【AI 早报】DeepSeek 发布 DeepSeek-V4 系列模型

AI 早报 2026-04-25
概览
要闻
-
DeepSeek 发布 DeepSeek-V4 系列模型 #1
模型发布
-
OpenAI 已在 API 中上线 GPT-5.5 和 GPT-5.5 Pro #2 -
阶跃星辰发布 StepAudio 2.5 ASR 语音识别模型 #3
开发生态
-
Claude Code 更新 Web 端和移动端界面,新增跨平台无缝切换功能 #4 -
Hermes Agent 发布 v0.11.0,支持多个新模型与 QQBot #5 -
OpenClaw 发布新版支持 GPT-5.5 模型并强化安全防护 #6
产品应用
-
NotebookLM 推出来源自动分类 #7
技术与洞察
-
Anthropic 发布名为 Project Deal 的实验研究结果 #8
行业动态
-
Meta 部署数千万 AWS Graviton5 核心,支持 agentic AI 计算 #9 -
Cohere 联手 Aleph Alpha 组建主权 AI,Schwarz 领投 6 亿美元 #10 -
ComfyUI 完成 3000 万美元融资,估值达 5 亿美元 #11
前瞻与传闻
-
传谷歌计划向 Anthropic 投资最高 400 亿美元 #12
DeepSeek 发布 DeepSeek-V4 系列模型 #1
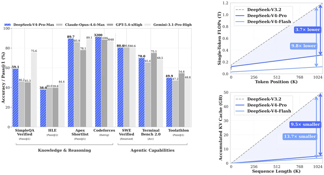
DeepSeek正式发布并开源了全新的
DeepSeek-V4系列预览版模型,包含 Pro 和 Flash 两个版本,均支持100万超长上下文。官方称,DeepSeek-V4-Pro性能比肩顶级闭源模型,Agent 能力大幅提升,拥有丰富的世界知识和世界顶级的推理性能。而DeepSeek-V4-Flash则是更快捷高效的经济之选。两款模型已在官网、App 以及官方 API 中上线。
DeepSeek 近日正式发布并开源了全新的 DeepSeek-V4 系列预览版模型。该系列包含参数量达 1.6T(激活 49B)的 DeepSeek-V4-Pro,以及参数量 284B(激活 13B)的 DeepSeek-V4-Flash 两款 MoE 架构模型。
该系列模型全面支持 1M 超长上下文长度和最大 384K 的输出长度。在架构上,其首创了结合 CSA 与 HCA 的混合注意力机制以及 mHC 技术。官方数据显示,相较于前代模型,其在推理和长上下文效率上大幅提升。
目前,用户可通过官网、App 及 API 体验该系列模型,其 API 兼容 OpenAI 和 Anthropic 格式。官方称 DeepSeek-V4-Pro-Max 模式在 Agentic Coding 等基准测试中取得顶级表现,稳居当今最佳开源模型之位。
此外,API 服务提供了思考与非思考模式及不同强度的切换功能。原有的 deepseek-chat 与 deepseek-reasoner 模型名将在三个月后停止使用。


https://api-docs.deepseek.com/zh-cn/news/news260424
OpenAI 已在 API 中上线 GPT-5.5 和 GPT-5.5 Pro #2
OpenAI 宣布,
GPT-5.5和GPT-5.5 Pro已在 API 中上线。部分第三方平台已宣布接入该系列模型。
OpenAI 首席执行官 Sam Altman 宣布,GPT-5.5 及 Pro 版现已通过 API 正式可用。
目前,部分第三方平台和应用已宣布接入 GPT-5.5。
官方文档显示,该系列模型提升了复杂生产工作流基线,特别适用于编码、重度工具依赖 Agent 及长上下文检索。
相比旧版,其推理效率更高,能以更少 token 取得稳健结果,且在工具使用精准度上显著增强。
模型默认采用 medium 推理强度,输出更简洁直接。
官方建议开发者将其视为全新模型家族进行调优,推荐使用 Responses API 集成,并利用 Codex 实现自动化迁移。
此外,该模型支持提示词缓存及托管工具,图像处理默认保留更多视觉细节。


https://developers.openai.com/api/docs/guides/latest-model
阶跃星辰发布 StepAudio 2.5 ASR 语音识别模型 #3
阶跃星辰发布了语音识别模型
StepAudio 2.5 ASR。官方称该模型能一次性端到端完整处理 30 分钟 的音频,中英双语识别精度均达到业内顶尖水平。该模型已上线 Step Plan,并开放了体验中心及相关 Demo 供用户体验。
阶跃星辰发布了自动语音识别模型 StepAudio 2.5 ASR。该模型基于 ASR+MTP-5 深度融合架构,将大语言模型(LLM)的推理加速技术引入语音识别领域,实现了速度与精度的双重提升。
官方数据显示,StepAudio 2.5 ASR 的解码速度较前代提升 4 倍,时延降低 60%,推理峰值达 500 tokens/s,推理成本直降 80%。
该模型复用了 LLM 原生的 32K 上下文窗口,单次可端到端完整处理长达 30 分钟 的连续音频,解决了传统切片拼接方案导致的上下文断裂问题。同时,官方宣称其在多项中英文权威开源测试集上达到业内 SOTA 精度水平。
目前,StepAudio 2.5 ASR 已全量上线阶跃星辰开放平台和 Step Plan,并开放了体验中心及相关 Demo 供用户使用。

https://mp.weixin.qq.com/s/jGeJxEsGHaLNT00BoqcTZw
Claude Code 更新 Web 端和移动端界面,新增跨平台无缝切换功能 #4
Claude 宣布升级 Claude Code 的网页端体验,统一视觉设计并重建底层架构,还推出了跨平台无缝切换功能。用户只需运行
claude --teleport命令,就能在网页、手机和终端之间保留完整记录继续工作。
ClaudeDevs 宣布已全面刷新 Web 端的 Claude Code 界面与体验。
此次更新不仅让网页端的视觉设计与桌面应用保持一致,引入了新的会话侧边栏、拖放布局及焕新的例程视图,还重建了 Web 端的关键底层架构以提升响应速度与可靠性。
最核心的更新是新增了跨平台工作功能。用户在网页或移动端开启会话后,可通过运行 claude --teleport 命令无缝切换至终端(CLI)继续操作,并自动保留完整的历史记录与正确的分支状态。


http://claude.ai/code
Hermes Agent 发布 v0.11.0,支持多个新模型与 QQBot #5
NousResearch团队正式发布了
Hermes Agent v0.11.0版本。新版本全面重构了终端交互界面,接入了包括GPT-5.5在内的多个新模型以及QQBot。同时大幅增强了插件扩展和子Agent协调能力。
NousResearch 团队正式发布了 Hermes Agentv0.11.0 版本。该版本被官方描述为迄今最大规模的更新,引入了全面改版的基于 React/Ink 的交互式 TUI(终端用户界面),还在底层架构中引入了可插拔的 Transport 层,进而实现了原生 AWS Bedrock 支持。
此外,该版本新增了包括 NVIDIA NIM、Arcee AI、Step Plan、Google Gemini CLI OAuth 和 Vercel ai-gateway 在内的五个新的推理路径,并接入了通过 Codex OAuth 认证的 OpenAI 新旗舰模型 GPT-5.5。
在接入层面,Hermes Agent 现已支持其第 17 个消息平台 QQBot,并大幅扩展了插件表面,允许开发者注册命令、分发工具甚至重写终端输出。
同时,该版本引入了 /steer 命令以实现在不中断 Agent 运行的情况下进行中途干预,增强了子 Agent 的委派与协调能力,并对 Web Dashboard 的主题系统、国际化及插件扩展性进行了全面升级。

https://github.com/NousResearch/hermes-agent/releases/tag/v2026.4.23
OpenClaw 发布新版支持 GPT-5.5 模型并强化安全防护 #6
OpenClaw 发布了 2026.4.23 版本,本次更新重点强化了系统底层架构与多平台通道适配。新增了
分支上下文子Agent以提升会话灵活性,还引入Codex OAuth进行图像生成的功能。
OpenClaw 正式发布了全新的 2026.4.23 版本,全面引入了对 GPT-5.5 模型的支持并大幅优化了图像生成体验。
用户现在可以直接通过 Codex OAuth 运行图像生成而无需配置密钥。本次更新重点强化了系统底层架构与多平台通道适配。
新增了 分支上下文子 Agent 以提升会话灵活性,同时针对 Teams、Discord 及 QQBot 等关键环节实施了严格的安全防护升级,修复了多项底层运行与内存管理缺陷。

https://github.com/openclaw/openclaw/releases/tag/v2026.4.23https://docs.openclaw.ai/tools/image-generationhttps://docs.openclaw.ai/tools/subagents
NotebookLM 推出来源自动分类 #7
NotebookLM 官方宣布推出来源自动打标签与分类功能。当笔记中添加了 5 个 及以上来源时,系统会自动进行分类整理。这一新功能旨在解决笔记管理难题。
NotebookLM 官方宣布开始推出来源自动打标签与分类功能。
当用户在大型笔记本中添加 5 个及以上来源时,该产品将自动为其打标签并进行分类,以解决多来源难以管理的问题。
这项新功能旨在帮助用户减少滚动浏览的时间,从而将更多精力投入到思考、学习和沉思中。
此外,用户还可以根据个人喜好对来源进行重命名、重新组织,并使用 emojis 进行个性化定制。

https://x.com/NotebookLM/status/2047735817003499790
Anthropic 发布名为 Project Deal 的实验研究结果 #8
Anthropic开展了一项名为
Project Deal的实验,让 Claude代替员工在虚拟市场中自主进行物品交易和讨价还价。实验发现,AI 能独立完成上百笔真实交易。使用高级模型Opus的 AI 在成交价和成交量上占据明显优势。
Anthropic近日发布了名为 Project Deal 的实验研究结果,该实验于2025 年 12 月在其旧金山办公室开展,旨在探索 AI Agent 代理人类进行商业交易的可行性及市场影响。
实验中,69 名员工每人获得100 美元预算,由 Claude 通过 intake interview 了解其买卖意向、期望价格与谈判风格后生成定制 Agent,随后在公司 Slack 上的四个并行市场中自主完成交易。其中仅 Run A 为基于 Claude Opus 4.5 的真实运行,员工将据此实际交换商品。Run D 为全 Opus 模拟运行,Run B 与 Run C 则随机混合使用 Claude Opus 4.5 与 Claude Haiku 4.5,且全程无人工干预。
最终真实运行针对超过500 件上架商品达成186 笔交易,总价值超过4000 美元。官方数据显示,在混合模型的模拟市场中,Opus Agent 客观上显著优于 Haiku。前者作为卖家能为同一商品多争取约2.68 美元,作为买家则能少支付约2.45 美元,且平均多完成约2 笔交易。然而参与者在事后的满意度与公平性感知上并未体现出显著差异,公平度评分几乎相同。
实验还发现,用户要求的攻击性或礼貌性谈判风格等自定义指令对成交结果无统计显著影响,但模型质量差异带来的议价能力分化已十分明显。值得注意的是,46%的参与者表示未来愿意为此类服务付费。
但 Anthropic 也警示,Agent 质量差距可能在真实市场中悄然加剧不平等,并带来 jailbreaking、prompt injection 及法律政策滞后等风险。

https://www.anthropic.com/features/project-dealhttps://x.com/AnthropicAI/status/2047728360818696302
Meta 部署数千万 AWS Graviton5 核心,支持 agentic AI 计算 #9
Meta宣布与 AWS 达成协议,计划将数千万个
AWS Graviton5处理核心纳入计算资源组合。此举旨在支持复杂的agentic AI工作负载并推进基础设施多元化战略。
Meta与Amazon Web Services(AWS)近日宣布达成一项协议,计划将约数千万AWS Graviton5处理核心纳入其计算资源组合。
这一合作旨在支持其 agentic AI 工作负载,并推进基础设施多元化战略。该合作首批将部署约数千万核心,并具备随 AI 能力增长灵活扩展的灵活性。
据Meta官方博客显示,处理核心作为CPU内部执行工作负载的单元,是驱动下一代复杂 agentic AI的基础。
而AWS Graviton5核心可提供更快的数据处理能力和更大带宽,满足自主推理、规划及执行复杂任务等CPU密集型需求。

https://about.fb.com/news/2026/04/meta-partners-with-aws-on-graviton-chips-to-power-agentic-ai/
Cohere 联手 Aleph Alpha 组建主权 AI,Schwarz 领投 6 亿美元 #10
加拿大AI 企业 Cohere 与 德国AI 企业 Aleph Alpha 宣布联手组建一家全球性 AI 巨头。这一合作将汇集双方的人才与算力资源,共同致力于构建安全可控的主权 AI 解决方案。该方案主要面向高度监管行业,旨在满足其对数据主权与技术合规的严苛要求。
近日,加拿大 AI 企业 Cohere 与德国 AI 企业 Aleph Alpha 宣布联手组建一家全球性的 AI 巨头。
这一举措旨在应对日益加剧的 AI 行业集中化趋势,为市场提供独立且企业级的主权 AI 替代方案。
根据官方博客显示,这项跨大西洋联盟将 Cohere 的全球 AI 规模与 Aleph Alpha 的卓越研究能力及深厚的机构客户关系相结合。
双方计划依托加拿大和德国的生态系统,打造具备全球竞争力的 AI 领导者。该合作旨在汇集这两个 G7 国家的顶尖工程人才与计算资源,以加速开发下一代前沿模型与系统。
该合作主要面向公共部门、金融、国防、能源、制造、电信和医疗保健等高度监管行业,提供安全的定制化 AI 解决方案。

https://cohere.com/blog/cohere-alephalpha-join-forces
ComfyUI 完成 3000 万美元融资,估值达 5 亿美元 #11
ComfyUI宣布完成3000万美元融资,估值达到5亿美元。该平台计划利用这笔新资金扩展云服务与协作功能。同时郑重承诺该产品将永远保持开源。
ComfyUI 宣布完成 3000万美元 融资,估值达到 5亿美元。该轮融资由 Craft Ventures 领投,Pace Capital、Chemistry 和 TruArrow 等参投,使其总融资金额达到 4700万美元。
该团队计划利用新资金扩展 Comfy Cloud、构建协作工作流并持续优化本地体验。同时,官方郑重承诺该产品将永远保持开源,用户始终可以在自己的设备上自由运行。

https://blog.comfy.org/p/comfyui-raises-30m-to-scale-open
传谷歌计划向 Anthropic 投资最高 400 亿美元 #12
据报道,谷歌计划向Anthropic投资最高400亿美元。该投资包含先期100亿美元现金和后续的业绩达标追加投资。同时,Google Cloud将在未来五年内为其提供全新的5吉瓦计算容量,以满足Anthropic日益庞大的算力需求。
据媒体报道,Google 计划向 Anthropic 投资高达 400 亿美元,以支持后者日益增长的计算需求。
报道称,Google 目前承诺以 3500 亿美元的估值先行投入 100 亿美元现金。若 Anthropic 达到特定业绩目标,后续还将追加 30 亿美元投资。
作为既是对手又是关键基础设施供应商的 Google,此次投资进一步扩大了双方的合作规模。其 Google Cloud 将在未来五年内为 Anthropic 提供全新的 5 吉瓦算力容量,并保留进一步扩展空间。

https://techcrunch.com/2026/04/24/google-to-invest-up-to-40b-in-anthropic-in-cash-and-compute/
提示:内容由AI辅助创作
作者橘鸦Juya

夜雨聆风