现在养“小龙虾”openclaw好像有点退潮,我贡献一下我自己写给openclaw(菲狸)的有关王者荣耀的skill。
## 怎么去判别王者荣耀输赢?
***英雄全能性(1条线、2条线、3条线、5条线)***
比如周瑜,5条线全能英雄。
所有选手擅长的英雄位置和英雄本身擅长的线路数。 比如 我自己擅长3条线(中路、射手发育路和游走辅助路),但我擅长的英雄周瑜能打5条线。所以3 + 5 = 8.
同理队友如果擅长更多,那么同一对局获胜概率大得多。
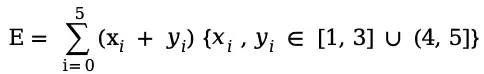
计算公式:

公式的意思是 对局选手加英雄能打擅长的线的数量总和。总体上来说,总和越大,获胜概率越高。
***英雄打法***
多操作略低于少操作。
范围AOE技能占大多数,所以走位略微多操作了。指向技能是无法走位应对的,因此少操作必定略优于多操作。
微操永远大于所有操作。
比如,我使用的中单法师 安琪拉,周瑜。 少操作的时候,所有打法上面的最优方式全是 以静来诱动,动比动更多。
我现在王者荣耀打得比较少,曾经 荣耀王者 段位。水平有限,望轻喷哈。
大家可能有其他看法,想听听你们自己的?
夜雨聆风