当前位置:首页>文档>1998年数学二解析_数学二真题+解析[87-25]_数学二解析

1998年数学二解析_数学二真题+解析[87-25]_数学二解析

  • 2026-04-13 15:49:51 2026-02-04 17:49:07

文档预览

1998年数学二解析_数学二真题+解析[87-25]_数学二解析
1998年数学二解析_数学二真题+解析[87-25]_数学二解析
1998年数学二解析_数学二真题+解析[87-25]_数学二解析
1998年数学二解析_数学二真题+解析[87-25]_数学二解析
1998年数学二解析_数学二真题+解析[87-25]_数学二解析
1998年数学二解析_数学二真题+解析[87-25]_数学二解析
1998年数学二解析_数学二真题+解析[87-25]_数学二解析
1998年数学二解析_数学二真题+解析[87-25]_数学二解析
1998年数学二解析_数学二真题+解析[87-25]_数学二解析
1998年数学二解析_数学二真题+解析[87-25]_数学二解析
1998年数学二解析_数学二真题+解析[87-25]_数学二解析
1998年数学二解析_数学二真题+解析[87-25]_数学二解析
1998年数学二解析_数学二真题+解析[87-25]_数学二解析
1998年数学二解析_数学二真题+解析[87-25]_数学二解析
1998年数学二解析_数学二真题+解析[87-25]_数学二解析
1998年数学二解析_数学二真题+解析[87-25]_数学二解析
1998年数学二解析_数学二真题+解析[87-25]_数学二解析
1998年数学二解析_数学二真题+解析[87-25]_数学二解析
1998年数学二解析_数学二真题+解析[87-25]_数学二解析
1998年数学二解析_数学二真题+解析[87-25]_数学二解析
1998年数学二解析_数学二真题+解析[87-25]_数学二解析
1998年数学二解析_数学二真题+解析[87-25]_数学二解析

文档信息

文档格式
pdf
文档大小
0.362 MB
文档页数
18 页
上传时间
2026-02-04 17:49:07

文档内容

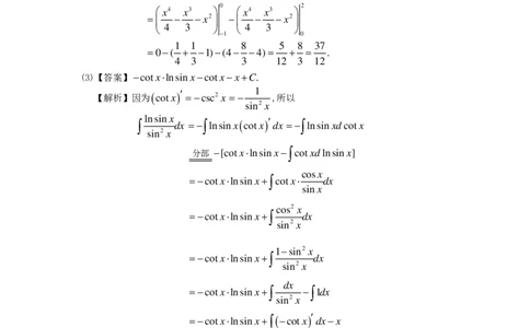
更多考研资料分享+qq810958634 1998年全国硕士研究生入学统一考试数学二试题解析 一、填空题(本题共5小题,每小题3分,满分15分,把答案填在题中横线上.) 1 (1)【答案】− 4 【解析】方法1:用四则运算将分子化简,再用等价无穷小替换, ( )( ) 1+x + 1−x −2 1+x + 1−x +2 原式=lim ( ) x→0 x2 1+x + 1−x +2 ( 1+x + 1−x )2 −4 2 ( 1−x2 −1 ) =lim =lim x→0 x2 ( 1+x + 1−x +2 ) x→0 4x2 1 − x2 1 2 1 1−x2 −1 − x2 lim =− . 2 x→0 2x2 4 方法2:采用洛必达法则. 1 1 ( )′ − 1+x + 1−x −2 2 1+x 2 1−x 原式 洛 lim =lim x→0 ( x2 )′ x→0 2x −1 1 − 1−x − 1+x 1−x − 1+x 2 1−x 2 1+x =lim =lim 洛 lim x→0 4x 1−x2 x→0 4x x→0 4  −1 1  lim −  x→02 1−x 2 1+x  1 = =− . 4 4 方法3:将分子按佩亚诺余项泰勒公式展开至x2项, 1 1 ( ) 1 1 ( ) 1+x =1+ x− x2 +o x2 , 1−x =1− x− x2 +o x2 , 2 8 1 2 8 2 1 1 ( ) 1 1 ( ) 1+ x− x2 +o x2 +1− x− x2 +o x2 −2 2 8 1 2 8 2 从而 原式=lim x→0 x2 1 ( ) ( ) − x2 +o x2 +o x2 4 1 2 1 =lim =− . x→0 x2 4 37 (2)【答案】 12 更多考研资料分享+qq810958634更多考研资料分享+qq810958634 【分析】求曲线与x轴围成的图形的面积,应分清楚位于x轴上方还是下方,为此,要先求 此曲线与x轴交点. 【解析】 y =−x3 +x2 +2x与x轴的交点,即−x3 +x2 +2x=−x(x−2)(x+1)=0的根 为x=−1,0,2. 当−1< x<0时,y<0;当0< x<2时,y >0,从而 0 2 0 2 A=∫ −ydx+∫ ydx=∫ (x3−x2 −2x)dx+∫ (−x3+x2 +2x)dx −1 0 −1 0 0 2  x4 x3   x4 x3  = − −x2  − − −x2   4 3   4 3  −1 0 1 1 8 5 8 37 =0−( + −1)−(4− −4)= + = . 4 3 3 12 3 12 (3)【答案】−cotx⋅lnsinx−cotx−x+C. 【解析】因为( cotx )′ =−csc2 x =− 1 ,所以 sin2 x ∫ lnsinx dx =−∫lnsinx ( cotx )′ dx =−∫lnsinxdcotx sin2 x 分部 −[cotx⋅lnsinx−∫cotxdlnsinx] cosx =−cotx⋅lnsinx+∫cotx⋅ dx sinx cos2 x =−cotx⋅lnsinx+∫ dx sin2 x 1−sin2 x =−cotx⋅lnsinx+∫ dx sin2 x dx =−cotx⋅lnsinx+∫ −∫1dx sin2 x =−cotx⋅lnsinx+∫(−cotx )′ dx−x =−cotx⋅lnsinx−cotx−x+C. (4)【答案】xf(x2) 【解析】作积分变量代换u = x2 −t2, t:0→ x⇒u:x2 →0, ( ) 1 du =d x2 −t2 =−2tdt ⇒dt =− du, 2t x 0  1  0  1 1 x2 ∫ tf(x2 −t2)dt u = x2 −t2 =∫ tf(u) − du =∫  −  f(u)du = ∫ f(u)du, 0 x2  2t x2 2 2 0 更多考研资料分享+qq810958634更多考研资料分享+qq810958634 d x 1 d x2 1 ( )′ 1 ∫ tf(x2 −t2)dt = ∫ f(u)du = f(x2)⋅ x2 = f(x2)⋅2x= xf(x2). dx 0 2 dx 0 2 2 β(t) 【相关知识点】1.对积分上限的函数的求导公式:若F(t)=∫ f(x)dx,α(t),β(t)均一 α(t) 阶可导,则 F′(t)=β′(t)⋅ f [β(t) ]−α′(t)⋅ f [α(t) ]. 1 (5)【答案】y = x+ e 【解析】题中未说什么渐近线,所以三类渐近线都要考虑. + 1  1 由曲线方程y = xln(e+ )知,铅直渐近线可能在两处:x→  −  及x→0,但题设 x  e +  1 x>0,所以x→  −  不予考虑,考虑x→0+的情况.当x→0+时,  e 1 ln(e+t) 1 lim xln(e+ ) x=1 t lim 洛 lim =0≠∞, x→0+ x t→+∞ t t→+∞e+t 所以无铅直渐近线; 1 因 lim y(x)= lim xln(e+ )= lim xlne=+∞, x→+∞ x→+∞ x x→+∞ 故无水平渐近线. 再考虑斜渐近线: y 1 lim = lim ln(e+ )=1, x→+∞ x x→+∞ x  1   1  lim ( y−x )= lim x ln(e+ )−1 = lim x lne+ln(1+ )−1     x→+∞ x→+∞  x  x→+∞  ex  1 1 1 = lim xln(1+ )= lim x⋅ = , x→+∞ ex x→+∞ ex e 1 1 (x→+∞时,ln(1+ ) ) ex ex 1 所以有斜渐近线y = x+ . e 【相关知识点】1.铅直渐近线:如函数y = f(x)在其间断点x= x 处有lim f(x)=∞,则 0 x→x 0 x= x 是函数的一条铅直渐近线; 0 水平渐近线:当lim f(x)=a,(a为常数),则y =a为函数的水平渐近线. x→∞ f(x) 斜渐近线:若有a=lim ,b=lim[f(x)−ax]存在且不为∞,则y =ax+b为斜渐近线. x→∞ x x→∞ 二、选择题(本题共5小题,每小题3分,共15分,在每小题给出的四个选项中,只有一项符合题 更多考研资料分享+qq810958634更多考研资料分享+qq810958634 目要求,把所选项前的字母填在题后的括号内.) (1)【答案】(D) 【解析】方法1:直接利用无穷小量的性质可以证明(D)是正确的. 1 1 由y =(x y )⋅ 及limx y =0,lim =0可知y 为两个无穷小之积,故y 亦为无 n n n x n→∞ n n n→∞ x n n n n 穷小,应选(D). 方法2:排除法. 1 1 1 (A)的反例:x =n,y = ,limx y =limn⋅ =lim =0满足题设,但lim y =0 n n n2 n→∞ n n n→∞ n2 n→∞n n→∞ n 不发散; 2k−1, n=2k−1,  0, n=2k−1, (B)的反例:x = y = k =1,2,, n  0, n=2k, n 2k, n=2k, 满足limx y =0,但y 不是有界数列; n n n n→∞ 1 1 1 (C)的反例:x :1, , ,, ,有界数列,y =1(n=1,2,),满足 n 2 3 n n 1 limx y =lim =0,但y 不是无穷小; n→∞ n n n→∞n n 排除掉(A)、(B)、(C),故选(D). (2)【答案】(B) 【解析】当函数中出现绝对值号时,就有可能出现不可导的“尖点”,因为这时的函数是 分段函数. f(x)=(x2 −x−2) x x2 −1,当x≠0,±1时 f(x)可导,因而只需在x=0,±1处 考察 f(x)是否可导.在这些点我们分别考察其左、右导数. (x2 −x−2)x(1−x2), x<−1,  (x2 −x−2)x(x2 −1), −1≤ x<0, 由 f(x)= (x2 −x−2)x(1−x2), 0≤ x<1,  (x2 −x−2)x(x2 −1), 1≤ x, f ( x )− f (−1 ) (x2 −x−2)x(1−x2)−0 ⇒ f′(−1)= lim = lim =0, − x→−1− x+1 x→−1− x+1 f ( x )− f (−1 ) (x2 −x−2)x(1−x2)−0 f′(−1)= lim = lim =0, + x→−1+ x+1 x→−1+ x+1 即 f(x)在x=−1处可导.又 f ( x )− f ( 0 ) (x2 −x−2)x(x2 −1)−0 f′(0)= lim = lim =2, − x→0− x x→0− x 更多考研资料分享+qq810958634更多考研资料分享+qq810958634 f ( x )− f ( 0 ) (x2 −x−2)x(1−x2)−0 f′(0)= lim = lim =−2, + x→0+ x x→0+ x 所以 f(x)在x=0处不可导. 类似,函数 f(x)在x=1处亦不可导.因此 f(x)只有2个不可导点,故应选(B). 评注:本题也可利用下列结论进行判断: 设函数 f(x)= x−aϕ(x),其中ϕ(x)在x=a处连续,则 f(x)在x=a处可导的充要 条件是ϕ(a)=0. (3)【答案】(A) y∆x ∆y y α 【解析】由∆y = +α,有 = + . 1+x2 ∆x 1+x2 ∆x α 令∆x→0,得α是∆x的高阶无穷小,则lim =0, ∆x→0∆x ∆y  y α y α y lim = lim +  = lim + lim = ∆x→0∆x ∆x→01+x2 ∆x ∆x→01+x2 ∆x→0∆x 1+x2 dy y 即 = . dx 1+x2 dy dx 分离变量,得 = , y 1+x2 两边积分,得 ln y =arctanx+C,即y =Cearctanx. 1 代入初始条件y(0)=π,得y ( 0 )=Cearctan0 =C =π.所以,y =πearctanx. 1 1 π 故 y(1)=πearctanx =πearctan1 =πe4. x=1 【相关知识点】无穷小的比较: α(x) 设在同一个极限过程中,α(x),β(x)为无穷小且存在极限 lim =l, β(x) (1) 若l ≠0,称α(x),β(x)在该极限过程中为同阶无穷小; (2) 若l =1,称α(x),β(x)在该极限过程中为等价无穷小,记为α(x)β(x); (3) 若l =0,称在该极限过程中α(x)是β(x)的高阶无穷小,记为α(x)=o (β(x) ). α(x) 若lim 不存在(不为∞),称α(x),β(x)不可比较. β(x) 更多考研资料分享+qq810958634更多考研资料分享+qq810958634 (4)【答案】(C) 【解析】由x=a是 f(x)的极大点,知存在δ>0,当x∈( a−δ,a+δ)时, f(x)≤ f(a), 即 f(x)− f(a)≤0.因此, 当x∈( a−δ,a )时,(x−a) [ f(x)− f(a) ]≥0; 当x∈( a,a+δ)时,(x−a) [ f(x)− f(a) ]≤0. 所以,(A)与(B)都不正确. 已知 f(x)在x=a处连续,由函数在一点连续的定义可知,lim f(x)= f(a),再由极限 x→a 四则运算法则可得 f(t)− f(x) f(a)− f(x) lim = ≥0(x≠a). t→a (t−x)2 (a−x)2 应选(C). (5)【答案】(B) 【解析】对任何n阶矩阵都要成立的关系式,对特殊的n阶矩阵自然也要成立.那么,当A 可逆时,由A∗ = A A−1,有 1 (kA)∗ = kA (kA)−1 =kn A ⋅ A−1 =kn−1 A A−1 =kn−1A∗. k 故应选(B). 一般地,若A=(a ) ,有kA=(ka ) ,那么矩阵kA的第i行 j列元素的代数余子式 ij n×n ij n×n 为 ka  ka ka  ka 11 1,j−1 1,j+1 1n     ka  ka ka  ka (−1)i+j i−1,1 i−1,j−1 i−1,j+1 i−1,n ka  ka ka  ka i+1,1 i+1,j−1 i+1,j+1 i+1,n     ka  ka ka  ka n1 n,j−1 n,j+1 nn a  a a  a 11 1,j−1 1,j+1 1n     a  a a  a =(−1)i+jkn−1 i−1,1 i−1,j−1 i−1,j+1 i−1,n , a  a a  a i+1,1 i+1,j−1 i+1,j+1 i+1,n     a  a a  a n1 n,j−1 n,j+1 nn 即 kA 中每个元素的代数余子式恰好是 A 相应元素的代数余子式的kn−1倍,因而,按伴随矩 更多考研资料分享+qq810958634更多考研资料分享+qq810958634 阵的定义知(kA)*的元素是A*对应元素的kn−1倍. 【相关知识点】1.行列式的性质:若A是n阶矩阵,则 kA =kn A. 1 2.矩阵A可逆的充要条件是 A ≠0,且A−1 = A∗. A 三、(本题满分5分) 【分析】由间断点的定义可知,函数无定义的点一定是间断点,故可以先找出函数无定义的点, 再讨论判断出间断点的类型. 1 π 3π 5π 7π 【解析】f(x)在区间(0,2π)内的间断点为 无定义的点,即x= , , , π 4 4 4 4 tan(x− ) 4 各点. π 5π π 5π 在x= 处, lim f(x)=+∞;在x= 处, lim f(x)=+∞,故x= , 为 f(x) 4 π+ 4 5π+ 4 4 x→ x→ 4 4 的第二类间断点; 3π 7π 在x= 处, lim f(x)=1;在x= 处, lim f(x)=1,但相应的函数值在该点无定 4 3π 4 7π x→ x→ 4 4 3π 7π 义,故 f(x)在x= , 处为可去间断点. 4 4 0,0< A<1 【相关知识点】设lim f(x)= A,limg(x)=+∞,则lim f(x)g(x) = . x→a x→a x→a +∞,A>1 2.函数 f(x)的间断点或者不连续点的定义:设函数 f(x)在点x 的某去心邻域内有定义, 0 只要满足一下三种情况之一即是间断点. (1) 在x= x 没有定义; 0 (2) 虽在x= x 有定义,但lim f(x)不存在; 0 x→x 0 (3) 虽在x= x 有定义,且lim f(x)存在,但lim f(x)≠ f(x ); 0 0 x→x x→x 0 0 3.通常把间断点分成两类:如果x 是函数 f(x)的间断点,但左极限 f(x−)及右极限 f(x+) 0 0 0 都存在,那么x 称为函数 f(x)的第一类间断点;不是第一类间断点的任何间断点,称为第二 0 类间断点. 四、(本题满分5分) 【分析】解决这类问题,原则上与求极限差不多,但是因为其中含有某些参数,比如在用洛必 更多考研资料分享+qq810958634更多考研资料分享+qq810958634 0 ∞ 达法则前,极限是否为“ ”型或“ ”型,要先行讨论,通过讨论,有时就可以推断出其中 0 ∞ 参数的特点,然后再求极限,这是一类常考的题目. ax−sinx 【解析】当x→0时ax−sinx→0,又由题设lim =c(c≠0),所以应有 x→0 xln(1+t3) ∫ dt b t xln(1+t3) ax−sinx lim∫ dt =0(否则与lim =c(c≠0)矛盾),从而只有b=0,因此 x→0 b t x→0 xln(1+t3) ∫ dt b t ax−sinx lim 满足洛必达法则的条件,用洛必达法则求其极限. x→0 xln(1+t3) ∫ dt b t ax−sinx 洛 a−cosx 等 a−cosx 0≠c=lim =lim =lim . x→0 xln(1+t3) x→0 ln(1+x3) x→0 x2 ∫ dt b t x (当x→0时,ln(1+x)∼ x) 如果a ≠1,则右边极限为∞,与原设左边矛盾,故a=1,于是上述等式成为 1−cosx等1 1 0≠c=lim = .(当x→0时,1−cosx∼ x2) x→0 x2 2 2 1 所以最后得a =1,b=0,c= . 2 五、(本题满分5分) u 【解析】方法1:由y = =usecx,有 cosx y′=u′secx+usecxtanx, y′′=u′′secx+2u′secxtanx+u(secxtan2 x+sec3 x), 代入原方程y′′cosx−2y′sinx+3ycosx=ex,得 u′′+4u =ex. (*) 先求其相应齐次方程的通解,由于其特征方程为λ2 +4=0 ,则特征方程的根为 λ=±2i.所以通解为 u(x)=C cos2x+C sin2x,(C ,C 为任意常数). 1 2 1 2 再求非齐次方程的特解,特解应具有形式u∗(x)= Aex,代入(*)式,得 更多考研资料分享+qq810958634更多考研资料分享+qq810958634 ( )′′ Aex +4Aex = Aex +4Aex =5Aex =ex 1 1 解得,A= ,因此u∗(x)= ex. 5 5 故(*)的通解为 1 u(x)=C cos2x+C sin2x+ ex,(C ,C 为任意常数). 1 2 5 1 2 所以,原微分方程的通解为 cos2x ex y =C +2C sinx+ . 1 cosx 2 5cosx u 方法2:由y = 有u = ycosx,于是 cosx u′= y′cosx− ysinx, u′′= y′′cosx−2y′sinx− ycosx, 原方程化为u′′+4u =ex(以下与方法1相同). 【相关知识点】两函数乘积的求导公式: [ f(x)⋅g(x) ]′ = f′(x)⋅g(x)+ f(x)⋅g′(x). 六、(本题满分6分) 1 【解析】当x=1时,被积函数的极限lim =∞,即x=1是被积函数的无穷间断点, x→1 x−x2 故所给的是广义积分. x−x2, 0≤ x≤1, x−x2 = x(1−x) = x2 −x, x<0或x>1. 3 dx 1 dx 3 dx ∫2 =∫ +∫2 1 1 2 x−x2 2 x−x2 1 x2 −x 1 dx 3 dx =∫ +∫2 1 1 1 1 1 1 2 −(x− )2 (x− )2 − 4 2 2 4 π π =arcsin(2x−1) 1 1 +ln(sect+tant) 3 = +ln(2+ 3). 0 2 2 其中, 更多考研资料分享+qq810958634更多考研资料分享+qq810958634 1 dx 1 dx ∫ =∫ 1 1 1 1 1 1 2 −(x− )2 2 1−4(x− )2 4 2 2 2 1 2dx 1 d(2x−1) =∫ =∫ 1 1 1−(2x−1)2 1−(2x−1)2 2 2 =arcsin(2x−1) 1 1 2 3 dx 求∫2 : 1 1 1 (x− )2 − 2 4 1 1 3 π 1 1 1 设x− = sect,x:1→ ,则t:0→ ,dx=d( + sect)= secttantdt, 2 2 2 3 2 2 2 1 1 1 1 1 1 (x− )2 − = ( sect)2 − = sec2t−1= tant, 2 4 2 4 2 2 1 secttantdtdx 3 dx π π π 2 于是, ∫2 =∫3 =∫3sectdt =ln(sect+tant) 3. 1 1 1 0 1 0 0 (x− )2 − tant 2 4 2 七、(本题满分6分) 【解析】先建立坐标系,取沉放点为原点O,铅直向下作为Oy轴正向,探测器在下沉过程中 受重力、浮力和阻力的作用,其中重力大小:mg,浮力的大小:F =−ρB;阻力:−kv, 浮 则由牛顿第二定律得 d2y m =mg−Bρg−kv, y =0,v =0. (*) dt2 t=0 t=0 dy d2y dv dv dy dv dy 由 =v, = = ⋅ =v =v ,代入(*)得y与v之间的微分方程 dt dt2 dt dy dt dy dv −1 dy mv  =mg−Bρ−kv, v =0. dv y=0 mv 分离变量得 dy = dv, mg−Bρ−kv mv 两边积分得 ∫dy =∫ dv, mg−Bρ−kv 更多考研资料分享+qq810958634更多考研资料分享+qq810958634 Bmρ m2g Bmρ m2g mv+ − − + k k k k y =∫ dv mg−Bρ−kv m Bmρ m2g − (mg−Bρ−kv)− + k k k =∫ dv mg−Bρ−kv  m2g−Bmρ    m k =∫− + dv  k mg−Bρ−kv     m m(mg−Bρ) =∫− dv+∫ dv k k(mg−Bρ−kv) 1 m(mg−Bρ)⋅(− ) m k =− v+∫ d(mg−Bρ−kv) (第一类换元法) k k(mg−Bρ−kv) m m(mg−Bρ) =− v− ln(mg−Bρ−kv)+C. k k2 再根据初始条件v| =0,即 y=0 m(mg−Bρ) m(mg−Bρ) − ln(mg−Bρ)+C =0⇒C = ln(mg−Bρ). k2 k2 故所求y与v函数关系为 m m ( mg−Bρ) mg−Bρ−kv y =− v− ln . k k2  mg−Bρ  八、(本题满分8分) 1 1 【解析】(1)要证∃x ∈(0,1),使x f(x )=∫ f(x)dx;令ϕ(x)= xf(x)−∫ f(t)dt,要证 0 0 0 x x 0 x ∃x ∈(0,1),使ϕ(x )=0.可以对ϕ(x)的原函数Φ(x)=∫ ϕ(t)dt使用罗尔定理: 0 0 0 Φ(0)=0, 1 1 1 1 Φ(1)=∫ ϕ(x)dx=∫ xf(x)dx−∫ (∫ f(t)dt)dx 0 0 0 x 分部 1  1 x=1 1  = ∫ xf(x)dx− x∫ f(t)dt +∫ xf(x)dx =0, 0  x x=0 0  又由 f(x)在[0,1]连续⇒ϕ(x)在[0,1]连续,Φ(x)在[0,1]连续,在(0,1)可导.根据罗尔定 更多考研资料分享+qq810958634更多考研资料分享+qq810958634 理,∃x ∈(0,1),使Φ′(x )=ϕ(x )=0. 0 0 0 (2) 由ϕ′(x)= xf′(x)+ f(x)+ f(x)= xf′(x)+2f(x)>0,知ϕ(x)在(0,1)内单调增,故(1) 中的x 是唯一的. 0 评注:若直接对ϕ(x)使用零点定理,会遇到麻烦: 1 ϕ(0)=−∫ f(t)dt ≤0,ϕ(1)= f(1)≥0. 0 当 f(x)≡0时,对任何的x ∈(0,1)结论都成立; 0 当 f(x)≡0时,ϕ(0)<0,但ϕ(1)≥0,若ϕ(1)=0,则难以说明在(0,1)内存在x .当直 0 接对ϕ(x)用零点定理遇到麻烦时,不妨对ϕ(x)的原函数使用罗尔定理. 【相关知识点】1.罗尔定理:如果函数 f(x)满足 (1) 在闭区间[a,b]上连续; (2) 在开区间(a,b)内可导; (3) 在区间端点处的函数值相等,即 f(a)= f(b), 那么在(a,b)内至少有一点ξ(a<ξ0(0< x<1). (1+x)2 ⇒ϕ′′(x)在(0,1)内单调递增,ϕ′′(x)>ϕ′′(0)=0(0< x<1); ⇒ϕ′(x)在(0,1)内单调递增,ϕ′(x)>ϕ′(0)=0(0< x<1); 更多考研资料分享+qq810958634更多考研资料分享+qq810958634 ⇒ϕ(x)在(0,1)内单调递增,ϕ(x)>ϕ(0)=0(0< x<1), 即(1+x)ln2(1+x)< x2. 方法2:改写原不等式,当x∈(0,1)时,1+x>0,故可在不等式两边同时除以(1+x),有 x2 ln2(1+x)< , 1+x x 两边开平方, ln(1+x)< . 1+x x 令g(x)=ln(1+x)− , 1+x x 1+x − 1 2 1+x g′(x)= − 1+x 1+x 2 1+x −2−x x+1−2 1+x +1 = =− 3 3 2 ( 1+x ) 2 2 ( 1+x ) 2 ( )2 1+x −1 =− <0,(当x>0) 3 2 ( 1+x ) 2 故函数g(x)在区间[0,1]上单调减少,由g(0)=0,可知当x>0时,g(x)< g(0)=0,即 x ln(1+x)< ,从而原不等式成立,证毕. 1+x 方法3:由方法1,ϕ(x)= x2 −(1+x)ln2(1+x),已证ϕ(0)=0,ϕ′(0)=0,ϕ′′(x)>0, (x>0) 于是由ϕ(x)的1阶麦克劳林公式(拉格朗日余项)有 1 1 ϕ(x)=ϕ(0)+ϕ′(0)x+ ϕ′′(ξ)x2 = ϕ′′(ξ)x2 >0. 2! 2 即(1+x)ln2(1+x)< x2,证毕. 1 1 x−ln(1+x) (2)令 f(x)= − = , ln(1+x) x xln(1+x) 1 1 (1+x)ln2(1+x)−x2 f′(x)=− + = , (1+x)ln2(1+x) x2 x2(1+x)ln2(1+x) 更多考研资料分享+qq810958634更多考研资料分享+qq810958634 由(1), f′(x)<0(0< x<1)⇒ f(x)在(0,1)单调减⇒ f(1)< f(x)< f(0+)(0< x<1),而 1 f(1)= −1,且 ln2 x−ln(1+x) x−ln(1+x) f(0+)= lim f(x)= lim 等 lim x→0+ x→0+ xln(1+x) x→0+ x2 1 1− 洛 lim 1+x = lim 1 = 1 , x→0+ 2x x→0+ 2(1+x) 2 1 1 1 1 1 1 故 −1< f(x)< ,即 −1< − < .证毕. ln2 2 ln2 ln(1+x) x 2 十二、(本题满分5分) 【解析】由矩阵运算法则,将等式(2E−C−1B)AT =C−1两边左乘C,得 C(2E−C−1B)AT =CC−1,即(2C−B)AT = E. 对上式两端取转置,有A(2CT −BT)= E. 由可逆矩阵及逆矩阵的定义,可知矩阵2CT −BT,A均可逆,因为A是4阶方阵,故 −1 1 0 0 0  1 0 0 0     2 1 0 0 −2 1 0 0 A=(2CT −BT)−1 =  =  . 3 2 1 0  1 −2 1 0     4 3 2 1  0 1 −2 1 十三、(本题满分8分) 【分析】β能由(不能由)α,α,,α线性表出⇔α,i =1,2,s,β为列向量的非齐次线 1 2 s i 性方程组αx +αx ++αx =β有解(无解),从而将线性表出的问题转化为方程组解 1 1 2 2 s s 的情况的判定与求解. 【解析】令A=[α,α,α] ,X =[ x ,x ,x ]T,作方程组AX =β,并对此方程组的增广矩阵 1 2 3 1 2 3 进行初等变换: 更多考研资料分享+qq810958634更多考研资料分享+qq810958634 1 2 0  3 1 2 0  3      4 7 1  10 0 −1 1  −2 [ Aβ]=  (∗ )   0 1 −1  b  1 0 1 −1  b      2 3 a  4 0 −1 a  −2 1 2 0  3    0 −1 1  −2 (∗ )   . 2 0 0 a−1  0    0 0 0  b−2 其中,(∗ )变换:将第1行乘以-4加到第2行,再将第1行乘以-2加到第4行; 1 (∗ )变换:第2行加到第1行,再将第2行乘以-1加到第4行,最后3,4行互换. 2 由非齐次线性方程组有解的判定定理,可得 (1)当b≠2时,线性方程组AX =β无解,此时β不能由α,α,α线性表出. 1 2 3 (2)当b=2,a≠1时,r(A)=r(A)=3,线性方程组 AX =β有唯一解,下面求此唯一 解. 由以上增广矩阵变换可得线性方程组AX =β的同解方程组为 x +2x =3 1 2  −x +x =−2, 2 3  (a−1)x =0 3 解得唯一解为X =[−1,2,0 ]T .故β能由α,α,α线性表出为β=−α +2α. 1 2 3 1 2 (3)当b=2,a=1时,r(A)=r(A)=2<3,线性方程组AX =β有无穷多解.求齐次线 性方程组AX =0的基础解系. 齐次线性方程组AX =0的同解方程组为 x +2x =0  1 2 ,  −x +x =0 2 3 基础解系所含向量的个数为n−r(A)=3−2=1,选x 为自由未知量,取x =1,解得基础解 2 2 系为ξ=(−2,1,1)T.取x =0,解得的一个特解为η∗ =(−1,2,0)T,则由非齐次线性方程组解 3 的结构可知,方程组AX =β的通解为 X =kξ+η∗ =(−2k−1,k+2,k )T,k是任意常数. 更多考研资料分享+qq810958634更多考研资料分享+qq810958634 则β能由α,α,α线性表出,且表示法为无穷多(常数k可以任意),且 1 2 3 β=−(2k+1)α +(k+2)α +kα. 1 2 3 【相关知识点】非齐次线性方程组有解的判定定理:设A是m×n矩阵,方程组Ax=b,则 (1)有唯一解⇔ r(A)=r(A)=n. (2)有无穷多解⇔ r(A)=r(A)