
2018年禮樂堂大通书,一至十二月每月黄道吉日、方便大众!

戊戌年 春牛图

戊戌年生肖虚岁

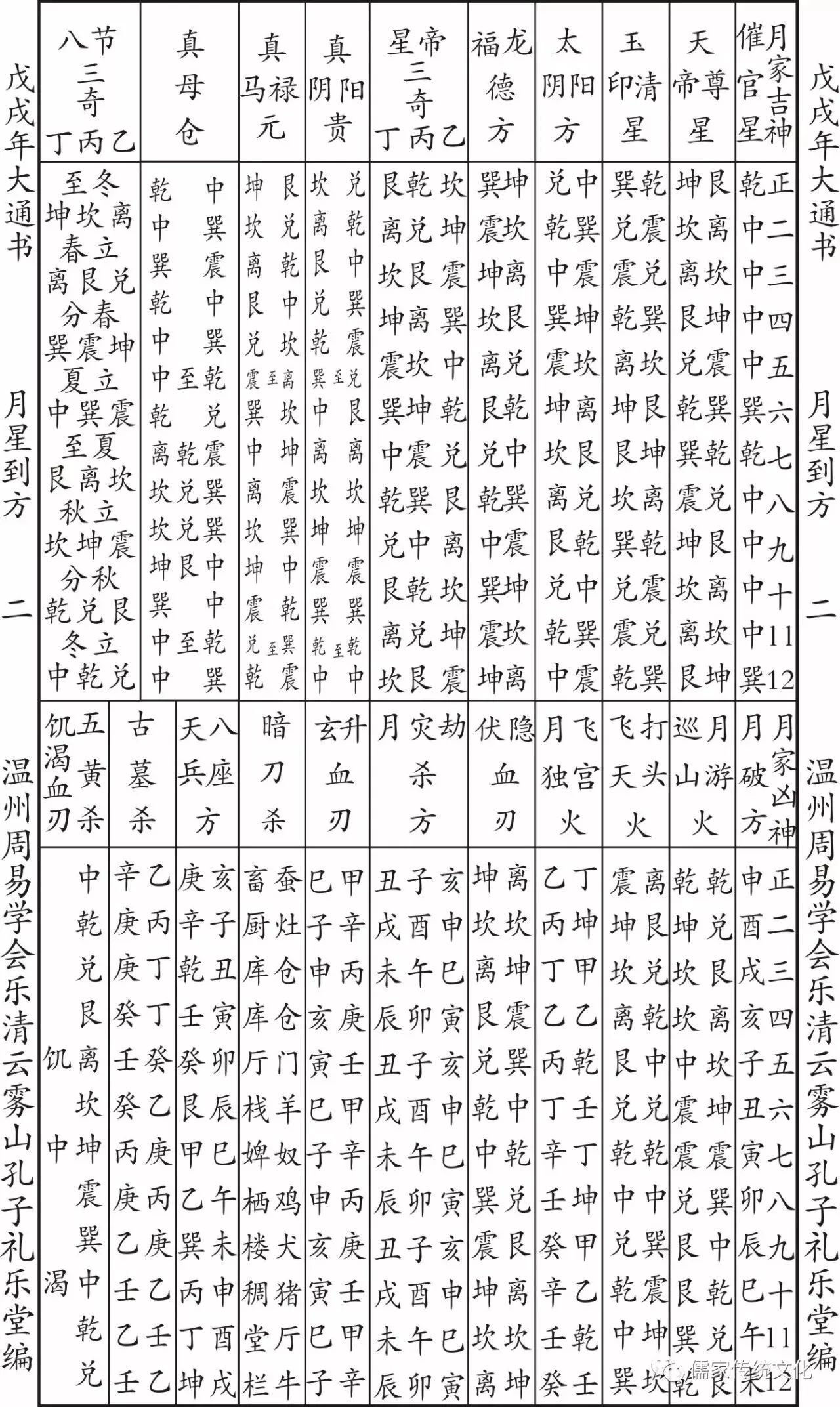
戊戌年月飞星

戊戌年月飞星

正月初一至十三日

正月十四至廿九日

二月初一至十三日

二月十四至三十日

三月初一至十三日

三月十四至廿九日

四月初一至十三日

四月十四至三十日

五月初一至十三日

五月十四至廿九

六月初一至十三日

六月十四至廿九日

七月初一至十三日

七月十四至三十日

八月初一至十三日

八月十四至廿九日

九月初一至十三日

九月十四三十日

十月初一至十三日

十月十四至廿九

十一月初一至十三日

十一月十四至三十日

十二月初一至十三日

十二月十四至三十日

生男育女表格

三十课吉凶断语

河洛神杀例表

的呼彭祖百忌

周易学会名录


乐清市石帆街道岩宕云雾山孔子礼乐堂
乐清市石帆街道西洙亦斌路30号办公室
浙江省乐清市环城东路232弄7号办事处
手机:13107775678、13738763783
礼乐堂电话:0577-62381928
夜雨聆风