26+27考研超全资料PDF大合集(4.8更新)
资料下载链接:
https://pan.quark.cn/s/b8acb992fef4
26考研英语课(阅读+翻译+作文等)
https://pan.quark.cn/s/14356fd43f0f
26考研英语《冲刺作文模板+笔记》大合集
https://pan.quark.cn/s/fa57395d34ab
26考研《模拟卷》汇总(看这个)
https://pan.quark.cn/s/0c0d02c3a96b
26年四六级资料包(请先保存,容易和谐)
https://pan.quark.cn/s/b797e9c8dad0
27考研其他资料
https://pan.quark.cn/s/1b739406bd75
「大学英语四六级【阅读】专题资料」
链接:https://pan.quark.cn/s/00af264eafea
「27考研高清PDF」
链接:https://pan.quark.cn/s/61cc273f5806
「2027考研电子书资料」
链接:https://pan.quark.cn/s/72312571144a
「复试真题、简历模板、补充资料(旧版资料)」
链接:https://pan.quark.cn/s/1f2a6189902c
「2025考研复试简历124款」
链接:https://pan.quark.cn/s/2de8c69884b9
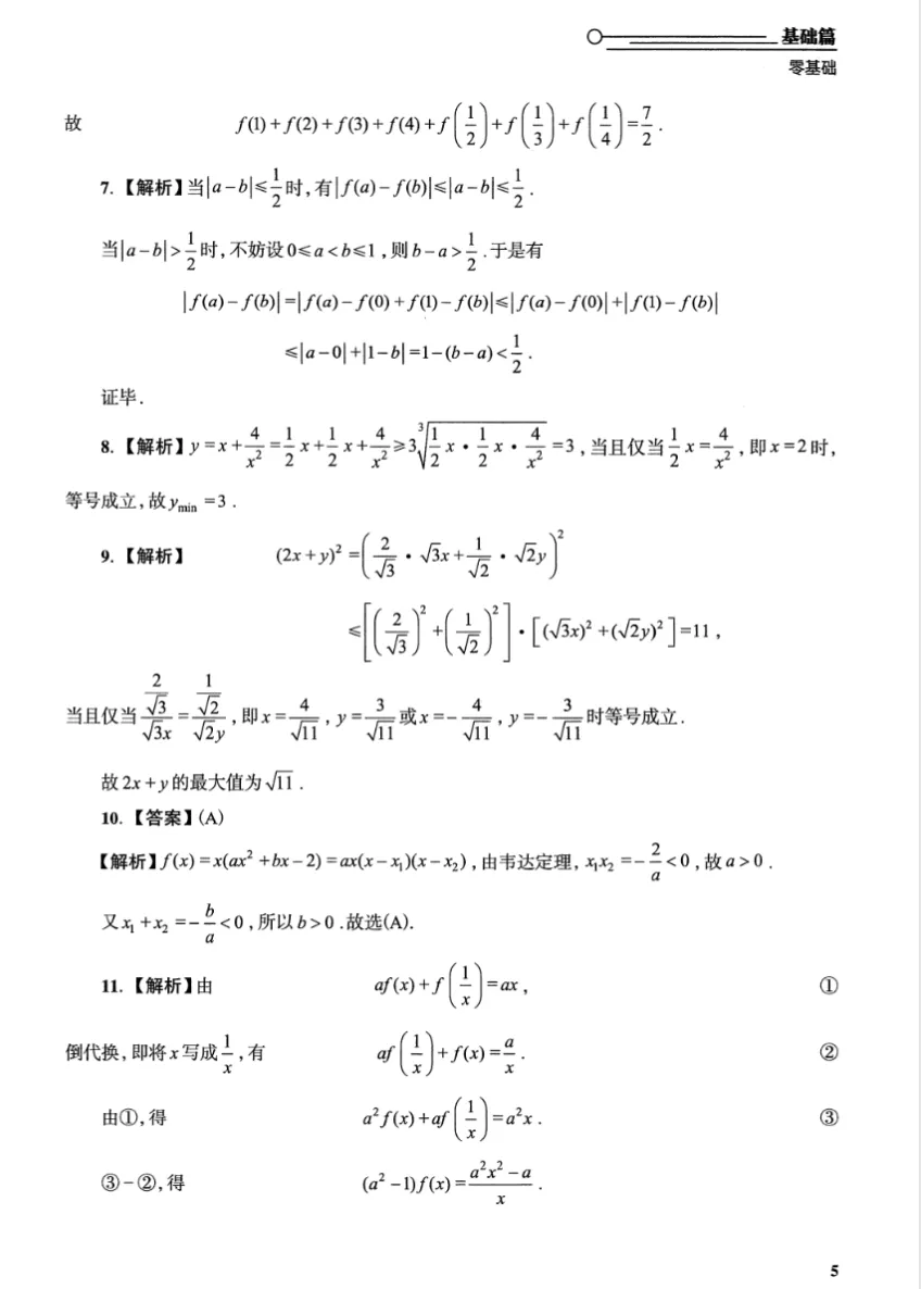
展示部分内容











本公众号分享的资料、教程、试卷等资源,内容均来源于网络,仅供个人学习交流,禁止用于商业用途和倒卖,版权属于原作者及其公司所有,若侵犯到您的版权问题或者其他利益,请联系我们删除,谢谢!

夜雨聆风