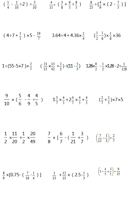
小学数学1-6年级递等式计算专项练习(可打印)

计算是数学中必不可少的,但是孩子一遇到计算题就出错。以为简单,一听就会,不肯动脑,不肯下功夫,表现态度不端正、马虎审题,敷衍了事。没有看清题目要求就做答,计算马虎,似是而非,张冠李戴,计算不细心,简单计算也频频出错,验算检查不耐烦,算完题目要求就完事,计算结果阴差阳错。那么,怎样才能直接有效的改正孩子的这些问题呢?
当然是要对孩子进行一些计算题的针对性训练,提高计算能力。下面是老师整理的1-6年级递等式计算,家长可以给孩子打印出来练习。
保存图片即可直接打印













▐ 标签:小学数学预习
▐ 商务合作微信:JJYYshangwu
▐ 更多内容请关注公众平台:小学数学预习 ID:xxsxyx100
————— 小学数学 —————
始 于 兴 趣 , 衷 于 满 分

夜雨聆风