当前位置:首页>文档>数学答案_2024届河南省周口市项城市第三高级中学高三上学期第三次段考_河南省周口市项城市第三高级中学2024届高三上学期第三次段考数学

数学答案_2024届河南省周口市项城市第三高级中学高三上学期第三次段考_河南省周口市项城市第三高级中学2024届高三上学期第三次段考数学

  • 2026-04-09 00:50:32 2026-02-09 03:40:44

文档预览

数学答案_2024届河南省周口市项城市第三高级中学高三上学期第三次段考_河南省周口市项城市第三高级中学2024届高三上学期第三次段考数学
数学答案_2024届河南省周口市项城市第三高级中学高三上学期第三次段考_河南省周口市项城市第三高级中学2024届高三上学期第三次段考数学
数学答案_2024届河南省周口市项城市第三高级中学高三上学期第三次段考_河南省周口市项城市第三高级中学2024届高三上学期第三次段考数学
数学答案_2024届河南省周口市项城市第三高级中学高三上学期第三次段考_河南省周口市项城市第三高级中学2024届高三上学期第三次段考数学
数学答案_2024届河南省周口市项城市第三高级中学高三上学期第三次段考_河南省周口市项城市第三高级中学2024届高三上学期第三次段考数学
数学答案_2024届河南省周口市项城市第三高级中学高三上学期第三次段考_河南省周口市项城市第三高级中学2024届高三上学期第三次段考数学
数学答案_2024届河南省周口市项城市第三高级中学高三上学期第三次段考_河南省周口市项城市第三高级中学2024届高三上学期第三次段考数学
数学答案_2024届河南省周口市项城市第三高级中学高三上学期第三次段考_河南省周口市项城市第三高级中学2024届高三上学期第三次段考数学

文档信息

文档格式
pdf
文档大小
0.140 MB
文档页数
4 页
上传时间
2026-02-09 03:40:44

文档内容

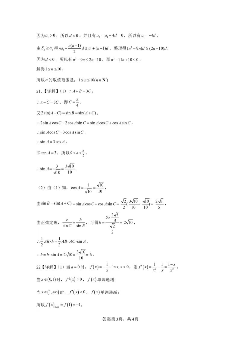
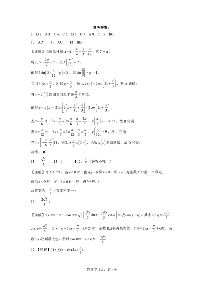
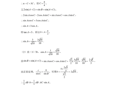
参考答案: 1.D2.A3.C4.C5.D6.C7.A8.C 9.BC 10.AD 11.AC 12.BD T   【详解】由图象可知A2,   ,即T , 4 3 12 2  所以 2,又 f  2, T 12    骣π 可得2sin2 2 ,即sin琪琪 +φ =1,  12  桫6     又因为 ,所以 ,所以 f x2sin2x ,故A正确; 2 3  3  将y f x的图象向左平移 个单位, 4       可得ygx 2sin2x    2cos2x  ,   4 3  3     2  当x 时,2x 2   ,g 12,故B错误; 6 3 6 3 3  6       当x 时,2x 2   ,g 0,故C正确; 12 3 12 3 2 12     当x   ,  时,则2x 0,,函数gx单调递减,故D错误.  6 3 3 故选:BD 5 1 13. 14.1 【15. (答案不唯一) 5 2 【详解】令 f(x)0,当x0时,由 x 0得x0,即x0为函数 f(x)的一个零点, 故当x0时,2x b0有一解,得b(0,1) 1 故答案为: (答案不唯一) 2 2 5 16. ; 5  5 2 5  2 5 【详解】f(x)=sinx-2cosx= 5   sinx cosx  = 5sin(x-φ),其中sinφ= ,  5 5  5   5 cosφ= ,当x-φ=2kπ+ (k∈Z)时,函数f(x)取得最大值,即θ=2kπ+ +φ时,函 5 2 2 2 5 数f(x)取到最大值,所以cosθ=-sinφ=- . 5  17.【详解】(1)f(x)=sin(2x ), 6 答案第1页,共4页 {#{QQABDYKUggAgAgAAABhCQQH6CAGQkBACCAoGhBAAMAABwRNABAA=}#}2 所以f(x)的最小正周期为T= =π; 2     7 (2)因为x∈  0,  ,所以2x+ ∈  ,  ,  2 6 6 6  根据正弦函数y sinx 的图像可知:    当2x+ = ,即x= 时,f(x)取得最大值1, 6 2 6  7  1 当2x+ = ,即x= 时,f(x)取得最小值- ; 6 6 2 2 1 综上,最小正周期为 ,最大值为1,最小值为 . 2 18.【详解】(1)由 f x2x34x2可得 fx6x28x (2)由 f(x)xex可得 fxexxex x1ex (3)由 f(x)xsinxcosx得 fxsinxxcosxsinx xcosx (4)由 f(x) x1 得 fx x1x1 = 2 x1 x12 x12 19.【详解】(1)函数 f(x)log (3x 1)(a0且a1), f(2)log 83, a a a2,函数 f(x)log (3x1). 2 若x 1,2 ,3x1 2,8 , 故 f x的取值范围为 1,3 . (2)不等式 f x3,即log (3x 1)3,03x18,解得0x2, 2 故不等式的解集为0,2 . 20.【详解】(1)设等差数列a 的首项为a ,公差为d, n 1  98 9a  d (a 4d) 根据题意有 1 2 1 ,  a 2d 4 1 a 8 解答 1 ,所以a 8(n1)(2)2n10 , d 2 n 所以等差数列a 的通项公式为a 2n10; n n (2)由条件S a ,得9a a ,即a 0, 9 5 5 5 5 答案第2页,共4页 {#{QQABDYKUggAgAgAAABhCQQH6CAGQkBACCAoGhBAAMAABwRNABAA=}#}因为a 0,所以d 0,并且有a a 4d 0,所以有a 4d , 1 5 1 1 n(n1) 由S a 得na  d a (n1)d ,整理得(n29n)d (2n10)d, n n 1 2 1 因为d 0,所以有n29n2n10,即n211n100, 解得1n10, 所以n的取值范围是:1n10(nN) 21.【详解】(1)AB3C, π πC 3C,即C  , 4 又2sin(AC)sinBsin(AC), 2sinAcosC2cosAsinC sinAcosCcosAsinC, sinAcosC 3cosAsinC, sinA3cosA, π 即tanA3,所以0A , 2 3 3 10 sinA  . 10 10 1 10 (2)由(1)知,cosA  , 10 10 2 3 10 10 2 5 由sinBsin(AC) sinAcosCcosAsinC (  ) , 2 10 10 5 2 5 5 由正弦定理, c  b ,可得b 5  2 10 , sinC sinB 2 2 1 1  ABh ABACsinA, 2 2 3 10 hbsinA 2 10 6 . 10 1 1 1 1x 22【详解】(1)当a0时, f x lnx,x0,则 fx   , x x2 x x2 当x0,1时, f ¢( x )>0, f x单调递增; 当x1,时, fx0, f x单调递减; 所以 f x  f 11; max 答案第3页,共4页 {#{QQABDYKUggAgAgAAABhCQQH6CAGQkBACCAoGhBAAMAABwRNABAA=}#}1 1 a1 ax1x1 (2) f xax a1ln x, x0,则 fxa   , x x2 x x2 当a0时,ax10,所以当x0,1时, f ¢( x )>0, f x单调递增; 当x1,时, fx0, f x单调递减; 所以 f x  f 1a10,此时函数无零点,不合题意; max 当0a1时, 1 1,在0,1,   1 ,  上, f ¢( x )>0, f x单调递增; a a   1 在1, 上, fx0, f x单调递减;  a 又 f 1a10, 1 1 由(1)得 lnx1,即ln 1x,所以lnxx,ln x  x,lnx2 x, x x 1 1 当x1时, f(x)ax (a1)lnxax 2(a1) x ax(2a3) x, x x 则存在m   3 2   2  1 ,使得 f m0, 所以 f x仅在   1 ,  有唯一零点,符合题意; a  a a  当a1时, fx x12  0 ,所以 f x单调递增,又 f 1a10, x2 所以 f x有唯一零点,符合题意; 当a 1时, 1 1,在  0, 1 ,1,上, f ¢( x )>0, f x单调递增; a  a 1  在 ,1上, fx0, f x单调递减;此时 f 1a10, a  1 1  1  由(1)得当0 x1时,lnx1 ,ln x 1 ,所以lnx21  , x x  x  1 1  1  1 2(a1) 此时 f(x)ax (a1)lnxax 2(a1)1    , x x  x  x x 1 1  1 1  存在n  ,使得 f(n)0,所以 f x在0, 有一个零点,在 ,无零点, 4(a1)2 a  a a  所以 f x有唯一零点,符合题意; 综上,a的取值范围为0, . 答案第4页,共4页 {#{QQABDYKUggAgAgAAABhCQQH6CAGQkBACCAoGhBAAMAABwRNABAA=}#}