【MATLAB源码】BCH:纠错码仿真平台
BCH 纠错码仿真平台
面向通信纠错的 BCH 编解码与性能验证平台
在 MATLAB 中快速复现 BCH 编解码与纠错性能
BCH 编码 纠错性能 误码率仿真 MATLAB 对标
📌 为什么选择
BCH 码广泛用于存储与通信,但参考实现难以直接服务 MATLAB 研究与教学。本工程提供对标实现、可视化与测试闭环,便于快速验证与复现实验。
|
|
|
|---|---|
|
|
|
|
|
|
|
|
|
|
|
|
🎯 核心价值
🔬 学术研究价值
面向 BCH 码的理论推导与复现实验。
-
有限域构造与最小多项式 -
生成多项式与系统式编码 -
缩短码推导与等价实现 -
误差定位多项式求解
💼 工程应用价值
面向工程仿真与可追溯验证需求。
-
对标接口与模块化实现 -
主脚本演示与可视化 -
自动化测试与快速回归 -
参数集中与日志可追溯
⚡ 技术亮点
🌊 传统教材实现 vs 本工程实现
|
|
|
|
|---|---|---|
|
|
|
|
|
|
|
|
|
|
|
|
|
|
|
|
|
|
|
|
📊 性能指标(实测数据)
数据基于脚本统计口径,具体数值随参数与随机种子变化。
|
|
|
|
|
|---|---|---|---|
|
|
|
|
|
|
|
|
|
|
|
|
|
|
|
|
|
|
|
|
🎯 缩短码与短帧适配
本工程给出缩短码的推导与实现路径,满足短帧场景的可复现验证。
|
|
|
|
|---|---|---|
|
|
|
|
|
|
|
|
|
|
|
|
🖥️ 运行环境
工程面向 MATLAB 基础环境,依赖少,适合教学与仿真。
-
语言:MATLAB(基础语法) -
依赖:基础 MATLAB,无强制工具箱 -
硬件:普通 x86 PC
📁 项目结构
BchCode/
├── matlab-bchlib/ # MATLAB 版 BCH 实现与演示
│ ├── src/ # 编码、译码、GF 运算模块
│ ├── tests/ # 测试脚本
│ └── main.m # 演示与可视化入口
├── docs/ # 文档体系
│ ├── 算法文档.md # 原理与公式推导
│ └── 代码文档.md # 代码结构与流程说明
📄 文档体系
文档覆盖算法推导与代码实现两个层面,便于查阅与复现。
📘 算法文档
BCH 码构造、编码与译码推导,含缩短码说明。
📒 代码文档
目录结构、接口语义与流程组织说明。
💻 核心代码展示
🔥 编码与 ECC 生成
位级 LFSR 等价实现,输出与参考实现一致。
# 初始化寄存器与生成多项式
# 逐位输入数据比特
# 若反馈为 1 则按生成多项式异或更新
# 寄存器内容打包为 ECC 字节
🌟 译码与错误定位
综合症计算、BM 迭代与 Chien 搜索闭环定位错误位。
# 计算综合症序列
# 迭代求解误差定位多项式
# Chien 搜索求根得到错误位置
# 输出 0 起始错误索引
🚀 纠错与结果验证
基于错误索引翻转码字,完成纠错并统计。
# 遍历错误位置
# 映射到数据区或 ECC 区
# 翻转对应位并输出结果
# 汇总纠错成功率
🎬 一键运行
run('matlab-bchlib/main.m')
run('matlab-bchlib/tests/test_exercise_quick.m')
run('matlab-bchlib/tests/test_exynos.m')
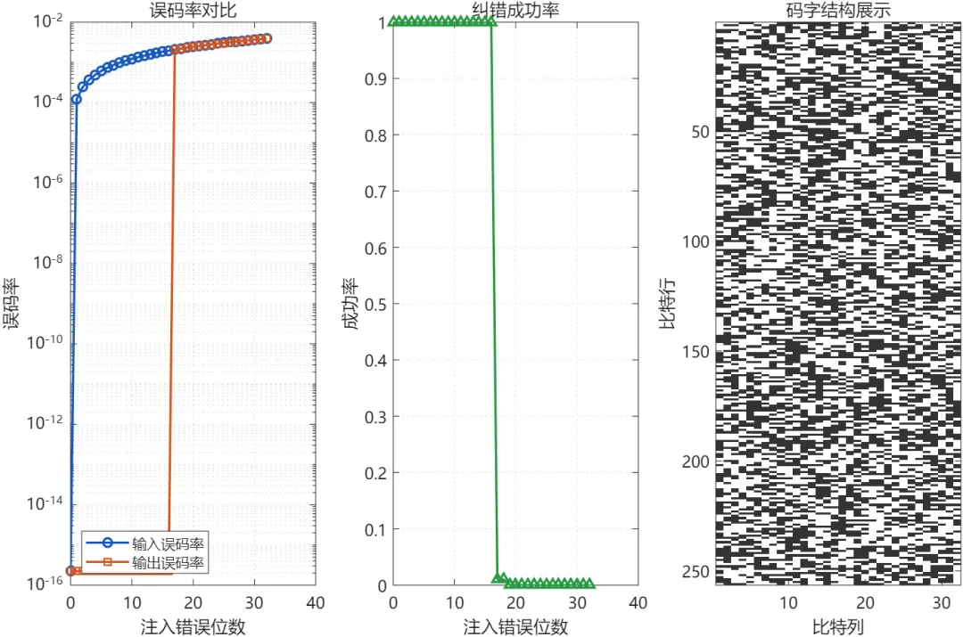
结果预览
输出误码率曲线、纠错成功率与码字结构示意图。
误码率对比曲线与纠错成功率曲线示意
夜雨聆风