当前位置:首页>文档>数学(山东济南卷)(全解全析)_2数学总复习_赠送:2024中考模拟题数学_三模(42套)_数学(山东济南卷)

数学(山东济南卷)(全解全析)_2数学总复习_赠送:2024中考模拟题数学_三模(42套)_数学(山东济南卷)

  • 2026-04-16 07:33:42 2026-02-05 23:48:04

文档预览

数学(山东济南卷)(全解全析)_2数学总复习_赠送:2024中考模拟题数学_三模(42套)_数学(山东济南卷)
数学(山东济南卷)(全解全析)_2数学总复习_赠送:2024中考模拟题数学_三模(42套)_数学(山东济南卷)
数学(山东济南卷)(全解全析)_2数学总复习_赠送:2024中考模拟题数学_三模(42套)_数学(山东济南卷)
数学(山东济南卷)(全解全析)_2数学总复习_赠送:2024中考模拟题数学_三模(42套)_数学(山东济南卷)
数学(山东济南卷)(全解全析)_2数学总复习_赠送:2024中考模拟题数学_三模(42套)_数学(山东济南卷)
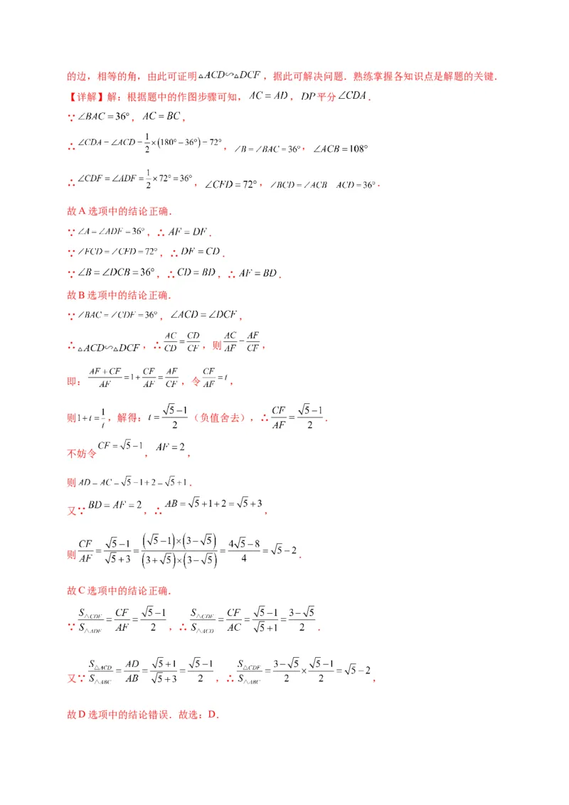
数学(山东济南卷)(全解全析)_2数学总复习_赠送:2024中考模拟题数学_三模(42套)_数学(山东济南卷)
数学(山东济南卷)(全解全析)_2数学总复习_赠送:2024中考模拟题数学_三模(42套)_数学(山东济南卷)
数学(山东济南卷)(全解全析)_2数学总复习_赠送:2024中考模拟题数学_三模(42套)_数学(山东济南卷)
数学(山东济南卷)(全解全析)_2数学总复习_赠送:2024中考模拟题数学_三模(42套)_数学(山东济南卷)
数学(山东济南卷)(全解全析)_2数学总复习_赠送:2024中考模拟题数学_三模(42套)_数学(山东济南卷)
数学(山东济南卷)(全解全析)_2数学总复习_赠送:2024中考模拟题数学_三模(42套)_数学(山东济南卷)
数学(山东济南卷)(全解全析)_2数学总复习_赠送:2024中考模拟题数学_三模(42套)_数学(山东济南卷)
数学(山东济南卷)(全解全析)_2数学总复习_赠送:2024中考模拟题数学_三模(42套)_数学(山东济南卷)
数学(山东济南卷)(全解全析)_2数学总复习_赠送:2024中考模拟题数学_三模(42套)_数学(山东济南卷)
数学(山东济南卷)(全解全析)_2数学总复习_赠送:2024中考模拟题数学_三模(42套)_数学(山东济南卷)
数学(山东济南卷)(全解全析)_2数学总复习_赠送:2024中考模拟题数学_三模(42套)_数学(山东济南卷)
数学(山东济南卷)(全解全析)_2数学总复习_赠送:2024中考模拟题数学_三模(42套)_数学(山东济南卷)
数学(山东济南卷)(全解全析)_2数学总复习_赠送:2024中考模拟题数学_三模(42套)_数学(山东济南卷)
数学(山东济南卷)(全解全析)_2数学总复习_赠送:2024中考模拟题数学_三模(42套)_数学(山东济南卷)
数学(山东济南卷)(全解全析)_2数学总复习_赠送:2024中考模拟题数学_三模(42套)_数学(山东济南卷)
数学(山东济南卷)(全解全析)_2数学总复习_赠送:2024中考模拟题数学_三模(42套)_数学(山东济南卷)
数学(山东济南卷)(全解全析)_2数学总复习_赠送:2024中考模拟题数学_三模(42套)_数学(山东济南卷)
数学(山东济南卷)(全解全析)_2数学总复习_赠送:2024中考模拟题数学_三模(42套)_数学(山东济南卷)
数学(山东济南卷)(全解全析)_2数学总复习_赠送:2024中考模拟题数学_三模(42套)_数学(山东济南卷)
数学(山东济南卷)(全解全析)_2数学总复习_赠送:2024中考模拟题数学_三模(42套)_数学(山东济南卷)
数学(山东济南卷)(全解全析)_2数学总复习_赠送:2024中考模拟题数学_三模(42套)_数学(山东济南卷)

文档信息

文档格式
docx
文档大小
2.616 MB
文档页数
22 页
上传时间
2026-02-05 23:48:04

文档内容

2024 年中考第三次模拟考试(山东济南卷) 数学·全解全析 第Ⅰ卷 一、选择题(本大题共10个小题,每小题4分,共40分.在每个小题给出的四个选项中,只有一项符合 题目要求,请选出并在答题卡上将该项涂黑) 1. 的绝对值是( ) A.2024 B. C. D. 【答案】A 【分析】本题考查求一个数的绝对值,根据负数的绝对值是它的相反数,即可得出结果. 【详解】解: 的绝对值是2024. 故选:A. 2.一个几何体的主视图和左视图如图所示,则这个几何体可能是( ) A. B. C. D. 【答案】D 【分析】根据每个选项中的几何体的主视图和左视图,逐项判断即可. 【详解】A、该圆柱的主视图和左视图是全等的两个矩形,故选项A不符合题意; B、该长方体的主视图和左视图是全等的两个矩形,故选项B不符合题意; C、该三棱柱的主视图是一个矩形两个相邻的矩形,相邻的边是虚线,左视图是一个矩形,故选项C不 符合题意; D、该三棱柱的主视图是一个矩形两个相邻的矩形,相邻的边是实线,左视图是一个矩形,故选项D符 合题意;故选:D. 3.光年是天文学上一种距离单位,一光年是指光在一年内走过的路程,约等于94600亿 ,用科学记数 法表示94600亿是( ) A. B. C. D. 【答案】D 【分析】本题考查用科学记数法表示较大的数,一般形式为 ,其中 ,n可以用整数 位数减去1来确定.用科学记数法表示数,一定要注意a的形式,以及指数n的确定方法. 【详解】解:94600亿 , 故选D 4.如图,已知 ,则 的度数为( ) A. B. C. D. 【答案】B 【分析】本题考查的是平行线的性质,对顶角的性质,等腰三角形的性质,先求解 , 再证明 ,再结合等腰三角形的性质结合三角形的内角和定理可得答案. 【详解】解:∵ ,∴ , ∵ ,∴ ,∵ , ∴ ;故选B 5.徽章交换是现代奥林匹克运动会特有的文化活动.在2022年北京冬奥会上,徽章交换依然深受欢迎. 下列徽章图案中,既是轴对称图形,又是中心对称图形的是( ) A. B. C. D. 【答案】D【分析】根据中心对称图形与轴对称图形的概念进行判断即可. 【详解】解:A、是轴对称图形,不是中心对称图形,故此选项不合题意; B、既不是轴对称图形,也不是中心对称图形,故此选项不合题意; C、既不是轴对称图形,也不是中心对称图形,故此选项不合题意; D、既是轴对称图形,又是中心对称图形,故此选项符合题意; 故选:D. 6.实数a,b在数轴上对应点的位置如图所示.若 ,则下列结论中正确的是( ) A. B. C. D. 【答案】D 【分析】根据数轴上有理数的位置,计算判断即可.本题考查了数轴上表示有理数,借助数轴进行数 或式子的大小比较,符号确定,熟练掌握数轴上大小比较的原则是解题的关键. 【详解】∵ , , ∴A. ,错误,不符合题意; B. ,错误,不符合题意; C. ,错误,不符合题意; D. ,正确,符合题意; 故选D. 7.将分别标有“最”、“美”、“济”、“南”四个汉字的小球装在一个不透明的口袋中,这些球除汉 字不同外其他完全相同,每次摸球前先搅匀,随机摸出一球,不放回,再随机摸出一球,两次摸出的 球上的汉字可以组成“济南”的概率是( ) A. B. C. D. 【答案】A 【分析】 本题考查了用列表法或树状图求概率.根据题意列出表格,数出所有的情况数和符合条件的情况数, 再用概率公式求解即可. 【详解】解:根据题意列出表格如下: 最 美 济 南美 (美,最) (美,济) (美,南) (济, 济 (济,最) (济,南) 美) (南, 南 (南,最) (南,济) 美) 由表可知,一共有12种情况,两次摸出的球上的汉字可以组成“济南”的有2种情况, ∴两次摸出的球上的汉字可以组成“济南”的概率 , 故选:A. 8.已知 ,则 的值为( ) A.6 B.-6 C.3 D.9 【答案】A 【分析】依据题意,直接利用异分母分式的加减运算法则转化为同分母分式提取分子公因式,化简分 式,代入已知 ,即可求解. 【详解】∵ ,∴原式 ,故选A. 9.如图,在 中, , ,以点A为圆心,以 为半径作弧交 于点D,连接 ,以点D为圆心,以 为半径作弧交 于点E,分别以点C、E为圆心,以大于 的长为半 径作弧,两弧交于点P,作射线 交 于点F,以下结论不正确的是( ) A. B. C. D. 【答案】D 【分析】 此题考查了等腰三角形等边对等角,相似三角形的判定和性质,角平分线的作图及性质,解一元二次 方程,根据题中的作图步骤,得出 平分 ,再结合 , ,可得出图中相等的边,相等的角,由此可证明 ,据此可解决问题.熟练掌握各知识点是解题的关键. 【详解】解:根据题中的作图步骤可知, , 平分 . ∵ , , ∴ , , ∴ , , . 故A选项中的结论正确. ∵ ,∴ . ∵ ,∴ . ∵ ,∴ ,∴ . 故B选项中的结论正确. ∵ , , ∴ ,∴ ,则 , 即: ,令 , 则 ,解得: (负值舍去),∴ . 不妨令 , , 则 . 又∵ ,∴ , 则 . 故C选项中的结论正确. ∵ ,∴ . 又∵ ,∴ , 故D选项中的结论错误.故选:D.10.定义:函数图像上到两坐标轴的距离都不大于 的点叫做这个函数图像上的一个“n阶方形内 点”.例如,点 是函数 图像上的一个“ 阶方形内点”;点 是函数 图像上的一 个“2阶方形内点”.若y关于x的二次函数 的图像上一定存在“n阶方形内点”, 则n的取值范围是( ) A. B. C. D. 【答案】B 【分析】本题主要考查了二函数与几何综合,由二次函数解析式可知其顶点坐标在直线 上 移动,作出简图,由函数图象可知,当二次函数图象过点 和点 时为临界情况,求出此时 n的值,由图象可得a的取值范围. 【详解】解:∵二次函数解析式为 , ∴二次函数 图象的顶点坐标为 , ∴二次函数 图象的顶点坐标在直线 上移动, ∵y关于x的二次函数 图象的“n阶好点”一定存在, ∴二次函数 的图象与以顶点坐标为 , , , 的正方形有 交点, 如图,当二次函数 恰好经过 时,则 ,∴ ; 如图,当二次函数 恰好经过 时,则 ,解得 或 (舍去); ∴由图可知,当 时二次函数 的图像上一定存在“n阶方形内点”, 故选B.第Ⅱ卷 二、填空题(本大题共6个小题,每小题4分,共24分) 11.分解因式: . 【答案】 【分析】本题主要考查了因式分解,熟练掌握因式分解的常用方法是解题关键.利用提公因式法和公 式法进行因式分解即可. 【详解】解: . 故答案为: . 12.围棋起源于中国,棋子分黑白两色 一个不透明的盒子中装有 个黑色棋子和若干个白色棋子,每个棋 子除颜色外都相同,任意摸出一个棋子,摸到黑色棋子的概率是 ,则盒中棋子的总个数是 个 【答案】 【分析】 根据黑色棋子除以相应概率可以算出棋子的总数. 【详解】由题意:设棋子的总数为 个, ,解得 ,故答案为:20. 13.关于 的一元二次方程 有实数根,则 的取值范围是 . 【答案】 /【详解】解: 关于 的一元二次方程 有实数根, ,解得: . 故答案为: . 14.如图,正八边形 的边长为 ,以顶点 为圆心, 的长为半径画圆,则阴影部分的面积 为 结果保留 . 【答案】 【详解】解:由题意得: , ;故答案为: . 15.学校利用课后服务时间开展趣味运动项目训练.在直线跑道上,甲同学从 处匀速跑向 处,乙同学 从 处匀速跑往 处,两人同时出发,到达各自终点后立即停止运动.设甲同学跑步的时间为 (秒),甲、乙两人之间的距离为 (米), 与 之间的函数关系如图所示,则图中 的值是 . 【答案】 【详解】解:由图象可得,甲的速度为 (米 秒), 乙的速度为 (米 秒), ∴ ,故答案为: . 16.如图,已知正方形 边长为4,O为对角线的交点,M、N分别是边 、 上的动点,且 ,连接 、 ,则 的最小值为 .【答案】 【详解】解:作 于点F,延长 到点E,使 ,连接 、 、 、 , ∵四边形 是边长为4的正方形, ∴ , , , ,且 , , ∴ 垂直平分 , , , ∴ , ,∴ . ∵ ,∴ , 在 和 中, ,∴ ,∴ ,∴ , ∵ ,∴ ,∴ 的最小值为 . 故答案为: . 三、解答题(本大题共10个小题,共86分.解答应写出文字说明,证明过程或演算步骤)17.(本小题满分6分)计算: . 【详解】解: . 18.(本小题满分6分)解不等式组: ,并写出它的所有整数解. 【详解】解:解不等式①,得 解不等式②,得 在数轴上表示不等式①②的解集如下: 原不等式组的解集是 它的所有整数解有:0,1,2. 19.(本小题满分6分)如图,在菱形 中,点M、N分别在 、 上,且 ,求 证: . 【详解】证明:∵四边形 为菱形, ∴ , , 在 和 中, ,∴ . ∴ , ∴ ,即 . 20.(本小题满分8分)实验是培养学生的创新能力的重要途径之一.如图是小红同学安装的化学实验装 置,安装要求为试管略向下倾斜,试管夹应固定在距试管口的三分之一处.已知试管 cm, ,试管倾斜角 为 . (1)求酒精灯与铁架台的水平距离 的长度(结果精确到0.1cm); (2)实验时,当导气管紧贴水槽 ,延长 交 的延长线于点 ,且 (点C,D,N,F 在一条直线上),经测得: cm, cm, ,求线段 的长度(结果精 确到0.1cm).(参考数据: , , ) 【详解】(1) 解:如图,过点 作 于点 , , , , , 在 中, , , , 答:酒精灯与铁架台的水平距离 的长度约为 ;(2)解:如图,过点 分别作 , ,垂足分别为 、 , 在 中, , , , , , , , , , , , , , 答:线段 的长度约为 . 21.(本小题满分8分)为增强同学们的环保意识,某校八年级举办“垃圾分类知识竞赛”活动,分为笔 试和展演两个阶段.已知年级所有学生都参加了两个阶段的活动.首先将成绩分为以下六组(满分 分,实际得分用 表示): , , , , , 随机抽取 名学生,将他们两个阶段的成绩均按以上六组进行整理,相关信息如下:已知笔试成绩中, 组的数据如下: , , , , , , , , . 请根据以上信息,完成下列问题: (1)在扇形统计图中,“ 组”所对应的扇形的圆心角是 ; (2) ,并补全图 中的频数分布直方图; (3)在笔试阶段中, 名学生成绩的中位数是 分; (4)已知笔试和展演两个阶段的成绩是按照 的权重计入总成绩,总成绩在 分以上的将获得“环保 之星”称号,以下为甲、乙两位同学的成绩,最终谁能获得“环保之星”称号?请通过计算说明理由. 【详解】(1)“ 组”所对应的扇形的圆心角是: , 故答案为: ; (2) ,并补全频数分布直方图如图, 故答案为: ;(3)由( )得: ,即抽取 名学生, 即中位数排在第 , 位的平均数,为 , 故答案为: ; (4)甲: , 乙: , ∵ , ∴乙将获得“环保之星”称号. 22.(本小题满分8分)如图,已知 是 的直径,直线 是 的切线,切点为C, 垂足 为E, 连接 . (1)求证: 平分 : (2)若 求 的半径. 【详解】(1)证明:连接 , 直线 是 的切线,切点为C, , 又 , , , ,, , 平分 ; (2)解:连接 , 是 的直径, , 又 , 由(1)得 , , 在 中, , , 在 中, , ,即 的半径为5. 23.(本小题满分10分)随着时代的发展,“直播带货”已经成为当前最为强劲的购物新潮流,因此“直 播带货”将成为企业营销变革的新起点. 某企业为开启网络直播带货的新篇章,购买A,B两种型号 直播设备.已知A型设备价格是B型设备价格的 倍,用1800元购买A型设备的数量比用1000元购 买B型设备的数量多5台. (1)求A、B型设备单价分别是多少元; (2)某平台计划购买两种设备共60台,要求A型设备数量不少于 B型设备数量的一半,设购买A型设 备a台,求w与a的函数关系式,并求出最少购买费用. 【详解】(1)解:设 型设备的单价是 元,则 型设备的单价是 元,根据题意得: , 解得: , 经检验, 是所列方程的解,且符合题意, (元 . 答: 型设备的单价是120元, 型设备的单价是100元; (2)根据题意得: , 即 , 购进 型设备数量不少于 型设备数量的一半, ,解得: , 与 的函数关系式为 . , 随 的增大而增大, 当 时, 取得最小值,最小值 (元 . 答: 与 的函数关系式为 ,最少购买费用是6400元. 24.(本小题满分10分)如图1,点光源 射出光线沿直线传播,将胶片上的建筑物图片 投影到与胶 片平行的屏幕上,形成影像 .已知 ,胶片与屏幕的距离 为定值,设点光源到胶片 的距离 长为 单位: , 长为 单位: ,当 时, . (1)求 的长. (2)求 关于 的函数解析式,在图2中画出图像,并写出至少一条该函数性质. (3)若要求 不小于 ,求 的取值范围. 【详解】(1)解∵ , ∴ ,∴ , ∴ , 解得 . (2)由(1)得, , ∴ , ∴ 或 , 画出图像如下: 性质:当 时, 随 的增大而减小; (3)由 , , 则 , 解得 , ∴ 的取值范围为: . 25.(本小题满分12分)抛物线 过点 ,点 ,顶点为 ,与 轴相交于点 . 点 是该抛物线上一动点,设点 的横坐标为 .(1)求抛物线的表达式及点 的坐标; (2)如图1,连接 , , ,若 的面积为 ,求 的值; (3)连接 ,过点 作 于点 ,是否存在点 ,使得 .如果存在,请求出点 的坐标;如果不存在,请说明理由. 【详解】(1)解:将点 ,点 代入 得: ,解得: . 抛物线的表达式为 . , 顶点 , . (2) 点 , ,点 , , 直线 解析式为 , 过点 作 轴交 于点 , 设点 ,点 , ∴ 的面积为 ,(3)解: 在 中, , 设 交 轴于点 ,延长 交 轴于 ,连接 ,过点 作 轴于点 , , , , , , . , . 中, , , , 是等腰三角形 , , , , 为 的中点. 是等腰三角形, . , . , .. 设直线 的解析式为 , ∴ ,解得: . ∴直线 的解析式为 . ∴ , 解得: , ∴ . 26.【阅读理解】如图1,在矩形 中,若 ,由勾股定理,得 ,同理 ,故 . 【探究发现】如图2,四边形 为平行四边形,若 ,则上述结论是否依然成立?请 加以判断,并说明理由. 【拓展提升】如图3,已知 为 的一条中线, .求证: . 【尝试应用】如图4,在矩形 中,若 ,点P在边 上,则 的最小值 为_______.【详解】探究发现:结论依然成立,理由如下: 作 于点E,作 交 的延长线于点F,则 , ∵四边形 为平行四边形,若 , ∴ , ∵ , , ∴ , ∴ , ∴ , ∴ ; 拓展提升:延长 到点C,使 ,∵ 为 的一条中线,∴ ,∴四边形 是平行四边形, ∵ . ∴由【探究发现】可知, , ∴ , ∴ ,∴ ; 尝试应用:∵四边形 是矩形, , ∴ , , 设 ,则 , ∴ , ∵ ,∴抛物线开口向上, ∴当 时, 的最小值是 故答案为: .