当前位置:首页>文档>2017年数学三真题答案解析公众号“考研小舟”持续更新中公众号:考研小舟_27考研真题_考研数学一、二、三历年真题+考研数学资料(1994-2026)_考研数学真题(1987-2026)_数学三

2017年数学三真题答案解析公众号“考研小舟”持续更新中公众号:考研小舟_27考研真题_考研数学一、二、三历年真题+考研数学资料(1994-2026)_考研数学真题(1987-2026)_数学三

  • 2026-04-16 13:14:18 2026-04-16 13:05:48

文档预览

2017年数学三真题答案解析公众号“考研小舟”持续更新中公众号:考研小舟_27考研真题_考研数学一、二、三历年真题+考研数学资料(1994-2026)_考研数学真题(1987-2026)_数学三
2017年数学三真题答案解析公众号“考研小舟”持续更新中公众号:考研小舟_27考研真题_考研数学一、二、三历年真题+考研数学资料(1994-2026)_考研数学真题(1987-2026)_数学三
2017年数学三真题答案解析公众号“考研小舟”持续更新中公众号:考研小舟_27考研真题_考研数学一、二、三历年真题+考研数学资料(1994-2026)_考研数学真题(1987-2026)_数学三
2017年数学三真题答案解析公众号“考研小舟”持续更新中公众号:考研小舟_27考研真题_考研数学一、二、三历年真题+考研数学资料(1994-2026)_考研数学真题(1987-2026)_数学三
2017年数学三真题答案解析公众号“考研小舟”持续更新中公众号:考研小舟_27考研真题_考研数学一、二、三历年真题+考研数学资料(1994-2026)_考研数学真题(1987-2026)_数学三
2017年数学三真题答案解析公众号“考研小舟”持续更新中公众号:考研小舟_27考研真题_考研数学一、二、三历年真题+考研数学资料(1994-2026)_考研数学真题(1987-2026)_数学三
2017年数学三真题答案解析公众号“考研小舟”持续更新中公众号:考研小舟_27考研真题_考研数学一、二、三历年真题+考研数学资料(1994-2026)_考研数学真题(1987-2026)_数学三
2017年数学三真题答案解析公众号“考研小舟”持续更新中公众号:考研小舟_27考研真题_考研数学一、二、三历年真题+考研数学资料(1994-2026)_考研数学真题(1987-2026)_数学三
2017年数学三真题答案解析公众号“考研小舟”持续更新中公众号:考研小舟_27考研真题_考研数学一、二、三历年真题+考研数学资料(1994-2026)_考研数学真题(1987-2026)_数学三
2017年数学三真题答案解析公众号“考研小舟”持续更新中公众号:考研小舟_27考研真题_考研数学一、二、三历年真题+考研数学资料(1994-2026)_考研数学真题(1987-2026)_数学三
2017年数学三真题答案解析公众号“考研小舟”持续更新中公众号:考研小舟_27考研真题_考研数学一、二、三历年真题+考研数学资料(1994-2026)_考研数学真题(1987-2026)_数学三

文档信息

文档格式
pdf
文档大小
0.844 MB
文档页数
7 页
上传时间
2026-04-16 13:05:48

文档内容

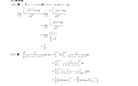
2017年 数学(三)参考答案 一、选择题 (1) A — E恩 l cos石 , r>O, 解由J(r)�j ar X 在.,�o处连续,得 J(x) b. b, 冬0 五- X = - = 又l x imf(x)-lJ、 im l cos l工于im l b. -o+ -o+ ax o+2ax、 2a = 1 所以ab —放应选A. 2 (2) D 名I= — 2 = = = 3y -2xy —y 2 �--=0 x= O x-1 x= O x 3 解令{ . 总'-3x-2xy 1· =o'得{y 0'{y -1'{y 3'{y O 所以函数=有四 x =个—驻点(0,=0),( v 1 = ,]),—(0,3),(3,0).= v = 、 · 又令A z': 2—y ,B2 = z'', 3 2x -2y ,C z': -2.1 则在(0,0)处,A—C 21=3 -9 < 0,(=0,0)不是极值点. 在(1,1)处,AC B2 3>0,且A -2 < O,Cl,l)是极大值点. 在(0,3)处,AC-B2=-—9<0,(0,3)不是极值点. 在(3,0)处,AC-B = 9<0,(3,0)不是极值点 (3) C故应选D. 解由J(x)J'(x)> CJ, 可得2J(x)J'(x)> CJ, 即[尸(x)J'>0. — 因此尸(x)严格单增,故有勹ex)I严格单增,所以有IJO) I >I JC DI. (4) C故应选C. 厂), — — — .1 1 1 2 1 k k 1 2 1 解 stn -=—+o kln 1-- =-— —· +o n n n ( n) n 2 n (n2 )· . — = 勹 1 ;-1 1 +k k ;;z1 ;;z1 有 sm了-kln ( 1 ) n + o ( ) , — 一 = = = 1 1 又,气sin--;;- kln ( 1 门]收敛,有l+k O.(否则,级数发散),故k -1. (5) A故应选C. = = 解 因为a为3维单位列向晕,故矿a l— tr(Ta矿=). 所以,A-a矿的特征值为1,0,o. 所以,IE aa l O, 即矩阵E-a矿不可逆. (6) B故应选A.解 因为A和B都是上三角矩阵,所以特征值都是1,2,2. 今 所以,要判别A和B能否相似对角化,只需考察属于2的线性无关的特征向量的个数即可. — 对于A,属于2的线性尤关的特征向量的个数3-r(2E A)= 3 -1 =2. — — 对于B,属于2的线性无关的特征向量的个数3-r(2E B)=3 2 =1 . 所以,A可以和C相似,但是B不能. 故应选B. (7) C 解 因为A与C相互独立,B与C相互独立. 所以 P(AC)=P(A)P(C)平(BC)=PCB)P(C) 而P[(A U B)C]= P(AC U BC) =P( AC)+ PC BC) -P (ABC) P(A U B)P(C)= [P(A)+ PCB)-P(AB)]P(C) =P(A)PC C)+P (B)P CC) -P (AB)P(C) 则AUB与C相互独立 已P[(AUB )C] = P(AU B )P(C)已P(ABC)= P(AB)P(C) 已AB与C相互独立,故应选C. (8) B 解 因为X,�NCµ,1), — 所以X, µ �N(O,l), �ex, 则 —µ尸~贮(n),故A正确; ,-1 一` �(X, — 2 (n 1)S ,-1 — 因为 z = �X气n 1)' 故C正确; C, 1 —1 ), 因为 X �N(µ, n — X µ 所以 �N(O,l), 1 石 2 2 则n(又—µ) �x 0),故D正确. 对于B选项:X" —X1�N(O,Z), X — X1 X" X1 则 n 迈 �N(O,l), 所以 ( ; f� 炉(1)从. 而B错误. 故应选B. 二、填空题 3 亢 (9) - 2 厂 3 二 = 六 3 +』勹了二了 解 (sin x+五 了)dx J sin xdx dx rr 六 因为sin 3 x是奇函数,所以『sin勹山 = O.而 丘 = 了 为 偶 函 数 , 因 此 『 J2 — 勹 _ f 互二 TC -x dx=2 dx 『互二 dx表示由x=O,x=TC,y=O,y=石了二产所围成图形的面积, 1 故有『 左 - x 2 d x = — TC • TC 2= — 1(3 . 4 4 三 所以『(sin五十五了二)dx= 2 一穴 TC 故应填—. 2 ( 1 0 ) A 2 十' t 2 -' l 解 Y,+1 -2y, = 2'对应的齐次方程为Y,+1-2y, =O, ,+ 特征方程为入 i-211' =O, 特征根为入=2. 因 y 计1-2y, =O的通解为Y,=A2', 再设y,· =k立为Y,+1-2y, =2'的解,代入方程得 k ( t + 1 ) 2 计 1 — 2 k t 2 ' = 2 ' . 1 1 解得k=一.所以对 =-t2'=t2'-1. 2 2 由差分方程解的结构定理得,原方程的通解为 y , = Y , + 对 = A 2 ' + t 2 一' 1 . 故应填A2'十t2'一1 (11) 1+0 — Q)e-Q 一 解 平均成本ccQ)=l+e 汇成本为C(Q)=Q C(Q) =Q +Qe-Q. 边际成本为C'(Q)=1 +e-Q -Qe-Q =1 + (1— Q)e-Q. 故应填1+0 — Q)e艾 (12) xyeY 解 由题意1:cx,y) = yeY ,J;(x ,y) =x(l+ y)e气 f f 所以有f(x,y)= 1:cx ,y)dx= yeYdx=xyeY+C(y). J;C x ,y) = [xyeY +CCy)]'=x Cl+ y)e +c'(y) =xCl+ y)e, :.c'(y) =O=?C(y) =C. 因此f(X ,y) =xyeY +c, 又f(O,O)=O. 所以C=O. 故f(x,y)=xye汽 故应填xye气 (13) 2 解 (Aa1 ,Aa2 ,Aa3) = ACa1 ,a2 ,a3), 因为a1,a2 ,a3 线性无关,故矩阵Ca1,a2,a3)可逆, 所以,r(Aa1,Aa2 ,Aa3) = r(A),易 知,rCA)=2. 故应填2. 9 — (14) 2 解 由分布律的归一性可知�Pk =l1 即—+a+b=l, 2 1 又因为EX=O,即—2X—+a+3b=O. 2 —1 . 解得a =b= 4 1 1 而 E ( X 2 ) = ( — 2 ) 2 X — + 1 2 X — + 3 2 X — = — 1 9 . 2 4 4 2 所 以 D X = E ( X 勹 — ( E X ) 2 = - 9 . 2 三解、 答题 (15)解 令x-t=u,则t=x—u,dt=— du. 『 。 五二 e'dt e" 『五尸 du x l - im o+ J.尸 - = x l - im o+ 0 ,q 06)解 (17)解 『 五 e - " d u 。 = lim ,q x-o+ 左e勹 = lim x-o+ —3 左 2 2- . 3 』 ( 1+ x �+ 3 沪 ) 2 d x d y - [ = d x 厂 (1 + x �+ 3 y 4 ) 2 d y =』厂 -1 石 4 o l+x 2+y 1 。 dx 1 += 1 1 = 4 J 。 ( 1+ x 2 — 1+ 2 x 2 ) d x 1 产 过 + 。 = ) 勹(arctanx / — 了arctan,/2x 0 2—迈 = 16 兀 n k k n k 杻 心 : 汇 nI ( 1+ --;; ) - 杻 心 : — nI 1+ • k 1 k�1 k � 1 n ( --;; ) --;; I =』 + 。Xln(l X)dx t =了 1 x 2l n (1+ x ) / 0 1 勹 1 l 1+ X 2 x dx 1 1 1 1 =了ln2— 了I。(x— l+ l+x )dx1 1 I 1 I -—ln2-—(x- 1)2 —— ln(l + X) 2 4 0 2 0 1 - . 4 1 1 , (1+ x·)l n气l+x)-x2 (18)解 记f(x)— k,x E (0,1], 贝1Jf (x、) = lnO+x) x 记g(x)= ( 1+ x )l n气1+x)—X Z'则 g'(x)=ln气1+x )+ Zln(l +x )- Zx, Z[lnO+x)—x] g"(x)= l+x 当x E (0,1]时g, "(x)< O,所 以g'(x) o, 2 所以方程fC.d�o在[,<间(0,1)内有实根当且仅当』 l l k < 0. lnZ l 1 故常数K的取值范IN为 �-1,— . (lnZ 2 ) 1 (19)解 c I)因为ao=l,a1 =O,an =+l (na,, +a,,_1),所 以0乏an +l�. l n+l 记R为幕级数�Un,厂的收敛半径.当IxI< 1时,因为 a立",s;[ x[[n 且级数:厂收 n�o n-0 敛,所以幕级数I:a,,:r"绝对收敛,于是(—1,1)�(—R ,R),故 R�1. n�O c II)因为S(x)=t 汇xn '所以5 1 (x) =t n anXn- l = t ( n + l)a,,+1X" n�o n-1 n-0 于是(1—x)S'(x)—xS(x) — t(n + l)an +1xt"� ( n + Dan +1nX — l+ ta,,x" i+ n�o n�o n�o = = = =a1 +�(n + l)an+ix"�nanx"-� an-ix" n�l ,,-1 n�l =a1十 I:[ (n + l)an -+l na,, — a,,-1Jxn n�l =0. ce-x 解方程(1 —x)S'(x)—xS(x)=O得S(x)= . 1-x 由S(0) =a。1得C=l,故 S(x)-l —x . (20)解 C I)由 =a1 + 2az,知 a az,a 线性相关故, r(A)冬2. ll3 门 3 又因为A有3个不同的特征值,所以A至少有2个不为零的特征值,从而 r(A)? 2.故r(A) = 2. 知三]�•, (ll)由a, I 2a, - , �0, 故[勹为方程组Ax�o的一个解 : 又c(A)�2,所以[' 为Ax�o的一个基础解系. [il 因为 P-•, +a,:!: �{]所以 为方程组Ax�p的一个特解 J [] 故Ax -P的通解为x{ I k 2 , 其中k为任意常数. (21)解 二次型J的矩阵为 —:. :, ] A�[ 由题设知IA =l O. 又IA 1=6 3a, 千是a =2. 矩阵A的特征多项式为I入E —AI=入饥+3)(入-6)'所以特征值为-3,6,0. 不妨设儿=-3,从 =6,儿 =0. 1 矩阵A属于特征值儿=—3的单位特征向量为P1=-q, - LU飞 点 1 属于特征值儿 =6的单位特征向榄为,2 — —(—l,O,l)勹 迈 1 属千特征值儿 =0的单位特征向最为p3=—(1,2,l)T. 瓦 1 1 1 屈 及高 1 2 故所求的一个正交矩阵为Q= cp 1 , /J 2 , P 3 > = I — — 戎 1 1 1 点 迈 祁 十区勹 妒 (22)解(I) EY=』 汀(y)dy =』 2y2dy =之, -c心 。3 尸气』4 P{Y雯EY) ="P 2ydy =±_ 9. 3 z C II) 的分布函数记为Fz(z),那么 凡(z)=P{Z�z) =P{X+Y炙z}= = = P{X O}P{X+ Y 冬zIX O}+ P{X= 2}P{X+ Y冬zlX=2} = — 12 12 -P{Y冬z}+-P{Y冬z 2}. = 当z