当前位置:首页>文档>热点专题2-5对数与对数函数12类题型(解析版)--2025年高考数学热点题型追踪与重难点专题突破(新高考专用)_2025年新高考资料_二轮复习

热点专题2-5对数与对数函数12类题型(解析版)--2025年高考数学热点题型追踪与重难点专题突破(新高考专用)_2025年新高考资料_二轮复习

  • 2026-04-15 14:09:02 2026-04-15 14:09:02

文档预览

热点专题2-5对数与对数函数12类题型(解析版)--2025年高考数学热点题型追踪与重难点专题突破(新高考专用)_2025年新高考资料_二轮复习
热点专题2-5对数与对数函数12类题型(解析版)--2025年高考数学热点题型追踪与重难点专题突破(新高考专用)_2025年新高考资料_二轮复习
热点专题2-5对数与对数函数12类题型(解析版)--2025年高考数学热点题型追踪与重难点专题突破(新高考专用)_2025年新高考资料_二轮复习
热点专题2-5对数与对数函数12类题型(解析版)--2025年高考数学热点题型追踪与重难点专题突破(新高考专用)_2025年新高考资料_二轮复习
热点专题2-5对数与对数函数12类题型(解析版)--2025年高考数学热点题型追踪与重难点专题突破(新高考专用)_2025年新高考资料_二轮复习
热点专题2-5对数与对数函数12类题型(解析版)--2025年高考数学热点题型追踪与重难点专题突破(新高考专用)_2025年新高考资料_二轮复习
热点专题2-5对数与对数函数12类题型(解析版)--2025年高考数学热点题型追踪与重难点专题突破(新高考专用)_2025年新高考资料_二轮复习
热点专题2-5对数与对数函数12类题型(解析版)--2025年高考数学热点题型追踪与重难点专题突破(新高考专用)_2025年新高考资料_二轮复习
热点专题2-5对数与对数函数12类题型(解析版)--2025年高考数学热点题型追踪与重难点专题突破(新高考专用)_2025年新高考资料_二轮复习
热点专题2-5对数与对数函数12类题型(解析版)--2025年高考数学热点题型追踪与重难点专题突破(新高考专用)_2025年新高考资料_二轮复习
热点专题2-5对数与对数函数12类题型(解析版)--2025年高考数学热点题型追踪与重难点专题突破(新高考专用)_2025年新高考资料_二轮复习
热点专题2-5对数与对数函数12类题型(解析版)--2025年高考数学热点题型追踪与重难点专题突破(新高考专用)_2025年新高考资料_二轮复习
热点专题2-5对数与对数函数12类题型(解析版)--2025年高考数学热点题型追踪与重难点专题突破(新高考专用)_2025年新高考资料_二轮复习
热点专题2-5对数与对数函数12类题型(解析版)--2025年高考数学热点题型追踪与重难点专题突破(新高考专用)_2025年新高考资料_二轮复习
热点专题2-5对数与对数函数12类题型(解析版)--2025年高考数学热点题型追踪与重难点专题突破(新高考专用)_2025年新高考资料_二轮复习
热点专题2-5对数与对数函数12类题型(解析版)--2025年高考数学热点题型追踪与重难点专题突破(新高考专用)_2025年新高考资料_二轮复习
热点专题2-5对数与对数函数12类题型(解析版)--2025年高考数学热点题型追踪与重难点专题突破(新高考专用)_2025年新高考资料_二轮复习
热点专题2-5对数与对数函数12类题型(解析版)--2025年高考数学热点题型追踪与重难点专题突破(新高考专用)_2025年新高考资料_二轮复习
热点专题2-5对数与对数函数12类题型(解析版)--2025年高考数学热点题型追踪与重难点专题突破(新高考专用)_2025年新高考资料_二轮复习
热点专题2-5对数与对数函数12类题型(解析版)--2025年高考数学热点题型追踪与重难点专题突破(新高考专用)_2025年新高考资料_二轮复习
热点专题2-5对数与对数函数12类题型(解析版)--2025年高考数学热点题型追踪与重难点专题突破(新高考专用)_2025年新高考资料_二轮复习
热点专题2-5对数与对数函数12类题型(解析版)--2025年高考数学热点题型追踪与重难点专题突破(新高考专用)_2025年新高考资料_二轮复习
热点专题2-5对数与对数函数12类题型(解析版)--2025年高考数学热点题型追踪与重难点专题突破(新高考专用)_2025年新高考资料_二轮复习
热点专题2-5对数与对数函数12类题型(解析版)--2025年高考数学热点题型追踪与重难点专题突破(新高考专用)_2025年新高考资料_二轮复习
热点专题2-5对数与对数函数12类题型(解析版)--2025年高考数学热点题型追踪与重难点专题突破(新高考专用)_2025年新高考资料_二轮复习
热点专题2-5对数与对数函数12类题型(解析版)--2025年高考数学热点题型追踪与重难点专题突破(新高考专用)_2025年新高考资料_二轮复习
热点专题2-5对数与对数函数12类题型(解析版)--2025年高考数学热点题型追踪与重难点专题突破(新高考专用)_2025年新高考资料_二轮复习
热点专题2-5对数与对数函数12类题型(解析版)--2025年高考数学热点题型追踪与重难点专题突破(新高考专用)_2025年新高考资料_二轮复习
热点专题2-5对数与对数函数12类题型(解析版)--2025年高考数学热点题型追踪与重难点专题突破(新高考专用)_2025年新高考资料_二轮复习
热点专题2-5对数与对数函数12类题型(解析版)--2025年高考数学热点题型追踪与重难点专题突破(新高考专用)_2025年新高考资料_二轮复习
热点专题2-5对数与对数函数12类题型(解析版)--2025年高考数学热点题型追踪与重难点专题突破(新高考专用)_2025年新高考资料_二轮复习

文档信息

文档格式
docx
文档大小
1.590 MB
文档页数
27 页
上传时间
2026-04-15 14:09:02

文档内容

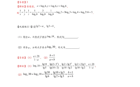
热点专题 2-5 对数与对数函数 近5年考情(2020-2024) 考题统计 考点分析 考点要求 2024年II卷第8题,5分 从近四年的高考情况来看, 2024年北京卷第7题,4分 对数运算与对数函数是高考 的一个重点也是一个难点, 2024年天津卷第5题,5分 常与二次函数、幂函数、指 (1)对数的概念及运算性 2023年北京卷第11题,5分 质 数函数、三角函数综合,考 (2)对数函数的图象 2023年I卷第10题,5分 查数值大小的比较和函数方 (3)对数函数的性质 程问题.在利用对数函数的图 2022年I卷I卷第7题,5分 像与性质应用上,体现了逻 2022年浙江卷第7题,5分 辑推理与数学运算素养. 模块一 热点题型解读(目录) 【题型1】指数对数混合运算 【题型2】换底公式的应用 【题型3】 对数函数的图象及应用 【题型4】对数函数过定点问题 【题型5】指对幂比较大小 【题型6】解对数方程或不等式 【题型7】对数函数模型的实际应用 【题型8】对数型复合函数的单调问题 【题型9】对数型复合函数的最值与值域问题 【题型10】对数型复合函数的奇偶性问题 【题型11】反函数问题 【题型12】对数函数的综合问题 模块二 核心题型·举一反三 【题型1】指数对数混合运算1、对数计算公式 (1)同底对数加减运算: ; (2)底数和真数是乘方数时: (3)对数恒等式: 1 log b= (4)倒数式: a log a b 2、对数运算的常用技巧 (1)在对数运算中,先利用幂的运算把底数或真数进行变形,化成分数指数幂的形式,使幂的底数最 简,然后用对数运算法则化简合并. (2)先将对数式化为同底数对数的和、差、倍数运算,然后逆用对数的运算法则,转化为同底对数真 数的积、商、幂再运算. (3)指对互化: (a>0,且a≠1)是解决有关指数、对数问题的有效方法,在运算 中应注意互化. 1.化简下列各式: (1) ; (2) . 【解析】(1)原式 . (2)原式 . 【巩固练习1】化简 的值为( ) A. B. C. D.-1 【答案】A 【解析】 【巩固练习2】求值(1) (2) (3) (4) 【答案】(1) ;;(2)0;;(3)3;;(4)13 【解析】(1)原式= ; (2)原式= = ; (3)原式= ; (4)原式 . 【题型2】换底公式的应用 log b 换底公式: log b= c (a>0,且a 1;c>0,且c 1;b>0). a log a c ¿ ¿ 2.已知 , ,则 (用 , 表示) 【答案】 【解答】解:因为 , , 所以 , , , 所以 . 故答案为: . 3.已知 , ,则 .(用 表示) 【答案】【解析】因为 ,所以 , 又 ,所以 . 4.已知 ,则 . 【答案】3 【解析】依题意, , 则 . 【巩固练习1】设 , , (1)用含 , 的式子表示 ,形式为___________. (2)用含 , 的式子表示 ,形式为___________. 【答案】(1) ,(2) 【解析】(1) ; (2) 【巩固练习2】设 ,求 的值. 【解答】依题意有 , , ,【题型3】 对数函数的图象及应用 对数函数的图象(底大图低) a>1 0<a<1 图象 定义域 (0,+∞) 值域 R 过定点 过定点(1,0),即x=1时,y=0 性质 当0<x<1时,y<0; 当0<x<1时,y>0; 函数值的变化 当x>1时,y>0 当x>1时,y<0 单调性 是(0,+∞)上的增函数 是(0,+∞)上的减函数 方法技巧:对于有关对数型函数的图象问题,一般是从最基本的对数函数的图象入手,通过伸缩、 平移、对称等变换得到,当 时,对数函数的图像呈上升趋势;当 时,对数函数的图 像呈下降趋势. 5.已知函数① y=logax;② y=logbx;③ y=logcx;④ y=logdx的大致图象如图所示,则下列 不等关系正确的是( ) A.a+c<b+a B.a+d<b+c C.b+c<a+d D.b+d<a+c 【答案】A 【解析】解析:由已知可得b>a>1>d>c,则a+b>a+c,b+d>a+c,故A正确,D错误;又 a+d与b+c的大小不确定,故B,C错误.故选A. 6.函数 的图象是( ) A. B.C. D. 【答案】B 【分析】先根据函数的奇偶性排除部分选项,再根据函数值的正负确定. 【详解】解: , 因为 , 所以 是偶函数,故排除AD, 当 时,令 ,得 或 , 当 或 时, ,当 时, 7.已知函数f(x)=ln(x+a)的图象不经过第四象限,则a的取值范围是( ) A.(0,1) B.(0, ) C.(0,1] D.[1,+∞) 【答案】D 【解析】 的图象是由 的图象向左平移 个单位所得. 的图象过 点,函数为增函数,因此 .故选:D. 【巩固练习1】(多选题)(2024·河南信阳·模拟预测)函数 的大致图象 不可能为( ) A. B. C. D. 【答案】BCD 【解析】函数 的定义域为 , 因为 ,所以函数 为偶函数, 当 时, 为减函数,且过定点 ,故函数 的大致图象不可能为BCD选项. 【巩固练习2】已知函数 ( 且 , , 为常数)的图象如图,则下列结 论正确的是( ) A. , B. , C. , D. , 【答案】D 【解析】因为函数 为减函数,所以 又因为函数图象与 轴的交点在正半轴,所以 ,即 又因为函数图象与 轴有交点,所以 ,所以 ,故选:D 【巩固练习3】已知函数 ,若 且 ,则 的取值范围为 . 【答案】 【解析】画出 的图象如图: ∵ ,且 , ∴ 且 , , ∴ ,即 ,∴ , , 由图象得 在 上为减函数, ∴ , ∴ 的取值范围是 . 故答案为: .【题型4】对数函数过定点问题 对数函数过定点(1,0),即x=1时,y=0; 函数 过定点 8.函数 ( 且 )的图象必经过一个定点,则这个定点的坐标是( ) A. B. C. D. 【答案】C 【解析】因为对数函数 ( 且 )恒过定点 , 所以函数 ( 且 )的图象必过定点 . 9.(2024·安徽安庆·模拟预测)已知函数 恒过定点 ,则 的最小值为( ). A. B. C.3 D. 【答案】A 【解析】由题意可知 , 则 , 当且仅当 , 时, 的最小值为 【巩固练习1】已知函数f(x)=1+log (2x−3)(a>0,a≠1)恒过定点(m,n),则m+n=( ) a A.1 B.2 C.3 D.4 【解题思路】令2x−3=1,即可求解f(x)恒过定点(2,1),进而求解. 【解答过程】令2x−3=1,解得x=2,此时f(2)=1+log 1=1, a所以f(x)恒过定点(2,1),则m=2,n=1, 所以m+n=3. 【巩固练习2】已知直线 经过函数 图象过的定点(其中 均大于 0),则 的最小值为( ) A.2 B.3 C.4 D.5 【答案】C 【解析】因为 ,所以函数 图象过的 定点为 , 将其代入直线方程 得 ,即 , 又 , 所以 , 当且仅当 即 时,等号成立,故 有最小值4. 【巩固练习3】函数 ( 且 )的图象恒过定点 ,若 且 , ,则 的最小值为( ) A.9 B.8 C. D. 【答案】B 【解析】当 时, , 所以,函数 过定点 ,得 , 所以, , 因为 , , 所以, , 当且仅当 ,即 时,等号成立, 所以, 的最小值为8.【题型5】指对幂比较大小 1、常规法:比较大小问题,常利用函数的单调性及中间值法. 2、当底数和真数的差或倍数一样时, 可以考虑拆出一个1 例1: 和 (倍数一致) 简析: ; ,由图像可知 例2: 和 (差一致) 简析: ; ,由图像可知 10.设 , , ,则( ) A. B. C. D. 【答案】C 【解析】∵ , , 则 11.设 ,则( ) A. B. C. D. 【答案】D 【解析】因为 , , , 又由对数函数的性质:当 时,底数越大,图像越低,可得 , 所以 ,故选: D. 【巩固练习1】(2024·天津·二模)设 ,则 的大小关系为( ) A. B. C. D. 【答案】C 【解析】 , ,, , . 【巩固练习2】已知 , , ,则 , , 的大小关系是 A. B. C. D. 【解答】解: , , , 则 , , 的大小关系为 【巩固练习3】已知 , , ,则 A. B. C. D. 【 解 答 】 解 : 由 对 数 运 算 公 式 得 , , , ,易知 , . 故选: . 【巩固练习4】设 , , ,则( ) A. B. C. D. 【答案】D 【分析】先根据函数单调性得到 , ,对 利用换底公式变形后作差,结合基本不 等式,得到 ,从而得到答案. 【详解】因为 单调递减,所以 , 又 与 均单调递增,故 , , 其中 , , ,其中 ,故 , 其中 ,故 , 所以 ,即 ,故 . 【题型6】解对数方程或不等式 【方法技巧】 ( 1 ) 对 于 形 如 的 形 式 , 利 用 转 化 ; 对 于 形 如 的形式,可借助换元法转化为二次方程求解. (2)解对数不等式,也是利用对数函数的单调性将不等式转化为比较真数之间的不等式,再解这 个不等式即可. 12.方程 的解为________ 【答案】 【解析】方程 ,化为:x 13.设 ,则 的取值范围是( ) A. B. C. D. , 【答案】C 【解析】由 ,得: ,因为 ,所以 ,取交集得: . 所以 的取值范围是 ,故选:C. 14.不等式 的解集为 . 【答案】 【解析】设函数 , 则应有 ,解得 ,所以, 定义域为 .又 , 所以,由 ,可得 . 因为 以及 均在 上单调递增, 所以, 在 上单调递增,所以, . 综上所述, .所以,不等式的解集为 . 【巩固练习1】方程 的解是( ) A.1 B.2 C.e D.3 【答案】D 【解析】∵ ,∴ ,∴ . 【巩固练习2】已知 ,则 的值为____. 【答案】 【解析】由 ,得 ,所以 , 即 ,所以 , ,所以 . 【巩固练习3】若实数x满足不等式 ,则实数x的取值范围是______. 【答案】 【解析】 , ,解得 或 . 【巩固练习4】已知实数 ,且满足不等式 ,则不等式 的解 集为________. 【答案】 【 解 析 】 因 为 , 所 以 , 而 , 则 , 于 是. 【题型7】对数函数模型的实际应用 对数函数应用题的基本类型和求解策略 (1)基本类型:有关对数函数的应用题一般都会给出函数的解析 式,然后根据实际问题求解. (2)求解策略:首先根据实际情况求出函数解析式中的参数,或给出具体情境,从中提炼出数据,代 入解析式求值,然后根据数值回答其实际意义. 15.如果光线每通过一块玻璃其强度要减少10%,那么至少需要将 块这样的玻璃重叠 起来,才能使通过它们的光线强度低于原来的0.5倍.(参考数据: .) 【答案】 【分析】构造不等式 ,利用对数运算法则解不等式可求得结果. 【详解】假设需要 块这样的玻璃,则 , , , 至少需要7块这样的玻璃重叠起来,才能使通过它们的光线强度低于原来的 . 16.为了保障交通安全,某地根据《道路交通安全法》规定:汽车驾驶员血液中的酒精含量不得超 过 .据仪器监测,某驾驶员喝了二两白酒后,血液中的酒精含量迅速上升到 ,在停止喝酒后,血液中每小时末的酒精含量都比上一个小时末减少 .那么此 人在开车前至少要休息 (参考数据: , A.4.1小时 B.4.2小时 C.4.3小时 D.4.4小时 【解答】解:设经过 小时,血液中的酒精含量为 , 则 , 由 ,得 ,则 , 因为 ,所以 , 所以开车前至少要休息4.2小时 【巩固练习1】把物体放在冷空气中冷却,如果物体原来的温度是 ,空气的温度是 ,经过 分钟后物体的温度 可由公式: 求得.其中 是一个随着物体与空气的接触 状况而定的大于0的常数.现有 的物体,放在 的空气中冷却,5分钟以后物体的温度是 ,则 约等于 (参考数据: A.0.22 B.0.27 C.0.36 D.0.55 【解答】解:由题意可得, , , ,即 , . 【巩固练习2】2008年我国人口总数为14亿,如果人口的自然年增长率控制在1.25%,则 年我国人口将超过20亿.( , , ) 【答案】2037 【分析】根据条件,列出不等式,再利用对数运算解不等式即可. 【详解】 由题意,列方程得: .∴ , ∴ 【巩固练习3】我们可以把 看作每天的"进步”率都是1%,一年后是 ;而把 看作每天的“落后”率都是1%,一年后是 .利用计算工具计算并回答下列问题: (1)一年后“进步”的是“落后”的多少倍? (2)大约经过多少天后“进步”的分别是“落后”的10倍、100倍、1000倍?【解析】(1) . ∴一年后“进步”的大约是“落后”的 倍 (2)由 得 ∴大约经过 天“进步”的是“落后”的 倍. 由 得 . ∴大约经过 天“进步”的是“落后”的 倍. 由 得 解得 ∴大约经过 天“进步”的是“落后”的 倍. 【题型8】对数型复合函数的单调问题 对数型复合函数的单调问题 1、模板解决思路:判断复合函数单调性的原则是“同增异减”. 2、模板解决步骤 第一步:求函数的定义域. 第二步:将函数分解成内层函数和外层函数. 第三步:判断内层函数和外层函数的单调性. 第四步:根据“同增异减”的原则确定复合函数的单调性. 17.函数 的单调递增区间是( ) A. B. C. D. 【答案】D 【解析】由题知 的定义域为 , 令 ,则 ,函数单调递增, 当 时, 关于 单调递减, 关于 单调递减, 当 时, 关于 单调递增, 关于 单调递增,故 的递增区间为 .故选:D. 18.若函数 在区间 上是单调增函数,则实数a的取值范围是___. 【答案】 【解析】由函数 在区间 上是单调增函数, 只需函数 在 上是单调增函数,且当 时 恒成立, 所以满足 解得 . 【巩固练习1】函数 的单调增区间为( ) A. B. C. D. 【答案】C 【解析】由 , 二次函数 的对称轴为: , 所以二次函数的单调递增区间为 ,递减区间为 , 而函数 是正实数集上的减函数,根据复合函数的单调性质可知: 函数 的单调增区间为 ,故选:C 【巩固练习2】已知函数 在定义域上是增函数,则 k的取值范围是( ) A. B. C. D. 【答案】B 【解析】因为 在定义域上是增函数, 当 时 单调递增且 , 当 时 也单调递增,所以 ,即 , 所以 ,即 ;故选:B 【巩固练习3】(2024·重庆·模拟预测)若函数 在 上单调递增,则实 数 的取值范围是( ) A. B. C. D. 【答案】B 【解析】因为函数 在 上单调递增, 所以 ,解得 . 【巩固练习4】若函数 在 上单调递减,则实数 的取值范围是 . 【答案】 【分析】换元法转化为二次函数的给定区间的单调性求解. 【详解】 , 令 ,为增函数, 所以 ,所以 在 单调递减, 所以 ,即 ,解得 【题型9】对数型复合函数的最值与值域问题 对数(型)函数的值域和单调性问题的解题策略 利用对数函数的性质,求与对数函数有关的函数值域和复合函数的单调性问题,必须弄清三方面的 问题:一是定义域,所有问题都必须在定义域内讨论;二是底数与1的大小关系;三是复合函数的 构成,即它是由哪些基本初等函数复合而成的.另外,解题时要注意数形结合、分类讨论、转化与 化归思想的应用. 19.函数 的最小值是( ).A.10 B.1 C.11 D. 【答案】B 【解析】设 ,则 , 因为 , 所以 ,所以 的最小值为1,故选:B 20.已知函数 的最大值为2,则 . 【答案】6 【解析】因为函数 由 与 复合而成, 而 在定义域上单调递增,所以当 取最大值时,函数 取得最大值, 由二次函数的性质易知当 时, ,此时 ,所以 , 解得 . 【巩固练习1】已知函数 f xlg  x21  ,x1,3 ,则 f x 的值域为( ) A. 0, B. 0,1 C. lg2,1 D. 0,1 【答案】D 【解析】因为x1,3 ,所以x211,10 , 所以 f xlg  x21  0,1 ,故选:D 【巩固练习2】若函数 的最大值为0,则实数a的值为___________. 【答案】 【解析】因为 的最大值为0,所以 应有最小值1, 因此应有 解得 . 【巩固练习3】(2024·全国·模拟预测)已知函数 在区间 上有最大值 或最小值,则实数 的取值范围为( )A. B. C. D. 【答案】B 【解析】要使函数 在区间 上有最大值或最小值, 由于 开口向上, 故需函数 在区间 上有最小值,且 . 该函数图像的对称轴为直线 ,所以 ,解得 , 所以 ,且 ,即实数 的取值范围为 . 【题型10】对数型复合函数的奇偶性问题 常见指对型函数奇偶模型 (1) (2) (3) (4) ( 5 ) 是 偶 函 数 , 如 , 21.设函数 ,则使得 成立的 的取值范围为( ) A. B. C. D.【答案】D 【解析】方法一 : 由 得 , 则 ,解得 或 . 方法二 :根据题意,函数 ,其定义域为 , 有 ,即函数 为偶函数, 设 ,则 , 在区间 上, 为增函数且 , 在区间 上为增函数, 则 在 上为增函数, , 解得 或 ,故选:D. 22.函数 的部分图像大致为( ) A. B. C. D. 【答案】A 【分析】分析函数 的奇偶性及其最小值,结合排除法可得出合适的选项. 【详解】对任意的 , ,则函数 的定义域为 , 因为 , ,则函数 为偶函数,排除CD选项, 又因为 ,当且仅当 时,等号成立,排除B选项. 【巩固练习1】已知 是定义在 上的奇函数,且当 时, .(1)求 ; (2)解不等式 . 【答案】(1) (2) 【分析】(1)根据函数奇偶性和部分解析式即可求出 , ,则得到最后答案; (2)根据复合函数单调性函数奇偶性即可得到 在 上的单调性,则得到不等式,解出 即可. 【详解】(1)因为 是定义在 上的奇函数, 则 , , 则 . (2)当 时, ,因为 为单调增函数, 根据复合函数单调性知 为单调减函数,又因为 为单调减函数, 所以函数 为单调减函数, 又因为 是定义在 上的奇函数, 所以 是在 为单调减函数, 因为 , 所以 ,解得 , 所以不等式的解集为 . f(x)log (4x1)kx,xR 【巩固练习2】设函数 2 为偶函数. (1)求k的值; y f(x) f(2x1) f(x1) (2)写出函数 的单调性(不需证明),并解不等式 . 【答案】(1)1 (2)单调性见解析,不等式解集为 ,0  2, 【分析】(1)根据 f xf x 得到方程,求出k 1; (2)根据定义法得到函数的单调性,并根据单调性解不等式. 【详解】(1)∵ f x 为定义在R上的偶函数,∴ f xf x ,即log (4x 1)kxlog (4x1)kx, 2 2 4x 1 故2kxlog log 4x 2x,即 , 2 4x1 2 2k 2 解得k 1; (2) f x 在 ,0 上单调递减,在 0, 上单调递增, 理由如下: f(x)log  4x 1  xlog  4x 1  log 2x log  2x 2x , 2 2 2 2 设gx2x2x 任取x,x 0, ,且x x , 1 2 1 2 则gx gx 2x1 2x1   2x2 2x2  2x1 2x2    1  1   1 2 2x1 2x2  2x 1 2x 2  2x 2 2x 1   2x 1 2x 2    2x 1 x 2 1 , 2x 1 x 2  2x 1 x 2  因为x,x 0, ,且x x , 1 2 1 2 所以 ,gx gx   2x 1 2x 2    2x 1 x 2 1 0, 2x 1 2x 2 0,2x 1 x 2 10 1 2  2x 1 x 2  故gx gx  , 1 2 所以gx2x2x 在 0, 单调递增, 由复合函数同增异减可得, f(x)在 0, 单调递增, 又 f(x)在R上为偶函数,故 f(x)在 ,0 上单调递减, f 2x1 f x1 f 2x1 f  x1 , ∴ 2x1  x1, 解得x0或x2, ∴不等式解集为 ,0  2, . 【题型11】反函数问题 指数函数 (a>0且a≠1)与对数函数 (a>0且a≠1)互为反函数 23.(2024·江苏扬州·模拟预测)设方程 和方程 的根分别为 ,设函 数 ,则( ) A. B.C. D. 【答案】B 【解析】由 得 ,由 得 , 所以令 ,这3个函数图象情况如下图所示: 设 交于点 , 交于点 , 由于 的图象关于直线 对称, 而 的交点为 ,所以 , 注意到函数 的对称轴为直线 ,即 , 且二次函数 的图象是开口向上的抛物线方程, 从而 . 【巩固练习1】(2024·高三·江西南昌·开学考试)已知函数 和 的图象与直线 交 点的横坐标分别为 , ,则( ) A. B. C. D. 【答案】D 【解析】作出函数 和 的图象以及直线 的图象,如图, 由函数 和 的图象与直线 交点的横坐标分别为 , , 结合图象可知 ,A错误; 由题意知 ,也即 , 由于函数 和 互为反函数,二者图象关于直线 对称,而 为 和 的图象与直线 的交点, 故 关于 对称,故 ,B错误; 由 ,故 ,C错误; 因为 ,故 , 结合 ,即得 ,D正确 【巩固练习2】(2024·广东佛山·模拟预测)已知 , 分别是关于 的方程 , 的根,则下面为定值2023的是( ) A. B. C. D. E.均不是 【答案】C 【解析】由已知条件可知, , , 令 , , , 如图所示, 曲线 与曲线 关于直线 对称,曲线 关于直线 对称, 设曲线 分别与曲线 , 交于点 , , 则点 , 关于直线 对称, 而点 关于直线 对称的点为 ,即为点 , 则 ,即 . 【题型12】对数函数的综合问题 1、对数函数常与其他函数形成复合函数问题,解题时要清楚复合的层次,外层是对数函数还是内层是对数函数,其次如果涉及到定义域、值域、奇偶性、单调性等问题,则要按复合函数的性质规 律求解. 2、已知不等式能恒成立求参数值(取值范围)问题常用的方法: (1)函数法:讨论参数范围,通常借助函数单调性求解; (2)分离参数法:首先将参数分离,转化成求函数的最值或值域问题加以解决; (3)数形结合法:先对解析式变形,进而构造两个函数,然后在同一平面直角坐标系中画出函数 的图象,再利用数形结合的方法来解决. 24.若不等式 在 上恒成立,则实数a的取值范围为( ) A. B. C. D. 【答案】C 【解析】 变形为: ,即 在 上恒成立, 若 ,此时 在 上单调递减, ,而 当 时, ,显然不合题意; 当 时,画出两个函数的图像, 要想满足 在 上恒成立,只需 ,即 , 解得: ,综上:实数a的取值范围是 . 【巩固练习】设定义域为R的函数 ,若关于x的方程有8个不同的实根,到实数b的取值范围是 . 【答案】 【解析】由题设, 的图象如下图示: 令 ,则 化为 , ∴要使原方程有8个不同实根,则 有2个不同的实根且两根 、 , ∴ ,可得 ,又 在 上递减,在 上递增,且 , ,即 , 综上, .