当前位置:首页>文档>专题03椭圆(2种经典基础练+3种优选提升练)解析版(1)_1多考区联考_0105好题汇编备战2024-2025学年高二数学上学期期末真题分类汇编(新高考通用)

专题03椭圆(2种经典基础练+3种优选提升练)解析版(1)_1多考区联考_0105好题汇编备战2024-2025学年高二数学上学期期末真题分类汇编(新高考通用)

  • 2026-04-13 16:43:27 2026-02-09 04:48:20

文档预览

专题03椭圆(2种经典基础练+3种优选提升练)解析版(1)_1多考区联考_0105好题汇编备战2024-2025学年高二数学上学期期末真题分类汇编(新高考通用)
专题03椭圆(2种经典基础练+3种优选提升练)解析版(1)_1多考区联考_0105好题汇编备战2024-2025学年高二数学上学期期末真题分类汇编(新高考通用)
专题03椭圆(2种经典基础练+3种优选提升练)解析版(1)_1多考区联考_0105好题汇编备战2024-2025学年高二数学上学期期末真题分类汇编(新高考通用)
专题03椭圆(2种经典基础练+3种优选提升练)解析版(1)_1多考区联考_0105好题汇编备战2024-2025学年高二数学上学期期末真题分类汇编(新高考通用)
专题03椭圆(2种经典基础练+3种优选提升练)解析版(1)_1多考区联考_0105好题汇编备战2024-2025学年高二数学上学期期末真题分类汇编(新高考通用)
专题03椭圆(2种经典基础练+3种优选提升练)解析版(1)_1多考区联考_0105好题汇编备战2024-2025学年高二数学上学期期末真题分类汇编(新高考通用)
专题03椭圆(2种经典基础练+3种优选提升练)解析版(1)_1多考区联考_0105好题汇编备战2024-2025学年高二数学上学期期末真题分类汇编(新高考通用)
专题03椭圆(2种经典基础练+3种优选提升练)解析版(1)_1多考区联考_0105好题汇编备战2024-2025学年高二数学上学期期末真题分类汇编(新高考通用)
专题03椭圆(2种经典基础练+3种优选提升练)解析版(1)_1多考区联考_0105好题汇编备战2024-2025学年高二数学上学期期末真题分类汇编(新高考通用)
专题03椭圆(2种经典基础练+3种优选提升练)解析版(1)_1多考区联考_0105好题汇编备战2024-2025学年高二数学上学期期末真题分类汇编(新高考通用)
专题03椭圆(2种经典基础练+3种优选提升练)解析版(1)_1多考区联考_0105好题汇编备战2024-2025学年高二数学上学期期末真题分类汇编(新高考通用)
专题03椭圆(2种经典基础练+3种优选提升练)解析版(1)_1多考区联考_0105好题汇编备战2024-2025学年高二数学上学期期末真题分类汇编(新高考通用)
专题03椭圆(2种经典基础练+3种优选提升练)解析版(1)_1多考区联考_0105好题汇编备战2024-2025学年高二数学上学期期末真题分类汇编(新高考通用)
专题03椭圆(2种经典基础练+3种优选提升练)解析版(1)_1多考区联考_0105好题汇编备战2024-2025学年高二数学上学期期末真题分类汇编(新高考通用)
专题03椭圆(2种经典基础练+3种优选提升练)解析版(1)_1多考区联考_0105好题汇编备战2024-2025学年高二数学上学期期末真题分类汇编(新高考通用)
专题03椭圆(2种经典基础练+3种优选提升练)解析版(1)_1多考区联考_0105好题汇编备战2024-2025学年高二数学上学期期末真题分类汇编(新高考通用)
专题03椭圆(2种经典基础练+3种优选提升练)解析版(1)_1多考区联考_0105好题汇编备战2024-2025学年高二数学上学期期末真题分类汇编(新高考通用)
专题03椭圆(2种经典基础练+3种优选提升练)解析版(1)_1多考区联考_0105好题汇编备战2024-2025学年高二数学上学期期末真题分类汇编(新高考通用)
专题03椭圆(2种经典基础练+3种优选提升练)解析版(1)_1多考区联考_0105好题汇编备战2024-2025学年高二数学上学期期末真题分类汇编(新高考通用)
专题03椭圆(2种经典基础练+3种优选提升练)解析版(1)_1多考区联考_0105好题汇编备战2024-2025学年高二数学上学期期末真题分类汇编(新高考通用)
专题03椭圆(2种经典基础练+3种优选提升练)解析版(1)_1多考区联考_0105好题汇编备战2024-2025学年高二数学上学期期末真题分类汇编(新高考通用)
专题03椭圆(2种经典基础练+3种优选提升练)解析版(1)_1多考区联考_0105好题汇编备战2024-2025学年高二数学上学期期末真题分类汇编(新高考通用)
专题03椭圆(2种经典基础练+3种优选提升练)解析版(1)_1多考区联考_0105好题汇编备战2024-2025学年高二数学上学期期末真题分类汇编(新高考通用)
专题03椭圆(2种经典基础练+3种优选提升练)解析版(1)_1多考区联考_0105好题汇编备战2024-2025学年高二数学上学期期末真题分类汇编(新高考通用)
专题03椭圆(2种经典基础练+3种优选提升练)解析版(1)_1多考区联考_0105好题汇编备战2024-2025学年高二数学上学期期末真题分类汇编(新高考通用)
专题03椭圆(2种经典基础练+3种优选提升练)解析版(1)_1多考区联考_0105好题汇编备战2024-2025学年高二数学上学期期末真题分类汇编(新高考通用)
专题03椭圆(2种经典基础练+3种优选提升练)解析版(1)_1多考区联考_0105好题汇编备战2024-2025学年高二数学上学期期末真题分类汇编(新高考通用)
专题03椭圆(2种经典基础练+3种优选提升练)解析版(1)_1多考区联考_0105好题汇编备战2024-2025学年高二数学上学期期末真题分类汇编(新高考通用)
专题03椭圆(2种经典基础练+3种优选提升练)解析版(1)_1多考区联考_0105好题汇编备战2024-2025学年高二数学上学期期末真题分类汇编(新高考通用)
专题03椭圆(2种经典基础练+3种优选提升练)解析版(1)_1多考区联考_0105好题汇编备战2024-2025学年高二数学上学期期末真题分类汇编(新高考通用)
专题03椭圆(2种经典基础练+3种优选提升练)解析版(1)_1多考区联考_0105好题汇编备战2024-2025学年高二数学上学期期末真题分类汇编(新高考通用)
专题03椭圆(2种经典基础练+3种优选提升练)解析版(1)_1多考区联考_0105好题汇编备战2024-2025学年高二数学上学期期末真题分类汇编(新高考通用)
专题03椭圆(2种经典基础练+3种优选提升练)解析版(1)_1多考区联考_0105好题汇编备战2024-2025学年高二数学上学期期末真题分类汇编(新高考通用)
专题03椭圆(2种经典基础练+3种优选提升练)解析版(1)_1多考区联考_0105好题汇编备战2024-2025学年高二数学上学期期末真题分类汇编(新高考通用)
专题03椭圆(2种经典基础练+3种优选提升练)解析版(1)_1多考区联考_0105好题汇编备战2024-2025学年高二数学上学期期末真题分类汇编(新高考通用)
专题03椭圆(2种经典基础练+3种优选提升练)解析版(1)_1多考区联考_0105好题汇编备战2024-2025学年高二数学上学期期末真题分类汇编(新高考通用)
专题03椭圆(2种经典基础练+3种优选提升练)解析版(1)_1多考区联考_0105好题汇编备战2024-2025学年高二数学上学期期末真题分类汇编(新高考通用)
专题03椭圆(2种经典基础练+3种优选提升练)解析版(1)_1多考区联考_0105好题汇编备战2024-2025学年高二数学上学期期末真题分类汇编(新高考通用)
专题03椭圆(2种经典基础练+3种优选提升练)解析版(1)_1多考区联考_0105好题汇编备战2024-2025学年高二数学上学期期末真题分类汇编(新高考通用)
专题03椭圆(2种经典基础练+3种优选提升练)解析版(1)_1多考区联考_0105好题汇编备战2024-2025学年高二数学上学期期末真题分类汇编(新高考通用)
专题03椭圆(2种经典基础练+3种优选提升练)解析版(1)_1多考区联考_0105好题汇编备战2024-2025学年高二数学上学期期末真题分类汇编(新高考通用)
专题03椭圆(2种经典基础练+3种优选提升练)解析版(1)_1多考区联考_0105好题汇编备战2024-2025学年高二数学上学期期末真题分类汇编(新高考通用)
专题03椭圆(2种经典基础练+3种优选提升练)解析版(1)_1多考区联考_0105好题汇编备战2024-2025学年高二数学上学期期末真题分类汇编(新高考通用)
专题03椭圆(2种经典基础练+3种优选提升练)解析版(1)_1多考区联考_0105好题汇编备战2024-2025学年高二数学上学期期末真题分类汇编(新高考通用)
专题03椭圆(2种经典基础练+3种优选提升练)解析版(1)_1多考区联考_0105好题汇编备战2024-2025学年高二数学上学期期末真题分类汇编(新高考通用)
专题03椭圆(2种经典基础练+3种优选提升练)解析版(1)_1多考区联考_0105好题汇编备战2024-2025学年高二数学上学期期末真题分类汇编(新高考通用)
专题03椭圆(2种经典基础练+3种优选提升练)解析版(1)_1多考区联考_0105好题汇编备战2024-2025学年高二数学上学期期末真题分类汇编(新高考通用)
专题03椭圆(2种经典基础练+3种优选提升练)解析版(1)_1多考区联考_0105好题汇编备战2024-2025学年高二数学上学期期末真题分类汇编(新高考通用)
专题03椭圆(2种经典基础练+3种优选提升练)解析版(1)_1多考区联考_0105好题汇编备战2024-2025学年高二数学上学期期末真题分类汇编(新高考通用)
专题03椭圆(2种经典基础练+3种优选提升练)解析版(1)_1多考区联考_0105好题汇编备战2024-2025学年高二数学上学期期末真题分类汇编(新高考通用)
专题03椭圆(2种经典基础练+3种优选提升练)解析版(1)_1多考区联考_0105好题汇编备战2024-2025学年高二数学上学期期末真题分类汇编(新高考通用)
专题03椭圆(2种经典基础练+3种优选提升练)解析版(1)_1多考区联考_0105好题汇编备战2024-2025学年高二数学上学期期末真题分类汇编(新高考通用)
专题03椭圆(2种经典基础练+3种优选提升练)解析版(1)_1多考区联考_0105好题汇编备战2024-2025学年高二数学上学期期末真题分类汇编(新高考通用)
专题03椭圆(2种经典基础练+3种优选提升练)解析版(1)_1多考区联考_0105好题汇编备战2024-2025学年高二数学上学期期末真题分类汇编(新高考通用)
专题03椭圆(2种经典基础练+3种优选提升练)解析版(1)_1多考区联考_0105好题汇编备战2024-2025学年高二数学上学期期末真题分类汇编(新高考通用)
专题03椭圆(2种经典基础练+3种优选提升练)解析版(1)_1多考区联考_0105好题汇编备战2024-2025学年高二数学上学期期末真题分类汇编(新高考通用)
专题03椭圆(2种经典基础练+3种优选提升练)解析版(1)_1多考区联考_0105好题汇编备战2024-2025学年高二数学上学期期末真题分类汇编(新高考通用)
专题03椭圆(2种经典基础练+3种优选提升练)解析版(1)_1多考区联考_0105好题汇编备战2024-2025学年高二数学上学期期末真题分类汇编(新高考通用)
专题03椭圆(2种经典基础练+3种优选提升练)解析版(1)_1多考区联考_0105好题汇编备战2024-2025学年高二数学上学期期末真题分类汇编(新高考通用)
专题03椭圆(2种经典基础练+3种优选提升练)解析版(1)_1多考区联考_0105好题汇编备战2024-2025学年高二数学上学期期末真题分类汇编(新高考通用)
专题03椭圆(2种经典基础练+3种优选提升练)解析版(1)_1多考区联考_0105好题汇编备战2024-2025学年高二数学上学期期末真题分类汇编(新高考通用)
专题03椭圆(2种经典基础练+3种优选提升练)解析版(1)_1多考区联考_0105好题汇编备战2024-2025学年高二数学上学期期末真题分类汇编(新高考通用)
专题03椭圆(2种经典基础练+3种优选提升练)解析版(1)_1多考区联考_0105好题汇编备战2024-2025学年高二数学上学期期末真题分类汇编(新高考通用)
专题03椭圆(2种经典基础练+3种优选提升练)解析版(1)_1多考区联考_0105好题汇编备战2024-2025学年高二数学上学期期末真题分类汇编(新高考通用)
专题03椭圆(2种经典基础练+3种优选提升练)解析版(1)_1多考区联考_0105好题汇编备战2024-2025学年高二数学上学期期末真题分类汇编(新高考通用)
专题03椭圆(2种经典基础练+3种优选提升练)解析版(1)_1多考区联考_0105好题汇编备战2024-2025学年高二数学上学期期末真题分类汇编(新高考通用)
专题03椭圆(2种经典基础练+3种优选提升练)解析版(1)_1多考区联考_0105好题汇编备战2024-2025学年高二数学上学期期末真题分类汇编(新高考通用)
专题03椭圆(2种经典基础练+3种优选提升练)解析版(1)_1多考区联考_0105好题汇编备战2024-2025学年高二数学上学期期末真题分类汇编(新高考通用)
专题03椭圆(2种经典基础练+3种优选提升练)解析版(1)_1多考区联考_0105好题汇编备战2024-2025学年高二数学上学期期末真题分类汇编(新高考通用)
专题03椭圆(2种经典基础练+3种优选提升练)解析版(1)_1多考区联考_0105好题汇编备战2024-2025学年高二数学上学期期末真题分类汇编(新高考通用)
专题03椭圆(2种经典基础练+3种优选提升练)解析版(1)_1多考区联考_0105好题汇编备战2024-2025学年高二数学上学期期末真题分类汇编(新高考通用)
专题03椭圆(2种经典基础练+3种优选提升练)解析版(1)_1多考区联考_0105好题汇编备战2024-2025学年高二数学上学期期末真题分类汇编(新高考通用)
专题03椭圆(2种经典基础练+3种优选提升练)解析版(1)_1多考区联考_0105好题汇编备战2024-2025学年高二数学上学期期末真题分类汇编(新高考通用)
专题03椭圆(2种经典基础练+3种优选提升练)解析版(1)_1多考区联考_0105好题汇编备战2024-2025学年高二数学上学期期末真题分类汇编(新高考通用)
专题03椭圆(2种经典基础练+3种优选提升练)解析版(1)_1多考区联考_0105好题汇编备战2024-2025学年高二数学上学期期末真题分类汇编(新高考通用)
专题03椭圆(2种经典基础练+3种优选提升练)解析版(1)_1多考区联考_0105好题汇编备战2024-2025学年高二数学上学期期末真题分类汇编(新高考通用)
专题03椭圆(2种经典基础练+3种优选提升练)解析版(1)_1多考区联考_0105好题汇编备战2024-2025学年高二数学上学期期末真题分类汇编(新高考通用)
专题03椭圆(2种经典基础练+3种优选提升练)解析版(1)_1多考区联考_0105好题汇编备战2024-2025学年高二数学上学期期末真题分类汇编(新高考通用)
专题03椭圆(2种经典基础练+3种优选提升练)解析版(1)_1多考区联考_0105好题汇编备战2024-2025学年高二数学上学期期末真题分类汇编(新高考通用)
专题03椭圆(2种经典基础练+3种优选提升练)解析版(1)_1多考区联考_0105好题汇编备战2024-2025学年高二数学上学期期末真题分类汇编(新高考通用)
专题03椭圆(2种经典基础练+3种优选提升练)解析版(1)_1多考区联考_0105好题汇编备战2024-2025学年高二数学上学期期末真题分类汇编(新高考通用)
专题03椭圆(2种经典基础练+3种优选提升练)解析版(1)_1多考区联考_0105好题汇编备战2024-2025学年高二数学上学期期末真题分类汇编(新高考通用)
专题03椭圆(2种经典基础练+3种优选提升练)解析版(1)_1多考区联考_0105好题汇编备战2024-2025学年高二数学上学期期末真题分类汇编(新高考通用)
专题03椭圆(2种经典基础练+3种优选提升练)解析版(1)_1多考区联考_0105好题汇编备战2024-2025学年高二数学上学期期末真题分类汇编(新高考通用)
专题03椭圆(2种经典基础练+3种优选提升练)解析版(1)_1多考区联考_0105好题汇编备战2024-2025学年高二数学上学期期末真题分类汇编(新高考通用)
专题03椭圆(2种经典基础练+3种优选提升练)解析版(1)_1多考区联考_0105好题汇编备战2024-2025学年高二数学上学期期末真题分类汇编(新高考通用)
专题03椭圆(2种经典基础练+3种优选提升练)解析版(1)_1多考区联考_0105好题汇编备战2024-2025学年高二数学上学期期末真题分类汇编(新高考通用)
专题03椭圆(2种经典基础练+3种优选提升练)解析版(1)_1多考区联考_0105好题汇编备战2024-2025学年高二数学上学期期末真题分类汇编(新高考通用)
专题03椭圆(2种经典基础练+3种优选提升练)解析版(1)_1多考区联考_0105好题汇编备战2024-2025学年高二数学上学期期末真题分类汇编(新高考通用)
专题03椭圆(2种经典基础练+3种优选提升练)解析版(1)_1多考区联考_0105好题汇编备战2024-2025学年高二数学上学期期末真题分类汇编(新高考通用)
专题03椭圆(2种经典基础练+3种优选提升练)解析版(1)_1多考区联考_0105好题汇编备战2024-2025学年高二数学上学期期末真题分类汇编(新高考通用)
专题03椭圆(2种经典基础练+3种优选提升练)解析版(1)_1多考区联考_0105好题汇编备战2024-2025学年高二数学上学期期末真题分类汇编(新高考通用)
专题03椭圆(2种经典基础练+3种优选提升练)解析版(1)_1多考区联考_0105好题汇编备战2024-2025学年高二数学上学期期末真题分类汇编(新高考通用)
专题03椭圆(2种经典基础练+3种优选提升练)解析版(1)_1多考区联考_0105好题汇编备战2024-2025学年高二数学上学期期末真题分类汇编(新高考通用)
专题03椭圆(2种经典基础练+3种优选提升练)解析版(1)_1多考区联考_0105好题汇编备战2024-2025学年高二数学上学期期末真题分类汇编(新高考通用)
专题03椭圆(2种经典基础练+3种优选提升练)解析版(1)_1多考区联考_0105好题汇编备战2024-2025学年高二数学上学期期末真题分类汇编(新高考通用)
专题03椭圆(2种经典基础练+3种优选提升练)解析版(1)_1多考区联考_0105好题汇编备战2024-2025学年高二数学上学期期末真题分类汇编(新高考通用)
专题03椭圆(2种经典基础练+3种优选提升练)解析版(1)_1多考区联考_0105好题汇编备战2024-2025学年高二数学上学期期末真题分类汇编(新高考通用)
专题03椭圆(2种经典基础练+3种优选提升练)解析版(1)_1多考区联考_0105好题汇编备战2024-2025学年高二数学上学期期末真题分类汇编(新高考通用)
专题03椭圆(2种经典基础练+3种优选提升练)解析版(1)_1多考区联考_0105好题汇编备战2024-2025学年高二数学上学期期末真题分类汇编(新高考通用)
专题03椭圆(2种经典基础练+3种优选提升练)解析版(1)_1多考区联考_0105好题汇编备战2024-2025学年高二数学上学期期末真题分类汇编(新高考通用)
专题03椭圆(2种经典基础练+3种优选提升练)解析版(1)_1多考区联考_0105好题汇编备战2024-2025学年高二数学上学期期末真题分类汇编(新高考通用)
专题03椭圆(2种经典基础练+3种优选提升练)解析版(1)_1多考区联考_0105好题汇编备战2024-2025学年高二数学上学期期末真题分类汇编(新高考通用)
专题03椭圆(2种经典基础练+3种优选提升练)解析版(1)_1多考区联考_0105好题汇编备战2024-2025学年高二数学上学期期末真题分类汇编(新高考通用)
专题03椭圆(2种经典基础练+3种优选提升练)解析版(1)_1多考区联考_0105好题汇编备战2024-2025学年高二数学上学期期末真题分类汇编(新高考通用)
专题03椭圆(2种经典基础练+3种优选提升练)解析版(1)_1多考区联考_0105好题汇编备战2024-2025学年高二数学上学期期末真题分类汇编(新高考通用)
专题03椭圆(2种经典基础练+3种优选提升练)解析版(1)_1多考区联考_0105好题汇编备战2024-2025学年高二数学上学期期末真题分类汇编(新高考通用)

文档信息

文档格式
docx
文档大小
8.926 MB
文档页数
103 页
上传时间
2026-02-09 04:48:20

文档内容

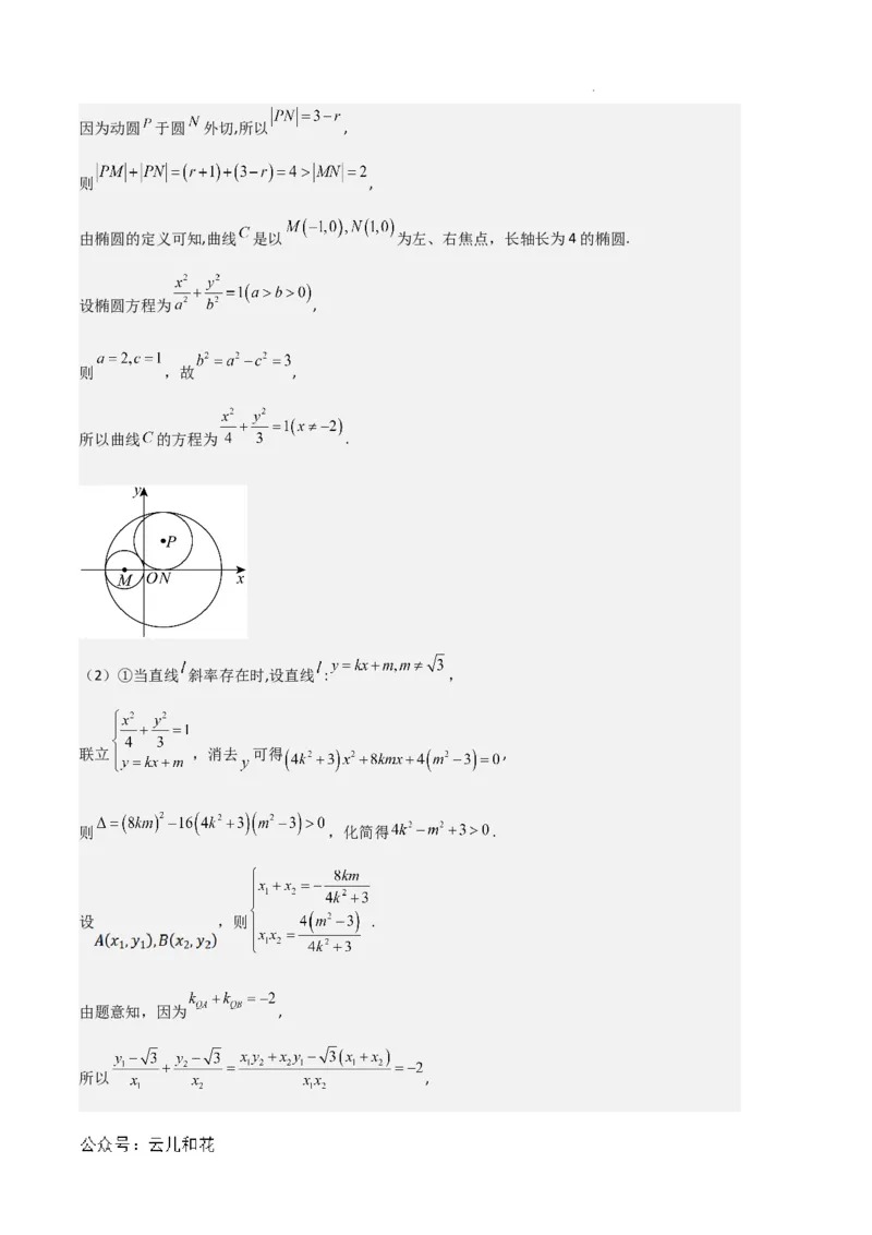
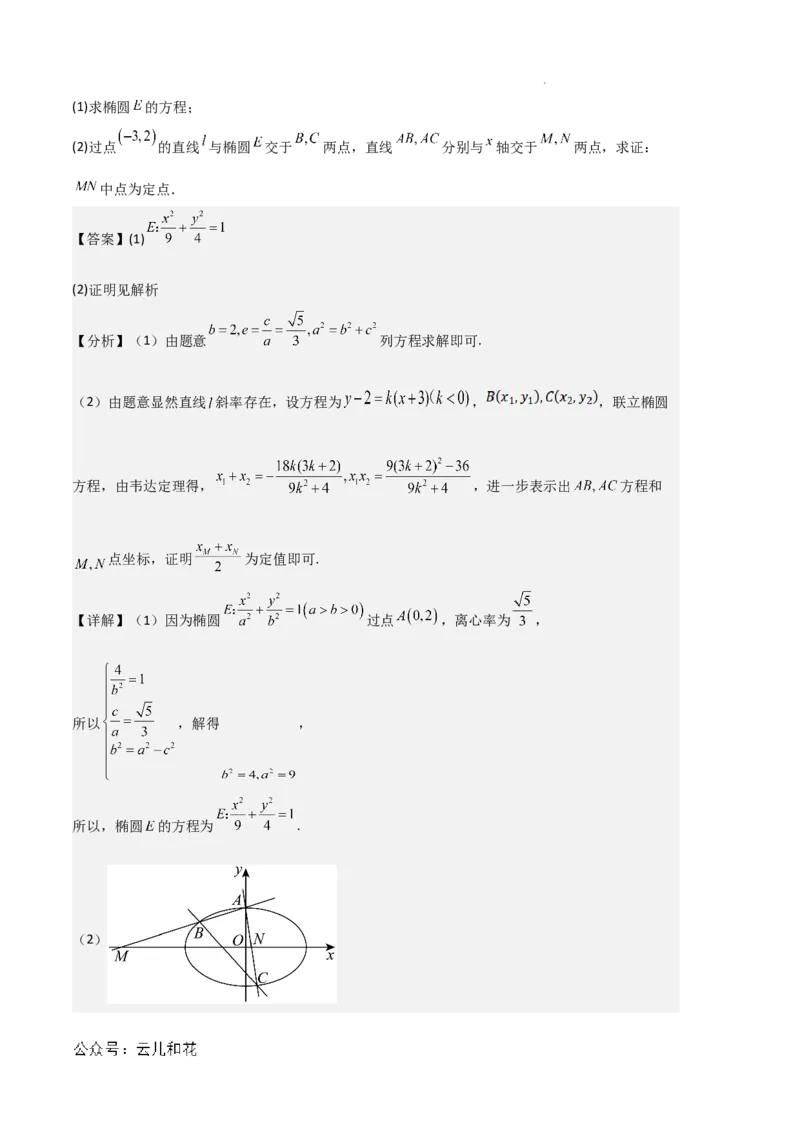
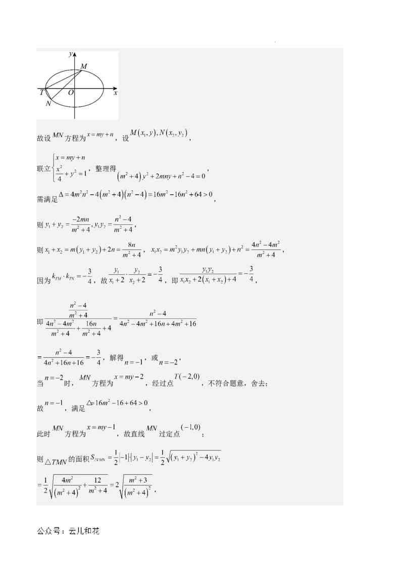
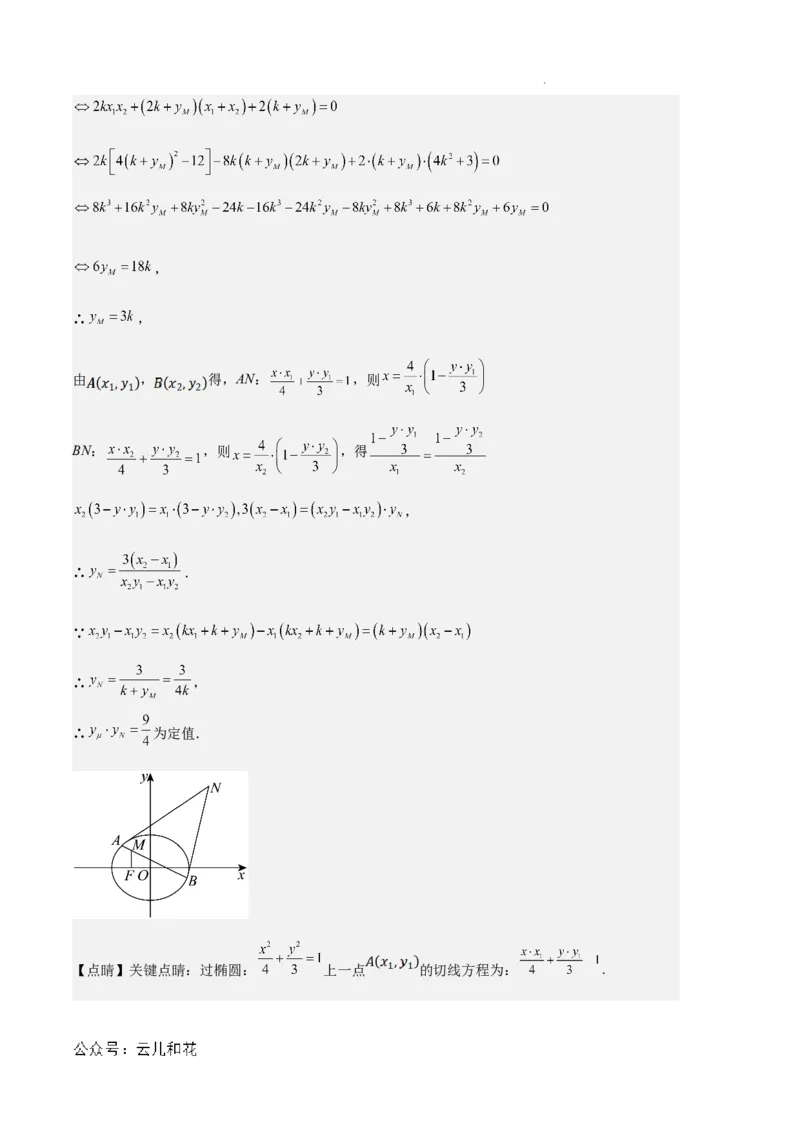
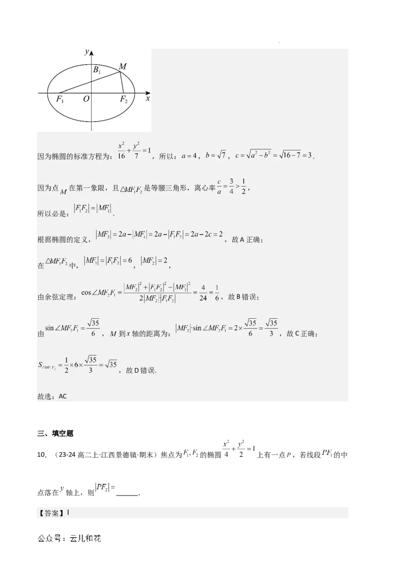
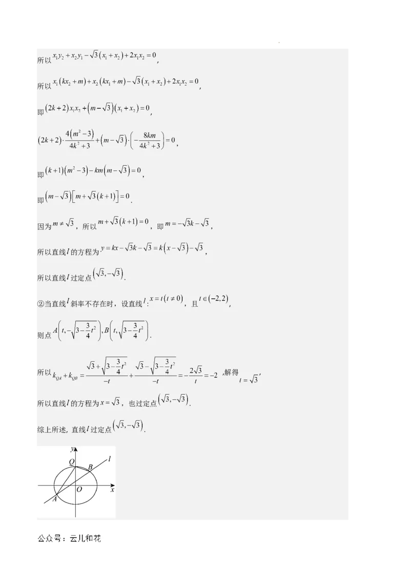
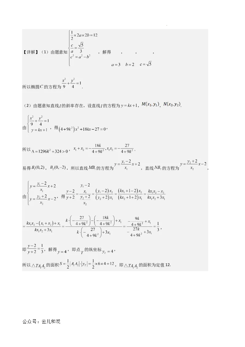
专题 03 椭圆(2 种经典基础练+3 种优选提升练) 椭圆及其标准方程(共15题) 一、单选题 1.(23-24高二上·河南商丘·期末)若点 是椭圆 上任意一点, 分别是 的左、 右焦点,则 ( ) A. B.2 C. D.4 【答案】D 【分析】根据椭圆的定义分析求解即可. 【详解】由方程可知: , 由椭圆的定义可知 . 故选:D. 2.(22-23高二上·山东烟台·期末)已知椭圆 的左、右焦点分别为 、 ,若过 且斜 率不为0的直线交椭圆于A、B两点,则 的周长为( ) A. B. C. D. 【答案】D 学科网(北京)股份有限公司【分析】根据椭圆定义即可由焦点三角形的周长公式求解. 【详解】由题意可得 , 的周长为 , 故选:D 3.(23-24高二上·四川达州·期末)已知平面内一动点P到两定点 , 的距离之和为 8,则动点P的轨迹方程为( ) A. B. C. D. 【答案】B 【分析】根据椭圆的定义直接求解即可. 【详解】因为平面内一动点P到两定点 , 的距离之和为8,且 , 所以动点P的轨迹方程为焦点位于 轴的椭圆, 设椭圆方程为 ,焦距为 , 则 ,解得 ,故动点P的轨迹方程为 . 故选:B 4.(23-24高二上·河北承德·期末)已知椭圆 的左、右焦点分别为 , P为椭圆C上一点, 的最小值为1,且 的周长为34,则椭圆C的标准方程为( ) 学科网(北京)股份有限公司A. B. C. D. 【答案】C 【分析】利用焦点三角形的周长为 ,及 ,结合椭圆的知识求解出椭圆方程即可. 【详解】因为 的最小值为1,所以 . 因为 的周长为34,所以 , 所以 .因为 , 所以 ,所以椭圆C的标准方程为 . 故选:C. 5.(23-24高二上·江西宜春·期末)“ ”是“方程 表示的曲线为椭 圆”的( ) A.充分不必要条件 B.必要不充分条件 C.充要条件 D.既不充分也不必要条件 【答案】B 【分析】首先求方程表示椭圆的 的取值范围,再根据集合的包含关系,即可判断选项. 【详解】若方程 表示椭圆,则 ,解得: ,且 , 所以“ ”是“方程 表示的曲线为椭圆”的必要不充分条件. 故选:B 6.(23-24高二上·河南洛阳·期末)已知方程 表示焦点在 轴上的椭圆,则 的取 学科网(北京)股份有限公司值范围是( ) A. B. C. D. 且 【答案】A 【分析】根据题意结合椭圆的标准方程的形式,建立不等式,即可求解. 【详解】 方程 ,即 表示焦点在 轴上的椭圆, ,解得 . 故选:A. 7.(23-24高二上·广东汕头·期末)命题 方程 表示焦点在 轴上的椭圆,则使命 题 成立的充分必要条件是( ) A. B. C. D. 【答案】B 【分析】求出当命题 为真命题时实数 的取值范围,再结合充要条件的定义可得出结论. 【详解】若命题 为真命题,则方程 表示焦点在 轴上的椭圆, 所以, ,解得 , 因此,使命题 成立的充分必要条件是 . 故选:B. 8.(23-24高二上·陕西西安·期末)已知椭圆 的两个焦点分别为 ,点 在 上, 若 ,则 ( ) A.1 B.2 C.3 D.4 【答案】D 学科网(北京)股份有限公司【分析】根据椭圆的定义以及勾股定理即可解出. 【详解】由椭圆 ,可得 , , , 因为 ,所以 , 由题意可得, , 即 . 故选:D. 二、多选题 9.(23-24高二上·山西太原·期末)椭圆 的方程为 , , 是椭圆的两个焦点,点 为椭圆上一点且在第一象限.若 是等腰三角形,则下列结论正确的是( ) A. B. C.点 到 轴的距离为 D. 【答案】AC 【分析】根据椭圆的定义和性质,确定焦点三角形的有关结论. 【详解】如图: 学科网(北京)股份有限公司因为椭圆的标准方程为: ,所以: , , . 因为点 在第一象限,且 是等腰三角形,离心率 , 所以必是: . 根据椭圆的定义, ,故A正确; 在 中, , , 由余弦定理: ,故B错误; 由 , 到 轴的距离为: ,故C正确; ,故D错误. 故选:AC 三、填空题 10.(23-24高二上·江西景德镇·期末)焦点为 的椭圆 上有一点 ,若线段 的中 点落在 轴上,则 . 【答案】 学科网(北京)股份有限公司【分析】通过求 的坐标来求得 . 【详解】椭圆 的 , 由于线段 的中点落在 轴上,而 是线段 的中点, 所以 ,所以 , 由 解得 ,不妨设 , 则 . 故答案为: 11.(23-24高二上·黑龙江鸡西·期末)已知椭圆 的焦点为 ,点 在椭圆上且 ,则点 到 轴的距离为 . 【答案】 【分析】设 ,根据题意,得到 ,联立方程组,即可求解. 【详解】由椭圆 ,可得 ,所以 ,所以 , 设 ,因为 ,可得 , 又因为点 在椭圆上,可得 , 联立方程组 ,解得 ,即 , 学科网(北京)股份有限公司所以点 到 轴的距离为 . 故答案为: . 12.(23-24高二上·湖北·期末)设 , 为椭圆C: 的左右焦点,M为椭圆C上一点, 且在第一象限,若 为等腰三角形,则线段 的长为 . 【答案】2 【分析】根据椭圆定义可解. 【详解】依题意, , 由椭圆定义,知 , 由 为等腰三角形,知 ,所以 . 故答案为:2 13.(23-24高二上·浙江宁波·期末)已知点 ,动点P满足直线 与 的斜率之积 为 ,则点P的轨迹方程 . 【答案】 【分析】设 ,根据斜率的乘积为 列式运算可得轨迹方程. 【详解】设 ,则 , , , 所以 ,即 ,整理得 , 所以点 的轨迹方程为 , . 故答案为: , . 四、解答题 14.(23-24高二上·黑龙江鸡西·期末)求适合下列条件的椭圆的标准方程: (1)两个焦点的坐标分别是 ,椭圆上一点P到两焦点距离的和是10; 学科网(北京)股份有限公司(2)焦点在y轴上,且经过两个点 和 ; (3)经过 和点 . 【答案】(1) 1 (2) (3) . 【分析】(1)由焦点坐标求 ,由椭圆定义得 即可求 ,从而得方程; (2)结合图形,已知点是长短轴的顶点,则可得 ; (3)设椭圆方程的简化形式 ,待定系数解方程组可得. 【详解】(1)由题意,椭圆焦点在 轴上,且 , 则 , ∴椭圆方程为 1; (2)根据题意,所求椭圆的焦点在y轴上,且经过两个点 和 , 则 ,则椭圆的标准方程为 ; (3)根据题意,要求椭圆经过( , )和点( ,1)两点, 设其方程为 , 学科网(北京)股份有限公司则有 ,解可得 , 则所求椭圆的方程为 . 15.(23-24高二上·河南南阳·期末)已知椭圆C: ( , )的长轴为 ,短 轴长为4. (1)求椭圆C的标准方程; (2)设直线l: 与椭圆C交于不同两点A、B,且 ,求直线 的方程. 【答案】(1) (2) 【分析】(1)由长轴长和短轴长可得椭圆方程; (2)联立直线方程与椭圆方程,利用韦达定理和弦长公式即可求得m的值,则直线 的方程可 求. 【详解】(1)由已知长轴为 ,短轴长为4, 可得 , , 则椭圆C的标准方程为: ; (2)依题意 , 解得 , 因为 ,可得 , 且 , 学科网(北京)股份有限公司因为 , 解得 , 所以直线 的方程为l: . 椭圆的简单几何性质(共17题) 一、单选题 1.(23-24高二上·江苏宿迁·期末)已知椭圆 的离心率为 ,则椭圆的长轴长为 ( ) A. B. C. D.6 【答案】B 【分析】根据离心率的公式,求解 ,再根据方程求椭圆的长轴长. 【详解】由条件可知, , ,则 , 由条件可知, ,得 , 所以 ,椭圆的长轴长 . 故选:B 2.(23-24高二上·陕西渭南·期末)如图,某颗人工智能卫星的运行轨道近似可看作以地心 为一 个焦点且离心率为 的椭圆,地球可看作半径为R的球体,近地点离地面的距离为r,则远地点离 地面的距离l为( ) A. B. 学科网(北京)股份有限公司C. D. 【答案】D 【分析】根据椭圆离心率以及卫星近地点离地面的距离列方程,求解得出椭圆的长半轴和半焦距, 即可求得答案. 【详解】由题意,不妨以椭圆中心为坐标原点,建立如图所示坐标系, 则椭圆方程为 , 则 ,且 ,解得 , , 故该卫星远地点离地面的距离为 , 又 ,所以 . 故选:D. 3.(23-24高二上·河南漯河·期末)已知椭圆 ,点 是椭圆的左、右焦点, 点 是椭圆上一点, 的内切圆的圆心为 ,若 ,则椭圆的离心率为 ( ) A. B. C. D. 【答案】D 【分析】取线段 的中点为 ,结合条件可得 ,再根据 及椭圆的 定义,即可得到结果. 学科网(北京)股份有限公司【详解】取线段 的中点为 ,点 分别为边 , 上的切点,如图所示: 则 ,∵ , ∴ , ∴ , , 三点共线, , ,则点 为边 上的切点, ∴ . ∴ , ∵ ,则 , ∴ , ∴ ,又 ,则 , ∴ ,则 . 故选:D. 【点睛】方法点睛:椭圆离心率的三种求法:(1)若给定椭圆的方程,则根据焦点位置确定 , 求出 的值,利用公式 直接求解.(2)求椭圆的离心率时,若不能直接求得 的值,通常 由已知寻求 的关系式,再与 组成方程组,消去 得只含 的方程,再化成关于 的方程求解.(3)求离心率时要充分利用题设条件中的几何特征构建方程求解,从而达到简化运 学科网(北京)股份有限公司算的目的. 二、多选题 4.(23-24高二上·江苏南通·期末)已知椭圆 的离心率为 ,则实数 ( ) A.1 B.3 C. D.16 【答案】BC 【分析】根据椭圆焦点的位置,结合椭圆离心率公式进行求解即可. 【详解】因为该方程表示椭圆, 所以当 时,此时椭圆的焦点在横轴上, 因为椭圆 的离心率为 , 所以 ,显然符合 , 当 时,此时椭圆的焦点在纵轴上, 因为椭圆 的离心率为 , 所以 ,显然符合 , 故选:BC 5.(23-24高二上·江苏徐州·期末)已知直线 与圆 相切,椭圆 ,则( ) A.点 在圆O内 B.点 在圆O上 C.点 在椭圆C内 D.点 在椭圆C上 【答案】BC 【分析】首先根据直线与圆相切的公式,得到 ,即可判断点与圆,以及点与椭圆的位置 学科网(北京)股份有限公司关系. 【详解】由直线 与圆 相切,可知,圆心到直线 的距离 , 即 ,所以点 在圆O上, 并且 ,所以圆在椭圆 内, 在椭圆 内. 故选:BC 6.(23-24高二上·福建福州·期末)椭圆 的左、右焦点分别为 为坐标原点, 则下列说法错误的是( ) A.椭圆 的离心率为 B.过点 的直线与椭圆 交于 两点,则 的周长为4 C.椭圆 上不存在点 ,使得 D. 为椭圆 上一点, 为圆 上一点,则点 的最大距离为3 【答案】ABC 【分析】直接求出离心率可判断A;利用椭圆定义可判断B;利用 求出 的范围可判断 C;设 ,求出点 到圆 的圆心的距离,根据 的范围可判断D. 【详解】由椭圆 ,可知 ,即 , 对于选项A,离心率 ,故A错误; 对于选项B,由椭圆定义,可得 , 因此 的周长为 ,故B错误; 学科网(北京)股份有限公司对于选项C,设 ,则 ,且 ; 又 ,所以 , 因此 , 解得 ,故C错误; 对于选项D,设 ,则 ,即 , 所以点 到圆 的圆心的距离 , 因为 ,所以 ,故D正确. 故选:ABC. 7.(23-24高二上·福建南平·期末)已知椭圆 的左右焦点分别为 ,过 的直线 交 椭圆于 两点,则( ) A. 的周长为4 B. 的取值范围是 C. 的最小值是3 D.若点 在椭圆上,且线段 中点为 ,则直线 的斜率为 学科网(北京)股份有限公司【答案】BCD 【分析】利用椭圆的定义可判定A,利用焦半径公式可判定B,利用椭圆弦长公式可判定C,利用 点差法可判定D. 【详解】由题意可知椭圆的长轴长 ,左焦点 , 由椭圆的定义可知 , 故A错误; 设 , , 易知 ,故B正确; 若 的斜率存在,不妨设其方程为: , 联立椭圆方程 ,则 , 所以 , 若 的斜率不存在,则其方程为 ,与椭圆联立易得 , 显然当 的斜率不存在时, ,故C正确; 设 ,易知 , 若 中点为 ,则 ,故D正确. 故选:BCD 学科网(北京)股份有限公司8.(23-24高二上·江西·期末)已知椭圆 ,将C向右平移4个单位,向上平移3个单 位得到椭圆E,若点A,B分别在C,E上, , 分别为C,E的中心,则( ) A.E的方程为 B.C和E没有交点 C.A,B的纵坐标之差可以为7 D. 的最大值等于 的最大值 【答案】BD 【分析】根据曲线的平移规律可得E的方程,判断A;联立两椭圆方程,结合判别式可判断B;结 合椭圆的几何性质,即椭圆的顶点坐标,可判断C;根据椭圆的对称性可判断D. 【详解】对于A,将C向右平移4个单位,向上平移3个单位得到椭圆E, 椭圆E的方程为 ,A错误; 对于B,将椭圆方程 和 相减,整理可得 , 即 ,代入 中,可得 , 由于 , 学科网(北京)股份有限公司即C和E没有交点,B正确; 对于C,点A,B分别在C,E上,则A点纵坐标最小为 , B的纵坐标最大为 ,故A,B的纵坐标之差最大为 ,C错误; 对于D,椭圆E是由椭圆C平移得到的,二者仅位置不同,大小形状完全相同, 且 , 分别为C,E的中心, 根据椭圆的对称性可知 的最大值等于 的最大值,D正确, 故选:BD 三、填空题 9.(23-24高二上·辽宁大连·期末)如图所示,用一束与平面 成 角的平行光线照射球O,在 平面 上形成的投影为椭圆C及其内部,则椭圆C的离心率为 . 【答案】 /0.5 【分析】先根据投影的特点确定椭圆C的a,b的取值与球O半径长之间的关系,即可求离心率. 【详解】设球O半径为r,由题意知: , ,椭圆的长半轴长 , 椭圆短半轴长为球的半径,即 , 所以 , 椭圆的离心率为 , 学科网(北京)股份有限公司故答案为: . 10.(23-24高二上·重庆·期末)如图,在一个高为20,底面半径为2的圆柱形乒乓球筒的上壁和 下壁分别粘有一个乒乓球,下壁的乒乓球与球筒下底面和侧面相切,上壁的乒乓球与球筒上底面和 侧面相切(球筒和乒乓球厚度均忽略不计).一个平面与两个乒乓球均相切,已知该平面截球筒边 缘所得的图形为一个椭圆,请写出此椭圆的一个标准方程 . 【答案】 或 【分析】设切点为 ,与圆柱面相交于 ,由题意 即为椭圆的长轴 ,椭圆短轴即为圆 柱底面直径的长,分析即得解. 【详解】对圆柱沿底面直径进行纵切,如图所示:切点为 ,与圆柱面相交于 , 此时可知 即为椭圆的长轴 ,在直角三角形 中 , ,又 , 所以 , 由平面与圆柱所截可知椭圆短轴即为圆柱底面直径的长,即 , 所以椭圆的标准方程为 或 , 学科网(北京)股份有限公司故答案为: 或 . 11.(23-24高二上·四川成都·期末)把椭圆 的长轴分为 2024等份,过每个等分点作x 轴的垂线交椭圆的上半部分于 2023个点,F 是椭圆的一个焦点,则这 2023个点到F 的距离之和 为 【答案】 【分析】设椭圆的右焦点为 ,且 ,根据椭圆的定义和椭圆的对称性,即可得出答案. 【详解】因为把椭圆 的长轴 分成2024等份,过每个分点作 轴的垂线分别交椭圆的 上半部分于点 , , , , 如图:设椭圆的右焦点为 ,且 ,解得 , 由椭圆的定义及椭圆的对称性得 , , , 故答案为: 学科网(北京)股份有限公司12.(23-24高二上·广东佛山·期末)设 、 分别是椭圆 的左、右焦点,在椭圆 上满足 的点 的个数为 . 【答案】 【分析】分析可知,点 在圆 上,联立圆与椭圆的方程,求出公共解的个数即可. 【详解】在椭圆 中, , ,则 , 若 ,易知原点 为 的中点,则 , 所以,点 在以原点为圆心,半径为 的圆上,即点 在圆 上, 联立 ,可得 ,即点 或 , 即满足条件的点 的个数为 . 故答案为: . 13.(23-24高二上·山东临沂·期末)已知椭圆 的离心率为 ,直线 与 交于 两点,直线 与 的交点恰好为线段 的中点,则 的斜率为 . 【答案】 /0.25 学科网(北京)股份有限公司【分析】根据椭圆的离心率可得 ,设 ,利用点差法,结合直线 与 的交点恰好为线段AB的中点,即可求得答案. 【详解】由题意知椭圆 的离心率为 , 故 , , 设 ,由题意知l的斜率存在,则 , 设线段AB的中点为 , 则直线l的斜率为 ,直线 的斜率 , 由 ,两式相减得 , 即得 ,即 , 故 , 故答案为: 14.(23-24高二上·江西上饶·期末)如图,离心率相同的两个椭圆 和 分别是同一个矩形(此矩形的两组对边分别与两坐标轴平行) 的内切椭圆和外接椭圆,则 . 学科网(北京)股份有限公司【答案】 / 【分析】由离心率相同,可得 ,由图可得 ,计算即可得 的值. 【详解】由图可得 ,故有 , 由两个椭圆离心率相同,则有 ,即 , 故 ,即有 ,故 . 故答案为: . 四、解答题 15.(23-24高二上·安徽马鞍山·期末)已知椭圆 : ( ). (1)若椭圆 的焦距为6,求 的值; (2)设 ,若椭圆 上两点M,N满足 ,求点N横坐标取最大值时 的值. 【答案】(1)12 (2)20 【分析】(1)由焦距以及 之间的关系列方程即可求解; (2)设出直线方程,并与椭圆方程联立,结合已知和韦达定理即可求解. 学科网(北京)股份有限公司【详解】(1)设焦距为 ,则 ,解得 . (2) 要使点 的横坐标最大,需直线 斜率存在. 设 ,与椭圆 联立得 , 由韦达定理: . 由 知 ,故 , 要使点 的横坐标最大,在这里不妨取 , 所以 ,当且仅当 时,等号成立. 当 时, ,即 ,此时 . 16.(24-25高二上·云南文山·期末)已知椭圆 的离心率为 ,其中一个焦 点的坐标为 . (1)求 的方程; (2)过左焦点的直线交 于 、 两点,点 在 上. (i)若 的重心 为坐标原点,求直线 的方程; (ii)若 的重心 在 轴上,求 的横坐标的取值范围. 【答案】(1) (2)直线 的方程为 ; . 【分析】(1)根据已知条件得到 和 求解即可; 学科网(北京)股份有限公司(2)设直线 的方程为 ,与椭圆方程联立消元,得到 ,利用 韦达定理得到 , ,小问(i)根据重心为原点得到 点坐标,将 点 坐标代入椭圆方程即可求出 的值,进而得到直线 的方程;小问(ii)设 ,方法同 (i),得到 点坐标,将 点坐标代入椭圆方程得到 ,利用 求出 的取值范围. 【详解】(1)由题意知 ,即 ,又 , 解得 , , , 所以 的方程 ; (2)(i)因为左焦点为 ,设直线 的方程为 , 联立 ,得 , 设 , , ,则 , , 因为 的重心为原点,所以 , 所以 ,又 , 代入 ,可得 , 解得 ,所以直线 的方程是 . 学科网(北京)股份有限公司(ii)设 ,由(i)可知 , , 代入 ,可得 , 解得 ,所以 . 所以 ,且 ,所以 【点睛】方法点睛:圆锥曲线中取值范围问题的五种求解策略: (1)利用圆锥曲线的几何性质或判别式构造不等关系,从而确定参数的取值范围; (2)利用已知参数的范围,求新的参数的范围,解这类问题的核心是建立两个参数之间的等量关 系; (3)利用隐含的不等关系建立不等式,从而求出参数的取值范围; (4)利用已知的不等关系建立不等式,从而求出参数的取值范围; (5)利用求函数值域的方法将待求量表示为其他变量的函数,求其值域,从而确定参数的取值范 围. 17.(23-24高二上·江苏南通·期末)已知椭圆 的左、右顶点分别为 , , 上、下顶点分别为 , ,四边形 的面积为6,坐标原点 到直线 的距离为 . (1)求 的方程; (2)过点 作射线 ,与直线 、椭圆 分别交于点 , (异于点 ),直线 与 相交于 点 ,证明: , , 三点共线. 学科网(北京)股份有限公司【答案】(1) (2)证明见解析 【分析】(1)由椭圆方程可得 得坐标,求出直线 的方程,再根据题意求出 即可 得解; (2)射线 的方程为 , ,与椭圆方程联立,可得 的坐标,在由题意可得 的 坐标,求出直线 的方程,再联立方程,求得 的坐标,代入直线 的方程,即可得证. 【详解】(1)由题意知 , 则直线 的方程为 ,即 , 所以点 到直线 的距离为 ①, 由四边形 的面积为 ,得 ②, 由①②解得 , 所以 的方程为 ; (2)由(1)得 , 直线 的方程为 , 由题意可知射线 的斜率存在且不为 , 设射线 的方程为 , , 因为 点在直线 上,则 , 则直线 的方程为 , 联立 ,消 得 , 学科网(北京)股份有限公司可得 ,则 , 即 , 所以直线 的斜率 , 所以直线 的方程为 , 联立 , 当 时,则点 三点重合,显然成立, 当 时,射线 与直线 没有交点, 当 时,解得 , 即 , 将 代入直线 的方程 中, 可得 成立,即点 在直线 上, 综上所述, , , 三点共线. 学科网(北京)股份有限公司【点睛】方法点睛:求定值问题常见的方法有两种: (1)从特殊入手,求出定值,再证明这个值与变量无关; (2)直接推理、计算,并在计算推理的过程中消去变量,从而得到定值. 椭圆中定点问题(共7题) 1.(23-24高二上·山东枣庄·期末)已知椭圆 过点 ,焦距为 . (1)求椭圆 的方程; (2)直线 : 与椭圆 交于异于 的两点 ,直线 分别与直线 交于点 两点, 为坐标原点且 ,求证:直线 过定点,并求出定点坐标. 【答案】(1) ; (2)证明见解析, . 【分析】(1)由题意,根据题目所给信息以及 之间的关系,列出等式进行求解即可; (2)将直线 的方程与椭圆方程联立,利用韦达定理得到 ,得到直 线 和 的方程,推出 两点的坐标,列出等式再进行验证即可. 【详解】(1)由椭圆 过点 ,焦距为 ,得 ,解得 , 则椭圆 的方程为 . 学科网(北京)股份有限公司(2)则 消去 并整理得 , 此时 ,即 ,设 , 则 , 直线 的方程为 ,令 ,得点 的纵坐标 , 即点 ,同理得点 , 由 ,得 ,即 , 于是 ,整理得 , 则 ,化简得 , 解得 或 , 当 时,直线 的方程为 ,即 ,直线 过定点 ,不符合 题意; 当 时,直线方程为 ,即 ,直线 过定点 , 所以直线 经过定点 . 【点睛】思路点睛:与圆锥曲线相交的直线过定点问题,设出直线的斜截式方程,与圆锥曲线方程 联立,借助韦达定理求出直线斜率与纵截距的关系即可解决问题. 学科网(北京)股份有限公司2.(23-24高二上·湖南长沙·期末)已知圆 ,圆 动圆 与圆 外切并且与圆 内切,圆心 的轨迹为曲线 . (1)求曲线 的方程; (2)设不经过点 的直线 与曲线 相交于 两点,直线 与直线 的斜率均存在且斜率 之和为 ,直线 是否过定点,若过定点,写出定点坐标. 【答案】(1) ; (2)直线 过定点 . 【分析】(1)由圆 ,可知圆心为 ,半径为1,圆 , 圆心为 ,半径为3.设动圆 的半径为 ,根据动圆 与圆 外切并与圆 内切,可得 ,由椭圆的定义即可求解; (2)①当直线 斜率存在时,设直线 : ,设 ,与椭圆方程联立可 得 ,根据 ,可得 ,代入 ,可得 ,可求直线 所过的定点.同理,当直线 斜率不存在时,设直线 : ,且 ,根据 求出 即可得直线 所过的定点,综合即可求解. 【详解】(1)设动圆 的半径为 , 因为动圆 与圆 外切,所以 . 学科网(北京)股份有限公司因为动圆 于圆 外切,所以 , 则 , 由椭圆的定义可知,曲线 是以 为左、右焦点,长轴长为4的椭圆. 设椭圆方程为 , 则 ,故 , 所以曲线 的方程为 . (2)①当直线 斜率存在时,设直线 : , 联立 ,消去 可得 , 则 ,化简得 . 设 ,则 . 由题意知,因为 , 所以 , 学科网(北京)股份有限公司所以 , 所以 , 即 , , 即 , 即 . 因为 ,所以 ,即 , 所以直线 的方程为 , 所以直线 过定点 . ②当直线 斜率不存在时,设直线 : ,且 , 则点 . 所以 ,解得 , 所以直线 的方程为 ,也过定点 . 综上所述, 直线 过定点 . 学科网(北京)股份有限公司【点睛】方法点睛:圆锥曲线中定点问题的两种解法: (1)引进参数法:先引进动点的坐标或动线中系数为参数表示变化量,再研究变化的量与参数何时 没有关系,找到定点; (2)特殊到一般法:先根据动点或动线的特殊情况探索出定点,再证明该定点与变量无关. 3.(23-24高二上·江苏连云港·期末)已知椭圆 : ( )经过点 , . (1)求椭圆 的标准方程; (2)已知点 , , 为椭圆 上异于A的两点,且 ,证明:直线 过定点,并求 出该定点的坐标. 【答案】(1) (2)证明见解析,定点 【分析】(1)根据题意代入 运算求解即可; (2)设直线 的方程为 ,联立方程可得韦达定理,结合向量垂直的坐标表示运算求解. 【详解】(1)由题意可得 ,解得 , , 故椭圆 的标准方程为 . (2)因为 , 为椭圆 上异于A的两点,所以直线 的斜率存在, 不妨设直线 的方程为 , , , 联立方程 ,消去y得 , 学科网(北京)股份有限公司则 ,整理得 , 由韦达定理得 , , 因为 , , , , 可得 化简得 ,解得 或 , 当 时,直线 的方程为 ,直线过点 ,不合题意; 当 时, 恒成立,直线 的方程为 , 所以直线 过定点 . 【点睛】方法点睛:过定点问题的两大类型及解法 (1)动直线l过定点问题.解法:设动直线方程(斜率存在)为 ,由题设条件将t用k表示 为 ,得 ,故动直线过定点 ; (2)动曲线C过定点问题.解法:引入参变量建立曲线 C的方程,再根据其对参变量恒成立,令 其系数等于零,得出定点. 4.(23-24高二上·浙江宁波·期末)已知椭圆 过点 ,离心率为 . 学科网(北京)股份有限公司(1)求椭圆 的方程; (2)过点 的直线 与椭圆 交于 两点,直线 分别与 轴交于 两点,求证: 中点为定点. 【答案】(1) (2)证明见解析 【分析】(1)由题意 列方程求解即可. (2)由题意显然直线 斜率存在,设方程为 , ,联立椭圆 方程,由韦达定理得, ,进一步表示出 方程和 点坐标,证明 为定值即可. 【详解】(1)因为椭圆 过点 ,离心率为 , 所以 ,解得 , 所以,椭圆 的方程为 . (2) 学科网(北京)股份有限公司显然直线 斜率存在,设方程为 , , 联立方程 得 , , 由直线 方程为 ,直线 方程为 , 得 , . 中点为定点 . 【点睛】关键点点睛:关键是用 表示出 的坐标,结合韦达定理,证明 为定值即可顺利得解. 5.(23-24高二上·福建福州·期末)已知动点 与定点 的距离和它到定直线 的距离的 比是 . (1)求动点 的轨迹 的方程; (2)若 的下顶点为 ,不过 的直线 与 交于点 ,线段 的中点为 ,若 , 学科网(北京)股份有限公司试问直线 是否经过定点?若经过定点,请求出定点坐标;若不过定点,请说明理由. 【答案】(1) (2)直线 恒过定点,定点坐标为 【分析】(1)设点 ,根据条件建立方程 ,化简即可得出结果; (2)利用条件及 ,得到 ,从而有 ,设 的方程为 ,联立 ,得到 ,由韦达定 理有 ,再利用 ,即可求出结果. 【详解】(1)设点 ,依题意得 , 整理化简得 ,即 , 所以点 的轨迹 的方程为 . (2)因为 ,又 ,所以 ,得到 , 又 为线段 的中点,所以 ,因此 , 根据题意可知直线 的斜率一定存在,设 的方程为 , 学科网(北京)股份有限公司联立 ,消去 得 , , 根据韦达定理可得 , 易知 ,所以 , 故 , 所以 , 整理得 ,解得 或 . 又直线 不经过点 ,所以 舍去, 于是直线 的方程为 ,恒过定点 ,又该点在椭圆轨迹 内,满足 , 所以直线 恒过定点,定点坐标为 【点睛】关键点点晴:本题的关键点在于利用 ,结合图形,利用几何关系得到 ,再联立直线与椭圆方程,利用 来解决问题. 6.(23-24高二上·山西·期末)已知椭圆 的长轴长为 ,点 在椭 学科网(北京)股份有限公司圆 上. (1)求椭圆 的方程; (2)设 是经过椭圆 下顶点的两条直线, 与椭圆 相交于另一点 与圆 相交于另 一点 ,若 的斜率不等于0, 的斜率等于 斜率的3倍,证明:直线 经过定点. 【答案】(1) (2)证明见解析 【分析】(1)依题意可得 ,解得 、 即可; (2)设 、 的斜率分别为 、 , ,即可得到 , ,联立直线与曲 线方程求出 、 点坐标,即可求出直线 的方程,从而求出定点坐标. 【详解】(1)依题意可得 ,解得 , 所以椭圆 的方程为 . (2)设 、 的斜率分别为 、 , ,由(1)可知下顶点为 ,可得 , . 将 代入 ,整理得 , 解得 或 ,则 , 可得 . 将 代入 可得 ,解得 或 , 学科网(北京)股份有限公司则 ,所以 . 直线 的斜率为 , 因此直线 方程为 , 化简得 ,于是直线 经过定点 . 【点睛】方法点睛:过定点问题的两大类型及解法 (1)动直线 过定点问题.解法:设动直线方程(斜率存在)为 ,由题设条件将 用 表示 为 ,得 ,故动直线过定点 . (2)动曲线 过定点问题.解法:引入参变量建立曲线 的方程,再根据其对参变量恒成立, 令其系数等于零,得出定点. 7.(23-24高二上·浙江嘉兴·期末)已知椭圆 : ,其短轴长为2,离心率为 . (1)求椭圆 的方程; (2)设 为坐标原点,动点 , 在 上,记直线 , 的斜率分别为 , ,试问:是否存 在常数 ,使得当 时, 的面积为定值?若存在,求出 的值;若不存在,请说明理由. 学科网(北京)股份有限公司【答案】(1) (2)存在, 【分析】(1)直接根据条件列式计算求出 即可; (2)设 , ,设 的方程: ,与椭圆联立,利用韦达定理表示出 的面积,然后根据面积为定值求解即可. 【详解】(1)由已知 , ,又 得 , 所以 , 所以椭圆 的方程为 ; (2)法一:设 , , 当直线 的斜率存在时,设 的方程: ,与 联立方程,得 , , . , , , 所以 又 , 要 为定值,则 为定值, 学科网(北京)股份有限公司则 , , 此时 . 当直线 的斜率不存在,且 , 则 , 或 , , 此时 ,也满足. 综上,存在 满足题意. 法二:设 , , 则 , 则 , 当 , , 即 ,则 ,即 为定值. 【点睛】方法点睛:直线与椭圆联立问题 第一步:设直线方程:有的题设条件已知点,而斜率未知;有的题设条件已知斜率,点不定,都可 由点斜式设出直线方程; 学科网(北京)股份有限公司第二步:联立方程:把所设直线方程与椭圆方程联立,消去一个元,得到一个一元二次方程; 第三步:求解判别式Δ:计算一元二次方程根的判别式 ; 第四步:写出根之间的关系,由根与系数的关系可写出; 第五步:根据题设条件求解问题中的结论. 椭圆中定值问题(共14题) 1.(23-24高二上·广东·期末)已知椭圆 的短轴长为2,点P在椭圆C上且 与两焦点围成的三角形面积的最大值为 . (1)求椭圆C的标准方程; (2)过椭圆C内一点 的直线l交C于A,B两点,是否存在定值m,使得 恒 成立?若存在,求出m的值;若不存在,说明理由. 【答案】(1) (2)存在 满足题意,理由见解析 【分析】(1)由题意 , ,结合平方关系即可得解. (2)先讨论直线l的斜率为0时的情形,得 ,当直线l的斜率不为0时,联立椭 圆方程,表示出 ,将其代入 即可得解. 【详解】(1)由题意得 , ,又 , 所以解得 , 所以椭圆C的标准方程为 . 学科网(北京)股份有限公司(2) 当直线l的斜率为0时,即直线l的方程为 ,不妨设此时 ,且 , 则 ,解得 满足题意, 当直线l的斜率不为0时,不妨设直线l的方程为 , 将其与椭圆方程 联立得, ,化简并整理得 , , 由韦达定理有 , 由求根公式有 , 若 , 则 , 化简并整理得 , 学科网(北京)股份有限公司若 ,则 恒成立,满足题意. 综上所述,存在 ,使得 恒成立. 【点睛】关键点睛:第二问的关键是巧妙设直线方程,即当直线l的斜率不为0时,设直线l的方 程为 ,这样在算弦长乘积 时,会有奇效. 2.(23-24高二上·山东威海·期末)已知椭圆 的离心率为 ,点 在 上. (1)求 的方程; (2)若 为 的右顶点,点 , 在 上,直线 与 的斜率之和为 , , 为垂足. 证明:存在定点 ,使得 为定值. 【答案】(1) (2)证明见解析 【分析】(1)根据题目条件列关于 的方程组求解即可; (2)直线 的方程为 , , ,与椭圆方程联立,利用韦达定理以及 ,计算可得 关系,继而可得直线 过定点,根据定点可以找到使 为定值的点 . 【详解】(1)由题意知, , 解得 , 学科网(北京)股份有限公司所以 的方程为 ; (2)由题意知,直线 存在斜率, 设直线 的方程为 , , , 则 , 由 ,可得 , 所以 , 则 , , 所以 , 又 , 所以 , 所以 ,可得 , 所以 ,即 , 所以直线 恒过点 , 令 为 的中点,则 , 由题意知, 是 的斜边,所以 , 所以存在点 ,使得 为定值. 学科网(北京)股份有限公司【点睛】方法点睛:将关于存在定点 ,使得 为定值的问题转化为直线过定点问题,通过设 出直线方程,然后找到参数的关系即可得定点. 3.(23-24高二上·陕西西安·期末)已知椭圆 : 的离心率为 ,椭圆的一 个顶点与两个焦点构成的三角形的面积为 . (1)求椭圆 的方程; (2)已知直线 与椭圆 相交于 、 两点,且与 轴, 轴交于 、 两点. (i)若 ,求 的值; (ii)若点 的坐标为 ,求证: 为定值. 【答案】(1) (2)(i) ;(ii)证明见解析 【分析】(1)根据椭圆的离心率和三角形的面积即可求出 ,则椭圆方程可得; (2)(i)联立方程组,根据根与系数的关系以及向量相等的坐标关系即可求出 ;(ii)根据根 与系数的关系以及向量的数量积的运算即可求出. 【详解】(1) , ,代入 得 . 又椭圆的一个顶点与两个焦点构成的三角形的面积为2,即 ,即 , 学科网(北京)股份有限公司以上各式联立解得 ,则椭圆方程为 . (2)(i)直线 与 轴交点为 ,与 轴交点为 , 联立 ,消去 得: , 则 , 设 ,则 , , , 由 得 ,解得: , 由 得 . (ii)由(i)知 , , . 为定值. 学科网(北京)股份有限公司【点睛】方法点睛:利用韦达定理法解决直线与圆锥曲线相交问题的基本步骤如下: (1)设直线方程,设交点坐标为 ; (2)联立直线与圆锥曲线的方程,得到关于 (或 )的一元二次方程,注意 的判断; (3)列出韦达定理; (4)将所求问题或题中的关系转化为 、 (或 、 )的形式; (5)代入韦达定理求解. 4.(23-24高二上·河北沧州·期末)已知椭圆C: ( ),F是其右焦点,点 在椭圆上,且PF⊥x轴,O为原点. (1)求椭圆C的方程; (2)若M,N是椭圆C上的两点,且 OMN的面积为 ,求证:直线OM与ON的斜率之积为定值. △ 【答案】(1) (2)证明见解析 【分析】(1)根据椭圆的几何性质,求 ,即可求解; (2)当直线 的斜率不存在时,求得点 的坐标,再表示 的值,当直线 的斜率 存在时,直线与椭圆方程联立,并表示 的面积,并利用韦达定理表示 . 【详解】(1)由已知得 , , ∵ , 学科网(北京)股份有限公司∴ , , ∴椭圆C的方程为 . (2)设 , , 当直线MN的斜率不存在时,不妨令点M在x轴上方,点N在x轴下方, 此时, ,即 ,且 解得: , 得 , 或 , ,则 ; 当直线MN的斜率存在时,设直线MN的方程为 , 代入椭圆方程,整理得 , ,即 , 由根与系数的关系得 , , ∴ , 设点O到直线MN的距离为d,则 , ∴ ,整理得 . 学科网(北京)股份有限公司∵ , ∴ . 综上,直线OM与ON的斜率之积为定值 . 【点睛】关键点点睛:本题第二问的关键需讨论两种情况,重点是根据面积公式,得到 这个关键条件. 5.(23-24高二上·贵州安顺·期末)已知椭圆 经过点 ,且 . (1)求椭圆C的方程; (2)椭圆C的右顶点和上顶点分别为A,B,P为椭圆C上位于第三象限内的动点,直线PA与y轴交 于点M,直线PB与x轴交于点N,探究四边形ABNM的面积是否为定值.若是,求出该定值;若 不是,请说明理由. 【答案】(1) (2)存在;定值4 【分析】(1)将点代入椭圆方程,再结合条件,即可求解椭圆方程; (2)首先利用坐标分别表示直线 和 的方程,再求点 的坐标,并利用对角线垂直,表 示四边形的面积,利用点在椭圆上,即可求解. 【详解】(1)由题设得, ,又椭圆C经过点 ,所以 , 由 ,解得: , . 故椭圆C的方程为: ; 学科网(北京)股份有限公司(2)设 ( , ),则 ,即 . 又 , ,所以直线PA的方程为 , 令 ,得 , 从而 ; 直线PB的方程为 ,令 ,得 , 从而 . 因为 ,所以四边形ABNM的面积 , 即 . 故四边形ABNM的面积为定值4. 【点睛】关键点睛:本题第二问的关键是利用对角线垂直,根据对角线的长表示四边形的面积,并 利用点 的坐标,表示点 的坐标. 学科网(北京)股份有限公司6.(23-24高二上·浙江宁波·期末)已知椭圆 过点 ,离心率为 . (1)求椭圆 的方程; (2)过点 的直线 与椭圆 交于 两点,直线 分别与 轴交于 两点,求证: 中点为定点. 【答案】(1) (2)证明见解析 【分析】(1)由题意 列方程求解即可. (2)由题意显然直线 斜率存在,设方程为 , ,联立椭圆 方程,由韦达定理得, ,进一步表示出 方程和 点坐标,证明 为定值即可. 【详解】(1)因为椭圆 过点 ,离心率为 , 所以 ,解得 , 所以,椭圆 的方程为 . 学科网(北京)股份有限公司(2) 显然直线 斜率存在,设方程为 , , 联立方程 得 , , 由直线 方程为 ,直线 方程为 , 得 , . 中点为定点 . 【点睛】关键点点睛:关键是用 表示出 的坐标,结合韦达定理,证明 为定值即可顺利得解. 学科网(北京)股份有限公司7.(23-24高二上·浙江嘉兴·期末)已知椭圆 : ,其短轴长为2,离心率为 . (1)求椭圆 的方程; (2)设 为坐标原点,动点 , 在 上,记直线 , 的斜率分别为 , ,试问:是否存 在常数 ,使得当 时, 的面积为定值?若存在,求出 的值;若不存在,请说明理由. 【答案】(1) (2)存在, 【分析】(1)直接根据条件列式计算求出 即可; (2)设 , ,设 的方程: ,与椭圆联立,利用韦达定理表示出 的面积,然后根据面积为定值求解即可. 【详解】(1)由已知 , ,又 得 , 所以 , 所以椭圆 的方程为 ; (2)法一:设 , , 当直线 的斜率存在时,设 的方程: ,与 联立方程,得 , , . , , 学科网(北京)股份有限公司, 所以 又 , 要 为定值,则 为定值, 则 , , 此时 . 当直线 的斜率不存在,且 , 则 , 或 , , 此时 ,也满足. 综上,存在 满足题意. 法二:设 , , 则 , 学科网(北京)股份有限公司则 , 当 , , 即 ,则 ,即 为定值. 【点睛】方法点睛:直线与椭圆联立问题 第一步:设直线方程:有的题设条件已知点,而斜率未知;有的题设条件已知斜率,点不定,都可 由点斜式设出直线方程; 第二步:联立方程:把所设直线方程与椭圆方程联立,消去一个元,得到一个一元二次方程; 第三步:求解判别式Δ:计算一元二次方程根的判别式 ; 第四步:写出根之间的关系,由根与系数的关系可写出; 第五步:根据题设条件求解问题中的结论. 8.(23-24高二上·浙江杭州·期末)已知焦点在x轴上的椭圆C: ,长轴长为4,离心率 为 ,左焦点为F.点M在椭圆内,且MF⊥x轴,过点M的直线与椭圆交于A、B两点(点B在点 A右侧),直线AN、BN分别与椭圆相切且交于点N. (1)求椭圆的方程; (2)若直线AF与直线BF的倾斜角互补,则M点与N点纵坐标之积是否为定值,若是,求出定值; 若不是,说明理由. 【答案】(1) (2)是定值,定值为 【分析】 (1)由椭圆的几何性质求解即可; 学科网(北京)股份有限公司(2) 过点M的直线的斜率显然存在,可设为: ,联立方程得,结合韦达定理代入 , 得 , 再 由 切 线 方 程 得 到 , 整 理 得 ,即可求解. 【详解】(1) 由 ,得 ,则 , , ∴椭圆的方程为: . (2) , , 过点M的直线的斜率显然存在,可设为: , 联立方程得, ,消去y得, . , 则 设 ,则 由直线AF与直线BF的倾斜角互补, 得 , 学科网(北京)股份有限公司, ∴ , 由 , 得,AN: ,则 BN: ,则 ,得 , ∴ . ∵ ∴ , ∴ 为定值. 【点睛】关键点睛:过椭圆: 上一点 的切线方程为: . 学科网(北京)股份有限公司9.(23-24高二上·山东潍坊·期末)如图,已知圆 ,圆心是点T,点G是 圆T上的动点,点H的坐标为 ,线段GH的垂直平分线交线段TG于点R,记动点R的轨迹 为曲线E. (1)求曲线E的方程; (2)过点H作一条直线与曲线E相交于A,B两点,与y轴相交于点C,若 , , 试探究 是否为定值?若是,求出该定值;若不是,请说明理由; (3)过点 作两条直线MP,MQ,分别交曲线E于P,Q两点,使得 .且 , 点D为垂足,证明:存在定点F,使得 为定值. 【答案】(1) (2) 为定值, , (3)证明见解析 【分析】(1)根据题意,得 ,动点 的轨迹是以 , 为焦点,长轴长为 的椭圆; (2)设出直线 的方程,与椭圆方程联立,由向量坐标运算表示 ,化简即可; (3)设 的方程是 ,与椭圆方程联立,由条件 ,可得 ,则 或 ,可证直线 经过定点 ,又因为 学科网(北京)股份有限公司,所以D在以线段MK为直径的圆上,可得解. 【详解】(1)因为 , 所以 , 所以 ,半径 , 因为线段 的中垂线交线段 于点 , 所以 , 所以 , 所以动点 的轨迹是以 , 为焦点,长轴长为 的椭圆, 所以 , , , 故曲线E的方程为 . (2)当直线 的斜率不存在时,其方程为 , 与y轴不相交,不合题意,舍去, 当直线 的斜率存在时,设 所在直线方程为 , 学科网(北京)股份有限公司设 , , 由 消去y整理得 , 恒成立, 所以 , 又因为直线 与y轴的交点为C,所以 , 所以 , , , , 又因为 ,所以 ,同理 , 所以 ,且 , 所以 , 整理后得 , 所以 为定值 ,原题得证. (3)设 ,显然 的斜率存在, , , 设 的方程是 , 学科网(北京)股份有限公司由 消去y得 , 则 ,即 , 由韦达定理得 , 根据已知 ,可得 , 即 , 又 , , 代入上式整理得 , 则 或 , 当 时,直线 的方程为 , 所以直线 经过定点 , 当 时,直线 的方程为 , 所以直线 经过定点 与M重合,舍去, 故直线 经过定点 , 又因为 , 所以D在以线段MK为直径的圆上. 学科网(北京)股份有限公司所以F为线段MK的中点,即 , 所以 为定值. 【点睛】方法点睛:利用韦达定理法解决直线与圆锥曲线相交问题的基本步骤如下: (1)设直线方程,设交点坐标为 , ; (2)联立直线与圆锥曲线的方程,得到关于x(或y)的一元二次方程,必要时计算 ; (3)列出韦达定理; (4)将所求问题或题中的关系转化为 的形式; (5)代入韦达定理求解. 10.(23-24高二上·安徽滁州·期末)已知椭圆 的离心率为 ,左、右顶 点分别为 , ,上、下顶点分别为 , ,且四边形 的面积为12. (1)求 的方程; (2)过点 的直线 交 于M,N两点(不同于 , 两点),直线 与直线 交于点 , 试判断 的面积是否为定值?若是,求出此定值;若不是,请说明理由. 【答案】(1) (2)是定值;12 【分析】(1)根据已知条件可得出关于 、 、 的方程组,解出 、 的值,由此可得出椭圆的 方程; (2)设直线 的方程为 ,与椭圆方程联立得根与系数关系,设出直线 的方程,直线 的方程,将两个方程相除运算求得点 的纵坐标 ,得解. 学科网(北京)股份有限公司【详解】(1)由题意知 ,解得 , , , 所以椭圆 的方程为 . (2)由题意知直线 的斜率存在,设直线 的方程为 , , . 由 ,得 , 所以 , . 易得 , ,所以直线 的方程为 ,直线 的方程为 , 由 ,得 , 即 ,解得 ,即点 的纵坐标 , 所以 的面积 ,即 的面积为定值12. 学科网(北京)股份有限公司【点睛】关键点睛:本题第二问考查椭圆中的定值问题.解题的关键是设出直线 的方程,直线 的方程,将两个方程相除结合根与系数关系运算求得点 的纵坐标为定值. 11.(23-24高二上·北京大兴·期末)已知椭圆 的上、下顶点为 ,左、右 焦点为 ,四边形 是面积为2的正方形. (1)求椭圆 的方程; (2)若 是椭圆 上异于 的点,判断直线 和直线 的斜率之积是否为定值?如果是,求 出定值;如果不是,请说明理由; (3)已知圆 的切线 与椭圆 相交于 两点,判断以 为直径的圆是否经过定点?如 果是,求出定点的坐标;如果不是,请说明理由. 【答案】(1) (2)是定值,定值为 (3)过定点,定点为 【分析】(1)根据题意列式求 ,即可得椭圆方程; (2)设 ,根据斜率公式结合椭圆方程分析求解; 学科网(北京)股份有限公司(3)取特例 可知定点应为 ,再对一般情况,利用韦达定理可得 ,即可 得结果. 【详解】(1)由题意可得 ,解得 , 所以椭圆 的方程为 . (2)是定值,理由如下: 设 ,则 ,可得 , 由(1)可知: , 则 , 所以直线 和直线 的斜率之积是定值 . (3)由题意可知:圆 的圆心为 ,半径为 , 因为 ,可知圆 在椭圆内,可知切线 与椭圆 相交, ①当直线 的斜率不存在时,因为直线 与圆 相切,故切线方程为 , 若切线方程为 代入椭圆方程可得,可得 , , 则以 为直径的圆的方程为 ; 若切线方程为 代入椭圆方程可得,可得 , , 学科网(北京)股份有限公司则以 为直径的圆的方程为 ; 联立方程 ,解得 ,即两圆只有一个交点 , 若存在定点,则定点应为 ; ②当直线 的斜率存在时,设直线 的方程为 , 则 ,整理得 , 联立方程 ,消去 得 , 设 , , 则 , , 所以 , 所以 即 ,所以以 为直径的圆经过定点 ; 综上可知,以 为直径的圆过定点 . 学科网(北京)股份有限公司【点睛】方法点睛:1.过定点问题的两大类型及解法 (1)动直线l过定点问题.解法:设动直线方程(斜率存在)为 ,由题设条件将t用k表示 为 ,得 ,故动直线过定点 ; (2)动曲线C过定点问题.解法:引入参变量建立曲线 C的方程,再根据其对参变量恒成立,令 其系数等于零,得出定点; 2.求解定值问题的三个步骤 (1)由特例得出一个值,此值一般就是定值; (2)证明定值,有时可直接证明定值,有时将问题转化为代数式,可证明该代数式与参数(某些变 量)无关;也可令系数等于零,得出定值; (3)得出结论. 12.(23-24高二上·江苏盐城·期末)在平面直角坐标系 中,设点 是椭圆 上一点,以M为圆心的一个半径 的圆,过原点作此圆的两条切线分别与椭圆C 交于点P、Q. (1)若直线 的斜率都存在,且分别记为 .求证: 为定值; (2)探究 是否为定值,若是,则求出 的最大值;若不是,请说明理由. 【答案】(1)证明见解析 (2)是,最大值为 . 【分析】(1)分别将直线 与 与圆方程联立,可得 是方程 的两个不相等的实数根,结合韦达定理得 ,并结合 在椭圆上可 得解. (2)当直线 不落在坐标轴上时,利用 可得 ,利用 在椭圆上可 求得 及 ,从而得 ,当直线落在坐标轴上求出 ,从而得 学科网(北京)股份有限公司定值,再由基本不等式得最大值. 【详解】(1)因为直线 , 与圆M相切, 将直线 与圆 联立, 可得 , 由 解得, , 同理 , 所以 是方程 的两个不相等的实数根, ∴ ,因为点 在椭圆C上,所以 , 所以 . (2)(i)当直线 不落在坐标轴上时,设 , 因为 ,所以 , 因为 在椭圆C上,所以 , 整理得 ,所以 ,所以 . (ii)当直线落在坐标轴上时,圆 方程为 ,易求得 , 综上: ,所以| , 当且仅当 时等号成立,所以 的最大值为 . 学科网(北京)股份有限公司【点睛】关键点睛:本题考查直线与圆相切,直线与椭圆相交问题.对第一问斜率积为定值问题, 解题关键是设出切线方程,利用直线与圆相切得出关于 的二次方程,由韦达定理得出结论;第二 问设 ,由斜率积为定值求得坐标的关系,并结合点 在椭圆上求得 的值,注意分类讨论. 13.(23-24高二上·湖北黄石·期末)已知椭圆 的离心率为 ,椭圆 上的 点与点 的距离的最大值为4. (1)求 的方程; (2)设 轴上的一定点 ,过点 作直线 交椭圆 于 , 两点,若在 上存在一点A,使得 直线 的斜率与直线 的斜率之和为定值,求实数 的取值范围. 【答案】(1) (2) 或 【分析】(1)根据离心率可得 , ,设 ,根据两点间距离公式结合二次函数分 析求解; (2)分类讨论直线 的斜率是否为0,设直线 的方程为 ,联立方程结合韦达定理整理得 ,进而分析求解. 学科网(北京)股份有限公司【详解】(1)由题意可知 ,则 , 所以 ,即 . 设 是椭圆 上任意一点,则 ,可得 , 所以 , 注意到 ,则有: 若 ,则 ,不符合题意; 若 ,当 时, , 解得 ,所以 , 故椭圆 的方程为 . (2)设 , 若直线 的斜率不为0,设直线 的方程为 , 联立方程 ,消去x得 , 则 , 可得 , 学科网(北京)股份有限公司, , 由题意可得: , 若上式为常数,则 ,即 , 而此时 , 可得 , 又因为 ,即 ,解得 或 ; 若直线 的斜率为0,不妨设 , 则 ,符合题意; 学科网(北京)股份有限公司综上所述: 或 ,存在点A(满足 ),使得直线 的斜率与直线 的斜率之 和为定值 . 【点睛】关键点睛: 对任意 恒为定值,因为分子分母中同时含 有 ,这种情况下分子分母 的对应系数成比例则整体可以为定值,故需要 且 ,即 项、常数项对应成比例. 14.(23-24高二上·浙江杭州·期末)已知椭圆 过点 ,焦距为 .过 作直线l与椭圆交于C、D两点,直线 分别与直线 交于E、F. (1)求椭圆的标准方程; (2)记直线 的斜率分别为 ,证明 是定值; (3)是否存在实数 ,使 恒成立.若存在,请求出 的值;若不存在,请说明理由. 【答案】(1) (2)证明见解析 (3)存在; 【分析】(1)利用点在椭圆上和焦距列方程组解出即可; (2)设出 两点坐标,表示出斜率 ,并设出直线 方程与椭圆联立,消去 ,表示出韦 达定理,代入 的表达式中化简即可; (3)解方程组分别求出直线的交点 坐标,再求出 到直线 的距离,结合已知面积关系 学科网(北京)股份有限公司表示出两三角面积的方程,再利用 代入化简即可. 【详解】(1)因为椭圆过点 ,焦距为 , 所以 , 所以椭圆的标准方程为 . (2) 证明:设 , 直线 的斜率一定存在,设为 , 则 ,消去 得到 , , , , 故 是定值. (3) 学科网(北京)股份有限公司设存在实数 ,使 恒成立, 由 , , 设 到直线 的距离为 , 到直线 的距离为 , 则 ,① 因为 ,所以 ,② 把①代入②并化简可得 , 由上问可知 ,代入上式可得 , 所以 . 【点睛】关键点点睛: ①求曲线的标准方程常用待定系数法和曲线的性质列方程组求解; ②证明斜率之和为定值时,首先用曲线上的点表示出斜率,再直曲联立,利用韦达定理化简斜率之 和的表达式; ③解决三角形面积关系时先用坐标表示出三角形面积,再利用韦达定理化简. 椭圆中最值问题(共9题) 1.(23-24高二上·贵州毕节·期末)已知椭圆 过点 ,且离心 学科网(北京)股份有限公司率为 . (1)求椭圆的标准方程; (2)已知圆 .过点 作直线 和 ,且两直线的斜率之积等于 与圆 相切 于点 与椭圆相交于不同的两点 . ①求 的取值范围; ②求 面积的最大值. 【答案】(1) (2)① ;② . 【分析】(1)由题意列方程求出 的值,即可求得答案; (2)①设出直线 和 的方程,根据 与圆 相切求出参数之间的关系,联立 方程和椭圆方程, 利用判别式即可求得参数m的范围;②由①可得根与系数的关系式,可求出弦长 的表达式, 继而可求出 面积的表达式,结合换元以及求解二次函数的最值,即可求得答案. 【详解】(1)由椭圆 过点 ,且离心率为 , 可得 ,解得 , 所以椭圆 的标准方程为 . (2)①由题意,两直线 的斜率均存在,且两直线的斜率之积为1, 学科网(北京)股份有限公司设 的斜率为 ,则 的斜率为 , 则直线 的方程为 ,即 , 直线 的方程为 ,即 , 因为 与圆 相切于点 ,所以 ,化简得 , 由 ,整理得 , 所以 , 化简得 由 ,可得 , 代入上式化简得 ,解得 , 又因为 ,可得 ,得 , 所以 的取值范围是 . ②设 , 由(1)可知 , 学科网(北京)股份有限公司又 , 又原点 到直线 的距离 , 面积 , 设 ,则 , 由 以及 得 ,则 , 故 ,而 , 且 , 则 , 故 ,即 , 所以当 时, 取最大值 , 则 面积的最大值是 , 综上得, 面积的最大值是 . 【点睛】难点点睛:本题考查椭圆方程的求解以及直线和椭圆位置关系中的参数的范围问题以及三 角形面积的最值问题,综合性较强,此类问题的解决思路并不困难,即设直线方程,联立椭圆方程, 利用根与系数的关系式进行化简求值,难点在于计算过程比较复杂,计算量较大,且基本都是关于 学科网(北京)股份有限公司字母参数的计算,需要十分仔细. 2.(23-24高二上·广东广州·期末)已知 ,圆 , 是圆 上任 意一点,线段 的垂直平分线 和半径 相交于点 ,当 点在圆 上运动时,点 的轨迹是 曲线 . (1)求曲线 的方程; (2)过 作一条不平行于坐标轴的直线交曲线 于 两点,过 点作 轴的垂线交 于点 ,求 面积的最大值. 【答案】(1) ; (2) . 【分析】(1)根据给定条件,结合对称的性质可得 ,再利用椭圆的定义求解即 得. (2)设出直线 的方程,与曲线 的方程联立,结合韦达定理及三角形面积公式求出面积的函 数关系,并求出最大值即得. 【详解】(1)连接 ,由线段 的垂直平分线 和半径 相交于点 ,得 ,而圆 的半径为 , 则 , 因此曲线 是以 为左右焦点,长轴长 的椭圆,显然焦距 ,则 , 所以曲线 的方程是 . 学科网(北京)股份有限公司(2)设直线 的方程为 , ,则 , 由 消去 得 ,显然 ,则 , 于是 的面积 ,当且仅当 ,即 时取等号, 所以 面积的最大值为 . 【点睛】方法点睛:圆锥曲线中最值或范围问题的常见解法: (1)几何法,若题目的条件和结论能明显体现几何特征和意义,则考虑利用几何法来解决; (2)代数法,若题目的条件和结论能体现某种明确的函数关系,则可首先建立目标函数,再求这 个函数的最值或范围. 3.(23-24高二上·江西南昌·期末)在平面直角坐标系 中,点A在x轴上滑动,点B在y轴上 滑动,A、B两点距离为3,点P满足 ,且点P的轨迹为曲线C. (1)求点P的轨迹方程; (2)曲线C与x轴负半轴交于点T,过点T的直线TM,TN分别与曲线C交于M,N两点,直线 的斜率分别为 ,且 ,求证:直线 过定点,并求 面积的最 学科网(北京)股份有限公司大值. 【答案】(1) (2)证明见解析; 【分析】(1)设 , ,可列出等式 ,结合 ,求出 , 代入化简,即可得答案; (2)设 方程为 ,并联立椭圆方程,可得根与系数的关系式,结合 化简, 可得 ,即可证明直线过定点;求出 面积的表达式,结合换元,以及利用函数的单调 性求最值,即可求得答案. 【详解】(1)由题意可设 , , 则 ,即 , 由 ,得 ,即 , 故 ,代入 ,得 , 即点P的轨迹方程为 ; (2)由 ,可知 ,结合由题意知直线 的斜率不为0, 学科网(北京)股份有限公司故设 方程为 ,设 , 联立 ,整理得 , 需满足 , 则 , 则 , , 因为 ,故 ,即 , 即 ,解得 ,或 , 当 时, 方程为 ,经过点 ,不符合题意,舍去; 故 ,满足 , 此时 方程为 ,故直线 过定点 ; 则 的面积 , 学科网(北京)股份有限公司令 ,则设 ,该函数在 上单调递增, 故 ; 则 , 当且仅当 ,即 时,等号成立, 故 面积的最大值为 . 【点睛】难点点睛:本题考查了动点的轨迹方程的求解以及直线和椭圆位置关系中的定点以及三角 形面积的最值问题,综合性强,计算量较大,解答的难点就在于复杂的计算,且基本都是有关字母 参数的运算,解答时要注意联立直线和椭圆方程,利用根与系数的关系式进行化简,要十分仔细准 确计算. 4.(23-24高二上·四川泸州·期末)已知 为平面直角坐标系 上的动点,记其轨迹为曲线 . (1)请从以下两个条件中选择一个,求对应曲线 的方程. ①已知点 ,直线 ,动点 到点 的距离与到直线 的距离之比为 : ②已知点 是圆 上的任意一点,点 为圆 的圆心,点 与点 关于原点对称, 线段 的垂直平分线与线段 交于点 ; 注:如果选择多个条件分别作答,则按第一个解答计分. (2)延长 至 ,使 ,点 的轨迹为曲线 ,过点 的直线 交曲线 于 两点,求 面积的最大值. 【答案】(1) (2) . 【分析】(1)利用直接法得到 ,整理化简即可;结合题意可得 学科网(北京)股份有限公司,利用椭圆的定义求解即可; (2)利用相关点法求出曲线 的方程为 ,设出直线 的方程,联立椭圆方程,表示出面 积,整理计算即可. 【详解】(1)若选①,设 ,且动点 到直线 的距离为 , 结合题意可得: ,整理得 , 所以曲线 的方程为: . 若选②, 由圆 ,可得圆心 ,半径 , 因为点 与点 关于原点对称,所以 , 因为线段 的垂直平分线与线段 交于点 , 所以 ,而 , 所以 , 故点 是以中心在原点,长轴长为4,焦距为2的椭圆, 结合椭圆的定义可知: 解得 故曲线 的方程为: . 学科网(北京)股份有限公司(2)结合上问可知曲线 的方程为: . 设 , ,由 ,得 ,即 即 ,因为点 在曲线 上,所以 , 整理得 ,所以曲线 的方程为 . 当直线 的斜率不存在时,此时 ,故此时直线 为 , 联立 ,可得 , 此时 , 当直线 的斜率存在时,设直线 为 ,设 , 联立 ,可得 , 因为 所以 , 所以 , 点 到直线 的距离为 , 学科网(北京)股份有限公司所以 面积 , 即 , 因为点 在曲线 上,所以直线 与曲线 有公共点, 联立 ,可得 , 因为 所以 ,所以 , 令 ,则 , 则 , 结合复合函数的单调性可知. 在 单调递增; 所以当 时, 面积有最大值 , 因为 ,所以 . 综上所述: 面积的最大值为 . 【点睛】方法点睛:利用韦达定理法解决直线与圆锥曲线相交问题的基本步骤如下: 学科网(北京)股份有限公司(1)设直线方程,设交点坐标为 ; (2)联立直线与圆锥曲线的方程,得到关于 (或 )的一元二次方程,注意 的判断; (3)列出韦达定理; (4)将所求问题或题中的关系转化为 、 (或 、 )的形式; (5)代入韦达定理求解. 5.(23-24高二上·贵州铜仁·期末)已知椭圆 的焦点坐标 ,且过点 . (1)求椭圆 的标准方程; (2)直线 与椭圆 交于 , 两点,且 , 关于原点的对称点分别为 , ,若 是一个与 无关的常数,求此时的常数及四边形 面积的最大值. 【答案】(1) (2)28, 【分析】(1)由椭圆的定义求出 ,再由焦点坐标求出 ,再由 ,即可得出答案; (2)联立直线 与椭圆方程,消去y,由韦达定理表示出 ,因为 是一个与 无关的常数,所以 ,求出 ,再表示出四边形 的面积,由二次函数 的性质求解即可得出答案. 【详解】(1)点 到椭圆 两焦点的距离和为 , . 又 ,故 ,故椭圆方程为 . (2)依题意,可得四边形 为平行四边形, 故 , 学科网(北京)股份有限公司设 , ,则 , 由 ,消掉 可得 , 可得 , , ∴ . 若上式与 无关,故 , .故此时常数为28. 此时 , , , 而原点 到 的距离 ,四边形 的面积 , 学科网(北京)股份有限公司此时 , 满足 成立. 【点睛】方法点睛:求定值问题常见的方法 ①从特殊入手,求出定值,再证明这个值与变量无关. ②直接推理、计算,并在计算推理的过程中消去变量,从而得到定值. 6.(23-24高二上·山东济南·期末)在平面直角坐标系.xOy中,设 , 两点的坐标分别为 , .直线 , 相交于点M,且它们的斜率之积是 . (1)求动点M的轨迹方程; (2)记动点M的轨迹为曲线E,过 作两条互相垂直的直线 , , 与曲线E交于A、B两点, 与曲线E交于C、D两点,求 的最大值. 【答案】(1) (2) 【分析】(1)设出点M的坐标为 ,根据斜率之积得到方程,求出轨迹方程,注意 ; (2)设 , , ,联立椭圆方程,得到两根之和,两根之积,设 , ,同理得到两根之和,两根之积,根据直线 , 相互垂直,得到 ,利用基本不等式求出最大值. 【详解】(1)设点M的坐标为 , 学科网(北京)股份有限公司因为直线 , 的斜率之积是 , 所以 , 所以 , 因为点M与 , 两点不重合, 所以点M的轨迹方程为 . (2)显然直线 , 的斜率都存在且不为0, 设 , , , , , , 联立 ,得 , 显然 , 所以 , 所以 , 学科网(北京)股份有限公司同理 , 因为直线 , 相互垂直,所以 , 所以 , 学科网(北京)股份有限公司则 , 当且仅当 ,即 时取得等号, 所以 的最大值为 . 【点睛】方法点睛:圆锥曲线中最值或范围问题的常见解法: (1)几何法,若题目的条件和结论能明显体现几何特征和意义,则考虑利用几何法来解决; (2)代数法,若题目的条件和结论能体现某种明确的函数关系,则可首先建立目标函数,再求这 个函数的最值或范围. 7.(23-24高二上·湖南益阳·期末)已知椭圆 ,过椭圆 上一动点 引圆 的两条切线 为切点,直线 与 轴、 轴分别交于点 . (1)已知 点坐标为 ,求直线 的方程; (2)若圆 的半径为2,且 ,过椭圆 的右焦点作倾斜角不为0的动直线 与椭圆 交于 两点,点 在 轴上,且 为常数,求 的面积的最大值. 【答案】(1) (2) 【分析】(1)设 , ,求出 ,求出 ,求出切线 的方程,同理求出切线 的方程即可求出直线 的方程; (2)由(1)得出点 和点 的坐标,代入 得到椭圆的方程,设出直线 的方程, 联立直线与椭圆的方程写出韦达定理,设 ,求出 ,根据 为定值求出 ,求 学科网(北京)股份有限公司出焦点坐标,根据 即可求出 的面积的最大值. 【详解】(1)如图, 设 , ,所以 , 所以 ,所以切线 的方程为 , 因为 ,所以切线 的方程为 , 同理可得切线 的方程为 , 因为点 即在直线 也在直线 上, 所以直线 的方程为 ; (2)如图, 由题意得: ,由(1)易得 , , 代入 得 , 学科网(北京)股份有限公司因为 ,所以 , 因为点 为动点,所以 ,所以 , 所以椭圆方程为 ,设直线 , 联立 得 , 所以 , , 设 ,所以 , 因为 为定值,所以 , 所以 ,所以 ,由椭圆方程易得焦点 , 所以 ,令 , , 所以 , 当且仅当 ,即 时等号成立, 学科网(北京)股份有限公司所以 的面积的最大值为 . 8.(23-24高二上·广东深圳·期末)已知椭圆 ( ),四点 , , , ,中恰有三点在椭圆 上. (1)求 的方程; (2)设 、 是 的左、右顶点,直线 交 于C、D两点,直线 、 的斜率分别为 、 .若 ; ①证明:直线 过定点; ②求四边形 面积 的最大值. 【答案】(1) (2)①证明见解析;② 【分析】(1)根据椭圆对称性,必过 、 ,又 横坐标为1,椭圆必不过 ,将 代入椭圆方程即可求解; (2)①设 ,因为若直线 的斜率为0,则点 关于 轴对称,必有 , 不合题意,所以直线 斜率必不为0,设其方程为 ,与椭圆 联立,求出 和韦达 定理,设直线 的斜率为 ,求出 ,求出 和 的关系即可证明;②由①求出 和 ,根据 即可求解. 学科网(北京)股份有限公司【详解】(1)根据椭圆对称性,必过 、 ,又 横坐标为1, 椭圆必不过 ,所以过 三点,将 代入椭圆方程得 ,解得 , , ∴椭圆 的方程为: ; (2)① 依题意,点 ,设 , 因为若直线 的斜率为0,则点 关于 轴对称, 必有 ,不合题意,所以直线 斜率必不为0, 设其方程为 ,与椭圆 联立 , 整理得: , 所以 , 且 因为点 是椭圆上一点, 即 ,设直线 的斜率为 , 学科网(北京)股份有限公司所以 , 所以 ,即 , 因为 , 所以 , 此时 , 故直线 恒过定点 ; ②由①得 , 所以 (当且仅当 即 时等号成立), 所以 的最大值为 . 【点睛】关键点点睛:本题关键在于设 ,因为若直线 的斜率为0,则点 关 学科网(北京)股份有限公司于 轴对称,必有 ,不合题意,所以直线 斜率必不为0的分析. 9.(23-24高二上·湖北武汉·期末)已知椭圆 的离心率为 ,左、右焦点 分别为 , ,点P为椭圆C上任意一点, 面积最大值为 . (1)求椭圆C的方程; (2)过x轴上一点 的直线与椭圆交于A,B两点,过A,B分别作直线 的垂线,垂足为 M,N两点,证明:直线 , 交于一定点,并求出该定点坐标. 【答案】(1) (2)证明见解析,定点 【分析】(1)由椭圆性质可知,当 为短轴端点时, 面积最大,结合三角形面积公式计算 即可得椭圆方程; (2)当 的斜率不存在时,可得直线 与 的交点坐标,当 的斜率存在时,设出直线方 程,联立直线方程与椭圆方程,可得与交点有关的韦达定理,可得直线 与 的方程,联立两 直线方程,结合韦达定理可得 ,将 代入 ,可得 ,即可得证. 【详解】(1)设椭圆 半焦距为 ,∵离心率为 ,∴ . 由椭圆性质可知,当 为短轴端点时, 面积最大. ∴ ,∴ . 又 ,解得 , , . ∴椭圆 的方程为: ; 学科网(北京)股份有限公司(2)证明:设 与 轴交于点 ,则 , 当 的斜率为0时,显然不适合题意; 当 的斜率不存在时,直线 为 , ∵四边形 为矩形,∴ , 交于线段 的中点 . 当直线 的斜率存在且不为0时,设 , , 直线 为: ,联立 , 得 , , ∴ , , 设 , ,则 , , 联立 , 得 , 将 , 代入整理得 , 将 代入 ,得 学科网(北京)股份有限公司. 综上,直线 、 交于定点 . 【点睛】方法点睛:利用韦达定理法解决直线与圆锥曲线相交问题的基本步骤如下: (1)设直线方程,设交点坐标为 、 ; (2)联立直线与圆锥曲线的方程,得到关于 (或 )的一元二次方程,必要时计算 ; (3)列出韦达定理; (4)将所求问题或题中的关系转化为 、 (或 、 )的形式; (5)代入韦达定理求解. 学科网(北京)股份有限公司