧》精讲与精练_02高考数学_通用版(老高考)复习资料_2023年复习资料_一轮复习
微专题同一函数学案——2023届高考数学一轮《考点·题型·技巧》精讲与精练_02高考数学_通用版(老高考)复习资料_2023年复习资料_一轮复习
微专题同一函数学案——2023届高考数学一轮《考点·题型·技巧》精讲与精练_02高考数学_通用版(老高考)复习资料_2023年复习资料_一轮复习
微专题同一函数学案——2023届高考数学一轮《考点·题型·技巧》精讲与精练_02高考数学_通用版(老高考)复习资料_2023年复习资料_一轮复习
微专题同一函数学案——2023届高考数学一轮《考点·题型·技巧》精讲与精练_02高考数学_通用版(老高考)复习资料_2023年复习资料_一轮复习
微专题同一函数学案——2023届高考数学一轮《考点·题型·技巧》精讲与精练_02高考数学_通用版(老高考)复习资料_2023年复习资料_一轮复习
微专题同一函数学案——2023届高考数学一轮《考点·题型·技巧》精讲与精练_02高考数学_通用版(老高考)复习资料_2023年复习资料_一轮复习
微专题同一函数学案——2023届高考数学一轮《考点·题型·技巧》精讲与精练_02高考数学_通用版(老高考)复习资料_2023年复习资料_一轮复习
微专题同一函数学案——2023届高考数学一轮《考点·题型·技巧》精讲与精练_02高考数学_通用版(老高考)复习资料_2023年复习资料_一轮复习
微专题同一函数学案——2023届高考数学一轮《考点·题型·技巧》精讲与精练_02高考数学_通用版(老高考)复习资料_2023年复习资料_一轮复习
微专题同一函数学案——2023届高考数学一轮《考点·题型·技巧》精讲与精练_02高考数学_通用版(老高考)复习资料_2023年复习资料_一轮复习
微专题同一函数学案——2023届高考数学一轮《考点·题型·技巧》精讲与精练_02高考数学_通用版(老高考)复习资料_2023年复习资料_一轮复习

文档信息

文档格式
docx
文档大小
1.219 MB
文档页数
27 页
上传时间
2026-04-15 08:20:18

文档内容

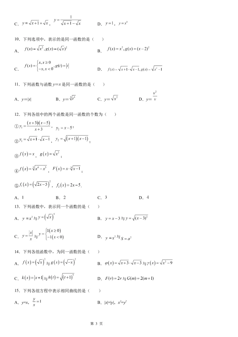
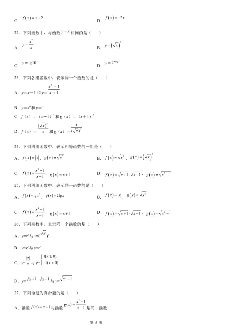
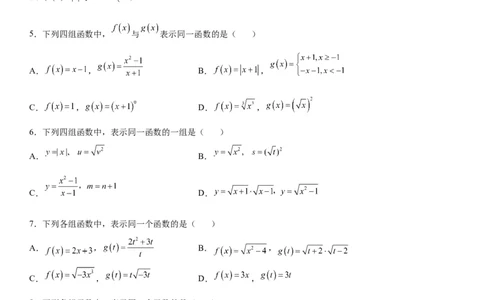
微专题:同一函数 【考点梳理】 判定两个函数是否为同一个函数,主要看 定义域 和 对应法则 (函数的值域可由定义域和对应关系唯一确定), 只有定义域与对应法则相同的函数才是同一个函数,与函数的自变量名称无关.(处理此类问题的关键是求出两个 函数的定义域,如果不同,则为不同函数,如果相同,再分析其解析式,经过等价变形后两个是否相同,不同则 是不同函数,相同则是相同的函数.) 注: 两个函数是否相同与自变量用什么字母表示无关. 【题型归纳】 题型一: 判断两个函数是否相等 1.下面各组函数中是同一函数的是( ) A. 与 B. 与 C. 与 D. 与 2.下列函数与 是同一个函数的是( ) A. B. C. D. 3.下列四组函数中,表示相同函数的一组是( ) A. , B. , C. , D. , 第 1 页 学学科科网网((北北京京))股股份份有有限限公公司司【双基达标】 4.下列各组函数 与 的图象相同的是( ) A. 与 B. 与 C. 与 D. 与 5.下列四组函数中, 与 表示同一函数的是( ) A. , B. , C. , D. , 6.下列四组函数中,表示同一函数的一组是( ) A. B. C. D. 7.下列各组函数中,表示同一个函数的是( ) A. , B. , C. , D. , 8.下列各组函数中,表示同一个函数的是( ) A. 与 B. 与 C. 与 D. 与 9.下列各组函数中,表示同一函数的是( ) A. , B. , 第 2 页 学学科科网网((北北京京))股股份份有有限限公公司司C. , D. , 10.下列选项中,表示的是同一函数的是( ) A. B. C. D. 11.下列函数与函数y=x是同一函数的是( ) A.y=|x| B.y= C.y= D.y= 12.下列各组中的两个函数是同一函数的个数为( ) ① , ; ② , ; ③ , ; ④ , ; ⑤ , . A. B. C. D. 13.下列函数中,表示同一个函数的是( ) A. 与 B. 与 C. 与 D. 与 14.下列各组函数中,为同一函数的是( ) A. 与 B. 与 C. 与 D. 与 15.下列各组方程中表示相同曲线的是( ) A.y=x, B.|x|=|y|,x2=y2 第 3 页 学学科科网网((北北京京))股股份份有有限限公公司司C. , D.y=x, 16.下列各组函数是同一函数的是( ) ① 与 .② 与 .③ 与 .④ 与 . A.①② B.①③ C.③④ D.①④ 17.下列函数与函数 相同的是( ) A. B. C. D. 18.下列函数中,与函数 相等的是( ) A. B. C. D. 19.下列四组函数中,表示同一函数的是( ) A.y=x﹣1与y B.y 与y C.y=|x|与y D.y=x与y 20.下列各组函数中,表示同一函数的是( ) A. , B. C. , D. , ,0, , , ,0, 【高分突破】 一、单选题 21.下列函数中,不满足 的是( ) A. B. 第 4 页 学学科科网网((北北京京))股股份份有有限限公公司司C. D. 22.下列函数中,与函数 相同的是( ) A. B. C. D. 23.下列各组函数中,表示同一个函数的是( ) A.y=x-1和y= B.y=x0和y=1 C.f(x)=(x-1)2和g(x)=(x+1)2 D.f(x)= 和g(x)= 24.下列四组函数中,表示相等函数的一组是( ) A. , B. , C. , D. , 25.下列四组函数中,表示同一函数的是( ) A. , B. , C. , D. , 26.下列函数中,表示同一个函数的是( ) A.y=x2与y=( )4 B.y=x2与y=t2 C.y= 与y= D.y= · 与y= 27.下列命题为真命题的是( ) A.函数 与函数 是同一函数 第 5 页 学学科科网网((北北京京))股股份份有有限限公公司司B.设 ,则“ ”是“ ”的必要而不充分条件 C.函数 的最小值为2 D.命题“ ”的否定是“ ” 二、多选题 28.下列各组函数是同一函数的是( ) A. 与 B. 与 C. 与 D. 与 29.下列各组函数是同一个函数的是( ) A. 与 B. 与 C. 与 D. 与 30.下列各组函数表示同一函数的是( ) A. , B. , C. , D. , 31.下列各组函数中表示同一个函数的是( ) A. , B. , C. , D. , 第 6 页 学学科科网网((北北京京))股股份份有有限限公公司司三、填空题 32.下列四个判断正确的是______(写出所有正确判断的序号.) ①函数 是奇函数,但不是偶函数; ②函数 与函数 表示同一个函数; ③已知函数 图象的一条对称轴为 ,则 的值为 ; ④设函数 ,若关于 的方程 有四个不同的解 ,且 ,则 的值为 . 33.已知函数 , ,若存在函数 满足: , 学生甲认为函数 一定是同一函数,乙认为函数 一定不是同一函数,丙认为函数 不一定是同一函数,观点正确的学生是_________. 34.下列各组函数是同一个函数的是______(填序号). ① 与 ; ② 与 ; ③ 与 . 35.下列各组中两函数相等的有____. ① ② ③ ④ 36.下列函数中,表示同一函数的是________. 第 7 页 学学科科网网((北北京京))股股份份有有限限公公司司(1) , ; (2) , ; (3) , ; (4) , . 37.有以下判断: (1) 与 表示同一函数. (2)函数 的图像与直线x=1的交点最多有1个. (3) 与 是同一函数. (4)若 ,则 (5) 则 其中错误判断的序号是 __________________________ . 四、解答题 38.判断下列各组中的两个函数是不是相同的函数 (1) , ; (2) , . 39.下列函数中哪个与函数 是同一个函数? (1) ;(2) ;(3) ;(4) . 40.判断下列各组函数是否为同一个函数: (1) ; (2) , ; (3) . 第 8 页 学学科科网网((北北京京))股股份份有有限限公公司司41.已知函数 和 ,设 . (1)求函数 ; (2)求 和 的值; (3)求 的值; (4)若函数 ,试判断 与 是否为同一函数,并说明理由. 42.判断下列各组中的函数是否为同一个函数,并说明理由: (1)表示炮弹飞行高度h与时间t关系的函数 和二次函数 ; (2) 和 . 第 9 页 学学科科网网((北北京京))股股份份有有限限公公司司参考答案 1.C 【解析】 【分析】 分别分析各个选项中函数的定义域,值域和对应关系,即可得出答案. 【详解】 A.函数的定义域为 , , 两个函数的对应法则不相同,不是同一函数, B. ,定义域为 ,函数的定义域不相同,不是同一函数 C.两个函数的定义域和对应法则相同,是同一函数 D.由 得 得 ,由 得 或 ,两个函数的定义域不相同,不是同一函数, 故选:C. 2.A 【解析】 【分析】 根据同一函数的定义判断. 【详解】 的定义域为R, A. ,且定义域为R,故正确; B. ,故错误; C. ,故错误; D. ,故错误; 故选:A 3.C 【解析】 【分析】 根据相同函数的判断原则进行定义域的判断即可选出答案. 【详解】 解:由题意得: 对于选项A: 的定义域为 , 的定义域为 ,所以这两个函数的定义域不同,不表 示相同的函数,故A错误; 对于选项B: 的定义域为 , 的定义域为 ,所以这两个函数的定义域不同,不表 示相同的函数,故B错误; 对于选项C: 的定义域为 , 的定义域为 ,这两函数的定义域相同,且对应关系也相 第 10 页同,所以表示相同的函数,故C正确; 对于选项D: 的定义域为 , 的定义域为 或 ,所以这两个 函数的定义域不同,不表示相同的函数,故D错误. 故选:C 4.D 【解析】 【分析】 若两个函数图象相同则是相等函数,分别求每个选项中两个函数的定义域和对应关系,即可判断是否为相同函数, 进而可得正确选项. 【详解】 对于A:由 可得 ,所以 的定义域为 ,由 可得: 或 ,所以 的定义域为 或 ,定义域不同不是相等函数,函数图象不相同,故选项A不正确; 对于B: 的定义域为 , 的定义域为 ,定义域不同不是相等函数,函数图象不相 同,故选项B不正确; 对于C: 的定义域为 , 的定义域为 ,定义域不同不是相等函数,函数图象不相同,故 选项C不正确; 对于D:对 去绝对值可得 ,所以 ,所以 与 函数图 象相同,故选项D正确; 故选:D. 5.B 【解析】 【分析】 根据函数的定义:判断定义域是否相同,定义域相同时,对应法则是否相同,由此可得结论. 【详解】 四个选项中函数 的定义域都是实数集 ,AC选项中函数 的定义域是 , D选项迥函数 定义域是 ,定义域不相同,不是同一函数, B选项 定义域是 ,根据绝对值的定义知对应法则也相同,是同一函数. 故选:B. 6.A 【解析】 【分析】 判断两函数的定义域与函数关系式是否一致即可; 【详解】 解: . 和 的定义域都是 ,对应关系也相同,是同一函数; 第 11 页的定义域为 , 的定义域为 , ,定义域不同,不是同一函数; 的定义域为 , 的定义域为 ,定义域不同,不是同一函数; 的定义域为 , 的定义域为 或 ,定义域不同,不是同一函数. 故选: . 7.D 【解析】 【分析】 根据定义域和对应关系是否一致一一判断即可. 【详解】 A. 的定义域为 , 的定义域为 ,定义域不同,不是同一个函数; B. 的定义域为 , 的定义域为 ,定义域不同,不是同一个函数; C. , ,对应关系不同,不是同一个函数; D. 和 的定义域和对应关系都相同,是同一个函数. 故选:D. 8.D 【解析】 【分析】 分别计算每个选项中两个函数的定义域和对应关系,定义域和对应关系都相同的是同一个函数,即可得正确选项. 【详解】 对于A: 定义域为 , 定义域为 ,定义域不同不是同一个函数,故选项A不正确; 对于B: 定义域为 , 的定义域为 ,定义域不同不是同一个函数,故选项B不正确; 对于C: 的定义域为 , 定义域为 ,定义域不同不是同一个函数,故选项C 不正确; 对于D:由 可得 ,解得: ,所以 的定义域为 ,由 可得 ,所以函数 的定义域为 且 ,所以两 个函数定义域相同对应关系也相同是同一个函数,故选项D正确, 故选:D. 9.C 【解析】 【分析】 根据相等函数的定义一一判断可得; 【详解】 第 12 页解:对于A: 定义域为 , 定义域也为 ,但是函数解析式不一致,故不是相等函数; 对于B: 定义域为 ,函数 定义域为 ,定义域不相同,故不是相等函数; 对于C:函数 的定义域为 ,函数 的定义域也为 ,且 ,即函数解析式一样,故是相等函数; 对于D: 的定义域为 , 的定义域为 ,定义域不相同,故不是同一函数, 故选:C 10.C 【解析】 【分析】 求得每个选项中不同函数的定义域,结合对应关系,即可容易判断. 【详解】 选项A:函数 的定义域为全体实数,而函数 的定义域为全体非负实数, 故这两个函数不是同一函数; 选项B:虽然两个函数的定义域和值域相同但是它们的对应关系不同, 故这两个函数不是同一函数; 选项C:根据绝对值性质可知: ,两个函数定义域和值域相同,对应关系也相同, 故这两个函数是同一函数; 选项D:函数 的定义域为 ,函数 的定义域为 或 }, 故这两个函数不是同一函数. 故选:C 【点睛】 本题考查函数相等的判断,属简单题. 11.B 【解析】 【分析】 通过分析四个选项中函数的定义域和对应关系可得答案. 【详解】 对于A, ,对应关系不同,与函数y=x不是同一函数; 对于B, ,与函数y=x的定义域和对应关系都相同,所以它们是同一函数; 对于C, ,对应关系不同,与函数y=x不是同一函数; 对于D, ,与函数y=x的定义域不同,所以与函数y=x不是同一函数. 第 13 页故选:B 12.A 【解析】 【分析】 求出①②③④⑤中两个函数的定义域,并化简函数解析式,利用函数相等的概念判断可得出结论. 【详解】 对于①,函数 的定义域为 ,函数 的定义域为 , 两个函数的定义域不同,①中的两个函数不是同一个函数; 对于②,对于函数 ,有 ,解得 , 对于函数 ,有 ,解得 或 , 函数 的定义域为 ,函数 的定义域为 ,两个函数的定义 域不同,②中的两个函数不是同一个函数; 对于③, ,两个函数对应法则不同,③中的两个函数不是同一函数; 对于④,函数 、 的定义域均为 , 且 ,④中的两个函数是同一个函数; 对于⑤,对于函数 ,有 ,可得 ,即函数 的定义域为 , 函数 的定义域为 ,两个函数的定义域不同,⑤中的两个函数不是同一个函数. 故选:A. 13.D 【解析】 【分析】 根据函数的定义,只有两个函数的定义域和对应法则相同,这两个函数才相同,由此对选项一一判断,即可得到 结果. 【详解】 对于 ,函数 的定义域为 ,函数 的定义域为 ,故选项 中的函数不是同一函数; 对于 ,函数 ,故对应法则不相同,故选项 中的函数不是同一函数; 对于 ,函数 的定义域为 ,函数 的定义域为 ,故选项 中的函数不是同一函数; 对于 ,这两个函数的定义域和对应法则都相同,故选项 为同一函数. 故选: . 14.C 【解析】 【分析】 第 14 页根据相等函数的概念依次判断选项即可. 【详解】 A: 的定义域为 , 的定义域为 ,故A中的两个函数不是同一函数; B: 的定义域为 , 的定义域为 ,故B中的两个函数不是同一函数; C: ,定义域为R, 的定义域为R,故C中的两个函数是同一函数; D: 与 的解析式不同.所以D中的两个函数不是同一函数. 故选:C. 15.B 【解析】 【分析】 结合所给的解析式逐一考查所给的曲线是否相同即可. 【详解】 逐一考查所给的选项: A选项中, 包含坐标原点 , 中不包含坐标原点 ,不是同一条曲线; B选项中的方程表示同一条曲线; C选项中, 包含点(-2,-2), 不包含点(-2,-2),不是同一条曲线; D选项中, 包含点(-1,-1), 中不包含坐标原点(-1,-1),不是同一条曲线. 故选:B. 16.C 【解析】 【分析】 根据函数的概念可知同一函数需满足定义域和对应关系均相同,因此结合题目逐个分析即可得到结果. 【详解】 对于①, 的定义域为 , 的定义域为 ,所以 ,则 与 的定义域相同,但对应关系不同,则不是同一函数; 对于② ,所以 与 的对应关系不同,则不是同一函数; 对于③ 的定义域为 , 的定义域为 ,且 , ,因此函数 与 的定义域和对应关系均相同,则是同一函数; 第 15 页对于④ 的定义域为 , 的定义域为 ,因此函数 与 的定义域和对应关系均相同,则是同一函数; 故选:C. 17.B 【解析】 【分析】 根据两个函数的定义域相同,对应关系也相同,即可判断它们是相同函数. 【详解】 解:对于A,函数 , ,与函数 , 的对应关系不同,不是相同函数; 对于B,函数 , ,与函数 , 的定义域相同,对应关系也相同,是相同函数; 对于C,函数 , ,与函数 , 的定义域不同,不是相同函数; 对于D,函数 , ,与函数 , 的对应关系不同,不是相同函数. 故选:B. 18.B 【解析】 【分析】 函数相等需满足定义域,解析式,值域均相等,结合选项逐个分析即可. 【详解】 A: ,所以不相等; B: ,所以相等; C: ,因为定义域不同,所以不相等; D: ,因为定义域不同,所以不相等. 故选:B. 19.C 【解析】 【分析】 根据同一函数的定义,结合二次根式的性质进行逐一判断即可. 【详解】 解:对于A,y=x﹣1的定义域为R,y |x﹣1|的定义域为R,两函数的对应关系不同,不是同一函数; 对于B,y x+1的定义域为R,y x+1的定义域为(﹣1,+∞),两函数的定义域不同,不 是同一函数; 对于C,y=|x|的定义域为R,y |x|的定义域为R,两函数定义域相同,对应关系也相同,是同一函数; 第 16 页对于D,y=x的定义域为R,y x的定义域为(﹣∞,0)∪(0,+∞),两函数的定义域不同,不是同一函 数. 故选:C 20.D 【解析】 【分析】 根据函数的定义域和同一函数的定义逐一判断可得选项. 【详解】 解:对于A: 的定义域是 , 的定义域是 ,两个函数的定义域不相同,不是同一函数, 对于B: , , 的定义域是 ,两个函数的定义域不相同,不是同一函数, 对于C: 的定义域为 , 的定义域是 ,两个函数的定义域不相同,不是同一函数, 对于D: 对应点的坐标为 , , , 对应点的坐标为 , , ,两个函数对应坐 标相同,是同一函数, 故选:D. 21.C 【解析】 【分析】 根据选项,代入分别求 ,判断是否满足 . 【详解】 若 ,则 ,故A满足; 若 ,则 ,故B满足; 若 ,则 ,而 ,故 不满足 ,故C不满足; 若 ,则 ,故D满足; 故选:C. 【点睛】 本题考查函数解析式,复合函数解析式的求法,属于基础题型. 22.C 【解析】 【分析】 根据函数的定义判断.注意对数函数的性质. 【详解】 解:由题意,函数 的定义域为 . 对于A: 定义域为 他们的定义域不相同,∴不是同一函数; 第 17 页对于B: 定义域为 他们的定义域不相同,∴不是同一函数; 对于C: ,定义域为 ,他们的定义域相同,对应关系也相同,∴是同一函数; 对于D: 定义域为 ,他们的定义域不相同,∴不是同一函数; 故选:C. 23.D 【解析】 【分析】 根据函数的定义域、对应关系可逐项判断可得答案. 【详解】 y=x-1的定义域为 ,y= 的定义域为 ,函数定义域不同,A错误; y=x0的定义域为 ,y=1的定义域为 ,函数定义域不同,B错误; f(x)=(x-1)2和g(x)=(x+1)2的定义域都为 ,但是两函数的对应关系不同,故C错误; f(x)= 的定义域为 ,g(x)= 的定义域为 ,故D正确. 故选:D. 24.A 【解析】 【分析】 依次判断每个选项中两个函数的定义域和解析式是否完全相同,由此可得结果. 【详解】 对于A, 与 定义域均为 , , 与 为相等函数,A正确; 对于B, 定义域为 , 定义域为 , 与 不是相等函数,B错误; 对于C, 定义域为 , 定义域为 , 与 不是相等函数,C错误; 对于D, 定义域为 , 定义域为 , 与 不是相等函数,D错误. 故选:A. 25.B 【解析】 【分析】 根据函数的定义域与对应法则判断. 【详解】 A中 定义域是 , 定义域是 ,定义域不相同,不是同一函数; B中两个函数定义域都是 ,对应法则都是取绝对值,是同一函数; C中 定义域是 , 定义域是 ,定义域不相同,不是同一函数; D中 定义域是 , 定义域是 或 ,定义域不相同,不是同一函数. 第 18 页故选:B. 26.B 【解析】 【分析】 用函数三要素判断. 【详解】 对于A:y=x2的定义域为R,y=( )4的定义域为[0,+∞),定义域不同,不是同一个函数; 对于B:y=x2与y=t2显然是同一个函数; 对于C: y= 的定义域为{x|x≠0}, 的定义域为R,定义域不同,不是同一个函数; 对于D:y= · 的定义域为[1,+∞),y= 的定义域为(-∞,-1]∪[1,+∞),定义域不同,不是同一个函 数. 故选:B. 27.B 【解析】 【分析】 分析函数定义域判断A;利用充分条件、必要条件定义判断B;利用对勾函数性质计算判断C;利用全称量词命题 的否定判断D作答. 【详解】 对于A, 的定义域为R, 的定义域为 ,A不正确; 对于B,解不等式 得, ,有  ,则“ ”是“ ”的必要而不充分条件, B正确; 对于C,令 ,函数 在 上递增, ,因此 ,C不正确; 对于D,命题“ ”的否定是“ ”,D不正确. 故选:B 28.CD 【解析】 【分析】 根据同一函数的概念,逐一分析各个选项,即可得答案. 【详解】 对于A:函数 的定义域为 ,函数 定义域为R,两函数定义域不同,故不是同一函数; 对于B:函数 定义域为R,化简可得 ,与 解析式不同,故不是同一函数; 对于C:函数 定义域为 ,化简可得 ,函数 定义域为 ,化简可得 ,故为同一函数; 第 19 页对于D:函数 定义域为R,化简可得 ,与 为同一函数. 故选:CD 29.AB 【解析】 【分析】 分别判断每组函数的定义域和对应关系是否相同即可. 【详解】 A中, ,定义域为 ,与 的定义域及对应关系均相同,是同一个函数; B中, ,定义域为R,与 的定义域及对应关系均相同,是同一个函数; C中, 的定义域为 ,而 的定义域为R,所以不是同一个函数; D中, 的定义域为 或 ,而 的定义域为 ,所以不是 同一个函数. 故选:AB. 30.AC 【解析】 【分析】 根据函数的定义判断. 【详解】 A中 定义域是 , 定义域是 ,且 ,是同一函数; B中 定义域是 , 定义域是 ,但 ,不是同一函数; C中 定义域是 , 定义域是 ,且 ,是同一函数; D中 定义域是 , 定义域是 ,不是同一函数. 故选:AC. 31.AB 【解析】 【分析】 确定函数的定义域与对应法则是否相同即可判断. 【详解】 A中两个函数定义域都是 ,对应法则都是乘以2后取绝对值,是同一函数; B中两个函数定义域都是 ,对应法则都是取平方,是同一函数; C中 定义域是 , 的定义域是 ,不是同一函数; D中 的定义域是 , 的定义域是 ,不是同一函数. 故选:AB. 第 20 页32.②③ 【解析】 直接利用函数的性质的应用,三角函数关系式的恒等变换正弦型函数性质的应用,对数函数的性质的应用,函数 的图象的应用求出结果. 【详解】 解:①函数 ,由于 , ,所以该函数既是奇函数,又是偶函数,故①错误; ②函数 与函数 ,所以这两个函数表示同一个函数,故②正确; ③已知函数 图象的一条对称轴为 , ∴ 为函数 的最大值或最小值, ∴ ,解得 ,故③正确; ④设函数 ,若关于 的方程 有四个不同的解 , , , ,且 , 根据函数的图象: 所以 ,故 , 由于 , ,整理得 , 则 的值为 ,故④错误; 故答案为:②③. 【点睛】 本题主要考查的知识要点有:函数的性质的应用,三角函数关系式的恒等变换正弦型函数性质的应用,对数函数 的性质的应用,函数的图象的应用,主要考查学生的运算能力和转换能力及思维能力,属于中档题. 33.甲 【解析】 【分析】 由题意求出 的解析式,依据两函数为同一函数的条件:定义域和对应关系相同,即可得出结论. 【详解】 , , 第 21 页, , , , 解得 , 所以 . 故答案为:甲 【点睛】 本题主要考查两函数为同一函数的条件:定义域和对应关系相同;正确求出两函数的解析式和定义域是求解本题 的关键;属于易错题; 34.② 【解析】 【分析】 分别判断两个函数的定义域和对应关系是否相同即可. 【详解】 , ,对应关系不同,故 与 不是同一个函数; ( ), ( ),对应关系与定义域均相同,故是同一个函数; , ,对应关系不同,故 与 不是同一个函数. 故答案为:② 35.④ 【解析】 分别看 的定义域和解析式是否相同即可. 【详解】 对于①, 的定义域都为 ,但解析式不一样,故不相等; 对于②, 的定义域为 , 的定义域为 ,故不相等; 对于③, 的定义域为 , 的定义域为 ,故不相等; 对于④, 的定义域都为 ,且解析式可化为一样,故相等; 故答案为:④ 36.(1) 【解析】 第 22 页根据两函数的定义域与对应法则是否相同,即可判断两个函数是否相同,对选项进行逐一判断.. 【详解】 解:(1) , ,函数的定义域相同,对应法则相同,所以是相同的函数. (2) 的定义域是 , 的定义域是 ;两个函数的定义域不相同,所以不是相同的函 数. (3) 的定义域是 , 的定义域是 ,两个函数的定义域不相同,所以不是相同 的函数; (4) 的定义域是 , 的定义域是 ,两个函数的定义域不 相同,所以不是相同的函数. 故答案为: (1) 37.(1), (4), (5). 【解析】 【分析】 根据相同函数的定义,判断(1)(3)是否正确.根据函数的定义判断(2)是否正确.根据函数值的求法,判断 (4)是否正确.根据对数运算以及对数的性质,判断(5)是否正确. 【详解】 对于(1), 的定义域为 , 的值域为 ,故不是同一函数,(1)判断错误. 对于(2),根据函数的定义可知(2)正确. 对于(3),由于 、 的定义域、值域和对应关系都相同,所以是同一函数,故(3)正确. 对于(4), ,故(4)错误. 对于(5),显然,当 时, ,所以(5)错误. 故答案为:(1), (4), (5) 【点睛】 本小题主要考查函数的定义,考查相同函数的概念,考查函数值的求法,考查对数函数的性质,属于基础题. 38.(1)不是相同的函数(2)不是相同的函数 【解析】 【分析】 (1)分别计算两个函数定义域,判断不相同,得到答案. (2)分别计算两个函数定义域,判断不相同,得到答案. 【详解】 (1) 的定义域为 ,而 的定义域为R两函数定义域不同,所以不是相同 的函数. (2) 的定义域为 ,而 的定义域为 ,两函数的定义域不 第 23 页同,所以两函数不是相同的函数. 【点睛】 本题考查了相同函数,判断定义域是解题的关键. 39.(1)不是同一个函数;(2)同一个函数;(3)不是同一个函数;(4)不是同一个函数. 【解析】 根据函数相同概念,需满足定义域、值域、对应法则相同即可,据此依次判断每个函数是否与已知函数相等即可. 【详解】 (1) , 它与函数 虽然对应关系相同, 但是定义域不相同, 所以这个函数与函数 不是同一个函数. (2) , 它与函数 不仅对应关系相同, 而且定义域也相同, 所以这个函数与函数 是同一个函数. (3) 它与函数 的定义域都是实数集R, 但是当 时,它的对应关系与函数 不相同. 所以这个函数与函数 不是同一个函数. (4) , 它与函数 的对应关系相同但定义域不相同. 所以这个函数与函数 不是同一个函数. 【点睛】 本题考查判断两个函数是否为同一函数,构成函数的三要素中,定义域和对应法则相同,则值域一定相同.因此, 两个函数当且仅当定义域和对应法则相同时,是相同函数.如果定义域、值域、对应法则有一个不同,函数就不 同,属于基础题. 40.(1)不是;(2)是;(3)不是 【解析】 当一组函数定义域与对应关系均相同时即为同一函数,以此为依据进行判断即可 【详解】 (1)因为 的定义城为 ,而 的定义城为R,所以 与 不是同一个函数; (2)因为 与 的定义域均为R,所以定义域相同, 第 24 页又 ,所以 与 是同一个函数; (3)因为 与 的定义城均为R,所以定义域相同, 又 ,所以 与 不是同一个函数 【点睛】 本题考查同一函数问题,属于基础题 41.(1) ;(2) ; 不存在;(3)当 时, ;当 时, 不存在;(4) 和 不是同一函数,详见解析. 【解析】 【分析】 (1)先由 的定义域可得 的定义域,然后求解 ; (2)把 代入 可得 , 没有意义; (3)分类讨论 与 定义域的关系,可得 的值; (4)从定义域和解析式的特征进行判定. 【详解】 (1) . ∵ 的定义域为 的定义域为 , ∴ 的定义域为 与 的定义城的交集,即 . ∴ . (2)∵ ,∴ . ∵ ,∴ 不存在. (3)当 时,即当 时, ; 当 时,即当 时, 不存在. (4) 和 ,虽然函数解析式相同,但是定义域不同,前者定义域R,后者定义域为 . 所以 和 不是同一函数. 第 25 页【点睛】 本题主要考查函数的解析式及定义域,同一函数的判定等,函数定义域是函数不可缺失的一部分,求解时应该遵 循定义域优先的策略,侧重考查数学抽象的核心素养. 42.(1)不相等,理由见解析;(2)不相等,理由见解析. 【解析】 分别判断函数定义域和对应法则是否相同,相同则为同一函数,不同则不是同一函数. 【详解】 (1)不相等,前者的定义域为 ,而后者的定义域为R. (2)不相等,前者的定义域为R,而后者的定义域为 . 【点睛】 本题考查判断两个函数是否为同一函数,两个函数当且仅当定义域和对应法则相同时,是相同函数,如果定义域、 值域、对应法则有一个不同,函数就不同,注意 中 ,属于基础题. 第 26 页第 27 页