当前位置:首页>文档>精品解析:2022年黑龙江省绥化市中考物理试题(原卷版)_中考真题_4.物理中考真题2015-2024年_2022中考物理真题128份14

精品解析:2022年黑龙江省绥化市中考物理试题(原卷版)_中考真题_4.物理中考真题2015-2024年_2022中考物理真题128份14

  • 2026-03-16 23:24:33 2026-02-09 14:21:54

文档预览

精品解析:2022年黑龙江省绥化市中考物理试题(原卷版)_中考真题_4.物理中考真题2015-2024年_2022中考物理真题128份14
精品解析:2022年黑龙江省绥化市中考物理试题(原卷版)_中考真题_4.物理中考真题2015-2024年_2022中考物理真题128份14
精品解析:2022年黑龙江省绥化市中考物理试题(原卷版)_中考真题_4.物理中考真题2015-2024年_2022中考物理真题128份14
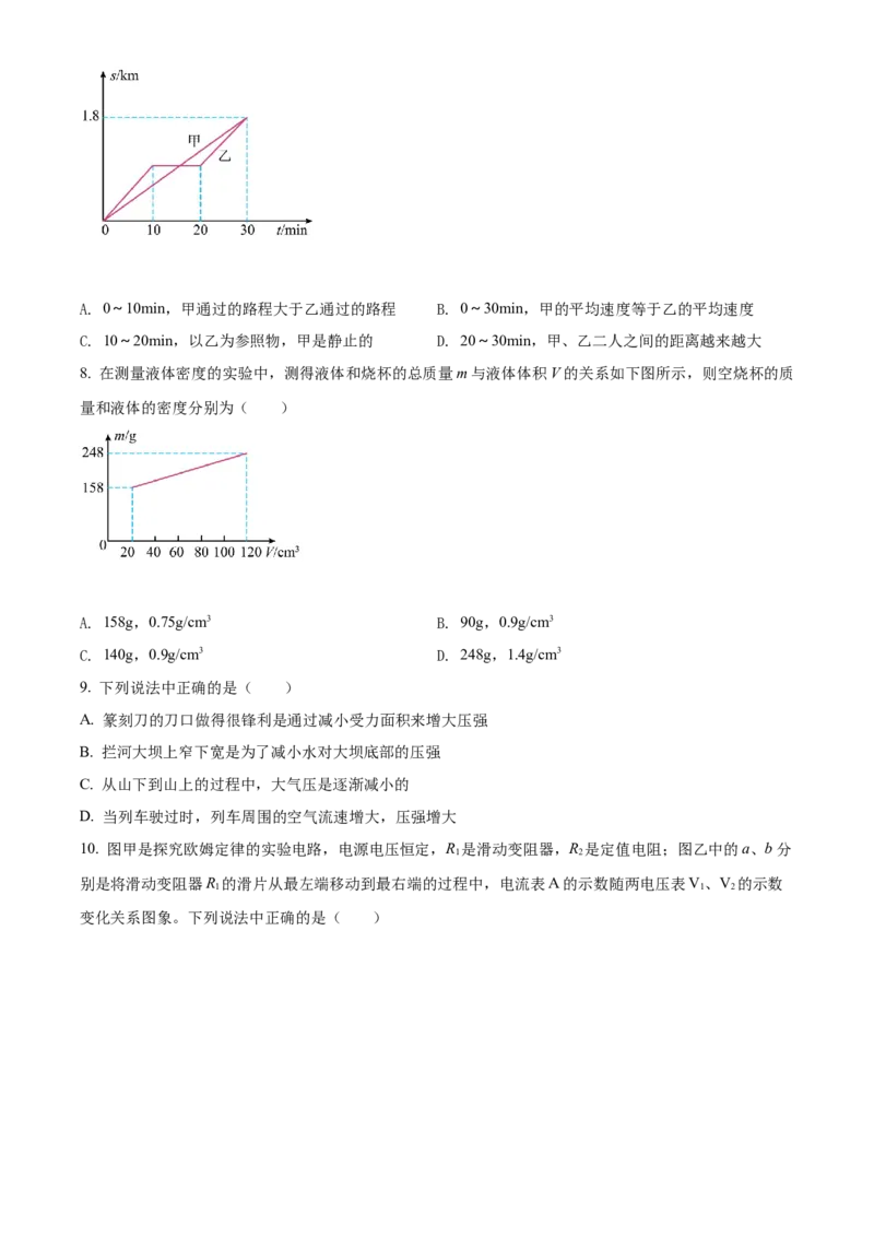
精品解析:2022年黑龙江省绥化市中考物理试题(原卷版)_中考真题_4.物理中考真题2015-2024年_2022中考物理真题128份14
精品解析:2022年黑龙江省绥化市中考物理试题(原卷版)_中考真题_4.物理中考真题2015-2024年_2022中考物理真题128份14
精品解析:2022年黑龙江省绥化市中考物理试题(原卷版)_中考真题_4.物理中考真题2015-2024年_2022中考物理真题128份14
精品解析:2022年黑龙江省绥化市中考物理试题(原卷版)_中考真题_4.物理中考真题2015-2024年_2022中考物理真题128份14
精品解析:2022年黑龙江省绥化市中考物理试题(原卷版)_中考真题_4.物理中考真题2015-2024年_2022中考物理真题128份14
精品解析:2022年黑龙江省绥化市中考物理试题(原卷版)_中考真题_4.物理中考真题2015-2024年_2022中考物理真题128份14
精品解析:2022年黑龙江省绥化市中考物理试题(原卷版)_中考真题_4.物理中考真题2015-2024年_2022中考物理真题128份14
精品解析:2022年黑龙江省绥化市中考物理试题(原卷版)_中考真题_4.物理中考真题2015-2024年_2022中考物理真题128份14
精品解析:2022年黑龙江省绥化市中考物理试题(原卷版)_中考真题_4.物理中考真题2015-2024年_2022中考物理真题128份14
精品解析:2022年黑龙江省绥化市中考物理试题(原卷版)_中考真题_4.物理中考真题2015-2024年_2022中考物理真题128份14
精品解析:2022年黑龙江省绥化市中考物理试题(原卷版)_中考真题_4.物理中考真题2015-2024年_2022中考物理真题128份14
精品解析:2022年黑龙江省绥化市中考物理试题(原卷版)_中考真题_4.物理中考真题2015-2024年_2022中考物理真题128份14

文档信息

文档格式
docx
文档大小
1.050 MB
文档页数
11 页
上传时间
2026-02-09 14:21:54

文档内容

二○二二年绥化市初中毕业学业考试物理和化学试题 考生注意: 1.物理和化学考试时间共150分钟 2.所有答案都必须写在答题卡上相对应的题号后的指定区域内 第一部分 物理 考生注意: 1.物理试题共四个大题,26个小题,总分80分 2.可能用到的参考数据:g-10N/kg,c =4.2×103J/(kg·℃),ρ =1.0×103kg/m3 水 水 一、选择题(本题共10个小题,每小题2分,共20分。1一8小题每题只有一个正确选项; 9、10小题每题有两个或两个以上正确选项,正确选项不全得1分,有错误选项不得分) 1. 下列光现象中,属于光的反射实例的是( ) A. 海市蜃楼 B. 雨后彩虹 C. 手影 D. 演员对着镜子画脸谱 2. 下列电路图中正确的是( ) A. B. C. D. 3. 下列有关声现象的说法中,正确的是( ) A. 声音是由物体振动产生的,以波的形式在真空中传播 B. 物体振动的频率越低,响度越大 C. 汽车安装倒车雷达是利用声传递信息 D. 物体做规则振动时发出的声音一定不是噪声 4. 下列电路图中,电压、电流关系正确的是( ) A. I >I >I B. U =U -U A B C AC AB BCC. I =I +I D. U =U +U A B C AB CD EF 5. 下图中符合安全用电的做法是( ) A. 使用试电笔时手用按住金属笔卡 B. 多个大功率用电器同时工作 C. 两只手分别接触火线和零线 D. 用湿毛巾擦拭电器 6. 下列有关力的说法中,正确的是( ) ①力是物体对物体的作用;②物体不发生形变也能产生弹力;③物体的重心总在物体上;④相互平衡的两 个力一定作用在同一物体上;⑤物体的运动需要力来维持;⑥摩擦力可以为物体的运动提供动力 A. ①②③ B. ①④⑤ C. ②⑤⑥ D. ①④⑥ 7. 甲、乙二人从同一位置沿同一方向做直线运动,其s-t图像如下图所示,下列分析正确的是( )A. 0~10min,甲通过的路程大于乙通过的路程 B. 0~30min,甲的平均速度等于乙的平均速度 C. 10~20min,以乙为参照物,甲是静止的 D. 20~30min,甲、乙二人之间的距离越来越大 8. 在测量液体密度的实验中,测得液体和烧杯的总质量m与液体体积V的关系如下图所示,则空烧杯的质 量和液体的密度分别为( ) A. 158g,0.75g/cm3 B. 90g,0.9g/cm3 C. 140g,0.9g/cm3 D. 248g,1.4g/cm3 9. 下列说法中正确的是( ) A. 篆刻刀的刀口做得很锋利是通过减小受力面积来增大压强 B. 拦河大坝上窄下宽是为了减小水对大坝底部的压强 C. 从山下到山上的过程中,大气压是逐渐减小的 D. 当列车驶过时,列车周围的空气流速增大,压强增大 10. 图甲是探究欧姆定律的实验电路,电源电压恒定,R 是滑动变阻器,R 是定值电阻;图乙中的a、b分 1 2 别是将滑动变阻器R 的滑片从最左端移动到最右端的过程中,电流表A的示数随两电压表V、V 的示数 1 1 2 变化关系图象。下列说法中正确的是( )A. 图线a是电流表A的示数随电压表V 的示数变化关系图象 1 B. 当电压表V、V 的示数相等时,滑片在滑动变阻器的中点位置 1 2 C. 电源电压是6V D. 定值电阻阻值是10Ω 二、填空题(本题共8个小题,每空1分,共16分) 11. 202年6月5日神舟十四号载人飞船与天宫空间站对接成功,神舟十四号靠接收和发射___________与 地面联系;空间站利用的太阳能是___________能源(选填“可再生”或“不可再生”)。 12. 某次实验中各光学元件在如图所示位置光屏上得到清晰倒立___________的实像(选填“放大”“缩 小”或“等大”),生活中的___________就是根据这个原理制成的(选填“照相机“投影仪”或“放大 镜”)。 13. 如图所示是汽油机的___________冲程,在此冲程中汽缸内气体的内能___________(选填“增大” “不变”或“减小”)。的 14. 将a、b、c三个轻质小球悬挂起来,相互作用情况如图所示,已知a带正电,则c 具体带电情况是 ___________;用毛皮摩擦过的橡胶棒靠近a球,二者将互相___________(选填“吸引”或“排斥”)。 15. 如图所示的通电螺线管N极在___________端(选填“A”或“B”)。发电机是利用___________的原 理发电的。 16. 某饮水机额定加热功率为500W,水箱容积为1L,在额定电压下将满箱水从75℃加热到95℃,用时 210s,则水箱中的水吸收的热量是___________J,该饮水机的效率是___________。 17. 如图所示,电源电压不变,滑动变阻器的最大阻值为R,R、R 为定值电阻,已知 1 2 R∶R∶R=1∶1∶2,当滑片P移动到a端时,闭合开关S、S,通过R 与R 的电流之比是___________; 1 2 1 2 1 2 当滑片P移动到b端时,只闭合开关S,通电1min,R与R 产生的热量之比是___________。 2 2 18. 如图所示,一个底面积为800cm2的薄壁圆柱形容器中装有某种液体,将一边长为10cm的正方体木块 轻放入该容器中,木块静止时露出液面的高度为2cm,液体对容器底部的压强变化了80Pa。则该木块底部 受到的液体压强为___________Pa,木块受到的浮力为___________N。 三、作图与实验探究题(本题共6个小题,共30分)19. 画出图中折射光线的入射光线。 20. 请用笔画线表示导线,将电灯和开关接入家庭电路中。 21. 图甲是用海波和石蜡“探究固体熔化时温度的变化规律”的实验装置。 (1)组装器材时,应先固定图甲中的___________;(选填“A”“B”或“C”) (2)开始实验后,某一时刻温度计的示数如图甲所示,温度为___________℃; (3)根据实验数据绘制的两种物质熔化时温度随时间变化图像如图乙所示,由图像可知石蜡是 ___________(选填“晶体”或“非晶体”),海波熔化持续了___________min; (4)由实验可得到晶体熔化特点:___________; 的 (5)由实验可知,晶体 温度是熔点时,可能处于___________态。 A.固 B.液 C.固液共存 22. “探究影响导体电阻大小的因素”的实验装置如图所示,在实验中使用四根电阻丝,其材料规格如下 表所示。编号 材料 长度/m 横截面积/mm2 灯泡亮度 . A 锰铜合金 0.5 08 亮 B 镍铬合金 0.5 0.8 较亮 C 镍铬合金 0.5 0.4 较暗 D 镍铬合金 1.0 0.4 暗 (1)实验中通过观察___________比较电阻丝电阻的大小; (2)实验中采用的研究方法是___________和转换法; (3)分别将编号为___________的电阻丝接入电路进行实验,可得出结论:导体的电阻大小与导体的材料 有关; (4)分别将编号为B、C的电阻丝接入电路进行实验,可得出结论:导体的电阻大小与导体的 ___________有关; (5)分别将编号为C、D的电阻丝接入电路进行实验,其得到的实验结论被实际应用到了___________的 工作原理中; A.电压表 B.电流表 C.滑动变阻器 (6)实验过程中某小组同学更换电阻丝后发现小灯泡亮度变化不明显,可用___________代替小灯泡完成 实验。 23. 为了探究动能大小的影响因素,利用斜面、钢球、木块等器材在同一水平面上开展了如图所示的探究 活动。 (1)该实验中所探究物体的动能是指___________的动能;(选填“钢球”或“木块”) (2)由甲、乙两图可知,当物体质量相同时,速度越大,动能越大; (3)如甲、丙两图所示,让不同质量的钢球从同一斜面的___________由静止滚下,目的是___________, 可得出结论:___________; (4)若斜面下方水平面光滑,本实验___________达到实验目的。(选填“能”或“不能”) 24. 下图为“探究杠杆的平衡条件”的实验,使用的钩码规格相同。(1)挂钩码前杠杆静止在如图甲所示位置,此时杠杆处于___________状态;(选填“平衡”或“不平 衡”) (2)为了使图甲中的杠杆在水平位置平衡,可以将右侧平衡螺母向___________调节;(选填“左”或 “右”) (3)实验时,在已调平的杠杆两侧分别挂上不同数量的钩码,调节钩码位置,使其在水平位置重新平衡。 使杠杆在水平位置平衡的目的是___________。收集实验数据如下表所示,经分析可得出杠杆的平衡条件: ___________; 次数 动力F/N 动力臂 /cm 阻力F/N 阻力臂 /cm 1 2 1 1.0 15.0 1.5 10.0 . 2 1.0 200 4.0 5.0 3 2.0 15.0 3.0 10.0 (4)为了进一步验证实验结论,又做了图乙所示的实验,现将弹簧测力计从a位置移动到b位置,在此过 程中杠杆始终在水平位置平衡,弹簧测力计示数将___________。(选填“变大”“不变”或“变小”) 25. 在“测量小灯泡的额定功率”实验中,小灯泡上标有“2.5V”字样。 实验原理是______。 (2)图甲中有一根导线多余导致电路错误,请在这根导线上打“×”;( ) (3)改正电路错误后,在闭合开关前,应将图甲中滑动变阻器的滑片调至______端;(选填“A”或 “B”) (4)闭合开关,发现小灯泡不亮,但电流表有示数。接下来应进行的操作是______; A.更换小灯泡B.检查电路是否断路 C.移动滑动变阻器滑片,观察小灯泡是否发光 (5)当小灯泡正常发光时,电流表示数如图乙所示,小灯泡的额定功率为______; (6)小华用如图丙所示的电路也完成了该实验。电源电压不变,R 和R 为滑动变阻器,R 的最大阻值为 1 2 2 R。实验步骤如下: 0 ①只闭合开关S、S,调节R,使电压表的示数为U ; 1 2 额 ②只闭合开关S、S,调节R,使电压表的示数仍为U ; 2 1 额 ③接着将R 的滑片P调至最左端,记下电压表的示数U;再将R 的滑片P调至最右端,记下电压表示数 2 1 2 为U,则小灯泡额定功率的表达式P =______。(用U 、R、U、U 表示) 2 额 额 0 1 2 四、综合应用题(本题共2个小题,25题7分,26题7分,共14分) 的 26. 如图甲所示,有一底面积为0.01m2,质量为3kg 正方体物块,在拉力F的作用下在水平面上做直线 运动。拉力随时间变化、速度随时间变化图象分别如图乙、丙所示,已知物块在2~4s的运动距离为2m。 求: (1)物块静止时对水平面的压强; (2)在2~4s物块受到的摩擦力; (3)在前6s内,拉力F做的功。 27. 如图甲所示的电路,电源电压可调,R为标有“1A”字样的滑动变阻器,a、c为其两个端点,电流表 量程为0~3A,电压表量程为0~15V,L、L 是额定电压均为6V的小灯泡,其电流与电压的关系如图乙 1 2 所示。求: (1)L 正常发光时的电阻; 1 (2)闭合开关S,断开S、S,在不损坏电路的情况下,使其中一盏灯正常发光,电压表示数是多少? 1 2 (3)闭合开关S、S,断开S,将电源电压调至14V,当滑动变阻器滑片P在b点时,小灯泡正常发光, 2 1 此时R :R =1:2,则滑动变阻器的最大阻值是多少欧姆? ab bc (4)若不限制电路中各开关的状态,滑动变阻器滑片P的移动范围为中点位置至最大阻值处;现移动滑 片P的同时调节电源电压,使电路中有小灯泡正常发光,其它各元件均安全,每种电路对应的总功率变化范围。