当前位置:首页>文档>2011年高考数学试卷(文)(上海)(解析卷)_1.高考2025全国各省真题+答案_01.2008-2024全国高考真题(按省份分类)_31.上海_2008-2024·(上海)数学高考真题

2011年高考数学试卷(文)(上海)(解析卷)_1.高考2025全国各省真题+答案_01.2008-2024全国高考真题(按省份分类)_31.上海_2008-2024·(上海)数学高考真题

  • 2026-03-18 20:56:11 2026-02-06 06:16:57

文档预览

2011年高考数学试卷(文)(上海)(解析卷)_1.高考2025全国各省真题+答案_01.2008-2024全国高考真题(按省份分类)_31.上海_2008-2024·(上海)数学高考真题
2011年高考数学试卷(文)(上海)(解析卷)_1.高考2025全国各省真题+答案_01.2008-2024全国高考真题(按省份分类)_31.上海_2008-2024·(上海)数学高考真题
2011年高考数学试卷(文)(上海)(解析卷)_1.高考2025全国各省真题+答案_01.2008-2024全国高考真题(按省份分类)_31.上海_2008-2024·(上海)数学高考真题
2011年高考数学试卷(文)(上海)(解析卷)_1.高考2025全国各省真题+答案_01.2008-2024全国高考真题(按省份分类)_31.上海_2008-2024·(上海)数学高考真题
2011年高考数学试卷(文)(上海)(解析卷)_1.高考2025全国各省真题+答案_01.2008-2024全国高考真题(按省份分类)_31.上海_2008-2024·(上海)数学高考真题
2011年高考数学试卷(文)(上海)(解析卷)_1.高考2025全国各省真题+答案_01.2008-2024全国高考真题(按省份分类)_31.上海_2008-2024·(上海)数学高考真题
2011年高考数学试卷(文)(上海)(解析卷)_1.高考2025全国各省真题+答案_01.2008-2024全国高考真题(按省份分类)_31.上海_2008-2024·(上海)数学高考真题
2011年高考数学试卷(文)(上海)(解析卷)_1.高考2025全国各省真题+答案_01.2008-2024全国高考真题(按省份分类)_31.上海_2008-2024·(上海)数学高考真题
2011年高考数学试卷(文)(上海)(解析卷)_1.高考2025全国各省真题+答案_01.2008-2024全国高考真题(按省份分类)_31.上海_2008-2024·(上海)数学高考真题
2011年高考数学试卷(文)(上海)(解析卷)_1.高考2025全国各省真题+答案_01.2008-2024全国高考真题(按省份分类)_31.上海_2008-2024·(上海)数学高考真题
2011年高考数学试卷(文)(上海)(解析卷)_1.高考2025全国各省真题+答案_01.2008-2024全国高考真题(按省份分类)_31.上海_2008-2024·(上海)数学高考真题
2011年高考数学试卷(文)(上海)(解析卷)_1.高考2025全国各省真题+答案_01.2008-2024全国高考真题(按省份分类)_31.上海_2008-2024·(上海)数学高考真题
2011年高考数学试卷(文)(上海)(解析卷)_1.高考2025全国各省真题+答案_01.2008-2024全国高考真题(按省份分类)_31.上海_2008-2024·(上海)数学高考真题

文档信息

文档格式
doc
文档大小
0.953 MB
文档页数
9 页
上传时间
2026-02-06 06:16:57

文档内容

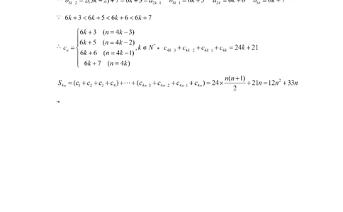
2011年上海高考数学试题(文科)答案及解析 一、填空题 1、 ;2、 ;3、 ;4、 ;5、 ;6、 或 ; 7、 ; 8、 ;9、 ;10、 ;11、 ;12、 ;13、 ;14、 。 二、选择题 15、 ;16、 ;17、 ;18、 。 三、解答题 19、解: ………………(4分) 设 ,则 ,………………(12 分) ∵ ,∴ ………………(12分) 20、解:⑴ 连 ,∵ , A D ∴ 异面直线 与 所成角为 ,记 , B C A ∴ 异面直线 与 所成角为 。 1 D 1 B 1 C 1 ⑵ 连 ,则所求四面体的体积 。 21 、 解 : ⑴ 当 时 , 任 意 , 则 第1页 | 共9页∵ , , ∴ ,函数 在 上是增函数。 当 时,同理,函数 在 上是减函数。 ⑵ 当 时, ,则 ; 当 时, ,则 。 22、解:⑴ ,椭圆方程为 , ∴ 左、右焦点坐标为 。 ⑵ ,椭圆方程为 ,设 ,则 [来 ∴ 时 ; 时 。 ⑶ 设动点 ,则 ∵ 当 时, 取最小值,且 ,∴ 且 解得 。 第2页 | 共9页23、解:⑴ 三项分别为 。 ⑵ 分别为 ⑶ , , , ∵ ∴ 。 。 第3页 | 共9页第4页 | 共9页第5页 | 共9页第6页 | 共9页第7页 | 共9页第8页 | 共9页第9页 | 共9页