当前位置:首页>文档>1990年数学二解析_数学二真题+解析[87-25]_数学二解析

1990年数学二解析_数学二真题+解析[87-25]_数学二解析

  • 2026-03-30 15:10:42 2026-02-04 17:40:37

文档预览

1990年数学二解析_数学二真题+解析[87-25]_数学二解析
1990年数学二解析_数学二真题+解析[87-25]_数学二解析
1990年数学二解析_数学二真题+解析[87-25]_数学二解析
1990年数学二解析_数学二真题+解析[87-25]_数学二解析
1990年数学二解析_数学二真题+解析[87-25]_数学二解析
1990年数学二解析_数学二真题+解析[87-25]_数学二解析
1990年数学二解析_数学二真题+解析[87-25]_数学二解析
1990年数学二解析_数学二真题+解析[87-25]_数学二解析
1990年数学二解析_数学二真题+解析[87-25]_数学二解析
1990年数学二解析_数学二真题+解析[87-25]_数学二解析
1990年数学二解析_数学二真题+解析[87-25]_数学二解析
1990年数学二解析_数学二真题+解析[87-25]_数学二解析
1990年数学二解析_数学二真题+解析[87-25]_数学二解析
1990年数学二解析_数学二真题+解析[87-25]_数学二解析
1990年数学二解析_数学二真题+解析[87-25]_数学二解析

文档信息

文档格式
pdf
文档大小
0.305 MB
文档页数
11 页
上传时间
2026-02-04 17:40:37

文档内容

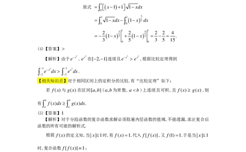
更多考研资料分享+qq810958634 1990 年全国硕士研究生入学统一考试数学二试题解析 一、填空题(本题共5小题,每小题3分,满分15分.) 1 3 (1)【答案】y− = 3(x− 3) 8 8 π π 3 1 【解析】将t = 代入参数方程得x,y在t = 处的函数值:x = 3,y = ; π π 6 6 t= 8 t= 8 6 6 3 1 得切点为( 3, ). 8 8 过已知点(x ,y )的法线方程为y− y =k(x−x ),当函数在点(x ,y )处的导数 0 0 0 0 0 0 1 π y′ ≠0时,k = .所以需求曲线在点t = 处的导数. x=x 0 y′(x ) 6 0 由复合函数求导法则,可得 dy dy dt dy dx 3sin2tcost = ⋅ = = =−tant, dx dt dx dt dt −3cos2tsint 更多考研资料分享+qq810958634更多考研资料分享+qq810958634 1 y′ =− ; π x t= 3 6 1 3 法线斜率为k = 3.所以过已知点的法线方程为y− = 3(x− 3). 8 8 【相关知识点】复合函数求导法则: 如果u = g(x)在点x可导,而 y = f(x)在点u = g(x)可导,则复合函数 y = f [ g(x) ] 在点x可导,且其导数为 dy dy dy du = f′(u)⋅g′(x)或 = ⋅ . dx dx du dx  tan 1 1 −1 1 tan 1  1 −1 (2)【答案】e x ⋅sec2 ⋅ ⋅sin +e x cos ⋅   x x2  x  x x2  【解析】原函数对x求导,有  tan 1 1 ′  tan 1  ′ 1 tan 1  1 ′ y′=e x ⋅sin  =e x  ⋅sin +e x ⋅ sin   x   x  x tan 1  1 ′ 1 tan 1 11 ′ =e x tan  ⋅sin +e x ⋅cos    x x x x  tan 1 1 −1 1 tan 1  1 −1 =e x ⋅sec2 ⋅ ⋅sin +e x cos ⋅ .  x x2  x  x x2  【相关知识点】1.两函数乘积的求导公式: [ f(x)⋅g(x) ]′ = f′(x)⋅g(x)+ f(x)⋅g′(x). 2.复合函数的求导法则: 如果u = g(x)在点x可导,而y = f(x)在点u = g(x)可导,则复合函数y = f [ g(x) ] 在点x可导,且其导数为 dy dy dy du = f′(u)⋅g′(x)或 = ⋅ . dx dx du dx 4 (3)【答案】 15 【解析】 对于原定积分,有换元法或拆项法可选择,不管是何种方法,最终的目的都是去 掉积分式子中的根式或使得根式积分可以单独积分出结果. 方法1:换元法,令 1−x =t,原积分区间为0≤ x≤1,则0≤1−x≤1,进而0≤ 1−x ≤1, 新积分区间为0≤t ≤1;当x=0时,t =1,当x=1时,t =0,故新积分上限为0,下限为1. −1 −1 d 1−x =dt ⇒ dt = dx= dx,则dx=−2tdt. 2 1−x 2t 更多考研资料分享+qq810958634更多考研资料分享+qq810958634 0 原式 =∫ (1−t2)⋅t⋅(−2tdt) 1 1 1( ) 1 1  =2∫ t2 −t4 dt =2 t3− t5  0 3 5  0 1 1 4 =2 −  = . 3 5 15 方法2:拆项法,x=( x−1 )+1, 原式 =∫ 1 ( x−1 )+1 1−xdx   0 =∫ 1 1−xdx−∫ 1( 1−x ) 3 2 dx 0 0 1 1 2 3 2 5 2 2 4 =− ( 1−x ) 2 + ( 1−x ) 2 = − = . 3 5 3 5 15 0 0 (4)【答案】> 【解析】由于e−x3 ,ex3在[−2,−1]连续且e−x3 > ex3,根据比较定理得到 ∫ −1 e−x3 dx> ∫ −1 ex3 dx. −2 −2 【相关知识点】对于相同区间上的定积分的比较,有“比较定理”如下: 若 f(x)与g(x)在区间[a,b](a,b为常数,a1时,有 f(x)=0.代入 f[f(x)],又 f(0)=1,即当|x|>1时,也有 f[f(x)]≡1. 因此,对任意的x∈(−∞,+∞),有 f[f(x)]≡1. 二、选择题(每小题3分,满分15分.) (1)【答案】C 【解析】本题考查多项式之比当x→∞时的极限. 由题设条件,有 更多考研资料分享+qq810958634更多考研资料分享+qq810958634  x2  (1−a)x2 −(a+b)x−b lim −ax−b=lim =0, x→∞ x+1  x→∞ x+1  1−a =0, (1−a)x2 −(a+b)x−b 分析应有 否则lim ≠0. a+b=0, x→∞ x+1  所以解以上方程组,可得a=1,b=−1.所以此题应选C. (2)【答案】B 【解析】由函数的不定积分公式: 若F(x)是 f(x)的一个原函数,∫ f(x)dx= F(x)+C,dF(x)= f(x)dx,有 d[∫ f(x)dx]=[∫ f(x)dx]′dx= f(x)dx. 所以本题应该选(B). (3)【答案】A 【解析】本题考查高阶导数的求法. 为方便记y = f(x).由y′= y2,逐次求导得 y′′=2yy′=2y3, y′′′=3!y2y′=3!y4,, 由第一归纳法,可归纳证明y(n) =n!yn+1. 假设n=k成立,即y(k) =k!yk+1,则 ′ ′ y(k+1) =y(k) =k!yk+1 =( k+1 ) !yk ⋅y′     =( k+1 ) !y (k+1)+1, 所以n=k+1亦成立,原假设成立. (4)【答案】A e−x 【解析】对F(x)=∫ f(t)dt两边求导数得 x F′(x)= f(e−x)(e−x)′− f(x)(x)′ =−e−x f(e−x)− f(x). 故本题选A. 【相关知识点】1.对积分上限的函数的求导公式: β(t) 若F(t)=∫ f(x)dx,α(t),β(t)均一阶可导,则 α(t) F′(t)=β′(t)⋅ f [β(t) ]−α′(t)⋅ f [α(t) ]. 2.复合函数求导法则: 如果u = g(x)在点x可导,而y = f(x)在点u = g(x)可导,则复合函数y = f [ g(x) ] 更多考研资料分享+qq810958634更多考研资料分享+qq810958634 dy dy dy du 在点x可导,且其导数为 = f′(u)⋅g′(x)或 = ⋅ . dx dx du dx (5)【答案】B f(x) f(x)− f(0) 【解析】由于 limF(x)=lim =lim , x→0 x→0 x x→0 x−0 由函数在一点处导数的定义, ∆y f(x +∆x)− f(x ) f′(x )= lim = lim 0 0 , 0 ∆x→0∆x ∆x→0 ∆x 得limF(x)= f′(0)≠0= f(0)= F(0), x→0 所以函数不连续,且极限存在但不等于函数值,故为第一类(可去)间断点,故本题选B. 【相关知识点】1. 函数y = f(x)在点x 连续:设函数 f(x)在点x 的某一邻域内有定义, 0 0 如果lim f(x)= f(x ),则称函数 f(x)在点x 连续. 0 0 x→x 0 2.函数 f(x)的间断点或者不连续点的定义:设函数 f(x)在点x 的某去心邻域内有定义, 0 只要满足一下三种情况之一即是间断点. (1) 在x= x 没有定义; 0 (2) 虽在x= x 有定义,但lim f(x)不存在; 0 x→x 0 (3) 虽在x= x 有定义,且lim f(x)存在,但lim f(x)≠ f(x ); 0 0 x→x x→x 0 0 通常把间断点分成两类:如果 x 是函数 f(x)的间断点,但左极限 f(x−)及右极限 0 0 f(x+)都存在,那么x 称为函数 f(x)的第一类间断点;不是第一类间断点的任何间断点, 0 0 称为第二类间断点. 三、(每小题5分,满分25分.) 1 (1)【解析】此题考查重要极限:lim(1+ )x =e. x→∞ x a a x ⋅a (1+ )x (1+ )a lim( x+a )x =lim x =lim x = ea =e2a =9, x→∞ x−a x→∞ (1− a )x x→∞ (1− a )− x a ⋅(−a) e−a x x 得2a=ln9 ⇒a =ln3. x−a x x+a  2a 2a ⋅ x−a ⋅2a 或由 lim( )x =lim1+  =e2a, x→∞ x−a x→∞ x−a 同理可得a =ln3. (2)【解析】方程两边求微分,得 更多考研资料分享+qq810958634更多考研资料分享+qq810958634 2dy−dx =ln(x− y)⋅d(x− y)+(x− y)⋅dln(x− y) dx−dy =(dx−dy)ln(x− y)+(x− y) , x− y 2+ln(x− y) 整理得 dy = dx. 3+ln(x− y) ′ u u′v−uv′ (3)【解析】对分式求导数,有公式 = ,所以   v v2 −2x 2(3x2 −1) y′= ,y′′= , (1+x2)2 (1+x2)3 1 1 1 令y′′=0得x= ,y′′在此变号,即是x< 时,y′′<0; x> 时,y′′>0; 3 3 3 1 3 故拐点为( , ). 3 4 【相关知识点】1.拐点的定义:设函数 f(x)在点x 的某一邻域连续,函数 f(x)的图形在点 0 x 处的左右侧凹凸性相反,则称(x , f(x ))为曲线 f(x)的拐点. 0 0 0 2.拐点判别定理: (1)设函数 f(x)在(x −δ,x +δ)连续,在去心邻域(x −δ,x +δ)\ { x },就是区间 0 0 0 0 0 (x −δ,x +δ)内不包括点x 二阶可导,且 f′′(x)(x−x )在0< x−x <δ上不变号,则 0 0 0 0 0 (x , f(x ))为拐点. 0 0 (2)设函数 f(x)在(x −δ,x +δ)二阶可导, f′′(x )=0,又 f′′′(x )≠0,则(x , f(x )) 0 0 0 0 0 0 为拐点. 本题利用第一个判别定理就足够判定所求点是否是拐点了. dx −d(1−x) 1 (4)【解析】由 = =d 有 (1−x)2 (1−x)2 (1−x) lnx 1 lnx 1 1 ∫ dx=∫lnxd( ) 分部法 −∫( + )dx (1−x)2 1−x 1−x x 1−x xlnx = +ln|1−x|+C, C为任意常数. 1−x 注:分部积分法的关键是要选好谁先进入积分号的问题,如果选择不当可能引起更繁杂的计 更多考研资料分享+qq810958634更多考研资料分享+qq810958634 算,最后甚至算不出结果来.在做题的时候应该好好总结,积累经验. 【相关知识点】分部积分公式:假定u =u(x)与v=v(x)均具有连续的导函数,则 ∫uv′dx=uv−∫u′vdx,或者∫udv=uv−∫vdu. (5)【解析】所给方程为一阶线性非齐次方程,其标准形式为 1 1 y′+ y = . xlnx x ∫ dx lnx 由于 e xlnx =|lnx|,两边乘以lnx得(ylnx)′= . x lnx 积分得 ylnx=∫ dx+C, x lnx C 通解为 y = + . 2 lnx 1 lnx 1 代入初始条件y =1可得C = ,所求特解为y = + . x=e 2 2 2lnx 四、(本题满分9分) xdx ydy dy b2x 【解析】对椭圆方程进行微分,有 + =0 ⇒ =− . a2 b2 dx a2y 过曲线上已知点(x ,y )的切线方程为y− y =k(x−x ),当y′(x )存在时,k = y′(x ). 0 0 0 0 0 0 b2x xX yY 所以点(x,y)处的切线方程为Y − y =− (X −x),化简得到 + =1. a2y a2 b2 a2 b2 分别令X =0与Y =0,得切线在x,y上的截距分别为 , ; x y 又由椭圆的面积计算公式πab,其中a,b为半长轴和半短轴,故所求面积为 1 a2 b2 1 S = ⋅ − πab,x∈(0,a). 2 x y 4 a,b为常数,欲使得S 的最小,则应使得xy最大;从而问题化为求u = xy( y由椭圆方程所 确定)当x∈(0,a)时的最大值点. y x2 y2 x y 令u = xy,u′= xy′+ y =0,得 y′= ,再对 + =1两边求导得 + y′=0,联 x a2 b2 a2 b2 更多考研资料分享+qq810958634更多考研资料分享+qq810958634 a 合可得x= (唯一驻点),即在此点u = xy取得最大,S取得最小值. 2 a 由于lim S(x)= lim S(x)=+∞,所以S(x)在(0,a)上存在最小值,x= 必为最小 x→0+ x→a−0 2  a b  点,所求P点为  ,  .  2 2  五、(本题满分9分) 【解析】证明不等式的一般方法是将表达式移到不等号的一边,令其为 f(x),另一边剩下0, 再在给定区间内讨论 f(x)的单调性即可证明原不等式. 1 π 1 1 令 f(x)=arctanx+ − ,则 f′(x)= − <0 (x>0).因此, f(x)在 x 2 1+x2 x2 π (0,+∞)上单调减;又有 lim arctanx= ,所以 x→+∞ 2 π 1 π 1 lim f(x)= lim( + − )= lim =0, x→+∞ x→+∞ 2 x 2 x→+∞ x 故0< x<+∞时, f(x)> lim f(x)=0,所以原不等式得证. x→+∞ 六、(本题满分9分) 1 1 lnt 1 −1 1 【解析】方法1:f( )=∫x dt,由换元积分t = ,dt = du,t:1→ ⇒ u:1→ x; x 1 1+t u u2 x 1 1 1 lnt t= u x lnu 所以 f( )=∫x dt = ∫ du. x 1 1+t 1 u(u+1) 由区间相同的积分式的可加性,有 1 x lnt x lnt xlnt 1 f(x)+ f( )=∫ dt+∫ dt =∫ dt = ln2 x. x 1 1+t 1 t(t+1) 1 t 2 1 方法2:令F(x)= f(x)+ f( ),则 x 1 ln F′(x)= lnx + x ⋅ −1 = lnx . 1+x 1 x2 x 1+ x 由牛顿-莱布尼兹公式,有 xlnx 1 F(x)−F(1)=∫ dx = ln2 x, 1 x 2 更多考研资料分享+qq810958634更多考研资料分享+qq810958634 1lnx 1 1 而F(1)=∫ dx=0,故F(x)= f(x)+ f( )= ln2 x. 1 x x 2 【相关知识点】牛顿-莱布尼兹公式:设函数 f(x)在[a,b]上连续,F(x)为 f(x)在[a,b]上 的任意一个原函数,则有 ∫ b f(x)dx= F(x) b = F(b)−F(a). a a 七、(本题满分9分) 【解析】先求得切线方程:对抛物线方程求导数,得 y 1 y′= ,过曲线上已知点(x ,y )的切线方程 2 x−2 0 0 1 为y− y =k(x−x ),当y'(x )存在时,k = y'(x ). y 0 0 0 0 x 所以点(x , x −2)处的切线方程为 O 0 0 1 2 3 1 y− x −2 = (x−x ), 0 2 x −2 0 0 此切线过点P(1,0),所以把点P(1,0)代入切线方程得x =3,再x =3代入抛物线方程得 0 0 1 1 1 y =1,y′(3)= = .由此,与抛物线相切于(3,1)斜率为 的切线方程为 0 2 3−2 2 2 x−2y =1. 旋转体是由曲线 y = f(x),直线x−2y =1与x轴所围成的平面图形绕x轴旋转一周所 形成的,求旋转体体积V : 方法1:曲线表成y是x的函数,V 是两个旋转体的体积之差,套用已有公式得 31 3 V =π∫ (x−1)2dx−π∫ ( x−2)2dx 1 4 2 1 1 3 1 3 π =π ⋅ (x−1)3 −π( x2 −2x) = . 4 3 1 2 6 2 方法 2:曲线表成x是 y的函数,并作水平分割,相应于[ y,y+dy ]小横条的体积微元,如上 图所示, dV =2πy(y2 +2)−(2y+1)dy,   更多考研资料分享+qq810958634更多考研资料分享+qq810958634 1 1 2 1 1 π 于是,旋转体体积 V =2π∫ (y3−2y2 + y)dy =2π  y4 − y3 + y2  = . 0 4 3 2  0 6 【相关知识点】1.由连续曲线y = f(x)、直线x=a,x=b及x轴所围成的曲边梯形绕x轴 b 旋转一周所得的旋转体体积为:V =π∫ f 2(x)dx. a 2.设 f(x)在[a,b]连续,非负,a>0,则曲线 y = f(x),直线x=a,x=b及x轴围成的平 b 面图形绕y轴旋转所得旋转体体积为:V =2π∫ xf(x)dx(可用微元法导出). a 八、(本题满分9分) 【解析】所给方程为常系数二阶线性非齐次方程,特征方程 r2 +4r+4=0 的根为 r =r =−2,原方程右端eax =eαx中的α=a. 1 2 1 当α=a ≠−2时,可设非齐次方程的特解Y = Aeax,代入方程可得A= , (a+2)2 1 当α=a=−2时,可设非齐次方程的特解Y = x2Aeax,代入方程可得A= , 2 eax 所以通解为 y =(c +c x)e−2x + (a ≠−2), 1 2 (a+2)2 x2e−2x y =(c +c x)e−2x + (a=−2). 1 2 2 【相关知识点】1.二阶线性非齐次方程解的结构:设 y*(x)是二阶线性非齐次方程 y′′+P(x)y′+Q(x)y = f(x)的一个特解.Y(x)是与之对应的齐次方程 y′′+P(x)y′+Q(x)y =0的通解,则y =Y(x)+ y*(x)是非齐次方程的通解. 2. 二阶常系数线性齐次方程通解的求解方法:对于求解二阶常系数线性齐次方程的通解 Y(x),可用特征方程法求解:即y′′+P(x)y′+Q(x)y =0中的P(x)、Q(x)均是常数,方程 变为y′′+ py′+qy =0.其特征方程写为r2 + pr+q=0,在复数域内解出两个特征根r,r ; 1 2 分三种情况: (1) 两个不相等的实数根r,r ,则通解为y =Cerx 1 +C er 2 x; 1 2 1 2 (2) 两个相等的实数根r =r ,则通解为y =( C +C x ) erx 1; 1 2 1 2 更多考研资料分享+qq810958634更多考研资料分享+qq810958634 (3) 一对共轭复根r =α±iβ,则通解为y =eαx( C cosβx+C sinβx ) .其中C ,C 1,2 1 2 1 2 为常数. 3.对于求解二阶线性非齐次方程 y′′+P(x)y′+Q(x)y = f(x)的一个特解 y*(x),可用待定 系数法,有结论如下: 如果 f(x)= P (x)eλx,则二阶常系数线性非齐次方程具有形如y*(x)= xkQ (x)eλx m m 的特解,其中Q (x)是与P (x)相同次数的多项式,而k按λ不是特征方程的根、是特征方 m m 程的单根或是特征方程的重根依次取0、1或2. 更多考研资料分享+qq810958634