
一.力学部分12个“看到即答”模板
2.看到“缓慢”运动→一般处于动态平衡→画出受力分析图→选择符合条件的方法(解析法、动态三角形、相似三角形、动态圆、正弦定理)。
3.看到两物体追赶问题→画v-t图像→抓住速度相等这个临界条件→分析两者位移关系和时间关系→列位移(速度)关系式求解。
7.看到卫星变轨→由低轨变到高轨,要点火加速,机械能增大;看到椭圆轨道→想到开普勒三定律。
8.看到传送带问题→分析初始状态物块和传送带间的摩擦力→倾斜传送带关注动摩擦因数μ与tanθ的关系,画出v-t图分析物块和传送带间的相对位移、路程→使用动能定理、能量守恒列方程。
9.看到板块问题→若不满足动量守恒则用整体隔离法分别对板块受力分析→运动分析(画出v-t)→能量分析。
10.看到多过程问题→程序法→注意相邻过程的衔接速度。
11.看到碰撞问题→两物体弹性正碰,列动量守恒、机械能守恒公式;两物体碰后粘在一起或有热量产生,列动量守恒,机械能损失(能量守恒)关系式。
12.看到机械振动和机械波→区分振动图像和波动图像→可用“上下坡法”“同侧法”等方法,根据波传播方向判断质点振动方向。
二.电磁学部分9个“看到即答”模板
1.看到多个带电体→库仑定律→受力分析。看到多个点电荷→矢量叠加。
2.看到电容器→先想到决定式和定义式→

;看到充电后断开,电荷量不变;看到与电源连接,电压不变。
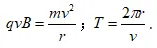
3.看到带电粒子在磁场中偏转→作垂直、找圆心、画轨迹、找半径→轨迹与边界相切是恰好不磁场的临界。
4.看到圆形有界磁场→想到沿径向(或与径向成θ角)射入,必沿径向(或与径向成θ角)射出。
5.看到电场与磁场组合问题→①粒子在电场中大多做类抛体运动→写三个方程(两个位移方程、一个牛顿第二定律方程);②在磁场中做圆周运动
→写:

6.看到电场与磁场叠加问题→①做直线运动;必为匀速直线运动(如:速度选择器或重力、电场力和洛伦兹力的合力为零);②做匀速圆周运动:带电微粒必受重力且与电场力平衡;③做曲线运动:考虑摆线(配速法)和螺旋线运动。
7.看到单棒切割磁感线问题→①无外力型:收尾状态i=0或a=0,导体棒静止;②恒定外力型:收尾状态i恒定,导体棒做匀速直线运动。
8.看到双杆切割模型→等长双杆考虑使用动量守恒,不等长双杆考虑分别对杆使用动量定理。
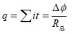
9.看到求电荷量→考虑:

或者安培力的冲量:

三.热学部分6个“看到即答”模板
1.看到等温、等压变化判断→导热良好,为等温变化→活塞(或液柱)缓慢移动,为等压变化。
2.看到求内能或热量→考虑热力学第一定律△U=W+Q。
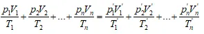
3.看到热学计算题→不清楚定律的名称,可以写“由气体实验定律(或理想气体方程)得……”
4.看到液柱类问题→确定液面差通过受力分析找压强关系→找理想气体的温度和体积→列理想气体状态方程。
5.看到汽缸类问题→通过对活塞或汽缸受力分析列平衡方程求气体压强或压强关系→找理想气体的温度和体积→列理想气体状态方程。
6.到变质量问题(抽气、充气、漏气、分装等)→将变质量问题转化为定质量问题,列分态式理想气体方程:

四.光学部分7个“看到即答”模板
1.看到折射→折射定律→n、入射角、折射角,知二求一。
2.到光从光密射向光疏或者临界角→大概率考全反射,一定要验证是否发生全反射。
3.看到全反射→先求临界角。
4.看到直角三角形→考虑三角函数、勾股定理。
5.看到非直角三角形→考虑余弦定理、正弦定理。
6.看到30°、60°一起出现→大概率有垂直关系。
7.看到圆→容易出现等腰三角形。
五.原子物理部分6个“看到即答”模板
1.看到氢原子跃迁→想到光子能量恰好等于两能级差hv=△E。
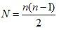
2.看到求大量原子跃迁发出的光谱线条数→想到公式

3.看到光电效应→考虑爱因斯坦光电效应方程→hv-W₀=E=eU。
4.看到核反应方程→核反应满足质量数守恒和电荷数守恒。
5.看到求还剩多少未衰变→衰变定律:

6.看到求核能→有质量亏损→生成物的比结合能大于反应物的→用质能方程求解。
版权声明:本资料内容整理自《试题调研》,仅供学习交流。如有侵权,请联系删除。
夜雨聆风