当前位置:首页>文档>第08讲圆锥曲线中的焦点弦、焦半径及定比分点问题(高阶拓展、竞赛适用)(教师版)_02高考数学_2025年新高考资料_一轮复习_备战2025年高考数学一轮复习考点帮_第二部分专项讲义

第08讲圆锥曲线中的焦点弦、焦半径及定比分点问题(高阶拓展、竞赛适用)(教师版)_02高考数学_2025年新高考资料_一轮复习_备战2025年高考数学一轮复习考点帮_第二部分专项讲义

  • 2026-04-17 15:02:31 2026-04-17 14:21:35

文档预览

第08讲圆锥曲线中的焦点弦、焦半径及定比分点问题(高阶拓展、竞赛适用)(教师版)_02高考数学_2025年新高考资料_一轮复习_备战2025年高考数学一轮复习考点帮_第二部分专项讲义
第08讲圆锥曲线中的焦点弦、焦半径及定比分点问题(高阶拓展、竞赛适用)(教师版)_02高考数学_2025年新高考资料_一轮复习_备战2025年高考数学一轮复习考点帮_第二部分专项讲义
第08讲圆锥曲线中的焦点弦、焦半径及定比分点问题(高阶拓展、竞赛适用)(教师版)_02高考数学_2025年新高考资料_一轮复习_备战2025年高考数学一轮复习考点帮_第二部分专项讲义
第08讲圆锥曲线中的焦点弦、焦半径及定比分点问题(高阶拓展、竞赛适用)(教师版)_02高考数学_2025年新高考资料_一轮复习_备战2025年高考数学一轮复习考点帮_第二部分专项讲义
第08讲圆锥曲线中的焦点弦、焦半径及定比分点问题(高阶拓展、竞赛适用)(教师版)_02高考数学_2025年新高考资料_一轮复习_备战2025年高考数学一轮复习考点帮_第二部分专项讲义
第08讲圆锥曲线中的焦点弦、焦半径及定比分点问题(高阶拓展、竞赛适用)(教师版)_02高考数学_2025年新高考资料_一轮复习_备战2025年高考数学一轮复习考点帮_第二部分专项讲义
第08讲圆锥曲线中的焦点弦、焦半径及定比分点问题(高阶拓展、竞赛适用)(教师版)_02高考数学_2025年新高考资料_一轮复习_备战2025年高考数学一轮复习考点帮_第二部分专项讲义
第08讲圆锥曲线中的焦点弦、焦半径及定比分点问题(高阶拓展、竞赛适用)(教师版)_02高考数学_2025年新高考资料_一轮复习_备战2025年高考数学一轮复习考点帮_第二部分专项讲义
第08讲圆锥曲线中的焦点弦、焦半径及定比分点问题(高阶拓展、竞赛适用)(教师版)_02高考数学_2025年新高考资料_一轮复习_备战2025年高考数学一轮复习考点帮_第二部分专项讲义
第08讲圆锥曲线中的焦点弦、焦半径及定比分点问题(高阶拓展、竞赛适用)(教师版)_02高考数学_2025年新高考资料_一轮复习_备战2025年高考数学一轮复习考点帮_第二部分专项讲义
第08讲圆锥曲线中的焦点弦、焦半径及定比分点问题(高阶拓展、竞赛适用)(教师版)_02高考数学_2025年新高考资料_一轮复习_备战2025年高考数学一轮复习考点帮_第二部分专项讲义
第08讲圆锥曲线中的焦点弦、焦半径及定比分点问题(高阶拓展、竞赛适用)(教师版)_02高考数学_2025年新高考资料_一轮复习_备战2025年高考数学一轮复习考点帮_第二部分专项讲义
第08讲圆锥曲线中的焦点弦、焦半径及定比分点问题(高阶拓展、竞赛适用)(教师版)_02高考数学_2025年新高考资料_一轮复习_备战2025年高考数学一轮复习考点帮_第二部分专项讲义
第08讲圆锥曲线中的焦点弦、焦半径及定比分点问题(高阶拓展、竞赛适用)(教师版)_02高考数学_2025年新高考资料_一轮复习_备战2025年高考数学一轮复习考点帮_第二部分专项讲义
第08讲圆锥曲线中的焦点弦、焦半径及定比分点问题(高阶拓展、竞赛适用)(教师版)_02高考数学_2025年新高考资料_一轮复习_备战2025年高考数学一轮复习考点帮_第二部分专项讲义
第08讲圆锥曲线中的焦点弦、焦半径及定比分点问题(高阶拓展、竞赛适用)(教师版)_02高考数学_2025年新高考资料_一轮复习_备战2025年高考数学一轮复习考点帮_第二部分专项讲义
第08讲圆锥曲线中的焦点弦、焦半径及定比分点问题(高阶拓展、竞赛适用)(教师版)_02高考数学_2025年新高考资料_一轮复习_备战2025年高考数学一轮复习考点帮_第二部分专项讲义
第08讲圆锥曲线中的焦点弦、焦半径及定比分点问题(高阶拓展、竞赛适用)(教师版)_02高考数学_2025年新高考资料_一轮复习_备战2025年高考数学一轮复习考点帮_第二部分专项讲义
第08讲圆锥曲线中的焦点弦、焦半径及定比分点问题(高阶拓展、竞赛适用)(教师版)_02高考数学_2025年新高考资料_一轮复习_备战2025年高考数学一轮复习考点帮_第二部分专项讲义
第08讲圆锥曲线中的焦点弦、焦半径及定比分点问题(高阶拓展、竞赛适用)(教师版)_02高考数学_2025年新高考资料_一轮复习_备战2025年高考数学一轮复习考点帮_第二部分专项讲义
第08讲圆锥曲线中的焦点弦、焦半径及定比分点问题(高阶拓展、竞赛适用)(教师版)_02高考数学_2025年新高考资料_一轮复习_备战2025年高考数学一轮复习考点帮_第二部分专项讲义
第08讲圆锥曲线中的焦点弦、焦半径及定比分点问题(高阶拓展、竞赛适用)(教师版)_02高考数学_2025年新高考资料_一轮复习_备战2025年高考数学一轮复习考点帮_第二部分专项讲义
第08讲圆锥曲线中的焦点弦、焦半径及定比分点问题(高阶拓展、竞赛适用)(教师版)_02高考数学_2025年新高考资料_一轮复习_备战2025年高考数学一轮复习考点帮_第二部分专项讲义
第08讲圆锥曲线中的焦点弦、焦半径及定比分点问题(高阶拓展、竞赛适用)(教师版)_02高考数学_2025年新高考资料_一轮复习_备战2025年高考数学一轮复习考点帮_第二部分专项讲义
第08讲圆锥曲线中的焦点弦、焦半径及定比分点问题(高阶拓展、竞赛适用)(教师版)_02高考数学_2025年新高考资料_一轮复习_备战2025年高考数学一轮复习考点帮_第二部分专项讲义
第08讲圆锥曲线中的焦点弦、焦半径及定比分点问题(高阶拓展、竞赛适用)(教师版)_02高考数学_2025年新高考资料_一轮复习_备战2025年高考数学一轮复习考点帮_第二部分专项讲义
第08讲圆锥曲线中的焦点弦、焦半径及定比分点问题(高阶拓展、竞赛适用)(教师版)_02高考数学_2025年新高考资料_一轮复习_备战2025年高考数学一轮复习考点帮_第二部分专项讲义
第08讲圆锥曲线中的焦点弦、焦半径及定比分点问题(高阶拓展、竞赛适用)(教师版)_02高考数学_2025年新高考资料_一轮复习_备战2025年高考数学一轮复习考点帮_第二部分专项讲义
第08讲圆锥曲线中的焦点弦、焦半径及定比分点问题(高阶拓展、竞赛适用)(教师版)_02高考数学_2025年新高考资料_一轮复习_备战2025年高考数学一轮复习考点帮_第二部分专项讲义
第08讲圆锥曲线中的焦点弦、焦半径及定比分点问题(高阶拓展、竞赛适用)(教师版)_02高考数学_2025年新高考资料_一轮复习_备战2025年高考数学一轮复习考点帮_第二部分专项讲义
第08讲圆锥曲线中的焦点弦、焦半径及定比分点问题(高阶拓展、竞赛适用)(教师版)_02高考数学_2025年新高考资料_一轮复习_备战2025年高考数学一轮复习考点帮_第二部分专项讲义
第08讲圆锥曲线中的焦点弦、焦半径及定比分点问题(高阶拓展、竞赛适用)(教师版)_02高考数学_2025年新高考资料_一轮复习_备战2025年高考数学一轮复习考点帮_第二部分专项讲义
第08讲圆锥曲线中的焦点弦、焦半径及定比分点问题(高阶拓展、竞赛适用)(教师版)_02高考数学_2025年新高考资料_一轮复习_备战2025年高考数学一轮复习考点帮_第二部分专项讲义
第08讲圆锥曲线中的焦点弦、焦半径及定比分点问题(高阶拓展、竞赛适用)(教师版)_02高考数学_2025年新高考资料_一轮复习_备战2025年高考数学一轮复习考点帮_第二部分专项讲义
第08讲圆锥曲线中的焦点弦、焦半径及定比分点问题(高阶拓展、竞赛适用)(教师版)_02高考数学_2025年新高考资料_一轮复习_备战2025年高考数学一轮复习考点帮_第二部分专项讲义
第08讲圆锥曲线中的焦点弦、焦半径及定比分点问题(高阶拓展、竞赛适用)(教师版)_02高考数学_2025年新高考资料_一轮复习_备战2025年高考数学一轮复习考点帮_第二部分专项讲义
第08讲圆锥曲线中的焦点弦、焦半径及定比分点问题(高阶拓展、竞赛适用)(教师版)_02高考数学_2025年新高考资料_一轮复习_备战2025年高考数学一轮复习考点帮_第二部分专项讲义
第08讲圆锥曲线中的焦点弦、焦半径及定比分点问题(高阶拓展、竞赛适用)(教师版)_02高考数学_2025年新高考资料_一轮复习_备战2025年高考数学一轮复习考点帮_第二部分专项讲义
第08讲圆锥曲线中的焦点弦、焦半径及定比分点问题(高阶拓展、竞赛适用)(教师版)_02高考数学_2025年新高考资料_一轮复习_备战2025年高考数学一轮复习考点帮_第二部分专项讲义
第08讲圆锥曲线中的焦点弦、焦半径及定比分点问题(高阶拓展、竞赛适用)(教师版)_02高考数学_2025年新高考资料_一轮复习_备战2025年高考数学一轮复习考点帮_第二部分专项讲义
第08讲圆锥曲线中的焦点弦、焦半径及定比分点问题(高阶拓展、竞赛适用)(教师版)_02高考数学_2025年新高考资料_一轮复习_备战2025年高考数学一轮复习考点帮_第二部分专项讲义
第08讲圆锥曲线中的焦点弦、焦半径及定比分点问题(高阶拓展、竞赛适用)(教师版)_02高考数学_2025年新高考资料_一轮复习_备战2025年高考数学一轮复习考点帮_第二部分专项讲义
第08讲圆锥曲线中的焦点弦、焦半径及定比分点问题(高阶拓展、竞赛适用)(教师版)_02高考数学_2025年新高考资料_一轮复习_备战2025年高考数学一轮复习考点帮_第二部分专项讲义
第08讲圆锥曲线中的焦点弦、焦半径及定比分点问题(高阶拓展、竞赛适用)(教师版)_02高考数学_2025年新高考资料_一轮复习_备战2025年高考数学一轮复习考点帮_第二部分专项讲义
第08讲圆锥曲线中的焦点弦、焦半径及定比分点问题(高阶拓展、竞赛适用)(教师版)_02高考数学_2025年新高考资料_一轮复习_备战2025年高考数学一轮复习考点帮_第二部分专项讲义
第08讲圆锥曲线中的焦点弦、焦半径及定比分点问题(高阶拓展、竞赛适用)(教师版)_02高考数学_2025年新高考资料_一轮复习_备战2025年高考数学一轮复习考点帮_第二部分专项讲义
第08讲圆锥曲线中的焦点弦、焦半径及定比分点问题(高阶拓展、竞赛适用)(教师版)_02高考数学_2025年新高考资料_一轮复习_备战2025年高考数学一轮复习考点帮_第二部分专项讲义
第08讲圆锥曲线中的焦点弦、焦半径及定比分点问题(高阶拓展、竞赛适用)(教师版)_02高考数学_2025年新高考资料_一轮复习_备战2025年高考数学一轮复习考点帮_第二部分专项讲义
第08讲圆锥曲线中的焦点弦、焦半径及定比分点问题(高阶拓展、竞赛适用)(教师版)_02高考数学_2025年新高考资料_一轮复习_备战2025年高考数学一轮复习考点帮_第二部分专项讲义
第08讲圆锥曲线中的焦点弦、焦半径及定比分点问题(高阶拓展、竞赛适用)(教师版)_02高考数学_2025年新高考资料_一轮复习_备战2025年高考数学一轮复习考点帮_第二部分专项讲义
第08讲圆锥曲线中的焦点弦、焦半径及定比分点问题(高阶拓展、竞赛适用)(教师版)_02高考数学_2025年新高考资料_一轮复习_备战2025年高考数学一轮复习考点帮_第二部分专项讲义
第08讲圆锥曲线中的焦点弦、焦半径及定比分点问题(高阶拓展、竞赛适用)(教师版)_02高考数学_2025年新高考资料_一轮复习_备战2025年高考数学一轮复习考点帮_第二部分专项讲义

文档信息

文档格式
docx
文档大小
2.733 MB
文档页数
48 页
上传时间
2026-04-17 14:21:35

文档内容

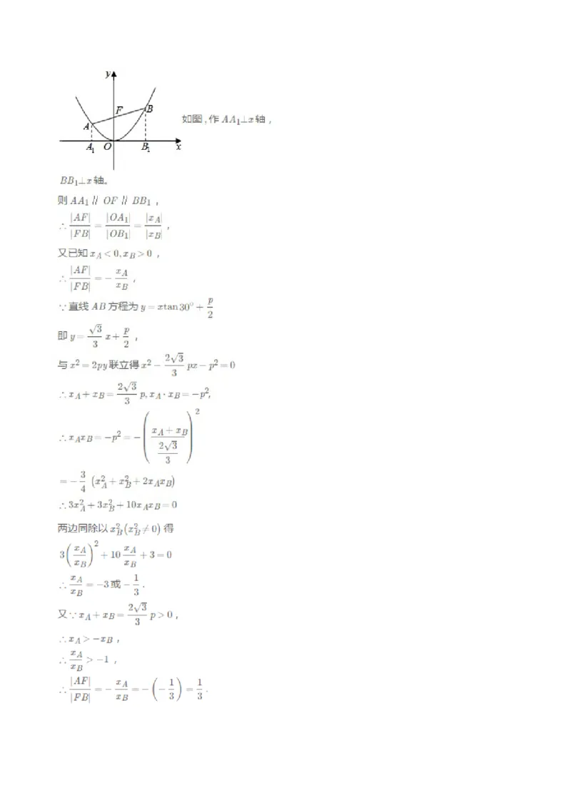
第 08 讲 圆锥曲线中的焦点弦、焦半径及定比分点问题 (高阶拓展、竞赛适用) (5 类核心考点精讲精练) 1. 5年真题考点分布 5年考情 考题示例 考点分析 关联考点 抛物线定义的理解 2023年新Ⅱ卷,第10题,5分 抛物线焦点弦有关的几何性质 根据焦点或准线写出抛物线的标准方程 求直线与抛物线的交点坐标 2020年新I卷,第13题,5分 求抛物线焦点弦长 无 2020年新Ⅱ卷,第14题,5分 求抛物线焦点弦长 无 2. 命题规律及备考策略 【命题规律】本节内容是新高考卷的常考内容,设题不定,难度中等或偏难,分值为5-17分 【备考策略】1.理解、掌握圆锥曲线的焦点弦及其相关计算 2.理解、掌握圆锥曲线的焦半径及其相关计算 3.理解、掌握圆锥曲线的定比分点及其相关计算 【命题预测】本节内容是新高考卷的常考内容,小题和大题都会作为载体命题,同学们要会结合公式运算, 需强化训练复习知识讲解 1. 椭圆的斜率式焦点弦长公式 (1) 为椭圆 的左、右焦点,过 (或 )斜率为 的直线 与椭圆 交于 两点,则 (2) 为椭圆 的下、上焦点,过 (或 斜率为 的直线 与椭圆 交于 两点,则 2. 双曲线的斜率式焦点弦长公式 x2 y2 (1)F ,F 为双曲线C: − =1(a>0,b>0)的左、右焦点,过F 斜率为k的直线l与双曲线交于A,B两 1 2 a2 b2 1 点,则 2ab2(1+k2) (1)A,B在同支弦,|AB|= a2k2−b2 2ab2(1+k2) (2)A,B在异支弦,|AB|= b2−a2k22ab2(1+k2) 综合(1)(2)可统一为:|AB|= |a2k2−b2| y2 x2 (2)F ,F 为双曲线C: − =1(a>0,b>0)的上、下焦点,过F 斜率为k的直线l与双曲线交于A,B两 1 2 a2 b2 1 点,则 2ab2(1+k2) (1)A,B在同支弦,|AB|= a2−b2k2 2ab2(1+k2) (2)A,B在异支弦,|AB|= b2k2−a2 2ab2(1+k2) 综合(1)(2)可统一为:|AB|= |a2−b2k2| 3. 椭圆的倾斜角式焦点弦长公式 x2 y2 (1)F ,F 为椭圆C: + =1(a>b>0)的左、右焦点,过F 倾斜角为θ的直线l与椭圆C交于A,B两点, 1 2 a2 b2 1 2ab2 2ep 则|AB|= = a2−c2cos2θ 1−e2cos2θ |a2 | b2 其中,焦准距(焦点到相应准线的距离)为p= −c = c c y2 x2 (2)F ,F 为椭圆C: + =1(a>b>0)的上、下焦点,过F 倾斜角为θ的直线l与椭圆C交于A,B两点, 1 2 a2 b2 1 2ab2 2ep 则|AB|= = a2−c2sin2θ 1−e2sin2θ |a2 | b2 其中,焦准距(焦点到相应准线的距离)为p= −c = c c 2b2 特殊情形,对于焦点在x轴上的椭圆,当倾斜角为θ=90∘时,即为椭圆的通径,通径长|AB|=2ep= . a 4. 双曲线的倾斜角式焦点弦长公式 x2 y2 (1)F ,F 为双曲线C: − =1(a>0,b>0)的左、右焦点,过F 倾斜角为θ的直线l与双曲线交于A,B 1 2 a2 b2 1 2ab2 2ep 两点,则|AB|= = |a2−c2cos2θ| |1−e2cos2θ| |a2 | b2 其中,焦准距(焦点到相应准线的距离)为p= −c = c c y2 x2 (2)F ,F 为双曲线C: − =1(a>0,b>0)的上、下焦点,过F 倾斜角为θ的直线l与双曲线交于A,B 1 2 a2 b2 12ab2 2ep 两点,则|AB|= = |a2−c2sin2θ| |1−e2sin2θ| |a2 | b2 其中,焦准距(焦点到相应准线的距离)为p= −c = c c 2b2 特殊情形,对于焦点在x轴上的双曲线,当倾斜角为θ=90∘时,即为椭圆的通径,通径长|AB|=2ep= . a 5. 抛物线的的倾斜角式焦点弦长公式 2|p| (1) 焦点在 x 轴上, |AB|= sin2θ 2|p| (2) 焦点在 y 轴上, |AB|= cos2θ 6. 椭圆的角度式焦半径公式 x2 y2 b2 设P是椭圆 + =1上任意一点,F为它的一个焦点,∠PFO=θ,则|PF|= a2 b2 a−ccosθ 注:上述公式定义∠PFO=θ,P为圆锥曲线上的点,F为焦点 7. 双曲线的角度式焦半径公式 x2 y2 设 P 是双曲线 − =1(a>0,b>0) 上任意一点, F为它的一个焦点, ∠PFO=θ ,则 a2 b2 b2 |PF|= ccosθ±a 式中“ 的记忆规律: 同正异负.即当 P 与 F 位于 y 轴的同侧时取正,否则取负. 取 ∠PFO=θ ,无需讨论焦点位置 8. 抛物线的角度式焦半径公式 已知 A 是抛物线 C:y2=2px(p>0) 上任意一点, F 为它的一个焦点, ∠AFO=θ ,则 p |AF|= 1+cosθ 9. 定比分点的定义 若 ⃗AP=λ⃗PB, 则称点 P 为线段 AB 的定比分点, λ 为点 P 分 ⃗AB 的比. (x +λx y +λ y ) 一般地, 设点 A(x ,y ),B(x ,y ), 且 ⃗AP=λ⃗PB, 则点 P 的坐标为 1 2, 1 2 . 1 1 2 2 1+λ 1+λ 考点一、 椭圆、双曲线、抛物线的通径问题1.(23-24高三·阶段练习)椭圆 的通径长为 . 【答案】3 【解析】根据椭圆方程,求得a,b,c,令 与椭圆 联立求解. 【详解】因为椭圆 , 所以 , 令 与椭圆 联立解得 , 所以通径长 , 故答案为:3 2.(24-25高三上·浙江·阶段练习)已知椭圆 的左、右焦点分别为 , ,椭圆上一点 满足 ,则线段 . 3 【答案】 / 2 【分析】由已知可得 点的横坐标为 ,代入椭圆方程即可求得 点坐标,得出结果. 【详解】因为椭圆 ,则 ,所以 , , 因为 , 所以 点的横坐标为 ,代入求得纵坐标为 ,即 . 故答案为: 3.(2024·贵州黔东南·一模)过双曲线的焦点与双曲线实轴垂直的直线被双曲线截得的线段的长称为双曲 线的通径,其长等于 ( 、 分别为双曲线的实半轴长与虚半轴长).已知双曲线 ( ) 的左、右焦点分别为 、 ,若点 是双曲线 上位于第四象限的任意一点,直线 是双曲线的经过第二、 四象限的渐近线, 于点 ,且 的最小值为3,则双曲线 的通径为 . 【答案】 【分析】根据共线可判断 取最小值时的 点位置,进而求得 ,由通径公式即可求解.【详解】 如图所示,连接 ,由双曲线的定义知 ,当 且仅当 三点共线时取得最小值 ,此时,由 到直线 的距离 , ,由定义知通径等于 , 故答案为: . 1.(23-24高三·阶段练习)抛物线 的通径长为 【答案】 / 【分析】根据抛物线的通径的定义进行求解即可. 【详解】由 ,所以该抛物线的焦点坐标为 , 把 代入 中,得 , 所以抛物线 的通径长为 , 故答案为: 2.(23-24高三·阶段练习)已知椭圆 : 的一条通径(过焦点且垂直于对称轴的弦)与抛物线 : 的通径重合,则椭圆的离心率为 . 【答案】 【分析】由题意,知 ,又∵ ,∴ .∵ ,可以化齐次式,进而得到离心率. 【详解】由题意,知 .又∵ ,∴ .∵ ,∴ ,即 ,∴ . 又∵ ,∴ . 故答案为 . 【点睛】求双曲线的离心率(或离心率的取值范围),常见有两种方法:①求出 ,代入公式 ;②只 需要根据一个条件得到关于a,b,c的齐次式,结合 转化为 的齐次式,然后等式(不等式)两边 分别除以 或 转化为关于 的方程(不等式),解方程(不等式)即可得 ( 的取值范围). 3.(24-25高三·阶段练习)过椭圆 的焦点 的弦中最短弦长是( ) A. B. C. D. 【答案】A 【分析】由过椭圆焦点的最短弦所在直线不垂直y轴,设出其方程并与椭圆方程联立求出直线被椭圆所截 弦长即可推理作答. 【详解】显然过椭圆焦点 的最短弦所在直线l不垂直y轴,设l的方程为:x=my+c, 由 消去x并整理得: , 设直线l与椭圆交于点 ,则有 , 则有 ,当且仅当 时取“=”, 于是,当 ,即直线l垂直于x轴时, , 所以过椭圆 的焦点 的最短弦是与焦点所在坐标轴垂直的弦,最短弦长是 . 故选:A 考点二、 椭圆中的焦点弦及焦半径问题1.(23-24高二上·江苏·课前预习)椭圆的焦半径公式 若椭圆的方程为 ,半焦距为 ,其左右焦点分别为 , 为椭圆上的动点, 则 , . 【答案】 2.(2022高三·全国·专题练习)已知椭圆 ,若过左焦点的直线交椭圆于 , 两点,且 , 两点的横坐标之和是 ,求 . 【答案】 【分析】利用椭圆焦半径公式求得焦点弦长. 【详解】由已知得 , , , 所以离心率 , . 3.(22-23高三上·浙江·期末)已知 为坐标原点,椭圆 的左、右焦点分别为 、 , 为 第一象限内 上一点.若 ,则直线 的斜率为( ) A. B. C. D. 【答案】C 【分析】根据椭圆的定义结合已知条件求出 ,设点 ,其中 , ,根据两点间的距 离公式求出点 的坐标,进而可求得直线 的斜率. 【详解】在椭圆 中, , ,则 ,所以,点 、 , 因为 ,可得 , 设点 ,其中 , 且 , ,解得 ,则 ,可得 ,即点 , 因此,直线 的斜率为 . 故选:C. 4.(2024高三下·全国·专题练习)已知椭圆 : 的左、右焦点分别为 , ,长轴 长为 ,过点 且斜率为 的直线与椭圆 交于点 ,且 ,则 = . 【答案】 或 【分析】本题先是利用直线的斜率求出 ,再由 以及椭圆定义求出 的长,最 后利用余弦定理即可求得结果. 【详解】直线 的斜率为 , , ; 又 ,设 , ,又 , ; 在 中,由余弦定理得 , 整理得 ,解得 或 . 当 时, ; 当 时, . 故答案为: 或 .1.(2022高三·全国·专题练习)已知椭圆 ,若过左焦点的直线交椭圆于 两点, 求 . 【答案】 ,e是椭圆的离心率 【分析】由焦半径公式即可得焦点弦公式 【详解】设 ,由焦半径公式得: ,e是椭圆的离心率,两式相 加得 . 【点睛】(1)只需要两根和,即可求得弦长. (2)椭圆 的焦点弦长公式: (过左焦点); (过右焦点),其中e是椭圆的离心率. 椭圆 的焦点弦长公式: (过上焦点); (过下焦点),其中e是椭圆的离心率. 2.(22-23高三下·重庆沙坪坝·阶段练习)(多选)在平面直角坐标系中,已知 ,过点 可作直线 与曲线 交于 , 两点,使 ,则曲线 可以是( ) A. B. C. D. 【答案】BCD 【分析】根据题意得到点 为四个曲线的焦点,结合椭圆、双曲线和抛物线的焦点弦的性质,逐项判定, 即可求解. 【详解】由题意,根据选项可得,点 恰为四个曲线的焦点, A中,抛物线 焦点弦弦长最小值为 ,故不存在弦长 ,所以A不正确; B中,椭圆 中,根据椭圆的性质,可得焦点弦弦长取值范围为 , 即 ,而 ,所以B正确; C中,若 同在右支上,则焦点弦弦长取值范围为 ,即 ,因为 ,所以C正确; D中,若 在异支上,则焦点弦弦长取值范围为 ,即 , 因为 ,所以D正确. 故选:BCD. 3.(2022·浙江·模拟预测)已知椭圆C的离心率 ,左右焦点分别为 ,P为椭圆C上一动点,则 的取值范围为 . 【答案】 【分析】利用焦半径公式把比值表示为 的式子,然后由 得出范围. 【详解】设 , ,且 得: . 故答案为: . 4.(21-22高二上·上海青浦·阶段练习)已知椭圆 的左、右焦点分别为 、 ,上顶点为 , 且 ,若第一象限的点 、 在 上, , , ,则直线 的斜率为 . 【答案】 【分析】设点 、 ,求得椭圆的离心率,利用椭圆的焦半径公式可求得 的值,再利 用弦长公式可求得直线 的斜率. 【详解】椭圆 的左、右焦点分别为 、 ,上顶点为 ,且 , 所以, , 由椭圆的几何性质可知 , ,椭圆的离心率为 , 设点 、 ,则 , , 则, 同理可得 , 所以, ,解得 , 设直线 的斜率为 ,由弦长公式可得 , 解得 , 因为点 、 都在第一象限,则 ,故 . 故答案为: . 考点三、 双曲线中的焦点弦及焦半径问题 1.(2022高三·全国·专题练习)过双曲线 的右焦点F作倾斜角为 的直线,交双曲线于 、 两点,求弦长|AB|. 【答案】8 【分析】利用双曲线的焦点弦长公式,根据已知条件直接得出弦长. 【详解】由双曲线 得 ,又 所以 . 2.(20-21高二下·四川内江·阶段练习)设 , 分别是双曲线 的左、右焦点,过 的 直线 与双曲线 的右支交于 , 两点,且满足 ( 是坐标原点),则直线 的斜率为 . 【答案】 或 【分析】利用双曲线的第二定义求出焦半径的表达式,再根据 ,得 ,再由 列等式求解. 【详解】如图,设双曲线 的左右焦点分别为 , ,点 在双曲线的右支上, 连接 ,过点 作右准线 的垂线 ,记 ,则由双曲线的第二定义知, ,其中 . 即 ,整理得, . 由双曲线 ,得 , 所以 , ,离心率 , 由题设直线 的倾斜角为 ,由 ,知 , , 所以 ,或 ,‘ 解得 或 , 把 代入,可求得 或 . 故直线 的斜率为 或 . 故答案为: 或 .3.(21-22高二上·山西运城·期中)已知双曲线 : 的左、右焦点分别为 , , A是C的左顶点,点P在过点 且斜率为 的直线上, 为等腰三角形, ,则双曲线 的离心率为 . 【答案】3 【分析】写出P点所在的直线方程,设出P点,然后根据几何关系,过P点作 轴与 点,根据 为等腰三角形得出 以及 是有一个角为 角的直角三角形得出 ,整 理求出 与 的关系即可求出离心率. 【详解】解:由题意得:如图:过P点作 轴与 点 点P所在的直线方程为 ,故设 ,根据几何关系可知 ,整理得 又 为等腰三角形 ,故 ,整理的 故双曲线的离心率为 故答案为:3 1.(2022高三·全国·专题练习)过双曲线 的右焦点 作倾斜角为 直线,交双曲线于 两点,求弦长|AB|. 【答案】8 【分析】利用双曲线的焦点弦长公式,根据已知条件直接得出弦长. 【详解】由双曲线 得 ,又 所以 . 2.(2022高三·全国·专题练习)若 分别是双曲线 的左、右焦点, 是双曲线左支上过点 的弦,且 , 的周长是20,则m= . 【答案】 【分析】根据双曲线定义得到 ,最后加上 ,即得到关于 的方程,解出 即可. 【详解】由题意得 , 根据双曲线定义得 , 上述两式相加得 , 即 ,即 , , 周长 ,解得 . 故答案为:9. 3.(22-23高二下·四川凉山·期末)已知双曲线 的左、右焦点分别为 , ,过点 作一条倾斜角为30°的直线与双曲线C在第一象限交于点M,且 ,则双曲线C的离心 率为( ) A. B. C. D. 【答案】A 【分析】由双曲线的焦半径公式结合几何图形的性质计算即可 【详解】如图所示,设双曲线实轴长为 ,则 , 所以 , 又M在第一象限,即 ,故 , 因为 ,过M作MD⊥ 轴于D, , 由条件故 , 即 ,故 , 解之得 (负值舍去). 故选:A 考点 四 、 抛物线中的焦点弦及焦半径问题 1.(全国·高考真题)已知直线 与抛物线 相交于A、B两点,F为C的焦点,若 ,则k= A. B. C. D. 【答案】D 【详解】将y=k(x+2)代入y2=8x,得 k2x2+(4k2-8)x+4k2=0. 设交点的横坐标分别为x ,x , A B 则x +x = -4,① A B x ·x =4. A B 又|FA|=x +2,|FB|=x +2, A B |FA|=2|FB|, ∴2x +4=x +2. B A ∴x =2x +2.② A B ∴将②代入①得x = -2, Bx = -4+2= -2. A 故x ·x = =4. A B 解之得k2= . 而k>0,∴k= ,满足Δ>0.故选D. 2.(2023·全国·统考高考真题)(多选)设O为坐标原点,直线 过抛物线 的焦点,且与C交于M,N两点,l为C的准线,则( ). A. B. C.以MN为直径的圆与l相切 D. 为等腰三角形 【答案】AC 【分析】先求得焦点坐标,从而求得 ,根据弦长公式求得 ,根据圆与等腰三角形的知识确定正确答 案. 【详解】A选项:直线 过点 ,所以抛物线 的焦点 , 所以 ,则A选项正确,且抛物线 的方程为 . B选项:设 , 由 消去 并化简得 , 解得 ,所以 ,B选项错误. C选项:设 的中点为 , 到直线 的距离分别为 , 因为 , 即 到直线 的距离等于 的一半,所以以 为直径的圆与直线 相切,C选项正确. D选项:直线 ,即 , 到直线 的距离为 , 所以三角形 的面积为 ,由上述分析可知 , 所以 , 所以三角形 不是等腰三角形,D选项错误. 故选:AC. 3.(山东·统考高考真题)斜率为 的直线过抛物线C:y2=4x的焦点,且与C交于A,B两点,则 = . 【答案】 【分析】先根据抛物线的方程求得抛物线焦点坐标,利用点斜式得直线方程,与抛物线方程联立消去y并 整理得到关于x的二次方程,接下来可以利用弦长公式或者利用抛物线定义将焦点弦长转化求得结果. 【详解】∵抛物线的方程为 ,∴抛物线的焦点F坐标为 , 又∵直线AB过焦点F且斜率为 ,∴直线AB的方程为: 代入抛物线方程消去y并化简得 , 解法一:解得 所以 解法二: 设 ,则 , 过 分别作准线 的垂线,设垂足分别为 如图所示.故答案为: 【点睛】本题考查抛物线焦点弦长,涉及利用抛物线的定义进行转化,弦长公式,属基础题. 4.(重庆·高考真题)过抛物线 的焦点 作直线交抛物线于 两点,若 则 = . 【答案】 【详解】设 ,则 , 又 所以 , 则 【考点定位】本题主要考查了抛物线的简单性质及抛物线与直线的关系,当遇到抛物线焦点弦问题时,常 根据焦点设出直线方程与抛物线方程联立,把韦达定理和抛物线定义相结合解决问题,属于难题 1.(安徽·高考真题)过抛物线 的焦点 的直线交该抛物线于 两点,若 ,则 =______ 【答案】【详解】 设∠AFx=θ,则由抛物线的定义知x +1=2+3cosθ=3,得cosθ= . A 又|BF|=x +1=1-|BF|cosθ+1=2- |BF|,∴|BF|= . B 2.(全国·高考真题)已知点 和抛物线 ,过 的焦点且斜率为 的直线与 交于 , 两点.若 ,则 . 【答案】2 【分析】方法一:利用点差法得到AB的斜率,结合抛物线定义可得结果. 【详解】[方法一]:点差法 设 ,则 ,所以 所以 , 取AB中点 ,分别过点A,B作准线 的垂线,垂足分别为 因为 , , 因为 为AB中点,所以 平行于x轴, 因为M(-1,1),所以 ,则 即 . 故答案为:2. [方法二]:【最优解】焦点弦的性质 记抛物线的焦点为F,因为 ,则以 为直径的圆与准线相切于点M,由抛物线的焦点弦性质 可知 ,所以 . [方法三]: 焦点弦性质+韦达定理 记抛物线的焦点为F,因为 ,则以 为直径的圆与准线相切于点M,记 中点为N,则,设 ,代入 中,得 ,所以 ,得 ,所以 . [方法四]:【通性通法】暴力硬算 由题知抛物线 的焦点为 ,设直线 的方程为 ,代入 中得 ,设 ,则 ,同理有 ,由 ,即 .又 ,所以 ,得 . [方法五]:距离公式+直角三角形的性质 设直线为 ,与 联立得 ,则 从而 ,可得 的中点 ,所以 . 又由弦长公式知 . 由 得 ,解得 ,所以 . [方法六]:焦点弦的性质应用 由题可知,线段 为抛物线的焦点弦, ,由于以抛物线的焦点弦为直径的圆必与准线相切, 又点M恰为抛物线准线上的点,因此,以 为直径的圆必与准线相切于点M. 过点M作平行于 轴的直线交 于点N,则N为圆心. 设 ,则 . 又因为 ,所以联立解得 .将 的值代入 中求得 . 因为抛物线C的焦点 ,所以 . 【整体点评】方法一:根据点差法找出直线 的斜率与 两点纵坐标的关系,再根据抛物线定义求出 中点坐标,从而解出; 方法二:直接根据焦点弦的性质解出,是该题的最优解; 方法三:根据焦点弦性质可知,直线过点 ,再根据韦达定理求出直线 的斜率; 方法四:直接设出直线方程,联立运算,属于解决直线与抛物线位置关系问题的通性通法,思路直接,运 算复杂;方法五:反设直线,再通过联立,利用直角三角形的性质求解,运算较复杂; 方法六:利用焦点弦的性质直接求出其中一点的坐标,再根据斜率公式求出. 3.(江西·高考真题)过抛物线 的焦点 作倾角为 的直线,与抛物线分别交于 、 两 点( 在 轴左侧),则 . 【答案】 【详解】故答案为: . 考点 五 、 定比分点问题 x2 y2 1 已知过定点 P(0,3) 的直线与椭圆 + =1 交于两个不同的点 A,B, 且满足 ⃗AP=λ⃗PB, 求 λ 9 4 的取值范围. (x +λx y +λ y ) 解: 设点 A(x ,y ),B(x ,y ), 则由 ⃗AP=λ⃗PB知点 P 1 2, 1 2 , 1 1 2 2 1+λ 1+λ 又已知点 P(0,3), 所以 x +λx =0,y +λ y =3(1+λ) (1). 1 2 1 2 x2 y2 λ2x2 λ2y2 由点 A,B 在脒圆上得 1+ 1=1, 2+ 2=λ2, 9 4 9 4 (x +λx )(x −λx ) (y +λ y )(y −λ y ) 两式作差得 1 2 1 2 + 1 2 1 2 =1− λ2(2). 9 4 4 于是, 将(1) 代入 (2) 化简得 y −λ y = (1− λ). 1 2 3 3 2 13 5 由 y +λ y =3(1+λ) 可得 y = (1+ λ)+ (1−λ)= + λ∈[−2,2], 1 2 1 2 3 6 6 [ 1] 解得 λ∈ −5,− . 5 1.(浙江·高考真题)已知点P(0,1),椭圆 (m>1)上两点A,B满足 ,则当m= 时,点B横坐标的绝对值最大. 【答案】5 【分析】方法一:先根据条件得到A,B坐标间的关系,代入椭圆方程解得B的纵坐标,即得B的横坐标关 于m的函数关系,最后根据二次函数性质确定最值即可解出. 【详解】[方法一]:点差法+二次函数性质 设 ,由 得 因为A,B在椭圆上,所以 ,即 ,与相减得: ,所以, ,当且仅当 时取最等号,即 时,点B横坐标的绝对值 最大. 故答案为:5. [方法二]:【通性通法】设线+韦达定理 由条件知直线 的斜率存在,设 ,直线 的方程为 ,联立 得 ,根据韦达定理得 ,由 知 , 代入上式解得 ,所以 .此时 ,又 ,解得 . [方法三]:直线的参数方程+基本不等式 设直线 的参数方程为 其中t为参数, 为直线 的倾斜角,将其代入椭圆方程中化简得 ,设点A,B对应的参数分别为 ,则 .由韦达定理知 ,解得 ,所以 ,此时 ,即 ,代入 ,解得 . [方法四]:直接硬算求解+二次函数性质 设 ,因为 ,所以 . 即 ①, ②, 又因为 ,所以 . 不妨设 ,因此 ,代入②式可得 .化简整理得 .由此可知,当 时,上式有最大值16,即点B横坐标的绝对值有最大值2. 所以 . [方法五]:【最优解】仿射变换 如图1,作如下仿射变换 ,则 为一个圆. 根据仿射变换的性质,点B的横坐标的绝对值最大,等价于点 的横坐标的绝对值最大,则 . 当 时等号成立,根据 易得 ,此时 . [方法六]:中点弦性质的应用 设 ,由 可知 ,则 中点 .因为 ,所以 ,整理得 ,由于 ,则 时, ,所以 . 【整体点评】方法一:由题意中点 的坐标关系,以及点差法可求出点 的横、纵坐标,从而可以根据 二次函数的性质解出; 方法二:常规设线,通过联立,根据韦达定理以及题目条件求出点 的横坐标,然后利用基本不等式求出 最值,由取等条件得解,是该题的通性通法; 方法三:利用直线的参数方程与椭圆方程联立,根据参数的几何意义,解得点 的横坐标,再利用基本不 等式求出最值,由取等条件得解; 方法四:利用题目条件硬算求出点 的横坐标,再根据二次函数的性质解出; 方法五:根据仿射变换,利用圆的几何性质结合平面几何知识转化,求出对应点的横坐标的绝对值最大, 从而解出,计算难度小,是该题的最优解; 方法六:利用中点弦的性质找出点 的横、纵坐标关系,再根据关系式自身特征求出点 的横坐标的绝对 值的最大值,从而解出,计算量小,也是不错的方法.一、单选题 1.(2022高三·全国·专题练习)过双曲线的一个焦点且与双曲线的实轴垂直的弦叫做双曲线的通径,则双 曲线 的通径长是( ) A. B. C. D. 【答案】B 【分析】根据双曲线的通径长公式计算. 【详解】由已知 ,双曲线的通径长 , 故选:B. 2.(23-24高三上·四川内江·期末)椭圆 的焦点为 、 ,点 在椭圆上且 轴,则 到直线 的距离为( ) A. B.3 C. D. 【答案】A 【分析】先求出 、 的坐标,再由 轴,可求出 ,再由勾股定理可求出 ,然后利用等 面积法可求得结果. 【详解】由 ,得 , 所以 , 所以 , , 当 时, ,解得 , 因为 轴,所以 , 所以 , 设 到直线 的距离为 ,因为 ,所以 , 解得 , 故选:A 3.(23-24高二上·广东茂名·期末)过抛物线 的焦点作直线l,交抛物线于A、B两点.若线段 的 中点横坐标为2,则 ( ) A.3 B.4 C.5 D.6 【答案】C 【分析】由中点坐标公式结合定义法求解抛物线焦点弦即可. 【详解】由题意 ,所以 . 故选:C. 4.(23-24高三下·黑龙江·阶段练习)已知 为抛物线 的焦点,过 且斜率为1的直线 交 于 两点,若 ,则 ( ) A.1 B.2 C.3 D.4 【答案】A 【分析】写出直线方程,与抛物线联立,利用韦达定理及焦半径公式计算求解即可. 【详解】由已知得 ,则过 且斜率为1的直线为 ,设 , 联立 ,消去 得 , 则 , , ,解得 . 故选:A. 5.(20-21高二上·陕西西安·期中)如图,把椭圆, 的长轴 分成8等份,过每个分点,作x 轴的垂线交椭圆的上半部分于 , , , , , , 七个点,F是椭圆的一个焦点,则 ( ) A.25 B.26 C.27 D.28 【答案】D 【解析】设P点是椭圆上的任意点,根据椭圆的第二定义求出 ,根据题意可知 点为椭圆 与 轴正半轴的交点且 与 分别关于y轴对称,设出各点,代入 即可求解. 【详解】不妨设P点是椭圆上的任意点则由椭圆的第二定义可得: , 又a=4,b= , ,故 , ① ∵把椭圆 的长轴AB分成8等份,过每个分点作x轴的垂线交椭圆的上半部分于 七个点, ∴ 点为椭圆与 轴正半轴的交点且 与 分别关于y轴对称, ∴不妨设 且 , ∴ ,由①可得: ,. 故选:D. 6.(24-25高三上·四川·开学考试)已知抛物线 的焦点为 ,准线为 ,过 的直线与抛物线交于 点 、 ,与直线 交于点 ,若 且 ,则 ( ) A.1 B.2 C.3 D.4 【答案】C 【分析】设准线与 轴的交点为 ,作 , ,垂足分别为 , ,可得 ,可求 ,进而可得 ,求解即可. 【详解】设准线与 轴的交点为 ,作 , ,垂足分别为 , , 则 .根据抛物线定义知 , , 又若 ,且 , 因为 ,设 , 则 , ,又 ,解得 , , 所以 , 因为 , 所以 , ,解得 . 故选:C 二、多选题 7.(22-23高二上·辽宁·阶段练习)已知椭圆 为 的左焦点,直线 与 交于 两点 (点 在第一象限),直线 与椭圆 的另一个交点为 ,则( ) A. B.当 时, 的面积为C. D. 的周长的最大值为 【答案】AC 【分析】对A:由方程求 ,进而求 ;对B:根据方程结合题意运算求解;对C:设直线 ,利 用两点间距离公式结合韦达定理运算求解;对D:根据椭圆定义分析求解. 【详解】由椭圆方程 ,得 ,所以 ,所以 ,故A项正确; 当 时,点 到 的距离为2,所以 的面积为 ,故B项错误; 因为点 在第一象限,所以直线 的斜率一定存在,设直线 的斜率为 ,点 , ∵ ,则直线 , 联立方程 ,得到 ∴ , ∵ 在椭圆上,则 ,即 ∴ 同理 , 于是 , 故C项正确; 设椭圆的右焦点为 , 当直线 经过椭圆的右焦点 时, 的周长为 , 如果不经过右焦点 ,则连接 , , 可知 的周长小于 ,所以 的周长的最大值为 ,故D项错误. 故选:AC. 三、填空题 8.(22-23高二上·安徽马鞍山·期末)过点 作倾斜角为 的直线与 交于 ,则 . 【答案】 【分析】写出直线方程并与抛物线联立,再由焦点弦公式计算可得结果. 【详解】易知抛物线 的焦点为 ,倾斜角为 的直线斜率为 , 所以直线方程为 , 不妨设 ,联立 消去 整理可得 ; 所以可得 , 由焦点弦公式可得 . 故答案为: 9.(23-24高二上·安徽马鞍山·期末)过点 作直线与 交于A,B两点,若 ,则直线 的倾斜角为 . 【答案】 【分析】联立直线与抛物线方程可求得 ,再利用抛物线的焦点弦公式得到关于 的方程,解之即可 得解. 【详解】因为抛物线 的焦点坐标 ,准线为 , 则直线 过抛物线的焦点,且由题意可知直线 的斜率不为0, 不妨设直线 为 , , ,联立 ,消去 ,得 , 易知 ,则 ,故 , 因为 ,所以 ,即 ,故 , 所以直线 的方程为 ,则直线 的倾斜角为 . 故答案为: . 10.(2023·广东广州·模拟预测)已知抛物线 的焦点为F,点M在C上, 轴,若 (O为坐标原点)的面积为2,则 . 【答案】 【分析】根据所给条件,可得 ,再令 得 ,带入面积公式 ,计算即可得解. 【详解】由 ,令 得 , 所以 , 所以 , . 故答案为: 11.(2022高三·全国·专题练习)已知 、 是双曲线 的两个焦点,过 作垂直于 轴的直线 与双曲线相交,其中一个交点为 ,则 . 【答案】 【详解】求出 ,利用双曲线的定义可求得 . 【分析】在双曲线 中, , ,则 , 不妨设点 为该双曲线的左焦点,将 代入双曲线的方程可得 ,解得 , 所以, ,由双曲线的定义可得 . 故答案为: . 12.(2022高三·全国·专题练习)如果椭圆的一个焦点坐标为 ,过此焦点且垂直于 轴的弦的长等于 ,则这个椭圆的标准方程为 . 【答案】【分析】首先根据题意得到 ,再解方程组即可. 【详解】设椭圆的标准方程为 , 由题知: , 所求椭圆的标准方程为 . 故答案为: . 13.(23-24高二上·江西新余·阶段练习)已知抛物线 ,过焦点的直线与抛物线交于 、 两点,若 ,则此直线的斜率= . 【答案】 . 【分析】根据题意,设方程为 ,联立方程组得到 ,求得 ,结合抛物 线的定义,得到方程 ,进而求得直线的斜率. 【详解】由抛物线 ,可得其焦点坐标为 ,准线方程为 , 因为直线过抛物线的焦点,可设方程为 , 联立方程组 ,整理得 , 可得 ,则 , 由抛物线的定义可得 , 解得 ,所以直线的斜率为 . 故答案为: . 14.(23-24高二上·江苏南京·期末)已知椭圆 的焦距为 ,过椭圆的一个焦点,作 垂直于长轴的直线交椭圆于 两点,则 . 【答案】 / 【分析】由题意可知 ,得 ,然后可求出 ,从而可求出椭圆方程,再将 代入椭圆方程中求出 ,从而可求得 . 【详解】由题意可知 ,得 ,所以 , 所以椭圆方程为 , 椭圆的右焦点为 ,当 时, ,得 , 所以 . 故答案为: 15.(2019高三·全国·专题练习)设 , 分别是椭圆 的左、右焦点,过点 的直 线交椭圆E于A,B两点.若 , 轴,则椭圆E的方程为 . 【答案】 【分析】根据 轴,可求得A点坐标,又 ,得 ,则可求得B点坐标,代入椭圆 方程,即可求得 ,即可得答案. 【详解】设 , 因为 轴, 所以 ,代入椭圆方程得 ,设 , 因为 ,得 , 所以 , 解得 ,即 , 又B在椭圆上,将 代入椭圆方程得: ,又 ,解得 , 所以椭圆方程为: 故答案为: . 【点睛】本题考查椭圆的几何性质,将 ,转化为 ,可大大简化计算,考查分析理解, 求值计算的能力,属基础题. 一、单选题 1.(24-25高二上·全国·课后作业)已知椭圆C: 的焦点F(1,0),直线l: ,点 ,线段 AF交C于点B,若 ,则 等于( ) A. B.2 C. D.3 【答案】C 【分析】利用给定条件求出关键点坐标,结合平面向量模长公式求解即可. 【详解】设 , ,又 , 所以 , , 由 ,即 ,所以 又点B在椭圆C上,所以 ,解得 , 所以A点坐标为 , 所以 ,故C正确.故选:C 2.(2023·湖北武汉·模拟预测)已知椭圆 的左焦点为 ,离心率为 .倾斜角为 的直线与 交于 两点,并且满足 ,则 的离心率为( ) A. B. C. D. 【答案】A 【分析】设 ,用弦长公式表示出 ,用两点间的距离公式结合点在椭圆上的条件表示 出 ,代入题干条件即可求解. 【详解】设 ,则 ,由 , 消去 ,得 , 注意到 ,则 .于是 , 同理, . 因此 . 的倾斜角为 ,∴直线的斜率 , 根据弦长公式,可得 . 由 ,可得 ,故 . . 故选:A 3.(24-25高二上·江苏连云港·阶段练习)抛物线 : 的焦点为 ,直线 经过点 , 交 于 两点,交 轴于点 ,若 ,则错误的是( ) A. B.弦 的中点到 轴的距离为 C. D.点 的坐标为 【答案】D 【分析】对于A,由抛物线的方程可得焦点的坐标,进而可得 的值;对于D,由向量关系和抛物线定义 可得点 的横坐标,代入抛物线的方程可得点 的纵坐标,从而判断D;求出直线的斜率,进而求出直线的方程,与抛物线联立,求出两根之和,对于B,根据中点坐标公式,可求 中点到 轴的距离;对于 C,再由抛物线的性质可得焦点弦的长度,从而判断C. 【详解】对于A,因为抛物线 : 的焦点为 , 由题意,所以 ,即 ,故A正确; 对于D,如图:过点 作 垂直于 轴, 因为 ,所以 , 因为 ,所以 , 所以 ,代入 可得 ,故D错误; 不妨设点 在 轴下方, 则 ,所以直线 的方程为: ,即 , 由 得 , 所以 , 对于B,弦 的中点到 轴的距离为 ,故B正确; 对于C, ,故C正确. 故选:D 4.(23-24高二下·江西景德镇·阶段练习)已知双曲线 的左、右焦点分别为 ,过 的直线与双曲线 的右支交于 两点,若 ,则错误的是( )A. B.双曲线的离心率 C.双曲线的渐近线方程为 D.原点 在以 为圆心, 为半径的圆上 【答案】D 【分析】根据双曲线的定义求出焦点弦长与实半轴长 的关系,然后计算离心率,求渐近线方程,同时在 假设D正确的情况下,出现矛盾的结论,最终得出正确选项. 【详解】如图,设 ,则 ,所以 , , ,所以 , ∴ ,A正确; , , 在 中, , 在 中, , 即 , ,所以 ,B正确; 由 得 , ,渐近线方程为 ,C正确; 若原点 在以 为圆心, 为半径的圆上,则 , , 与B矛盾,不成立,D错. 故选:D. 【点睛】关键点睛:本题关键是利用双曲线的定义把焦点弦焦半径用 表示.从而寻找到 的选题关系 可求得离心率和渐近线方程. 5.(2024·河北秦皇岛·二模)已知A,B为椭圆 : 上两个不同的点(直线 与y轴不平行), F为C的右焦点,且 ,若线段 的垂直平分线交x轴于点P,则 ( )A. B. C. D. 【答案】A 【分析】设点A(x ,y ),B(x ,y ),求出 和 ,由条件得 ,依次求得线段 的中点坐 1 1 2 2 标和其中垂线斜率,写出中垂线方程,令 ,求得点 横坐标即得. 【详解】 如图,由题意知 ,设A(x ,y ),B(x ,y ), 1 1 2 2 根据点A,B在C上,则 , , 所以 , 同理可得 ,所以 , 所以 , 因线段 的中点为 , , 则 的垂直平分线的斜率为 , 又由 , ,作差化简得: , 则线段 垂直平分线的方程为 , 令 ,得: , 解得 ,所以 . 故选:A. 二、多选题6.(23-24高二上·陕西咸阳·期中)设椭圆C: 的焦点为 , ,P是C上的动点,则下列结论 正确的是( ) A.离心率 B. 的最大值为3 C. 面积的最大值为 D. 的最小值为2 【答案】AD 【分析】求出离心率可判断A;设 进行数量积的坐标运算结合 可判断B;计算 面 积的最大值 可判断C;应用 可判断D. 【详解】对于A:由椭圆 可知, , , , 所以左、右焦点分别为 , ,离心率 ,故选项A正确; 对于B:设 , , 则 , 的最大值为 ,故选项B错误; 对于C: ,当P点与椭圆的上下顶点重合时, 面积的最大, 所以 面积的最大值为 ,故选项C错误; 对于D: 的最小值为 , 的最小值为2,故选项D正确; 故选:AD. 7.(2024·广西来宾·模拟预测)已知抛物线 ,过 的焦点 作直线 ,若 与 交于 两点, ,则下列结论正确的有( ) A. B. C. 或 D.线段 中点的横坐标为 【答案】ABD【分析】由直线 ,可知焦点F(1,0),得 的值和抛物线方程,可判断A选项;直线方程代入抛 物线方程,由韦达定理结合 ,求出 两点坐标和 的值,结合韦达定理和弦长公式判断选项 BCD. 【详解】抛物线 的焦点 在 轴上, 过 作直线 ,可知F(1,0),则 ,得 ,A选项正确; 抛物线方程为 ,直线 的方程代入抛物线方程,得 . 设A(x ,y ),B(x ,y ),由韦达定理有 , , 1 1 2 2 ,得 ,解得 或 , ,则 或 ,C选项错误; 则 ,线段 中点的横坐标为 ,D选项正确; , ,B选项正确. 故选:ABD. 8.(22-23高二上·广东深圳·期末)已知 、 分别是双曲线 的左、右焦点, 为双曲线 上的动点, , ,点 到双曲线 一条渐近线的距离为 ,则下列选项正 确的有( ) A.双曲线 的实轴长为 B.双曲线 的离心率为 C. 的最小值为 D. 【答案】BCD 【分析】根据双曲线的定义求出 的值,可判断A选项;利用双曲线的离心率公式可判断B选项;利用双 曲线的焦半径公式可判断C选项;利用点到直线的距离公式可判断D选项. 【详解】对于A选项,由双曲线的定义可得 ,可得 , 所以,双曲线 的实轴长为 ,A错; 对于B选项,因为 ,则 ,所以,双曲线 的离心率为 ,B对; 对于C选项,因为 ,故点 在双曲线 的右支上, 易知 ,则双曲线 的方程为 ,设点 ,则 ,易知点 ,且 ,可得 , 所以, ,当且仅当 时,等号成立,C对; 对于D选项,双曲线 的渐近线方程为 ,即 , 所以,双曲线 的焦点 到渐近线 的距离为 ,D对. 故选:BCD. 9.(2024·河南·一模)已知双曲线 的左、右焦点分别为 、 , ,过 的直 线 与 的右支交于点 ,若 ,则( ) A. 的渐近线方程为 B. C.直线 的斜率为 D. 的坐标为 或 【答案】ABD 【分析】利用双曲线的焦距求出 的值,结合双曲线的渐近线方程,可判断A选项;利用勾股定理结合双 曲线的定义求出 、 的值,可判断B选项;利用直线斜率的定义可判断C选项;利用双曲线焦半径 公式求出点 的坐标,可判断D选项. 【详解】对于A选项, ,且 ,解得 ,又因为 ,故双曲线 的渐近线方程为 ,A对; 对于B选项,因为点 在右支上,则 ,① 又因为 ,则 ,② 联立①②可得 , ,所以, ,B对; 对于C选项,若点 在第一象限,则直线 的斜率为 , 若点 在第四象限,由对称性可知,直线 的斜率为 . 综上所述,直线 的斜率为 ,C错; 对于D选项,设点 ,则 ,且 ,可得 , 所以, , 解得 ,则 ,可得 ,即点 ,D对. 故选:ABD. 三、填空题 10.(2024·四川南充·二模)已知直线l过圆 的圆心,且与圆相交于A,B两点,P为椭圆 上一个动点,则 的最大值为 . 【答案】32 【分析】求出圆心坐标,结合平面向量的运算推出 ,再由椭圆性质即可得解. 【详解】由题意,圆 , 所以设圆心 ,半径为2, 因为直线 过圆 的圆心,且与圆相交于 , 两点, 所以 , 故 , 又 为椭圆 上一个动点,易知 为椭圆的左焦点, 故当点 位于椭圆右顶点时, 最大, 此时 ,则 的最大值为 . 故答案为:32. 11.(2024高三·全国·专题练习)已知椭圆 的焦点为 , ,若点 在椭圆上, 则满足 (其中 为坐标原点)的点 的个数为 . 【答案】4 【分析】设点 ,由焦半径公式表示出 、 ,即可得到 ,再由 得到方程,解得 即可判断. 【详解】设点 ,则 .由焦半径公式得 , 故 . ∵ ,∴ ,即 . 又∵ ,解得 ,∴满足条件的点 有4个. 故答案为: 12.(23-24高二下·安徽·阶段练习)已知抛物线 : 的焦点为 ,过点 的直线交 于 , 两点,则 的最小值是 . 【答案】6 【分析】当直线 的斜率不存在时,易知 ,设直线 的方程为 ,将其与抛 物线方程联立,根据抛物线的定义即可求出结果. 【详解】抛物线 的焦点为 ,设 , , , . 当直线 的斜率不存在时,直线 的方程为 ,代入 ,得 , 所以 , , , , 所以 , 当直线 的斜率存在时,设直线 的方程为 , 代入 ,得 ,则 , , 由抛物线的定义知, , , 于是 , 综上可得 故答案为:613.(23-24高二上·福建泉州·期中)已知双曲线 : 焦距为 ,左、右焦点分别 为 ,点 在 上且 轴, 的面积为 ,点 为双曲线右支上的任意一点,则 的取值范围是 【答案】 【分析】先计算双曲线的标准方程,再由焦半径公式计算即可. 【详解】由题意可知 , 代入双曲线方程有 , 又 的面积为 ,即 , 所以双曲线方程为: , 设 , 则 , 同理 , 因为 ,则 , 故答案为: . 14.(24-25高三上·上海·阶段练习)设椭圆 的左、右焦点分别为 、 ,直线l经过 点 ,且与Γ交于P、Q两点.若 ,且 ,则Γ的长轴长的最小值为 . 【答案】 【分析】利用数形结合,设 ,根据椭圆性质,表示出直角三角形三边,利用勾股定理建立等 式,再利用基本不等式求最值. 【详解】设 ,根据椭圆的性质,则 ,,则 , , 即 , , 整理得: , 当且仅当: ,即 时,取等号, 为最小值, 故长轴长 的最小值 , 故答案为: . 15.(2024高三·全国·专题练习)已知椭圆 的离心率为 .设l为过椭圆右焦点F的 直线,交椭圆于M,N两点,且l的倾斜角为 .则 . 【答案】 或 【分析】根据题意,联立直线与椭圆的方程,结合韦达定理代入计算,然后由 ,代入计算,即 可得到结果. 【详解】 因为 , ,所以 , , 设A(x ,y ),B(x ,y ), 1 1 2 2 所以椭圆 方程可化为 ,即 , 所以直线 方程为 ,联立 ,消去 可得 , 则 , 所以 , 令 ,则 ,化简可得 , 解得 ,所以 ,或 . 故答案为: 或 . 【点睛】关键点点睛:本题主要考查了椭圆的标准方程及其性质以及一元二次方程根与系数的关系,难度 较大,解答本题的关键在于将 转化为 .