当前位置:首页>文档>重难点09球的切、接问题及截面、翻折问题(6种考法)(解析版)_02高考数学_新高考复习资料_2024年新高考资料_一轮复习资料_一轮复习讲义2024年高考数学复习全程规划(新高考)

重难点09球的切、接问题及截面、翻折问题(6种考法)(解析版)_02高考数学_新高考复习资料_2024年新高考资料_一轮复习资料_一轮复习讲义2024年高考数学复习全程规划(新高考)

  • 2026-04-21 03:48:34 2026-04-21 03:48:34

文档预览

重难点09球的切、接问题及截面、翻折问题(6种考法)(解析版)_02高考数学_新高考复习资料_2024年新高考资料_一轮复习资料_一轮复习讲义2024年高考数学复习全程规划(新高考)
重难点09球的切、接问题及截面、翻折问题(6种考法)(解析版)_02高考数学_新高考复习资料_2024年新高考资料_一轮复习资料_一轮复习讲义2024年高考数学复习全程规划(新高考)
重难点09球的切、接问题及截面、翻折问题(6种考法)(解析版)_02高考数学_新高考复习资料_2024年新高考资料_一轮复习资料_一轮复习讲义2024年高考数学复习全程规划(新高考)
重难点09球的切、接问题及截面、翻折问题(6种考法)(解析版)_02高考数学_新高考复习资料_2024年新高考资料_一轮复习资料_一轮复习讲义2024年高考数学复习全程规划(新高考)
重难点09球的切、接问题及截面、翻折问题(6种考法)(解析版)_02高考数学_新高考复习资料_2024年新高考资料_一轮复习资料_一轮复习讲义2024年高考数学复习全程规划(新高考)
重难点09球的切、接问题及截面、翻折问题(6种考法)(解析版)_02高考数学_新高考复习资料_2024年新高考资料_一轮复习资料_一轮复习讲义2024年高考数学复习全程规划(新高考)
重难点09球的切、接问题及截面、翻折问题(6种考法)(解析版)_02高考数学_新高考复习资料_2024年新高考资料_一轮复习资料_一轮复习讲义2024年高考数学复习全程规划(新高考)
重难点09球的切、接问题及截面、翻折问题(6种考法)(解析版)_02高考数学_新高考复习资料_2024年新高考资料_一轮复习资料_一轮复习讲义2024年高考数学复习全程规划(新高考)
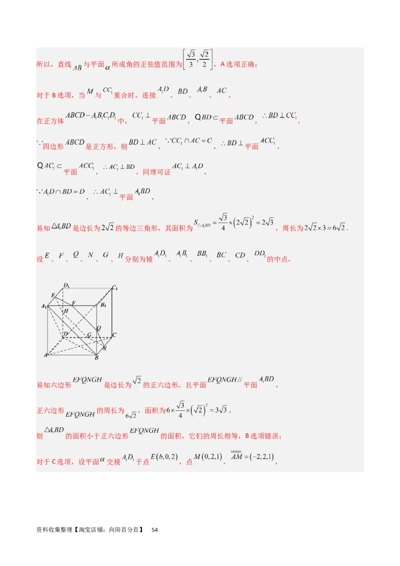
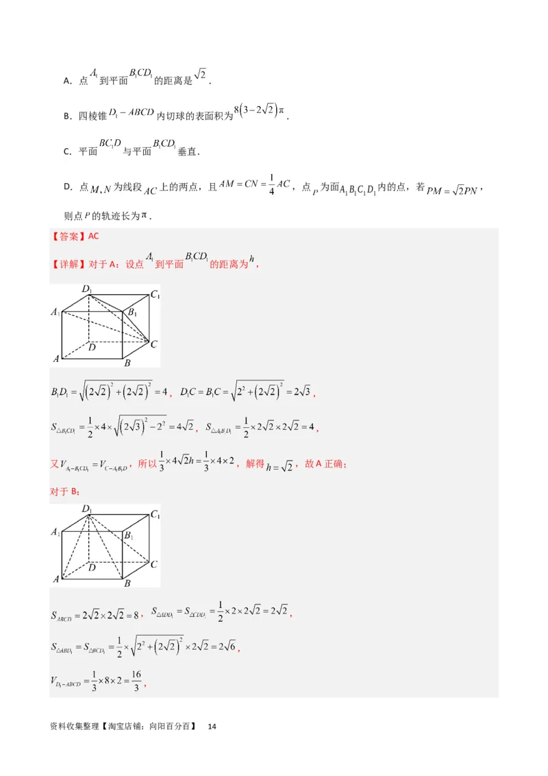
重难点09球的切、接问题及截面、翻折问题(6种考法)(解析版)_02高考数学_新高考复习资料_2024年新高考资料_一轮复习资料_一轮复习讲义2024年高考数学复习全程规划(新高考)
重难点09球的切、接问题及截面、翻折问题(6种考法)(解析版)_02高考数学_新高考复习资料_2024年新高考资料_一轮复习资料_一轮复习讲义2024年高考数学复习全程规划(新高考)
重难点09球的切、接问题及截面、翻折问题(6种考法)(解析版)_02高考数学_新高考复习资料_2024年新高考资料_一轮复习资料_一轮复习讲义2024年高考数学复习全程规划(新高考)
重难点09球的切、接问题及截面、翻折问题(6种考法)(解析版)_02高考数学_新高考复习资料_2024年新高考资料_一轮复习资料_一轮复习讲义2024年高考数学复习全程规划(新高考)
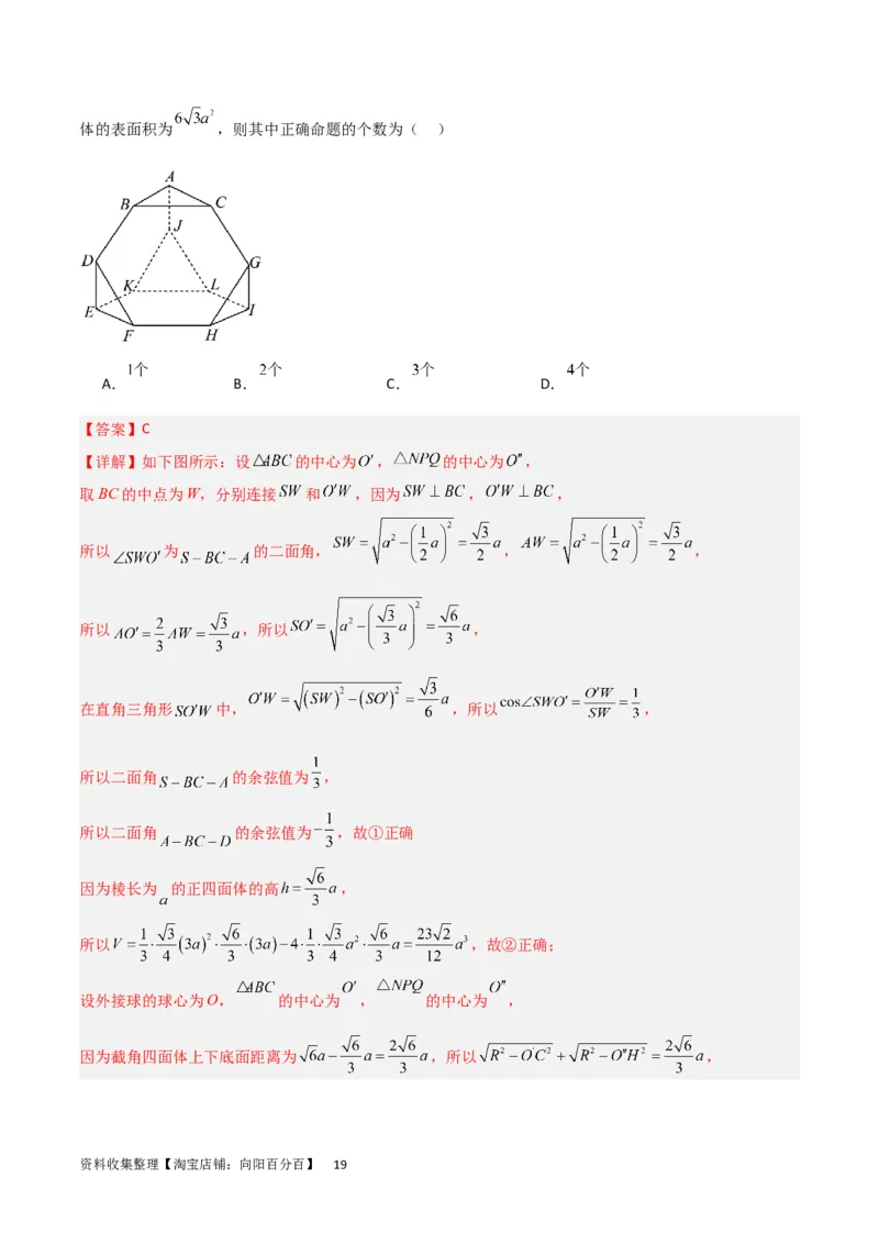
重难点09球的切、接问题及截面、翻折问题(6种考法)(解析版)_02高考数学_新高考复习资料_2024年新高考资料_一轮复习资料_一轮复习讲义2024年高考数学复习全程规划(新高考)
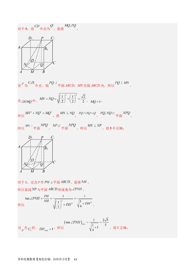
重难点09球的切、接问题及截面、翻折问题(6种考法)(解析版)_02高考数学_新高考复习资料_2024年新高考资料_一轮复习资料_一轮复习讲义2024年高考数学复习全程规划(新高考)
重难点09球的切、接问题及截面、翻折问题(6种考法)(解析版)_02高考数学_新高考复习资料_2024年新高考资料_一轮复习资料_一轮复习讲义2024年高考数学复习全程规划(新高考)
重难点09球的切、接问题及截面、翻折问题(6种考法)(解析版)_02高考数学_新高考复习资料_2024年新高考资料_一轮复习资料_一轮复习讲义2024年高考数学复习全程规划(新高考)
重难点09球的切、接问题及截面、翻折问题(6种考法)(解析版)_02高考数学_新高考复习资料_2024年新高考资料_一轮复习资料_一轮复习讲义2024年高考数学复习全程规划(新高考)
重难点09球的切、接问题及截面、翻折问题(6种考法)(解析版)_02高考数学_新高考复习资料_2024年新高考资料_一轮复习资料_一轮复习讲义2024年高考数学复习全程规划(新高考)
重难点09球的切、接问题及截面、翻折问题(6种考法)(解析版)_02高考数学_新高考复习资料_2024年新高考资料_一轮复习资料_一轮复习讲义2024年高考数学复习全程规划(新高考)
重难点09球的切、接问题及截面、翻折问题(6种考法)(解析版)_02高考数学_新高考复习资料_2024年新高考资料_一轮复习资料_一轮复习讲义2024年高考数学复习全程规划(新高考)
重难点09球的切、接问题及截面、翻折问题(6种考法)(解析版)_02高考数学_新高考复习资料_2024年新高考资料_一轮复习资料_一轮复习讲义2024年高考数学复习全程规划(新高考)
重难点09球的切、接问题及截面、翻折问题(6种考法)(解析版)_02高考数学_新高考复习资料_2024年新高考资料_一轮复习资料_一轮复习讲义2024年高考数学复习全程规划(新高考)
重难点09球的切、接问题及截面、翻折问题(6种考法)(解析版)_02高考数学_新高考复习资料_2024年新高考资料_一轮复习资料_一轮复习讲义2024年高考数学复习全程规划(新高考)
重难点09球的切、接问题及截面、翻折问题(6种考法)(解析版)_02高考数学_新高考复习资料_2024年新高考资料_一轮复习资料_一轮复习讲义2024年高考数学复习全程规划(新高考)
重难点09球的切、接问题及截面、翻折问题(6种考法)(解析版)_02高考数学_新高考复习资料_2024年新高考资料_一轮复习资料_一轮复习讲义2024年高考数学复习全程规划(新高考)
重难点09球的切、接问题及截面、翻折问题(6种考法)(解析版)_02高考数学_新高考复习资料_2024年新高考资料_一轮复习资料_一轮复习讲义2024年高考数学复习全程规划(新高考)
重难点09球的切、接问题及截面、翻折问题(6种考法)(解析版)_02高考数学_新高考复习资料_2024年新高考资料_一轮复习资料_一轮复习讲义2024年高考数学复习全程规划(新高考)
重难点09球的切、接问题及截面、翻折问题(6种考法)(解析版)_02高考数学_新高考复习资料_2024年新高考资料_一轮复习资料_一轮复习讲义2024年高考数学复习全程规划(新高考)
重难点09球的切、接问题及截面、翻折问题(6种考法)(解析版)_02高考数学_新高考复习资料_2024年新高考资料_一轮复习资料_一轮复习讲义2024年高考数学复习全程规划(新高考)
重难点09球的切、接问题及截面、翻折问题(6种考法)(解析版)_02高考数学_新高考复习资料_2024年新高考资料_一轮复习资料_一轮复习讲义2024年高考数学复习全程规划(新高考)
重难点09球的切、接问题及截面、翻折问题(6种考法)(解析版)_02高考数学_新高考复习资料_2024年新高考资料_一轮复习资料_一轮复习讲义2024年高考数学复习全程规划(新高考)
重难点09球的切、接问题及截面、翻折问题(6种考法)(解析版)_02高考数学_新高考复习资料_2024年新高考资料_一轮复习资料_一轮复习讲义2024年高考数学复习全程规划(新高考)
重难点09球的切、接问题及截面、翻折问题(6种考法)(解析版)_02高考数学_新高考复习资料_2024年新高考资料_一轮复习资料_一轮复习讲义2024年高考数学复习全程规划(新高考)
重难点09球的切、接问题及截面、翻折问题(6种考法)(解析版)_02高考数学_新高考复习资料_2024年新高考资料_一轮复习资料_一轮复习讲义2024年高考数学复习全程规划(新高考)
重难点09球的切、接问题及截面、翻折问题(6种考法)(解析版)_02高考数学_新高考复习资料_2024年新高考资料_一轮复习资料_一轮复习讲义2024年高考数学复习全程规划(新高考)
重难点09球的切、接问题及截面、翻折问题(6种考法)(解析版)_02高考数学_新高考复习资料_2024年新高考资料_一轮复习资料_一轮复习讲义2024年高考数学复习全程规划(新高考)
重难点09球的切、接问题及截面、翻折问题(6种考法)(解析版)_02高考数学_新高考复习资料_2024年新高考资料_一轮复习资料_一轮复习讲义2024年高考数学复习全程规划(新高考)
重难点09球的切、接问题及截面、翻折问题(6种考法)(解析版)_02高考数学_新高考复习资料_2024年新高考资料_一轮复习资料_一轮复习讲义2024年高考数学复习全程规划(新高考)
重难点09球的切、接问题及截面、翻折问题(6种考法)(解析版)_02高考数学_新高考复习资料_2024年新高考资料_一轮复习资料_一轮复习讲义2024年高考数学复习全程规划(新高考)
重难点09球的切、接问题及截面、翻折问题(6种考法)(解析版)_02高考数学_新高考复习资料_2024年新高考资料_一轮复习资料_一轮复习讲义2024年高考数学复习全程规划(新高考)
重难点09球的切、接问题及截面、翻折问题(6种考法)(解析版)_02高考数学_新高考复习资料_2024年新高考资料_一轮复习资料_一轮复习讲义2024年高考数学复习全程规划(新高考)
重难点09球的切、接问题及截面、翻折问题(6种考法)(解析版)_02高考数学_新高考复习资料_2024年新高考资料_一轮复习资料_一轮复习讲义2024年高考数学复习全程规划(新高考)
重难点09球的切、接问题及截面、翻折问题(6种考法)(解析版)_02高考数学_新高考复习资料_2024年新高考资料_一轮复习资料_一轮复习讲义2024年高考数学复习全程规划(新高考)
重难点09球的切、接问题及截面、翻折问题(6种考法)(解析版)_02高考数学_新高考复习资料_2024年新高考资料_一轮复习资料_一轮复习讲义2024年高考数学复习全程规划(新高考)
重难点09球的切、接问题及截面、翻折问题(6种考法)(解析版)_02高考数学_新高考复习资料_2024年新高考资料_一轮复习资料_一轮复习讲义2024年高考数学复习全程规划(新高考)
重难点09球的切、接问题及截面、翻折问题(6种考法)(解析版)_02高考数学_新高考复习资料_2024年新高考资料_一轮复习资料_一轮复习讲义2024年高考数学复习全程规划(新高考)
重难点09球的切、接问题及截面、翻折问题(6种考法)(解析版)_02高考数学_新高考复习资料_2024年新高考资料_一轮复习资料_一轮复习讲义2024年高考数学复习全程规划(新高考)
重难点09球的切、接问题及截面、翻折问题(6种考法)(解析版)_02高考数学_新高考复习资料_2024年新高考资料_一轮复习资料_一轮复习讲义2024年高考数学复习全程规划(新高考)
重难点09球的切、接问题及截面、翻折问题(6种考法)(解析版)_02高考数学_新高考复习资料_2024年新高考资料_一轮复习资料_一轮复习讲义2024年高考数学复习全程规划(新高考)
重难点09球的切、接问题及截面、翻折问题(6种考法)(解析版)_02高考数学_新高考复习资料_2024年新高考资料_一轮复习资料_一轮复习讲义2024年高考数学复习全程规划(新高考)
重难点09球的切、接问题及截面、翻折问题(6种考法)(解析版)_02高考数学_新高考复习资料_2024年新高考资料_一轮复习资料_一轮复习讲义2024年高考数学复习全程规划(新高考)
重难点09球的切、接问题及截面、翻折问题(6种考法)(解析版)_02高考数学_新高考复习资料_2024年新高考资料_一轮复习资料_一轮复习讲义2024年高考数学复习全程规划(新高考)
重难点09球的切、接问题及截面、翻折问题(6种考法)(解析版)_02高考数学_新高考复习资料_2024年新高考资料_一轮复习资料_一轮复习讲义2024年高考数学复习全程规划(新高考)
重难点09球的切、接问题及截面、翻折问题(6种考法)(解析版)_02高考数学_新高考复习资料_2024年新高考资料_一轮复习资料_一轮复习讲义2024年高考数学复习全程规划(新高考)
重难点09球的切、接问题及截面、翻折问题(6种考法)(解析版)_02高考数学_新高考复习资料_2024年新高考资料_一轮复习资料_一轮复习讲义2024年高考数学复习全程规划(新高考)
重难点09球的切、接问题及截面、翻折问题(6种考法)(解析版)_02高考数学_新高考复习资料_2024年新高考资料_一轮复习资料_一轮复习讲义2024年高考数学复习全程规划(新高考)
重难点09球的切、接问题及截面、翻折问题(6种考法)(解析版)_02高考数学_新高考复习资料_2024年新高考资料_一轮复习资料_一轮复习讲义2024年高考数学复习全程规划(新高考)
重难点09球的切、接问题及截面、翻折问题(6种考法)(解析版)_02高考数学_新高考复习资料_2024年新高考资料_一轮复习资料_一轮复习讲义2024年高考数学复习全程规划(新高考)
重难点09球的切、接问题及截面、翻折问题(6种考法)(解析版)_02高考数学_新高考复习资料_2024年新高考资料_一轮复习资料_一轮复习讲义2024年高考数学复习全程规划(新高考)
重难点09球的切、接问题及截面、翻折问题(6种考法)(解析版)_02高考数学_新高考复习资料_2024年新高考资料_一轮复习资料_一轮复习讲义2024年高考数学复习全程规划(新高考)
重难点09球的切、接问题及截面、翻折问题(6种考法)(解析版)_02高考数学_新高考复习资料_2024年新高考资料_一轮复习资料_一轮复习讲义2024年高考数学复习全程规划(新高考)
重难点09球的切、接问题及截面、翻折问题(6种考法)(解析版)_02高考数学_新高考复习资料_2024年新高考资料_一轮复习资料_一轮复习讲义2024年高考数学复习全程规划(新高考)
重难点09球的切、接问题及截面、翻折问题(6种考法)(解析版)_02高考数学_新高考复习资料_2024年新高考资料_一轮复习资料_一轮复习讲义2024年高考数学复习全程规划(新高考)
重难点09球的切、接问题及截面、翻折问题(6种考法)(解析版)_02高考数学_新高考复习资料_2024年新高考资料_一轮复习资料_一轮复习讲义2024年高考数学复习全程规划(新高考)
重难点09球的切、接问题及截面、翻折问题(6种考法)(解析版)_02高考数学_新高考复习资料_2024年新高考资料_一轮复习资料_一轮复习讲义2024年高考数学复习全程规划(新高考)
重难点09球的切、接问题及截面、翻折问题(6种考法)(解析版)_02高考数学_新高考复习资料_2024年新高考资料_一轮复习资料_一轮复习讲义2024年高考数学复习全程规划(新高考)
重难点09球的切、接问题及截面、翻折问题(6种考法)(解析版)_02高考数学_新高考复习资料_2024年新高考资料_一轮复习资料_一轮复习讲义2024年高考数学复习全程规划(新高考)
重难点09球的切、接问题及截面、翻折问题(6种考法)(解析版)_02高考数学_新高考复习资料_2024年新高考资料_一轮复习资料_一轮复习讲义2024年高考数学复习全程规划(新高考)
重难点09球的切、接问题及截面、翻折问题(6种考法)(解析版)_02高考数学_新高考复习资料_2024年新高考资料_一轮复习资料_一轮复习讲义2024年高考数学复习全程规划(新高考)

文档信息

文档格式
docx
文档大小
5.745 MB
文档页数
65 页
上传时间
2026-04-21 03:48:34

文档内容

重难点 09 球的切、接问题及截面、翻折问题(6 种考法) 【目录】 考法1:正方体(或长方体)的切、接球 考法2:柱体的切、接球 考法3:锥体的切、接球 考法4:台体的切、接球 考法5:截面问题 考法6:翻折问题 二、命题规律与备考策略 一、外接球题型归类: (1)三线垂直图形 计算公式:三棱锥三线垂直 还原成长方体 (2)由长方体(正方体)图形的特殊性质,可以构造如下三种模型: ①三棱锥对棱相等. , , , 是三个对棱棱长. ②等边三角形与等腰直角三角形连接. ③投影为矩形. (3)线面垂直型:线垂直一个底面(底面是任意多边形,实际是三角形或者四边形(少),它的外 接圆半径是r,满足正弦定理). 资料收集整理【淘宝店铺:向阳百分百】 1计算公式 ;其中 (4)面面垂直型 一般情况下,俩面是特殊三角形。垂面型,隐藏很深的线面垂直型 (5)垂线相交型 等边或者直角:等边三角形中心(外心)做面垂线,必过球心. 直角三角形斜边中点(外心)做面垂线,必过球心.许多情况下,会和二面角结合. 二、求多面体的外接球的半径,常用方法有: (1)三条棱两两互相垂直时,可恢复为长方体,利用长方体的体对角线为外接球的直径,求出球的半径; (2)直棱柱的外接球可利用棱柱的上下底面平行,借助球的对称性,球心为上下底面外接圆的圆心连线 的中点,再根据勾股定理求球的半径; (3)如果涉及几何体有两个面相交,可过两个面的外心分别作两个面的垂线,垂线的交点为几何体的球 心. 三、立体几何中截面的处理思路: (1)直接连接法:有两点在几何体的同一个平面上,连接该两点即为几何体与截面的交线,找截面就是 找交线的过程; (2)作平行线法:过直线与直线外一点作截面,若直线所在的平面与点所在的平面平行,可以通过过点 找直线的平行线找到几何体与截面的交线; (3)作延长线找交点法:若直线相交但在立体几何中未体现,可通过作延长线的方法先找到交点,然后 借助交点找到截面形成的交线; 资料收集整理【淘宝店铺:向阳百分百】 2(4)辅助平面法:若三个点两两都不在一个侧面或者底面中,则在作截面时需要作一个辅助平面. 三、题型方法 考法1:正方体(或长方体)的切、接球 1.(多选)(2023·江苏徐州·校考模拟预测)棱长为1的正方体 中,点 为线段 上一 点(不包括端点),点 为 上的动点,下列结论成立的有( ) A.过 的截面截正方体所得的截面多边形为等腰梯形 B. 的最小值为 C.当点 为线段 中点时,三棱锥 的外接球的半径为 D. 两点间的最短距离为 【答案】ABD 【详解】在正方体 中,平面 平面 , 设过 的截面截正方体所得的截面为 ,M为截面与 的交点, 因为平面 平面 ,平面 平面 , 所以 ,又 ,故 , 即 ∽ ,而 , 资料收集整理【淘宝店铺:向阳百分百】 3则 , 又点 为线段 上一点(不包括端点), , 即过 的截面截正方体所得的截面多边形为等腰梯形,A正确; 根据正方体性质可知 ≌ , 故可将 沿 转到和 重合位置,则 的最小值为 的长, 而正方体棱长为1,故 ,即 的最小值为 ,B正确; 当点 为线段 中点时,设 的中点为N,连接 , 由于 ,故 , 连接 交于G,连接 ,则四边形 为矩形, 故 , 平面 , 故 平面 ,又 ,则N为 的外心, 故三棱锥 的外接球的球心在 上,设为H,而 , ,则 , 设三棱锥 的外接球半径为r,则 , 解得 ,C错误; 当 分别为 的中点时,由C的分析可知Q位于N点位置, 资料收集整理【淘宝店铺:向阳百分百】 4此时 ,即此时 间距离最短,最短距离为 ,D正确, 故选:ABD 考法2:柱体的切、接球 2.(2023•吉安一模)已知正三棱柱ABC﹣A B C 的底面边长 ,其外接球的表面积为20 ,D是 1 1 1 π B C 的中点,点P是线段A D上的动点,过BC且与AP垂直的截面 与AP交于点E,则三棱锥A﹣ 1 1 1 BCE的体积的最大值为( ) α A. B. C. D. 【解答】解:外接球的表面积为20 ,可得外接球半径为 . π 因为正三棱柱柱ABC﹣A B C 的底面边长 , 1 1 1 所以 , 所以△A B C 的外接圆半径为 , 1 1 1 设三棱柱的侧棱长为h,则有 ,解得h=2,即侧棱AA =h=2, 1 设BC的中点为F,作出截面如图所示, 因为AP⊥ ,EF ,所以AE⊥EF,所以点E在以AF为直径的圆上, α ⊂α 当点E在弧AF的中点时,此时点E到底面ABC距离的最大,且最大值为 , 因为DF<AF,所以此时点P在线段A D上,符合条件, 1 所以三棱锥A﹣BCE的体积的最大值为 . 资料收集整理【淘宝店铺:向阳百分百】 5故选:A. 考法3:锥体的切、接球 3.(2022•新高考Ⅰ)已知正四棱锥的侧棱长为l,其各顶点都在同一球面上.若该球的体积为 36 ,且 π 3≤l≤3 ,则该正四棱锥体积的取值范围是( ) A.[18, ] B.[ , ] C.[ , ] D.[18,27] 【解答】解:如图所示,正四棱锥P﹣ABCD各顶点都在同一球面上,连接AC与BD交于点E,连接 PE,则球心O在直线PE上,连接OA, 设正四棱锥的底面边长为a,高为h, 在Rt△PAE中,PA2=AE2+PE2,即 = , ∵球O的体积为36 ,∴球O的半径R=3, π 在Rt△OAE中,OA2=OE2+AE2,即 , ∴ ,∴ , ∴l2=6h,又∵3≤l≤3 ,∴ , ∴该正四棱锥体积V(h)= = = , ∵V'(h)=﹣2h2+8h=2h(4﹣h), ∴当 时,V'(h)>0,V(h)单调递增;当4 时,V'(h)<0,V(h)单调递减, ∴V(h) =V(4)= , max 又∵V( )= ,V( )= ,且 , ∴ , 即该正四棱锥体积的取值范围是[ , ], 故选:C. 资料收集整理【淘宝店铺:向阳百分百】 64.(2023•新罗区校级三模)已知正六棱锥P﹣ABCDEF的各顶点都在球O的球面上,球心O在该正六棱 锥的内部,若球O的体积为36 ,则该正六棱锥体积的最大值为( ) π A. B. C. D. 【解答】解:如图,过P作PM⊥平面ABCDEF,则球心O在PM上, 设AB=a,PM=h,外接球的半径为R, 因为球O的体积为36 ,所以 解得R=3, 在Rt△AOM中,(h﹣π3)2+a2=9,所以a2=6h﹣h2, 正六棱锥的体积为 , 设 , 令f'(x)>0解得0<x<4, 令f'(x)<0解得x<0或x>4, 所以f(x)在(﹣∞,0)单调递减,(0,4)单调递增,(4,+∞)单调递减, 因为球心O在该正六棱锥的内部,所以h>3, 所以 在(3,4)单调递增,(4,+∞)单调递减, 所以 , 故选:B. 资料收集整理【淘宝店铺:向阳百分百】 75.(2023•雅安三模)已知圆锥的高为3,底面半径为 ,若该圆锥的顶点与底面的圆周都在同一个球面 上,则这个球的体积与圆锥的体积的比值为( ) A. B. C. D. 【解答】解:设球的半径为R, ∵圆锥的高h=3,底面圆的半径r= , ∴R2=(R﹣h)2+r2,即R2=(R﹣3)2+3, 解得:R=2, 故该球的体积V= = . 圆锥体积为:V′= =3 , π ∴这个球的体积与圆锥的体积的比值为: = = . 故选:B. 6.(2023·贵州毕节·校考模拟预测)已知正四棱锥 的各顶点都在球 的球面上, ,由 三点确定的平面 与侧棱 交于点 ,且 ,则球 的表面积为( ) A. B. C. D. 【答案】A 【详解】如图,连接 , 相交于 ,连接 , ,过 作 于 资料收集整理【淘宝店铺:向阳百分百】 8由 三点确定的平面 与侧棱 交于点 ,即平面 为平面 由正四棱锥 可得 平面 ,则球心 在 上 又 平面 ,所以 平面 , 又 平面 ,平面 平面 ,所以 因为 平面 ,所以 ,又 , 平面 ,所以 所以 ,则由 可得 ,所以 即 , 因为 ,所以 ,则 ,故 则 , 因为 ,所以 ,即 , 则 ,设外接球得半径为 ,则 , 在 中, ,即 ,解得 所以球 的表面积为 . 7.(2023·云南昭通·校联考模拟预测)已知圆锥PO的高及底面圆直径均为2,若圆锥PO在球 内,则 球 的体积的最小值为( ) A. B. C. D. 【答案】A 【详解】依题意,当球 的体积最小时,圆锥PO为球 的内切圆锥,因此圆锥PO的轴截面三角形外接 圆是球 的大圆, 资料收集整理【淘宝店铺:向阳百分百】 9设圆锥PO的轴截面等腰三角形底角为 ,而腰长为 ,则 , 因此球 的半径 ,所以球 的体积的最小值为 . 8.(2023·海南·海南中学校考模拟预测)如图,三棱锥 中, 的面积为 8,则三棱锥 外接球的表面积的最小值为( ) A. B. C. D. 【答案】A 【详解】取 中点 ,连接 ,设 , 依题意,由于 是 斜边 的中线, 故 ,同理 ,故 , 于是 为三棱锥 外接球的球心,设该外接球半径为 ,即 , 由勾股定理, ,由 , 由基本不等式, ,即 ,当 时, 取得最小值 , 于是外接球的表面积的最小值为 . 9.(2023·浙江·校联考模拟预测)在三棱锥 中, , ,二面角 资料收集整理【淘宝店铺:向阳百分百】 10的平面角为 ,则三棱锥 外接球表面积的最小值为( ) A. B. C. D. 【答案】B 【详解】当D在△ACD的外接圆上动的时候,该三棱锥的外接球不变, 故可使D点动到一个使得DA=DC的位置,取AC的中点M,连接 , 因为 ,DA=DC,所以 , ,故 即为二面角 的平面角, △ACB的外心为O,过O 作平面ABC的垂线,过△ACD的外心M作平面ACD的垂线,两条垂线均在平 1 1 面BMD内,它们的交点就是球心O,画出平面BMD,如图所示; 在平面ABC内,设 ,则 , , 因为 ,所以 ,所以 , 所以 令 ,则 , 所以 ,当且仅当 时取等, 10.(2023·云南·云南师大附中校考模拟预测)如图所示,在圆锥内放入两个大小不同的球 , ,使得 资料收集整理【淘宝店铺:向阳百分百】 11它们分别与圆锥的侧面和平面 都相切,平面 分别与球 , 相切于点 , .数学家 GerminalDandelin利用这个模型证明了平面 与圆锥侧面的交线为椭圆, , 为此椭圆的两个焦点,这 两个球也被称为Dandelin双球.若球 , 的半径分别为6和3,球心距离 ,则此椭圆的长轴长 为 . 【答案】 【详解】过切点E,F作出双球模型的轴截面,设球 分别与圆锥的同一条母线切于A,B两点, 有 ,过 作 于点C,则四边形 是矩形, 于是 , ,又 ,从而 , 设直线AB与平面 的交点为P,则有 , , 资料收集整理【淘宝店铺:向阳百分百】 12所以椭圆的长轴长 . 故答案为: 11.(2023·宁夏石嘴山·统考一模)在棱长为6的正方体 中, , 分别为 , 的 中点,则三棱锥 外接球的表面积为 . 【答案】 【详解】如图,设 , 分别为棱 , 的中点,则三棱锥 与三棱柱 外接球相 同. 在 中, , 由余弦定理 ,所以 ; 设 外接圆半径为 , 在 中,由正弦定理 故 外接圆半径 , 设三棱柱 外接球半径为 ,由勾股定理 , 则三棱锥 外接球的表面积 . 12.(多选)(2023·湖北武汉·华中师大一附中模拟)正四棱柱 ,底面边长为 ,侧棱 长为2,则下列结论正确的( ) 资料收集整理【淘宝店铺:向阳百分百】 13A.点 到平面 的距离是 . B.四棱锥 内切球的表面积为 . C.平面 与平面 垂直. D.点 为线段 上的两点,且 ,点 为面A B C D 内的点,若 , 1 1 1 1 则点 的轨迹长为 . 【答案】AC 【详解】对于A:设点 到平面 的距离为 , , , , , 又 ,所以 ,解得 ,故A正确; 对于B: , , , , 资料收集整理【淘宝店铺:向阳百分百】 14设内切球的半径为 ,则 ,解得 ,故B错误; 对于C:设底面 中心为 ,连接 交 于 ,则 为线段 中点, 则 , ,所以 为面 与面 所成角的平面角, 在 中, , ,∴ , 所以平面 与平面 垂直,故C正确; A B C D 对于D,设底面 中心为 ,底面 1 1 1 1中心为 ,分别以直线 分别为 轴建立空 间直角坐标系, 设点 ,又 , 由 得, ,整理得 , A B C D 所以 点轨迹为圆 在面 1 1 1 1内的部分(如下图 ), 因为 , , ,显然 ,所以 , 即 , 资料收集整理【淘宝店铺:向阳百分百】 15所以 的弧长不为 ,即点 的轨迹长不为 ,故D错误. 考法4:台体的切、接球 13.(2022•新高考Ⅱ)已知正三棱台的高为1,上、下底面边长分别为3 和4 ,其顶点都在同一球 面上,则该球的表面积为( ) A.100 B.128 C.144 D.192 π π π π 【解答】解:当球心在台体外时,由题意得,上底面所在平面截球所得圆的半径为 ,下 底面所在平面截球所得圆的半径为 ,如图, 设球的半径为R,则轴截面中由几何知识可得 ,解得R=5, ∴该球的表面积为4 R2=4 ×25=100 . 当球心在台体内时,π如图,π π 资料收集整理【淘宝店铺:向阳百分百】 16此时 ,无解. 综上,该球的表面积为100 . 故选:A. π 14.(2023·江苏徐州·校考模拟预测)圆台上底半径为 ,下底半径为 ,此圆台内接于表面积为 的 球,点 是上底面圆周上一动点,点 在下底面上的射影为 ,在下底面上过 点的直线交底面圆周于点 ,点 是下底面圆周上一动点,则三棱锥 体积的最大值为 . 【答案】 【详解】 圆台内接于表面积为 的球, 可得球的半径为4, 又圆台下底半径为4,故圆台的下底面为球的截面大圆,即球心为圆台的下底面的圆心, 设圆台的高为 ,则 ,解得 , 点 在下底面上的射影为 , 是以下底面的圆心为圆心, 为半径的圆上的点, 当 的面积最大时,三棱锥 的体积最大, 又圆的内接三角形中,内接正三角形的面积最大, 由底面的半径为4,可得正三角形的边长为 , 的面积的最大值为 , 三棱锥 体积的最大值为 . 考法5:截面问题 15.(2023·江西赣州·统考模拟预测)在直四棱柱 中,底面ABCD是边长为2的正方形, 资料收集整理【淘宝店铺:向阳百分百】 17侧棱 ,E是BC的中点,F是棱 上的点,且 ,过 作平面 ,使得平面 平面 AEF,则平面 截直四棱柱 ,所得截面图形的面积为( ) A. B. C.3 D. 【答案】A 【详解】 如图,取 的中点M,在 上取一点H,使得 ,连接 ,如上图, 则 , 平面 , 平面AEF, 平面 平面 ; 即过 点平行于平面AEF的平面截四棱柱 的图形是三角形 , 其中 , , 16.(2023·陕西西安·陕西师大附中校考模拟预测)截角四面体是一种半正八面体,可由四面体经过适当 的截角,即截去四面体的四个顶点所产生的多面体.如图所示,将棱长为 的正四面体沿棱的三等分点作 平行于底面的截面,得到所有棱长均为a的截角四面体,现给出下列四个命题:①二面角 的余 弦值为 ;②该截角四面体的体积为 ;③该截角四面体的外接球表面积为 ④该截角四面 资料收集整理【淘宝店铺:向阳百分百】 18体的表面积为 ,则其中正确命题的个数为( ) A. B. C. D. 【答案】C 【详解】如下图所示:设 的中心为 , 的中心为 , 取BC的中点为W,分别连接 和 ,因为 , , 所以 为 的二面角, , , 所以 ,所以 , 在直角三角形 中, ,所以 , 所以二面角 的余弦值为 , 所以二面角 的余弦值为 ,故①正确 因为棱长为 的正四面体的高 , 所以 ,故②正确; 设外接球的球心为O, 的中心为 , 的中心为 , 因为截角四面体上下底面距离为 ,所以 , 资料收集整理【淘宝店铺:向阳百分百】 19所以 ,所以 , 所以 ,所以 , 所以 ,故③正确; 由正四面体 中,题中截角四面体由4个边长为a的正三角形 及4个边长为a的正六边形构成,故 ,故④错误. 17.(2024·四川成都·石室中学校考模拟预测)在正方体 中, 分别为棱 的中点,动点 平面 , ,则下列说法错误的是( ) A. 的外接球面积为 B.直线 平面 C.正方体被平面 截得的截面为正六边形 D.点 的轨迹长度为 【答案】D 【详解】如图,设 的中点分别为 ,连接 . 由正方体的性质可得 ,而 为三角形 的中位线, 故 ,故 ,故 四点共面, 同理, 也四点共面,故 五点共面, 资料收集整理【淘宝店铺:向阳百分百】 20同理 也四点共面,故 六点共面. 正方体被平面 截得的截面为六边形, , 因为平面 平面 ,平面 平面 , 而平面 平面 ,故 , 而 为三角形 的中位线,故 ,故 , 但 与 方向相反,故 与 互补,而 为等边三角形, 故 ,故 , 同理 , 故正方体被平面 截得的截面为正六边形,故C正确. 由 , 平面 , 平面 ,故 平面 , 同理故 平面 ,而 平面 , 故平面 平面 ,而 平面 ,故 平面 ,故B正确. 对于A,将三棱锥 补成如图所示的长方体 , 其中 分别为 、 的中点, 则其外接球的直径即为 的体对角线的长度即 , 资料收集整理【淘宝店铺:向阳百分百】 21故三棱锥 的外接球的表面积为 ,故A正确. 建立如图所示的空间直角坐标系, 则 , 故 , 设平面 的法向量为 ,则 , 故 ,取 ,则 , 故 ,而 , 故 到平面 的距离为 , 而 ,故点 的轨迹为平面 与球面的截面(圆), 该圆的半径为 ,故圆的周长为 ,故D错误. 资料收集整理【淘宝店铺:向阳百分百】 2218.(2023·福建福州·福建省福州第一中学校考模拟预测)在矩形 中, ,将 沿 对角线 翻折至 的位置,使得平面 平面 ,则在三棱锥 的外接球中,以 为直径的截面到球心的距离为( ) A. B. C. D. 【答案】B 【详解】如图,取 的中点为 ,连接 ,过 作 ,垂足为 ,连接 . 因为三角形 为直角三角形,故 , 同理 ,故 , 所以 为三棱锥 的外接球的球心,而 , 因为 , 平面 ,平面 平面 , 平面 平面 ,故 平面 , 而 平面 ,故 . 在直角三角形 中, ,故 , 故 , 在直角三角形 中, , 故 ,故 . 设球心到以 为直径的截面的距离为 , 则 , 资料收集整理【淘宝店铺:向阳百分百】 2319.(多选)(2023·河北承德·统考模拟预测)如图,正六棱柱 的各棱长均为1, 下列选项正确的有( ) A.过A, , 三点的平面 截该六棱柱的截面面积为 B.过A, , 三点的平面 将该六棱柱分割成体积相等的两部分 C.以A为球心,1为半径的球面与该六棱柱的各面的交线总长为 D.以A为球心,2为半径的球面与该六棱柱的各面的交线总长为 【答案】ACD 【详解】对于A:过点A作 // ,设 , 连接 ,设 , 则过A, , 三点的平面 截该六棱柱的截面即为 , 可得 , 因为 ,且 // ,则 , 可得 , 因为 平面 , 平面 , 资料收集整理【淘宝店铺:向阳百分百】 24所以 , , 平面 ,可得 平面 , 平面 ,则 , 由 // ,则 , 连接 ,则 , 故截面面积 ,故A正确; 对于B:连接CE, 因为 平面 , 平面 , 所以 , , , 平面 ,可得 平面 , 则四棱锥 的高为 ,则其体积 , 四棱柱 的体积 , 三棱柱 的体积 , 故平面 下半部分的体积 , 正六棱柱 的体积 , 显然 ,故B错误; 资料收集整理【淘宝店铺:向阳百分百】 25对于C:因为球的半径为1,则球只与侧面 、侧面 和底面 相交, 因为 ,在侧面 、侧面 的交线为 个圆,在底面 的 交线为 个圆,半径均为1, 故交线的长为 ,故C正确; 对于D:因为球的半径为2,显然球不与侧面 、侧面 相交, 由选项A可知: 平面 ,且 , 则球与侧面 、侧面 分别交于点 、 , 连接 ,则 , 因为 平面 , 平面 , 所以 , , 平面 ,可得 平面 , 资料收集整理【淘宝店铺:向阳百分百】 26且 ,则球与侧面 的交线为 个圆,且半径为1, 同理可得:球与侧面 的交线为 个圆,且半径为1, 又因为 平面 ,且 , 则球与底面 的交线为 个圆,且半径为 , 又因为 ,则球与底面 的交点为D, 所以球面与该六棱柱的各面的交线总长为 ,故D正确; 故选:ACD. 20.(多选)(2023·云南曲靖·校考三模)如图,棱长为2的正方体 中,点 分别是 棱 的中点,则( ) A.直线 为异面直线 B. 平面 资料收集整理【淘宝店铺:向阳百分百】 27C.过点 的平面截正方体的截面面积为 D.点 是侧面 内一点(含边界), 平面 ,则 的取值范围是 【答案】BC 【详解】对于A,连接 , 由题意可知 ,因为 ,所以 ,所以 共面, 故选项A错误; 对于B,因为 , 平面 , 平面 , 所以 平面 ,同理, 平面 , 且 , 平面 , 所以平面 平面 , 连结 , 因为 , , ,且 平面 , 所以 平面 , 平面 , 所以 ,同理, ,且 , 平面 , 所以 平面 ,且平面 平面 , 资料收集整理【淘宝店铺:向阳百分百】 28所以 平面 ,故选项B正确; 对于C,连接 , 根据正方体的性质可得 ,且 , 所以平面 即为过点 的平面截正方体的截面,该四边形为等腰梯形, 其上底 ,下底 ,腰 ,高为 , 所以截面面积为 ,故选项C正确; 对于D,取 的中点 , 的中点H,连结 , 因为 ,且 ,所以四边形 是平行四边形, 所以 , 平面 , 平面 , 所以 平面 , 因为 , 平面 , 平面 , 资料收集整理【淘宝店铺:向阳百分百】 29所以 平面 ,且 , 平面 , 所以平面 平面 , 因为点 是侧面 内一点(含边界), 平面 , 所以点 的轨迹为线段 , 连接 , 在 中, , 点 到 的距离为 , 的取值范围为 ,故D错误. 21.(2023·云南·云南师大附中校考模拟预测)如图,棱长为 的正方体 中,点 、 满足 , ,其中 、 ,点 是正方体表面上一动点,下列说法正确的是 ( ) 资料收集整理【淘宝店铺:向阳百分百】 30A.当 时, 平面 B.当 时,若 平面 ,则 的最大值为 C.当 时,若 ,则点 的轨迹长度为 D.过 、 、 三点作正方体的截面,截面图形可以为矩形 【答案】AC 【详解】以点 为原点, 、 、 所在直线分别为 、 、 轴建立如下图所示的空间直角坐标 系, 则 、 、 , 、 、 , 对于A选项,当 时, , 设平面 的法向量为 , , , 则 ,取 ,可得 , 所以, ,则 , 因为 平面 ,故当 时, 平面 ,A对; 资料收集整理【淘宝店铺:向阳百分百】 31对于B选项,当 时, 为 中点, 分别取 、 中点 、 ,连接 、 、 、 、 , 因为 、 分别为 、 的中点,所以, , 又因为 且 ,所以,四边形 为平行四边形,则 , 所以, , 因为 平面 , 平面 ,所以, 平面 , 因为 且 , 、 分别为 、 的中点, 所以, 且 ,所以,四边形 为平行四边形,可得 且 , 又因为 且 ,所以, 且 , 故四边形 为平行四边形,则 , 因为 平面 , 平面 ,则 平面 , 因为 , 、 平面 平面 , 当点 为 的边上一点(异于点 )时,则 平面 ,则 平面 , 故点 的轨迹为 的边(除去点 ), 因为 ,同理可得 , 结合图形可得 ,B错; 资料收集整理【淘宝店铺:向阳百分百】 32当 时, 、 分别为 、 的中点,如下图所示: 此时点 、 、 , , 当点 在平面 内运动时,设点 ,其中 , , 则 , 因为 ,则 ,解得 , 设点 的轨迹分别交棱 、 于点 、 ,则 、 , 当点 在平面 内运动时,设点 ,其中 , , ,则 , 设点 的轨迹交棱 于点 ,则 ,设点 的轨迹交棱 于点 , 因为平面 平面 ,平面 平面 , 平面 平面 ,所以, ,同理可得 , 所以,四边形 为平行四边形,且 , , 因此,点 的轨迹的长度即为平行四边形 的周长 ,C对; 对于D选项,设截面 交棱 于点 ,连接 、 , 资料收集整理【淘宝店铺:向阳百分百】 33题意可知,截面 与平面 重合, A B C D 因为平面 平面 1 1 1 1,平面 平面 , 平面 平面 ,所以, ,同理可得 , 所以,四边形 为平行四边形, 易知 ,其中 ,所以, , , 所以, ,故 与 不可能垂直, 故平行四边形 不可能为矩形,故过 、 、 三点的截面不可能是矩形,D错. 22.(多选)(2023·江苏徐州·校考模拟预测)棱长为1的正方体 中,点 为线段 上 一点(不包括端点),点 为 上的动点,下列结论成立的有( ) A.过 的截面截正方体所得的截面多边形为等腰梯形 B. 的最小值为 C.当点 为线段 中点时,三棱锥 的外接球的半径为 D. 两点间的最短距离为 【答案】ABD 资料收集整理【淘宝店铺:向阳百分百】 34【详解】在正方体 中,平面 平面 , 设过 的截面截正方体所得的截面为 ,M为截面与 的交点, 因为平面 平面 ,平面 平面 , 所以 ,又 ,故 , 即 ∽ ,而 , 则 , 又点 为线段 上一点(不包括端点), , 即过 的截面截正方体所得的截面多边形为等腰梯形,A正确; 根据正方体性质可知 ≌ , 故可将 沿 转到和 重合位置,则 的最小值为 的长, 而正方体棱长为1,故 ,即 的最小值为 ,B正确; 当点 为线段 中点时,设 的中点为N,连接 , 由于 ,故 , 连接 交于G,连接 ,则四边形 为矩形, 资料收集整理【淘宝店铺:向阳百分百】 35故 , 平面 , 故 平面 ,又 ,则N为 的外心, 故三棱锥 的外接球的球心在 上,设为H,而 , ,则 , 设三棱锥 的外接球半径为r,则 , 解得 ,C错误; 当 分别为 的中点时,由C的分析可知Q位于N点位置, 此时 ,即此时 间距离最短,最短距离为 ,D正确, 23.(多选)(2023·福建泉州·泉州五中校考模拟预测)如图,棱长为2的正四面体 中, , 分 别为棱 , 的中点, 为线段 的中点,球 的表面正好经过点 ,则下列结论中正确的是 ( ) A. 平面 B.球 的体积为 C.球 被平面 截得的截面面积为 资料收集整理【淘宝店铺:向阳百分百】 36D.过点 与直线 , 所成角均为 的直线可作4条 【答案】ABD 【详解】设 分别为 的中点,连接 , 则 , 故 ,则四边形 为平行四边形, 故 交于一点,且互相平分,即O点也为 的中点, 又 ,故 , 平面 ,故 平面 , 由于 平面 ,则 平面 , 故 ,结合O点也为 的中点,同理可证 , 平面 ,故 平面 ,A正确; 由球O的表面正好经过点M,则球O的半径为 , 棱长为2的正四面体 中, ,M为 的中点, 则 ,故 , 则 ,所以球O的体积为 ,B正确; 由 平面 , 平面 ,故平面 平面 , 平面 平面 ,由于 平面 , 资料收集整理【淘宝店铺:向阳百分百】 37延长 交平面 于G点,则 平面 ,垂足G落在 上, 且G为正 的中心,故 , 所以 , 故球O被平面 截得的截面圆的半径为 , 则球O被平面 截得的截面圆的面积为 ,C错误; 由题意得,正四面体可以放入正方体内,如下图所示,将 平移至正方体的底面内,过 和 的角平分线作垂直于底面的平面,即平面 ,在平面内一定存在过O点的两条直线 使得该直线与直线 , 所成角均为 ,同理可知,过 和 的角平分线作垂直于底面的 平面也存在两条直线满足题意,所以过点 与直线 , 所成角均为 的直线可作4条,D正确. 24.(多选)(2023·河北·校联考三模)在棱长为1的正方体 的侧面 内(包含边 界)有一点 ,则下列说法正确的是( ) A.若点 到直线 与到直线 距离之比为 ,则点 的轨迹为双曲线的一部分 B.若点 到直线 与到直线 距离之比为 ,则点 的轨迹为抛物线的一部分 资料收集整理【淘宝店铺:向阳百分百】 38C.过点 三点作正方体 的截面,则截面图形是平行四边形 D.三棱锥 体积的最大值为 【答案】BCD 【详解】如图,以 为坐标原点,以 分别为 建立空间直角坐标系, 则 ,设侧面 内(包含边界)点 , 对于A:点 到直线 的距离为 , 由正方体知 面 ,又 面 ,所以 , 所以点 到直线 距离为 ,故 ,整理得 , 所以点 的轨迹为椭圆的一部分,故A错误; 对于B:点 到直线 与到直线 距离之比为 ,即 到直线 与到定点 的距离相等, 根据抛物线定义知点 的轨迹为抛物线的一部分,故B正确; 对于C:过点 作 分别交 于 ,连接 , 则 且 ,所以四边形 是平行四边形, 则平行四边形 为过点 三点的截面,故C正确; 资料收集整理【淘宝店铺:向阳百分百】 39对于D:当点 在 上时,点 到面 的距离最大为1, 此时三棱锥 体积 ,故D正确; 25.(多选)(2023·广东·校联考模拟预测)如图,在棱长为1的正方体 中, , 分 别是 的中点, 为线段 上的动点,则下列结论正确的是( ) A.存在点 ,使得 与 异面 B.不存在点 ,使得 C.直线 与平面 所成角的正切值的最小值为 D.过 三点的平面截正方体所得截面面积的最大值为 【答案】CD 【详解】对于A,连接 ,由正方体的性质知, , 所以 四点共面, , 平面 ,故A不正确; 资料收集整理【淘宝店铺:向阳百分百】 40对于B,设 中点为 ,连接 , 若 为 中点,则 平面ABCD,MN在面ABCD内,所以 , 在 中, , , 所以 ,故 , , 平面 , 所以 平面 , 平面 ,所以 ,故B不正确; 对于C,过点 作 平面 ,连接 , 所以直线 与平面 所成角为 , 所以 , 当 在 时, ,所以 ,故C正确; 资料收集整理【淘宝店铺:向阳百分百】 41对于D,由正方体中心对称(类比为球体,MN看作弦),故过 的截面经过对称中心O所得截面最大, 此时截面交棱 于中点, 也为中点, 所以 为 的中点时,过 、 、 三点的平面截正方体所得截面最大, 取 的中点 , 的中点 , 的中点 ,连接 、 、 、 、 , 所以过 、 、 三点的平面截正方体所得截面最大值为正六边形, 面积为 ,故D正确. 26.(多选)(2023·福建泉州·校联考模拟预测)如图圆柱内有一个内切球,这个球的直径恰好与圆柱的 高相等, , 为圆柱上下底面的圆心,O为球心,EF为底面圆 的一条直径,若球的半径 ,则 ( ) 资料收集整理【淘宝店铺:向阳百分百】 42A.球与圆柱的体积之比为 B.四面体CDEF的体积的取值范围为 C.平面DEF截得球的截面面积最小值为 D.若P为球面和圆柱侧面的交线上一点,则 的取值范围为 【答案】AD 【详解】对于A,球的体积为 ,圆柱的体积 ,则球与圆柱的体积之比为 ,A正确; 对于B,设 为点 到平面 的距离, ,而平面 经过线段 的中点 , 四面体CDEF的体积 ,B错误; 对于C,过 作 于 ,如图,而 ,则 , 资料收集整理【淘宝店铺:向阳百分百】 43又 ,于是 ,设截面圆的半径为 ,球心 到平面 的距离为 ,则 , 又 ,则平面DEF截球的截面圆面积 ,C错误; 对于D,令经过点P的圆柱的母线与下底面圆的公共点为Q,连接 , 当 与 都不重合时,设 ,则 ,当 与 之一重合时,上式也成立, 因此 , , 则 , 令 ,则 ,而 ,即 , 因此 ,解得 ,所以 的取值范围为 ,D正确. 27.(2023·广东江门·统考一模)勒洛Franz Reuleaux(1829~1905),德国机械工程专家,机构运动学的 创始人.他所著的《理论运动学》对机械元件的运动过程进行了系统的分析,成为机械工程方面的名著.勒 洛四面体是一个非常神奇的“四面体”,它能在两个平行平面间自由转动,并且始终保持与两平面都接触, 因此它能像球一样来回滚动.勒洛四面体是以正四面体的四个顶点为球心,以正四面体的棱长为半径的四个 球的相交部分围成的几何体.如图所示,设正四面体 的棱长为2,则下列说法正确的是( ) A.勒洛四面体能够容纳的最大球的半径为 B.勒洛四面体被平面 截得的截面面积是 资料收集整理【淘宝店铺:向阳百分百】 44C.勒洛四面体表面上交线 的长度为 D.勒洛四面体表面上任意两点间的距离可能大于2 【答案】ABD 【详解】A选项,先求解出正四面体 的外接球,如图所示: 取 的中点 ,连接 ,过点 作 于点 ,则 为等边 的中心, 外接球球心为 ,连接 ,则 为外接球半径,设 , 由正四面体的棱长为2,则 , , , , , 由勾股定理得: ,即 , 解得: , 此时我们再次完整的抽取部分勒洛四面体,如图所示: 图中取正四面体 中心为 ,连接 交平面 于点 ,交 于点 ,其中 与 共面, 资料收集整理【淘宝店铺:向阳百分百】 45其中 即为正四面体外接球半径 , 设勒洛四面体内切球半径为 ,则 ,故A正确; B选项,勒洛四面体截面面积的最大值为经过正四面体某三个顶点的截面,如图所示: 面积为 ,B正确; C选项,由对称性可知:勒洛四面体表面上交线 所在圆的圆心为 的中点 , 故 ,又 , 由余弦定理得: , 故 ,且半径为 ,故交线 的长度等于 ,C错误; D选项,将正四面体对棱所在的弧中点连接,此时连线长度最大,如图所示: 连接 ,交 于中点 ,交 于中点 ,连接 ,则 , 则由C选项的分析知: , 资料收集整理【淘宝店铺:向阳百分百】 46所以 , 故勒洛四面体表面上两点间的距离可能大于2,D正确. 28.(多选)(2023·广东潮州·统考二模)在正方体 中, ,点P满足 ,其中 ,则下列结论正确的是( ) A.当 平面 时, 与 所成夹角可能为 B.当 时, 的最小值为 C.若 与平面 所成角为 ,则点P的轨迹长度为 D.当 时,正方体经过点 、P、C的截面面积的取值范围为 【答案】AC 【详解】建立如图所示的空间直角坐标系 , 则 , 所以 , 则 ,设平面 的一个法向量为 , 所以 , 资料收集整理【淘宝店铺:向阳百分百】 47令 ,则 ,即平面 的一个法向量为 , 若 平面 ,则 ,即 , 故 ,故 ,其中 , 令 , 解得: 或1, 故 与 可能是 ,A正确; B选项,因为 ,故 点在棱 上, 如图,将平面 与平面 沿着 展成平面图形, 线段 即为 的最小值, 利用余弦定理可得: , 所以 ,B错误; C选项,因为 ⊥平面 ,连接 ,则 即为 与平面 所成角, 若 与平面 所成角为 ,则 ,所以 , 即点 的轨迹是以 为圆心,以1为半径的 个圆, 资料收集整理【淘宝店铺:向阳百分百】 48于是点 的轨迹长度为 ,C正确; D选项,当 时, 点在 上,过点 作 交 于点 ,连接 , 则 ,所以平行四边形 即为正方体过点 、P、C的截面, 设 , 所以 ,则 , , 所以点 到直线 的距离为 , 于是当 时, , 的面积取得最小值,此时截面面积最小为 , 当 或1时, , 的面积取得最大值,此时截面面积最大为 , 故截面面积的取值范围为 ,D错误. 资料收集整理【淘宝店铺:向阳百分百】 4929.(多选)(2022·湖北武汉·武汉二中校考模拟预测)勒洛四面体是一个非常神奇的“四面体”,它能 在两个平行平面间自由转动,并且始终保持与两平面都接触,因此它能像球一样来回滚动.勒洛四面体是以 正四面体的四个顶点为球心,以正四面体的棱长为半径的四个球的公共部分,如图所示,若正四面体 ABCD的棱长为a,则( ) A.能够容纳勒洛四面体的正方体的棱长的最小值为a B.勒洛四面体能够容纳的最大球的半径为 C.勒洛四面体的截面面积的最大值为 D.勒洛四面体的体积 【答案】AD 【详解】由题意知:勒洛四面体表面上任意两点间距离为a,故A正确; 勒洛四面体能容纳的最大球,与勒洛四面体的弧面相切,如图1,其中点E为该球与勒洛四面体的一个切 点,O为该球的球心,易知该球的球心O为正四面体ABCD的中心,半径为OE,连接BE,易知BOE三点 共线,设正四面体ABCD的外接球半径为 ,则由题意得: 资料收集整理【淘宝店铺:向阳百分百】 50,解得: , 所以 , 易知 ,故B错误; 勒洛四面体最大的截面即经过四面体ABCD表面的截面,如图2, 则勒洛四面体截面面积最大值为三个半径为a,圆心角为60°的扇形的面积减去两个边长为a的正三角形的 面积,即 ,故C错误; 勒洛四面体的体积介于正四面体ABCD的体积和正四面体ABCD的外接球体积之间, 正四面体底面面积为 ,底面所在圆的半径为 ,故正四面体的高为 资料收集整理【淘宝店铺:向阳百分百】 51,所以正四面体ABCD的体积 , 设正四面体ABCD的外接球半径为 ,则由题意得: ,解得: , 所以外接球体积 所以勒洛四面体的体积 ,D正确. 30.(2022·湖南怀化·统考一模)如下图,正方体 中,M为 上的动点, 平面 , 则下面说法正确的是( ) A.直线AB与平面 所成角的正弦值范围为 B.点M与点 重合时,平面 截正方体所得的截面,其面积越大,周长就越大 资料收集整理【淘宝店铺:向阳百分百】 52C.点M为 的中点时,平面 经过点B,则平面 截正方体所得截面图形是等腰梯形 D.已知N为 中点,当 的和最小时,M为 的三等分点 【答案】AC 【分析】以点 为坐标原点, 、 、 所在直线分别为 、 、 轴建立空间直角坐标系 , 利用空间向量法可判断A选项的正误;证明出 平面 ,分别取棱 、 、 、 、 、 的中点 、 、 、 、 、 ,比较 和六边形 的周长和面积的大小,可判断B选 项的正误;利用空间向量法找出平面 与棱 、 的交点 、 ,判断四边形 的形状可判断C 选项的正误;将矩形 与矩形 延展为一个平面,利用 、 、 三点共线得知 最 短,利用平行线分线段成比例定理求得 ,可判断D选项的正误. 【详解】对于A选项,以点 为坐标原点, 、 、 所在直线分别为 、 、 轴建立空间直角坐 标系 ,则点 、 、设点 , 平面 ,则 为平面 的一个法向量,且 , , , 资料收集整理【淘宝店铺:向阳百分百】 53所以,直线 与平面 所成角的正弦值范围为 ,A选项正确; 对于B选项,当 与 重合时,连接 、 、 、 , 在正方体 中, 平面 , 平面 , , 四边形 是正方形,则 , , 平面 , 平面 , ,同理可证 , , 平面 , 易知 是边长为 的等边三角形,其面积为 ,周长为 . 设 、 、 、 、 、 分别为棱 、 、 、 、 、 的中点, 易知六边形 是边长为 的正六边形,且平面 平面 , 正六边形 的周长为 ,面积为 , 则 的面积小于正六边形 的面积,它们的周长相等,B选项错误; 对于C选项,设平面 交棱 于点 ,点 , , 资料收集整理【淘宝店铺:向阳百分百】 54平面 , 平面 , ,即 ,得 , , 所以,点 为棱 的中点,同理可知,点 为棱 的中点,则 , , 而 , , 且 , 由空间中两点间的距离公式可得 , , , 所以,四边形 为等腰梯形,C选项正确; 对于D选项,将矩形 与矩形 延展为一个平面,如下图所示: 若 最短,则 、 、 三点共线, , , ,所以,点 不是棱 的中点,D选项错误. 考法6:翻折问题 31.(2023·江西赣州·统考模拟预测)如图,正三角形 中, 、 分别为边 、 的中点,其中 资料收集整理【淘宝店铺:向阳百分百】 55,把 沿着 翻折至 的位置,则当四棱锥 的体积最大时,四棱锥 外接球的表面积为 . 【答案】 【详解】设 分别是 的中点,则 三点共线,且 , 设等边三角形 的外接圆圆心为 ,半径为 , 由正弦定理得 , , 设等腰梯形 的外接圆圆心为 ,半径为 , ,所以 ,解得 , 故 与 重合, , 依题意可知,当四棱锥 的体积最大时,平面 平面 . 设得四棱锥 外接球的半径为 ,则 , 所以外接球的半径为 . 故答案为: . 32.(2023·江西赣州·统考模拟预测)如图,正三角形ABC中,D,E分别为边AB,AC的中点,其中 资料收集整理【淘宝店铺:向阳百分百】 56,把 沿着DE翻折至 的位置,得到四棱锥 ,则当四棱锥 的体积 最大时,四棱锥 外接球的球心到平面 的距离为 . 【答案】 【详解】 由题意可知,当平面 平面 时,四棱锥 的体积最大,如图所示, 取 的中点 ,连接 ,则 , 又平面 平面 , 平面 ,所以 平面 . 则 的外接圆的圆心 位于 且靠近点 的三等分点处, 设 的中点为 ,连接 ,则 , 所以 为四边形 的外接圆的圆心, 过 作平面 的垂线,过 作平面 的垂线, 则两垂线的交点即为四棱锥 的外接球的球心 , 连接 ,则四边形 为矩形, 所以 , 资料收集整理【淘宝店铺:向阳百分百】 57连接 ,在 中, . 设四棱锥 的外接球的半径为 ,则 . 连接 , , , , , 连接 ,则 ,所以 外接圆的圆心在 上,令其半径为 , 在 中, , 所以 ,即 ,解得 , 设四棱锥 外接球的球心到平面 的距离为 , 所以 ,即 ,解得 , 故四棱锥 外接球的球心到平面 的距离为 . 33.(2023·陕西西安·陕西师大附中校考模拟预测)在直四棱柱 中, , ,M,N在棱 , 上,且 , ,过 的平面交 于G,则截面 的 面积为 . 【答案】 【详解】取 上靠近点 的一个四等分点 ,连接 , , 因为 ,所以 且 ,则四边形 为平行四边形, 所以 且 ,过点 作 ,因为 ,所以四边形 为平行四边形, 则 且 ,所以 且 ,则截面 为平行四边形, 由直四棱柱的性质可得, 资料收集整理【淘宝店铺:向阳百分百】 58, , , 在△ 中,由余弦定理得, , 所以 , 则截面 的面积为 ; 故答案为:6 34.如图,等腰直角 的斜边 为直角 的直角边, 是 的中点, 在 上,将三角形 沿 翻折,分别连接 、 、 ,使得平面 平面 .已知 , . (1)证明: (2)若 ,求平面 与平面 的夹角的余弦值. 【答案】(1)证明见解析 (2) 资料收集整理【淘宝店铺:向阳百分百】 59【详解】(1)证明:过点 在平面 内作 ,垂足为 , 平面 平面 ,平面 平面 , 平面 , 平面 , 平面 , , 是等腰直角三角形 斜边 的中点, , 又 , 、 平面 , 平面 , 平面 , . (2)解:由题意可知,在等腰直角三角形 中, , , 在平面 内, , ,则 , 为 的中点,则 为直角三角形 的中位线, , , , , , , , , , 以 为原点, 、 、 的方向分别为 、 、 轴的正方向建立如下图所示的空间直角坐标系, 资料收集整理【淘宝店铺:向阳百分百】 60设平面 的法向量 ,则 、 、 , , , 由 得 ,令 ,则 , 显然,平面 的一个法向量为 , . 因此,平面 与平面 的夹角的余弦值 . 35.(2022秋·新疆和田·高三统考期中)如图1,等腰梯形ABCD中,AD// E是 BC的中点,如图2将 沿AE折起,使面 面 连接 是棱BC上的动点. 资料收集整理【淘宝店铺:向阳百分百】 61(1)求证: (2)若 ,当 为何值时,二面角 的大小为 【答案】(1)证明见解析 (2) 【详解】(1)取 中点为 ,连接 , 依题意知, 均为等边三角形, 所以 又 平面 , 所以 平面 , 又 平面 , 所以 . (2)因为平面 平面 , ,平面 平面 , 平面 , 所以 平面 , 又 平面 , 所以 . 因为 所以建立空间直角坐标系 ,如图所示 资料收集整理【淘宝店铺:向阳百分百】 62,则 , , 设 ,则 , 设平面 的法向量为 ,则 ,即 , 令 ,则 , , 所以 , 易知平面 的法向量为 , 因为二面角 的大小为 , 所以 ,化简得 , 资料收集整理【淘宝店铺:向阳百分百】 63解得 或 (舍). 所以当 时,二面角 的大小为 . 36.(2023·江苏扬州·统考模拟预测)如图,平行六面体 的体积为6,截面 的面积 为6. (1)求点 到平面 的距离; (2)若 , ,求直线 与平面 所成角的正弦值. 【答案】(1)1 (2) 【详解】(1)在平行六面体 中, 是三棱柱, , 设点 到平面 的距离为 ,则 ,所以 , 即点 到平面 的距离为1. (2)在 中, ,所以 是菱形,连接 交 于 ,则 , 由(1)知点 到平面 的距离为1,所以 平面 . 设点 在直线 上射影为点 , 资料收集整理【淘宝店铺:向阳百分百】 64则 ,且 , 所以 和 重合,即 . 以 为坐标原点, 分别为 轴, 轴, 轴,建立空间直角坐标系, 则 , 根据 ,则 , ,设平面 的一法向量为 , 则 ,取 ,则 , 设直线 与平面 所成角为 ,则 , 所以直线 与平面 所成角正弦值为 . 资料收集整理【淘宝店铺:向阳百分百】 65