文档
办公文件
生活文档
学习资料
当前位置:
首页
>
文档
>高中优秀作文范文《以吾少年意气,护祖国之盛世》#作文#抖音图文来了_中小学精品资料(高清可打印)_初中大全集高清资料整理版
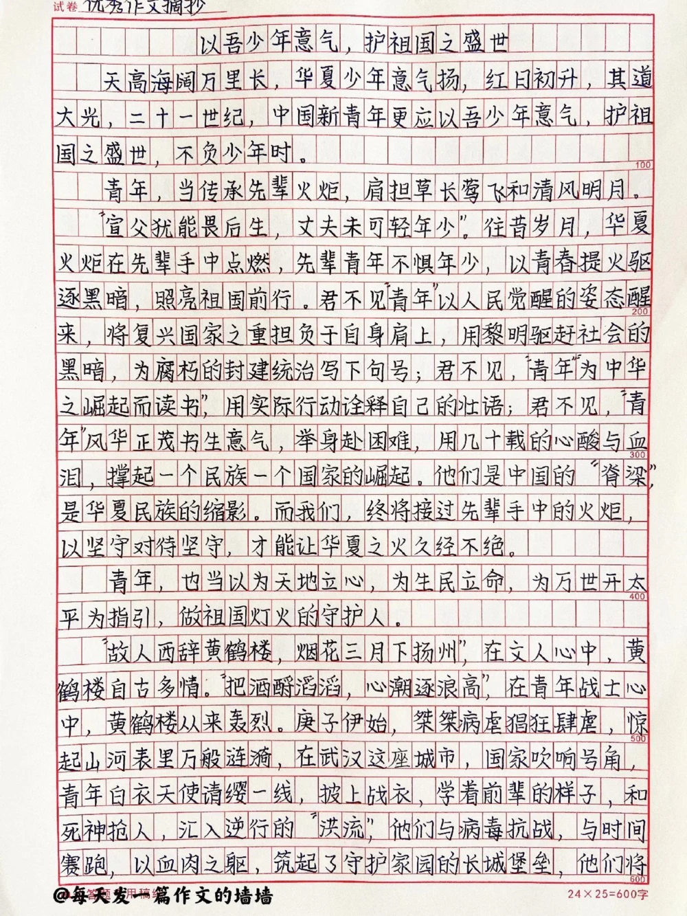
高中优秀作文范文《以吾少年意气,护祖国之盛世》#作文#抖音图文来了_中小学精品资料(高清可打印)_初中大全集高清资料整理版
2026-03-02 04:33:51
2026-01-23 05:13:13
文档预览
文档信息
文档格式
pdf
文档大小
1.887 MB
文档页数
2 页
上传时间
2026-01-23 05:13:13
下载文档
本文档来自网络内容,如有侵犯您的权益请联系我们删除,联系邮箱:wyl860211@qq.com。
上一篇
高中优秀作文摘抄《拒做“咸鱼”,人生不躺平》#作文#抖音图文来了_中小学精品资料(高清可打印)_初中大全集高清资料整理版
下一篇
高中优秀作文范文摘抄《天生傲骨,怎能服输》努力让自己变得更好更优秀#作文#作文素材#抖音图文来了_中小学精品资料(高清可打印)_初中大全集高清资料整理版
最新文档
2014年高考真题英语(山东卷)(解析版)_全国卷+地方卷_3.英语_1.英语高考真题试卷_2008-2020年_地方卷_山东高考英语07-22(含15-22的听力)_A4-更新至2022
专题08我国的疆域、人口与民族-2025年中考地理知识点梳理(挖空版)_02中考总复习(2026版更新中)_09-地理-中考总复习_2025中考地理复习资料_2025年中考地理知识点_挖空版+背诵版
2014年高考真题英语(山东卷)(解析版)_全国卷+地方卷_3.英语_1.英语高考真题试卷_2008-2020年_地方卷_山东高考英语07-22(含15-22的听力)_A3版--赠送更新至2021_PDF版
专题08我们邻近的国家和地区(解析版)_02中考总复习(2026版更新中)_09-地理-中考总复习_2024年中考复习资料_一轮复习_完一轮通关备战2024年中考地理一轮复习真题通关练
2014年高考真题英语(山东卷)(解析版)_全国卷+地方卷_3.英语_1.英语高考真题试卷_2008-2020年_地方卷_山东高考英语07-22(含15-22的听力)_A3版--赠送更新至2021
2014年高考真题英语(山东卷)(原卷版)_全国卷+地方卷_3.英语_1.英语高考真题试卷_2008-2020年_地方卷_山东高考英语07-22(含15-22的听力)_PDF版--赠送更新至2021
专题08我们邻近的国家和地区(原卷版)_02中考总复习(2026版更新中)_09-地理-中考总复习_2024年中考复习资料_一轮复习_完一轮通关备战2024年中考地理一轮复习真题通关练
2014年高考真题英语(山东卷)(原卷版)_全国卷+地方卷_3.英语_1.英语高考真题试卷_2008-2020年_地方卷_山东高考英语07-22(含15-22的听力)_A4-更新至2022
专题08必考题型:材料题(查补能力·提升练)(解析版)_02中考总复习(2026版更新中)_06-历史-中考总复习_2024年中考复习资料_三轮复习_查补能力·提升练
2014年高考真题英语(山东卷)(原卷版)_全国卷+地方卷_3.英语_1.英语高考真题试卷_2008-2020年_地方卷_山东高考英语07-22(含15-22的听力)_A3版--赠送更新至2021_PDF版
热门文档
2014年高考真题英语(山东卷)(原卷版)_全国卷+地方卷_3.英语_1.英语高考真题试卷_2008-2020年_地方卷_山东高考英语07-22(含15-22的听力)_A3版--赠送更新至2021
2014年高考真题生物(山东卷)(解析版)_全国卷+地方卷_6.生物_1.生物高考真题试卷_2008-2020年_地方卷_山东高考生物08-21_山东高考生物_A4版_pdf版
专题08必考题型:材料题(查补能力·提升练)(原卷版)_02中考总复习(2026版更新中)_06-历史-中考总复习_2024年中考复习资料_三轮复习_查补能力·提升练
2014年高考真题生物(山东卷)(解析版)_全国卷+地方卷_6.生物_1.生物高考真题试卷_2008-2020年_地方卷_山东高考生物08-21_山东高考生物_A4版
2014年高考真题生物(山东卷)(解析版)_全国卷+地方卷_6.生物_1.生物高考真题试卷_2008-2020年_地方卷_山东高考生物08-21_山东高考生物_A3版_pdf版
2015年辽宁铁岭事业单位考试《职业能力倾向测验》题(部分)(网友回忆版)_26事业职测+综合_闲鱼2026事业单位职测+综合_职测+综合真题合集ABCDE_A类-综合管理_辽宁
专题08形容词100题_02中考总复习(2026版更新中)_03-英语-中考总复习_2024年中考复习资料_专项复习资料_备战2024年中考英语单项选择百题分类训练(中考真题+名地最新模拟题)_884
2014年高考真题生物(山东卷)(解析版)_全国卷+地方卷_6.生物_1.生物高考真题试卷_2008-2020年_地方卷_山东高考生物08-21_山东高考生物_A3版
2014年高考真题生物(山东卷)(原卷版)_全国卷+地方卷_6.生物_1.生物高考真题试卷_2008-2020年_地方卷_山东高考生物08-21_山东高考生物_A4版_pdf版
2014年高考真题生物(山东卷)(原卷版)_全国卷+地方卷_6.生物_1.生物高考真题试卷_2008-2020年_地方卷_山东高考生物08-21_山东高考生物_A4版
随机文档
专题08形容词100题_02中考总复习(2026版更新中)_03-英语-中考总复习_2024年中考复习资料_专项复习资料_备战2024年中考英语单项选择百题分类训练(中考真题+名地最新模拟题)
2014年高考真题生物(山东卷)(原卷版)_全国卷+地方卷_6.生物_1.生物高考真题试卷_2008-2020年_地方卷_山东高考生物08-21_山东高考生物_A3版_pdf版
2014年高考真题生物(山东卷)(原卷版)_全国卷+地方卷_6.生物_1.生物高考真题试卷_2008-2020年_地方卷_山东高考生物08-21_山东高考生物_A3版
专题08弹力、重力、摩擦力(4大模块知识清单+5个易混易错+5种方法技巧+典例真题精析)(解析版)_02中考总复习(2026版更新中)_04-物理-中考总复习_2025年中考复习资料
2014年高考真题物理(山东卷)(解析版)_全国卷+地方卷_4.物理_1.物理高考真题试卷_2008-2020年_地方卷_山东高考物理08-21_山东高考物理_A4版_pdf版
2014年高考真题物理(山东卷)(解析版)_全国卷+地方卷_4.物理_1.物理高考真题试卷_2008-2020年_地方卷_山东高考物理08-21_山东高考物理_A4版
专题08弹力、重力、摩擦力(4大模块知识清单+5个易混易错+5种方法技巧+典例真题精析)(原卷版)_02中考总复习(2026版更新中)_04-物理-中考总复习_2025年中考复习资料
2014年高考真题物理(山东卷)(解析版)_全国卷+地方卷_4.物理_1.物理高考真题试卷_2008-2020年_地方卷_山东高考物理08-21_山东高考物理_A3版_pdf版
2014年高考真题物理(山东卷)(解析版)_全国卷+地方卷_4.物理_1.物理高考真题试卷_2008-2020年_地方卷_山东高考物理08-21_山东高考物理_A3版
专题08平面直角坐标系与函数基础(全国通用)(解析版)_02中考总复习(2026版更新中)_02-数学-中考总复习_2026年中考复习(更新中)